Sign in to use this feature.

Years

Between: -

Subjects

remove_circle_outline
remove_circle_outline
remove_circle_outline
remove_circle_outline
remove_circle_outline
remove_circle_outline
remove_circle_outline
remove_circle_outline
remove_circle_outline

Journals

remove_circle_outline
remove_circle_outline
remove_circle_outline
remove_circle_outline
remove_circle_outline
remove_circle_outline
remove_circle_outline
remove_circle_outline
remove_circle_outline
remove_circle_outline
remove_circle_outline
remove_circle_outline

Article Types

Countries / Regions

remove_circle_outline
remove_circle_outline
remove_circle_outline
remove_circle_outline
remove_circle_outline

Search Results (938)

Search Parameters:
Keywords = geometry nonlinearity

Order results
Result details
Results per page
Select all
Export citation of selected articles as:
18 pages, 4332 KB  
Article
Skew Angle Optimization for Cogging Torque Reduction in 12-Pole/15-Slot Axial Flux PMSMs
by Ice Poonphol and Padej Pao-la-or
World Electr. Veh. J. 2026, 17(4), 192; https://doi.org/10.3390/wevj17040192 - 6 Apr 2026
Viewed by 174
Abstract
Axial Flux Permanent Magnet Synchronous Motors (AFPMSMs) are gaining increasing attention for their application in electric vehicle (EV) drive systems. Their high torque density and compact axial geometry make them attractive for high-performance EV drive systems. However, cogging torque remains a major challenge, [...] Read more.
Axial Flux Permanent Magnet Synchronous Motors (AFPMSMs) are gaining increasing attention for their application in electric vehicle (EV) drive systems. Their high torque density and compact axial geometry make them attractive for high-performance EV drive systems. However, cogging torque remains a major challenge, degrading low-speed drivability, noise performance, and control stability. This article proposes a magnet skew on rotor modulation structure using a genetic algorithm (GA) to reduce cogging torque in AFPMSMs utilizing a 12/15 non-integer pole/slot arrangement. The objective of optimization is to simultaneously reduce cogging torque under identical electromagnetic constraints. A complete three-dimensional finite element model (3D-FEM) incorporating nonlinear magnetic material properties has been developed to evaluate the electromagnetic field distribution and torque components. The results indicate that a 12/15 non-integer pole/slot arrangement improves harmonic distribution and extends the operating range with lower cogging torque compared to integer pole/slot designs. Combined with GA-optimized skew angles, this reduces peak-to-peak cogging torque to less than 50%. This design is ideally suited for the traction requirements of electric vehicles, including premium electric vehicles where smooth operation at low speeds is critical. Full article
(This article belongs to the Section Propulsion Systems and Components)
Show Figures

Figure 1

18 pages, 3098 KB  
Article
Data-Driven Piecewise Bivariate Regression for Best-Estimate Natural Periods of Buildings
by Youngsoo Na, Nahyeon Park and Junhee Kim
Buildings 2026, 16(7), 1430; https://doi.org/10.3390/buildings16071430 - 3 Apr 2026
Viewed by 199
Abstract
The natural period is a key parameter in seismic design, but current empirical code formulas act as lower bounds for design safety, making them overly conservative for the precise performance assessment of existing buildings. To derive an optimal best estimate of the actual [...] Read more.
The natural period is a key parameter in seismic design, but current empirical code formulas act as lower bounds for design safety, making them overly conservative for the precise performance assessment of existing buildings. To derive an optimal best estimate of the actual dynamic behavior, this study proposes a novel methodology based on 283 measured data points worldwide. Overcoming the limitations of conventional single-variable models, this study introduces story height as a physical proxy variable alongside data clustering techniques. Story height extends beyond simple geometry, indirectly representing mass distribution and structural stiffness design levels, thereby effectively controlling the dispersion of heterogeneous global data on physical grounds. Consequently, the proposed piecewise bivariate non-linear regression model achieved a significantly lower RMSE across all structural systems compared to existing design codes and single-variable models, substantially improving prediction accuracy. Unlike traditional fixed-constant approaches, this continuously upgradable framework can serve as a robust foundational model for large-scale seismic screening in smart cities and digital twin-based maintenance systems. Full article
Show Figures

Figure 1

20 pages, 1596 KB  
Article
Modular Suprametric Spaces and Fixed-Point Principles with Applications in Fractional Burn-Healing Dynamics
by Marija Paunović, Abdurrahman Büyükkaya and Mahpeyker Öztürk
Mathematics 2026, 14(7), 1208; https://doi.org/10.3390/math14071208 - 3 Apr 2026
Viewed by 122
Abstract
We introduce a new nonlinear distance structure, a modular suprametric space, that integrates modular metrics with perturbations characteristic of suprametrics. Within this framework, we develop a contraction principle tailored to its nonlinear geometry and demonstrate the existence of fixed points under a generalized [...] Read more.
We introduce a new nonlinear distance structure, a modular suprametric space, that integrates modular metrics with perturbations characteristic of suprametrics. Within this framework, we develop a contraction principle tailored to its nonlinear geometry and demonstrate the existence of fixed points under a generalized iterative control. In order to showcase the practical application of this proposed structure, we analyze a burn-healing model driven by nonlinear recovery dynamics. The derived fixed-point conditions ensure both the existence and stability of the healing equilibrium. Our findings indicate that modular suprametric spaces serve as a versatile analytical tool for dynamical systems whose evolution exhibits nonstandard sensitivity, saturation effects, or exponential response behavior. Full article
Show Figures

Figure 1

26 pages, 1972 KB  
Article
Multiphysics Design and Fuzzy-Based Optimization of Materials and Geometry for the Triple Scissor Deployable Antenna Mechanism
by Mamoon Aamir, Mohamed Omri, Aqsa Zafar Abbasi and Lioua Kolsi
Math. Comput. Appl. 2026, 31(2), 52; https://doi.org/10.3390/mca31020052 - 2 Apr 2026
Viewed by 228
Abstract
There is a demand for a structurally sound fire detection and suppression system that can support a large deployable ground or space antenna in a lower Earth orbit (LEO) environment and remains thermally stable across the entire range of the LEO environment. This [...] Read more.
There is a demand for a structurally sound fire detection and suppression system that can support a large deployable ground or space antenna in a lower Earth orbit (LEO) environment and remains thermally stable across the entire range of the LEO environment. This paper describes a new type of deployable antenna, i.e., triple scissor deployable antenna mechanism (TSDAM), which has a circumferential modular structure and can deploy into position with one degree of freedom; its deployment does not change its geometric precision or structural stability. This research creates a comprehensive design methodology based on a multiphysics approach, which encompasses nonlinear kinematics analysis, fuzzy logic-based material selection, structural and thermal optimization using fuzzy logic geometries, coupled thermo-structural-dynamic analysis, and finally, dynamic analysis of the deployed structure. The material selection process identified the most suitable candidate material to be the T1100G carbon fiber reinforced plastic as its stiffness-to-weight ratio and thermal performance under LEO cycling was the best in the study. The optimal geometric deployment yield for the antenna was 26.8 m with a total structural weight of 128.4 kg and the base case geometric deployment yielded a feasible ratio of 0.91. This work provides a comparison of the mass savings using traditional deployable truss designs; testing of conventional designs showed a much greater mass overhead compared to the smart design’s mass. From a dynamic analysis perspective, the predicted fundamental frequency for the TSDAM as deployed was 0.09912 Hz and compared favorably to the corresponding finite element models (1.91% error), thereby validating the analytical model. The overall test provides a systematic, scalable methodology for designing ultra-lightweight, geometrically precise deployable reflector systems that satisfy the requirements of next-generation space operations. Full article
Show Figures

Figure 1

10 pages, 1329 KB  
Proceeding Paper
Nonlinear Analytical Contact Model for Single-Scale Rough Surfaces
by Guido Violano, Marco Ceglie, Nicola Menga, Giuseppe Pompeo Demelio and Luciano Afferrante
Eng. Proc. 2026, 131(1), 25; https://doi.org/10.3390/engproc2026131025 - 31 Mar 2026
Viewed by 161
Abstract
Classical contact mechanics typically relies on simplifying assumptions such as linear elasticity and frictionless interfaces. A notable example is the Westergaard model, a rigorous theoretical solution for the contact between a rigid sinusoidal surface and an elastic half-space with a flat surface. This [...] Read more.
Classical contact mechanics typically relies on simplifying assumptions such as linear elasticity and frictionless interfaces. A notable example is the Westergaard model, a rigorous theoretical solution for the contact between a rigid sinusoidal surface and an elastic half-space with a flat surface. This configuration captures the features of surface roughness at a single characteristic scale. Such modeling is particularly relevant since most natural and engineered surfaces exhibit roughness, significantly influencing their contact behavior. In this work, we present a nonlinear analytical contact model, which overcomes the main limitations of the Westergaard solution. Specifically, we formulate the contact problem within a finite elasticity framework and include interfacial friction. The analytical model is derived from the results of dedicated finite element simulations and subsequently validated against experimental data from the literature, demonstrating improved predictive accuracy in estimating the contact area as a function of the applied mean pressure. This work lays the foundation for the development of weakly nonlinear multiscale models, where solutions for single-scale roughness can be superimposed to approximate the behavior of more complex, fractal surface geometries. Such an approach holds promise for applications in areas such as tactile human–device interactions, soft robotics, and the design of bioinspired surfaces. Full article
Show Figures

Figure 1

22 pages, 6795 KB  
Article
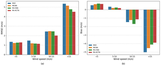
Physics-Aware Hybrid CNN–Transformer Network for GNSS-R Sea Surface Wind Speed Estimation
by Baiwei An, Weiwei Qin, Weijie Kang, Li Zhang and Hao Chi
Remote Sens. 2026, 18(7), 1053; https://doi.org/10.3390/rs18071053 - 31 Mar 2026
Viewed by 395
Abstract
Global Navigation Satellite System Reflectometry (GNSS-R) provides a promising approach for global ocean wind monitoring with high temporal resolution. However, accurate wind speed retrieval remains challenging due to the complex scattering mechanisms and the nonlinear coupling between delay–Doppler maps (DDMs) and observation geometries. [...] Read more.
Global Navigation Satellite System Reflectometry (GNSS-R) provides a promising approach for global ocean wind monitoring with high temporal resolution. However, accurate wind speed retrieval remains challenging due to the complex scattering mechanisms and the nonlinear coupling between delay–Doppler maps (DDMs) and observation geometries. To address these limitations, a Physics-Aware Hybrid CNN–Transformer Network (PA-HCTN) is proposed accordingly. The model integrates a CNN for local DDM feature extraction, a Transformer encoder for global context modeling, and a cross-attention module to dynamically fuse auxiliary physical parameters. A geophysical model function (GMF)-constrained loss is incorporated to enhance physical consistency. Evaluated on CYGNSS and ERA5 data, the PA-HCTN achieves an RMSE of 1.35 m/s and an R2 of 0.75, outperforming existing benchmarks and significantly mitigating high-wind-speed underestimation. In addition, through independent validation using NDBC buoy data from four sites, the results demonstrate the effectiveness of the hybrid architecture and physics-aware design for GNSS-R wind retrieval. Full article
Show Figures

Figure 1

28 pages, 9658 KB  
Article
Design and Implementation of a Real-Time Visual Tracking System for UAVs Based on PSDK
by Ranjun Yang, Ningbo Xie, Qinlin Li, Kefei Liao, Jie Lang and Kamarul Hawari Bin Ghazali
Sensors 2026, 26(7), 2145; https://doi.org/10.3390/s26072145 - 31 Mar 2026
Viewed by 288
Abstract
This paper presents the design and implementation of a real-time visual tracking system for unmanned aerial vehicles (UAVs), based on the DJIPayload Software Development Kit (PSDK), addressing the challenge of balancing high precision with low latency on resource-constrained edge platforms. By utilizing DJI [...] Read more.
This paper presents the design and implementation of a real-time visual tracking system for unmanned aerial vehicles (UAVs), based on the DJIPayload Software Development Kit (PSDK), addressing the challenge of balancing high precision with low latency on resource-constrained edge platforms. By utilizing DJI PSDK to abandon the Robot Operating System (ROS) layer and its associated serialization overhead, the proposed Middleware-Free Architecture reduces end-to-end latency by over 60% to approximately 30 ms. To address computational constraints, a Lightweight Asymmetric De-coupled Visual Servoing (ADVS) strategy is proposed. It adopts orthogonal kinematic de-coupling to bypass Jacobian matrix inversion and integrates a non-linear dead-zone mechanism with dynamics-aware gain scheduling to compensate for sensing anisotropy and gravitational nonlinearity. Simultaneously, a Geometry-Aware Fusion strategy is employed to reject visual outliers, while a Finite State Machine (FSM) strictly enforces temporal consistency. Field experiments in various scenarios verify the system’s stability and tracking capability. Specifically, the platform maintains a robust lock on targets at speeds up to 23 m/s across dynamic maneuvers. The successful implementation of this system confirms that high-performance edge tracking does not rely solely on the scaling of visual model complexity but can also be effectively achieved through the architectural minimization of latency combined with the optimization of theoretically grounded robust control strategies. Full article
(This article belongs to the Section Sensors and Robotics)
Show Figures

Figure 1

34 pages, 13959 KB  
Article
Geo-Referenced Factor-Graph SLAM for Orchard-Scale 3D Apple Reconstruction and Yield Estimation
by Dheeraj Bharti, Lilian Nogueira de Faria, Luciano Vieira Koenigkan, Luciano Gebler, Andrea de Rossi and Thiago Teixeira Santos
Agriculture 2026, 16(7), 764; https://doi.org/10.3390/agriculture16070764 - 30 Mar 2026
Viewed by 334
Abstract
Accurate and spatially resolved yield estimation is a critical requirement for precision agriculture and orchard management. This paper presents a geometrically consistent, orchard-scale apple yield estimation framework that integrates GNSS–visual-inertial odometry (VIO) fusion, deep learning-based object detection, multi-frame tracking, three-dimensional triangulation, and incremental [...] Read more.
Accurate and spatially resolved yield estimation is a critical requirement for precision agriculture and orchard management. This paper presents a geometrically consistent, orchard-scale apple yield estimation framework that integrates GNSS–visual-inertial odometry (VIO) fusion, deep learning-based object detection, multi-frame tracking, three-dimensional triangulation, and incremental factor-graph optimization. Camera poses are obtained using ZED GNSS–VIO fusion and subsequently refined using an iSAM2-based nonlinear smoothing approach that incorporates strong relative-motion constraints and soft global ENU (East-North-Up) translation priors. Apples are detected using a YOLO-based model and associated across frames via CoTracker3, enabling robust multi-view landmark reconstruction. Reprojection factors and landmark priors are incorporated into a unified nonlinear factor graph to jointly optimize camera trajectories and 3D apple positions. The reconstructed apples are spatially aggregated into a grid-based mass map, where individual fruit volumes are estimated assuming spherical geometry and converted to mass using density models. The resulting ENU-referenced yield plot provides a structured representation of orchard production variability. Experimental results demonstrate significant reductions in reprojection error after optimization and improved global consistency of the trajectory, leading to stable and spatially coherent 3D reconstructions. The proposed pipeline bridges perception, geometry, and optimization, providing a scalable solution for orchard-scale yield mapping and decision support in precision agriculture. Full article
(This article belongs to the Special Issue Application of Smart Technologies in Orchard Management)
Show Figures

Figure 1

18 pages, 4212 KB  
Article
Finite Element Study of Lightweight-Concrete-Filled Hollow-Flanged Cold-Formed Steel Beams Under Bending–Shear Interaction
by Mohamed Sifan, Kasim Smith, Keerthan Poologanathan and Thushanthan Kannan
Buildings 2026, 16(7), 1370; https://doi.org/10.3390/buildings16071370 - 30 Mar 2026
Viewed by 290
Abstract
This study presents a comprehensive numerical investigation into the combined bending–shear behaviour of hollow-flanged cold-formed steel (HFCFS) beams filled with lightweight concrete (LWC). Although previous research has independently examined the pure bending and pure shear responses of these composite members, their structural performance [...] Read more.
This study presents a comprehensive numerical investigation into the combined bending–shear behaviour of hollow-flanged cold-formed steel (HFCFS) beams filled with lightweight concrete (LWC). Although previous research has independently examined the pure bending and pure shear responses of these composite members, their structural performance under simultaneous bending and shear remains unexplored. In this work, advanced three-dimensional finite element (FE) models were developed in ABAQUS to simulate the nonlinear behaviour of LWC-filled HFCFS beams subjected to various shear-span ratios. The modelling approach was validated using published experimental data and extended through a systematic parametric study that considered three beam geometries, two steel yield strengths (350 MPa and 450 MPa), two lightweight-concrete strengths (30 MPa and 50 MPa), and aspect ratios ranging from 1.5 to 3.5. The results demonstrated a clear progression of governing failure modes, from web shear buckling at low aspect ratios to combined shear–flexure interaction at intermediate spans and flexural-dominated failure at larger spans. Normalised shear and bending demand–capacity ratios (V/Vu and M/Mu) were used to identify the dominant limit state, revealing a predictable transition from shear-controlled to flexure-controlled behaviour. The findings enhance the understanding of composite thin-walled steel–concrete systems under combined actions and highlight the need for dedicated design rules for CF-HFCFS beams operating within the bending–shear interaction domain. Full article
(This article belongs to the Collection Advanced Concrete Materials in Construction)
Show Figures

Figure 1

18 pages, 9254 KB  
Article
Seismic Response and Mitigation Measures of Large Unequal-Span Subway Station Structures in Liquefiable Sites
by Jing Yang, Jianning Wang, Zigang Xu, Chen Wang and Ruimeng Xia
Buildings 2026, 16(7), 1359; https://doi.org/10.3390/buildings16071359 - 29 Mar 2026
Viewed by 236
Abstract
The deformation of surrounding soil primarily governs the behavior of underground structures. Consequently, variations in their external geometry significantly affect their overall seismic response. Moreover, large soil deformations and structural uplift caused by liquefaction severely threaten their seismic safety. While most previous studies [...] Read more.
The deformation of surrounding soil primarily governs the behavior of underground structures. Consequently, variations in their external geometry significantly affect their overall seismic response. Moreover, large soil deformations and structural uplift caused by liquefaction severely threaten their seismic safety. While most previous studies have focused on conventional rectangular subway stations, the seismic performance of novel varying-span structures remains largely unexplored. In this study, nonlinear dynamic time-history analyses are conducted to investigate the soil–structure interaction (SSI) of large unequal-span subway stations in liquefiable sites. Furthermore, the seismic responses of both the structure and the surrounding soil are systematically evaluated under various burial depths of the liquefiable layer. Finally, a U-shaped foundation reinforcement method is proposed to mitigate structural uplift. The results show that unequal-span structures suppress liquefaction in lateral soil, whereas significant liquefaction occurs beneath the base slab and cantilevered middle slabs. The burial depth of the liquefiable layer has a negligible effect on the liquefaction state directly under the center span. Regarding structural response, global uplift follows a spatial pattern that peaks at the center span and gradually attenuates laterally. Although the proposed U-shaped reinforcement effectively reduces both total and differential uplift, it does not fundamentally change the underlying liquefaction mechanism. Specifically, reinforcing the soil under cantilevered sections minimizes differential uplift while enhancing the overall economic efficiency of the seismic design. These findings provide a scientific basis for optimizing the seismic resilience of complex underground structures, contributing to the development of resource-efficient and disaster-resilient urban underground infrastructure in liquefaction-prone regions. Full article
(This article belongs to the Special Issue Building Response to Extreme Dynamic Loads)
Show Figures

Figure 1

15 pages, 2885 KB  
Article
Investigating the Influence of Horizontal and Vertical Alignments on Vehicle CO2 Emissions Based on Real-World Testing
by Yongquan Li, Ling Pan, Yunchu Wu, Xiaofeng Su, Xiaofei Wang and Fei Yu
Atmosphere 2026, 17(4), 338; https://doi.org/10.3390/atmos17040338 - 27 Mar 2026
Viewed by 285
Abstract
Road transportation is a major contributor to global CO2 emissions, yet the influence of road geometry on vehicular emissions remains insufficiently quantified under real-world conditions. This study investigates the effects of horizontal and vertical alignments on CO2 emissions of a light-duty [...] Read more.
Road transportation is a major contributor to global CO2 emissions, yet the influence of road geometry on vehicular emissions remains insufficiently quantified under real-world conditions. This study investigates the effects of horizontal and vertical alignments on CO2 emissions of a light-duty gasoline passenger vehicle using Portable Emissions Measurement System (PEMS) data collected along a 62.4 km highway section. Six geometric parameters longitudinal grade, cross slope, horizontal curve radius, horizontal curve length, vertical curve radius, and vertical curve length were analyzed in combination with second-by-second vehicle dynamics. The results indicate that transient CO2 emissions exhibit substantial variability, with instantaneous emission rates exceeding 7.0 g/s under high-load conditions. Longitudinal slope gradient shows the strongest linear association with emission rate (r = 0.63), while speed and acceleration exhibit weaker but statistically significant correlations (r = 0.21 and r = 0.28, respectively). Vehicle Specific Power (VSP), representing integrated tractive power demand, demonstrates stronger association with instantaneous CO2 emissions than individual kinematic variables. In contrast, cross slope and horizontal curvature parameters display minimal direct correlations under the tested highway conditions. A nonlinear polynomial regression model modestly improves explanatory performance relative to a linear formulation (R2 = 0.21 versus 0.15; RMSE approximately 56 g/km), although a substantial portion of variability remains unexplained, reflecting the complexity of transient real-world processes. Overall, vertical alignment and transient driving conditions dominate CO2 emission variability, while horizontal parameters play supplementary roles. These findings provide empirical evidence for refining emission models and highlight the importance of incorporating vertical alignment into sustainable roadway design and carbon reduction strategies. Full article
(This article belongs to the Special Issue Vehicle Emissions Testing, Modeling, and Lifecycle Assessment)
Show Figures

Figure 1

23 pages, 2445 KB  
Article
Tolerance Based Thermo-Optical Risk Framework for Parabolic Trough Collectors Under Receiver Misalignment
by Fatih Ünal, Nesrin İlgin Beyazit and Merve Şentürk Acar
Appl. Sci. 2026, 16(7), 3168; https://doi.org/10.3390/app16073168 - 25 Mar 2026
Viewed by 238
Abstract
Parabolic trough collectors (PTCs) are highly sensitive to receiver positioning accuracy; however, most existing studies report optical efficiency degradation without formally defining alignment tolerance limits. This study proposes a tolerance-based thermo-optical risk framework to quantify allowable receiver misalignment envelopes for reliable PTC operation. [...] Read more.
Parabolic trough collectors (PTCs) are highly sensitive to receiver positioning accuracy; however, most existing studies report optical efficiency degradation without formally defining alignment tolerance limits. This study proposes a tolerance-based thermo-optical risk framework to quantify allowable receiver misalignment envelopes for reliable PTC operation. A Monte Carlo Ray Tracing (MCRT) methodology is employed to evaluate the impact of angular receiver misalignment on optical efficiency and circumferential heat flux redistribution. Beyond conventional efficiency metrics, normalized flux-based thermal non-uniformity indicators are introduced to assess thermo-mechanical risk without requiring full thermo-fluid modeling. The results reveal a nonlinear decoupling between optical acceptability and thermal safety. While optical efficiency remains above 0.80 up to approximately ±6°, pronounced flux localization and rapid growth of thermal stress indicators occur beyond ±4°, marking the onset of thermally critical behavior. The identified ±4° threshold corresponds to approximately twice the collector half-acceptance angle (θ(crit)/δ ≈ 2), demonstrating geometry-dependent scaling characteristics. The proposed framework formalizes the optical–thermal decoupling phenomenon and transforms conventional efficiency-based evaluation into a reliability-informed alignment tolerance assessment tool applicable to manufacturing precision, installation control, and operational quality management in CSP systems. Full article
(This article belongs to the Section Mechanical Engineering)
Show Figures

Figure 1

28 pages, 5247 KB  
Article
Comparative Analysis of High-Fidelity and Reduced-Order Models for Nonlinear Wave–Bathymetry and Wave–Structure Interactions
by Wen-Huai Tsao and Christopher E. Kees
J. Mar. Sci. Eng. 2026, 14(7), 594; https://doi.org/10.3390/jmse14070594 - 24 Mar 2026
Viewed by 249
Abstract
This paper presents a computational study of wave–bathymetry and wave–structure interaction problems using advanced numerical techniques based on high-fidelity, two-phase Navier–Stokes (TpNS) flow and reduced-order, fully nonlinear potential flow models. For high-fidelity simulations, the TpNS equations are discretized using the finite-element method, with [...] Read more.
This paper presents a computational study of wave–bathymetry and wave–structure interaction problems using advanced numerical techniques based on high-fidelity, two-phase Navier–Stokes (TpNS) flow and reduced-order, fully nonlinear potential flow models. For high-fidelity simulations, the TpNS equations are discretized using the finite-element method, with free-surface evolution captured through a hybrid level-set (LS) and volume-of-fluid (VOF) formulation. A monolithic, phase-conservative LS equation is introduced to mitigate mass loss and interface smearing, combined with a semi-implicit projection scheme. Hydrodynamic forces are resolved using a high-order, phase-resolving cut finite-element method (CutFEM), which enables the representation of complex solid geometries within a fixed background mesh. An equivalent polynomial of Heaviside and Dirac distributions ensures accurate evaluation of surface and volume integrals. Hence, no explicit generation of cut cell meshes, adaptive quadrature, or local refinement is required. For reduced-order modeling, a fast regularized boundary integral method (RBIM) is employed to solve the fully nonlinear potential flow. Singular and near-singular integrals are treated using a subtract-and-addition technique based on auxiliary functions derived from Stokes’ theorem, allowing direct application of high-order quadrature without conventional boundary element discretization. An arbitrary Lagrangian–Eulerian (ALE) formulation is adopted to enforce free-surface boundary conditions while avoiding excessive mesh distortion. The proposed approaches are applied to investigate highly nonlinear wave transformation over complex bathymetry and wave-induced dynamics of floating structures, including eddy-making damping effects. Numerical results are validated against experimental measurements. These two modeling approaches represent complementary levels of physical fidelity and computational efficiency, and their systematic comparison clarifies the trade-offs between computational accuracy, efficiency, and cost for practical marine problems. Full article
(This article belongs to the Special Issue Wave–Structure–Seabed Interaction)
Show Figures

Figure 1

23 pages, 1734 KB  
Article
Reinforcement-Learning-Based Optimization of Convective Fluxes for High-CFL Finite-Volume Schemes
by Andrey Rozhkov, Andrey Kozelkov, Vadim Kurulin and Maxim Shishlenin
Computation 2026, 14(4), 75; https://doi.org/10.3390/computation14040075 - 24 Mar 2026
Viewed by 217
Abstract
In this article, we explore the possibility of using reinforcement learning to create convective flow approximation schemes that maintain accuracy and stability at high Courant-Friedrichs-Lewy (CFL) numbers in the finite-volume discretization of advection equations. Unlike most existing data-driven discretization methods, which primarily concentrate [...] Read more.
In this article, we explore the possibility of using reinforcement learning to create convective flow approximation schemes that maintain accuracy and stability at high Courant-Friedrichs-Lewy (CFL) numbers in the finite-volume discretization of advection equations. Unlike most existing data-driven discretization methods, which primarily concentrate on spatial grid refinement, this work emphasizes increasing the allowable time step without compromising solution accuracy. This approach reduces the total number of time integration steps, thereby enabling faster computation. A neural network is used as a surrogate model for reconstructing the convective flow, which takes as input local information about the flow, scalars, and geometry and predicts scalar values at node points. Reinforcement learning is used for training and is formulated as a policy optimization problem, where the long-term reward is defined as the difference between the numerical and reference solutions over the entire simulation period. Both the genetic algorithm and the Deep Deterministic Policy Gradient (DDPG) method are investigated. The effectiveness of the approach is evaluated using a one-dimensional nonlinear advection problem with a constant velocity field. Despite the simplicity of the test case, the results demonstrate that the trained convective flux approximation scheme achieves accuracy comparable to or better than the classical second-order linear upwind (LUD) scheme, while operating at CFL numbers 2–50 times higher than the optimal CFL for LUD, thereby reducing the simulation time by the same factor. This allows for a wider range of stability and accuracy in the finite-volume method and the use of larger time steps without compromising the quality of the solution. The study is intentionally limited to a single spatial dimension and serves as a basic analysis of the method’s applicability. The results demonstrate that reinforcement learning can successfully find more convective flow approximation schemes that improve efficiency at high CFL numbers than conventional explicit second-order schemes, establishing a framework that is subsequently extended in our follow-up work to improve training methods and three-dimensional complex transport problems. The proposed method improves the spatial discretization of convective fluxes, which is independent of the choice of time integration scheme. Therefore, the neural reconstruction can in principle be used in both explicit and implicit finite-volume solvers. Full article
(This article belongs to the Section Computational Engineering)
Show Figures

Figure 1

21 pages, 8574 KB  
Article
Predicting Non-Darcy Inertial Resistance from Darcy Regime Characterization and Pore-Scale Structural Descriptors
by Quanyu Pan, Linsong Cheng, Pin Jia, Renyi Cao and Peiyu Li
Processes 2026, 14(6), 1025; https://doi.org/10.3390/pr14061025 - 23 Mar 2026
Viewed by 323
Abstract
High-velocity fluid flow in porous media frequently exhibits non-Darcy behavior, where inertial losses lead to nonlinear pressure gradient velocity behavior. Predicting the Forchheimer coefficient β remains challenging because β varies sensitively with pore geometry and is often not constrained by porosity and permeability [...] Read more.
High-velocity fluid flow in porous media frequently exhibits non-Darcy behavior, where inertial losses lead to nonlinear pressure gradient velocity behavior. Predicting the Forchheimer coefficient β remains challenging because β varies sensitively with pore geometry and is often not constrained by porosity and permeability alone. This study develops a structure-based method to estimate β using intrinsic descriptors obtained from the Darcy regime flow characterization and image-based geometry analysis. A set of two-dimensional granular porous media was generated with controlled variations in porosity, particle size distribution, and grain size variability. Single phase simulations are simulated with a body-force multiple-relaxation-time lattice Boltzmann method. The transition from Darcy flow to non-Darcy flow is identified from the velocity and pressure gradient response, and β is determined by fitting the inertial flow regime. Two tortuosity responses were observed. In uniform media, hydraulic tortuosity remained nearly constant in the Darcy regime and then gradually decreased. In disordered media, hydraulic tortuosity first increased with the onset of recirculation and then decreased as dominant flow paths became stable. Based on these results, a dimensionless inertial factor was correlated with porosity, intrinsic hydraulic tortuosity, and a pore structure index derived from specific surface area and hydraulic pore size. The resulting model predicts β from permeability and structural descriptors. The resulting correlation provides β estimates from Darcy permeability and geometry descriptors. Validation with quasi-two-dimensional microfluidic pillar array data showed that the model captured both the magnitude and relative ordering of β for the tested geometries. The proposed framework should be regarded as a proof of concept for idealized granular porous media and quasi-two-dimensional structured systems. Full article
(This article belongs to the Section Petroleum and Low-Carbon Energy Process Engineering)
Show Figures

Figure 1

Back to TopTop