Sign in to use this feature.

Years

Between: -

Subjects

remove_circle_outline
remove_circle_outline
remove_circle_outline
remove_circle_outline
remove_circle_outline
remove_circle_outline
remove_circle_outline
remove_circle_outline
remove_circle_outline

Journals

remove_circle_outline
remove_circle_outline
remove_circle_outline
remove_circle_outline
remove_circle_outline
remove_circle_outline
remove_circle_outline
remove_circle_outline
remove_circle_outline
remove_circle_outline
remove_circle_outline
remove_circle_outline
remove_circle_outline
remove_circle_outline
remove_circle_outline
remove_circle_outline
remove_circle_outline
remove_circle_outline
remove_circle_outline
remove_circle_outline

Article Types

Countries / Regions

remove_circle_outline
remove_circle_outline
remove_circle_outline
remove_circle_outline
remove_circle_outline
remove_circle_outline

Search Results (3,729)

Search Parameters:
Keywords = geometrical accuracy

Order results
Result details
Results per page
Select all
Export citation of selected articles as:
17 pages, 164411 KB  
Article
DocCPLNet: Document Image Rectification via Control Point and Illumination Correction
by Hongyin Ni, Jiayu Han, Chiyuan Wang, Shuo Zhang and Ruiqi Li
Sensors 2025, 25(20), 6304; https://doi.org/10.3390/s25206304 (registering DOI) - 11 Oct 2025
Abstract
With the widespread adoption of mobile devices in daily life, efficiently capturing and digitizing documentation has emerged as a critical research question. The acquisition of documents via mobile devices is often compromised by shadow interference and geometric distortions, which degrade image quality and [...] Read more.
With the widespread adoption of mobile devices in daily life, efficiently capturing and digitizing documentation has emerged as a critical research question. The acquisition of documents via mobile devices is often compromised by shadow interference and geometric distortions, which degrade image quality and adversely affect both OCR accuracy and readability. To address this, we propose a novel method that utilizes control points and illumination prediction to effectively rectify distortions and eliminate shadows in captured document images. Spatial attention is employed to guide the interpolation between control points and reference points, effectively eliminating geometric distortions in the captured document images. Following geometric unwarping, an illumination correction model is applied to remove shadows and enhance surface clarity, improving both human readability and OCR accuracy. Our method demonstrates robust performance in effectively rectifying document distortions across diverse scenarios. Evaluation on the DocUNet benchmark dataset shows that our approach achieves competitive results compared with state-of-the-art techniques. Full article
Show Figures

Figure 1

16 pages, 2670 KB  
Article
Research on Secondary Condensation Method Based on Substructure Method for Helicopter Tail Boom Model
by Kunjian Jin, Xu Wang, Guoke Huang, Yingqi Zhang, Guorui Yu and Xiao Wang
Aerospace 2025, 12(10), 915; https://doi.org/10.3390/aerospace12100915 (registering DOI) - 11 Oct 2025
Abstract
The tail boom is a critical structural component of a helicopter, and accurately capturing its dynamic characteristics is essential; however, the inherent geometric and material complexity of the tail boom usually leads to large-scale finite element models whose system matrices are of very [...] Read more.
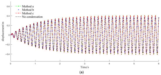
The tail boom is a critical structural component of a helicopter, and accurately capturing its dynamic characteristics is essential; however, the inherent geometric and material complexity of the tail boom usually leads to large-scale finite element models whose system matrices are of very high order, and as the matrix order increases the computational effort grows exponentially. To further accelerate the condensation process for a truss-type tail-boom FE model, this paper presents a substructure-based secondary condensation method in which the global structure is partitioned into several substructures, each secondary substructure is first condensed onto its boundary nodes and then assembled into the primary structure, and the primary structure—now enriched with the condensed secondary substructures—is finally reduced to the target degrees of freedom, repeatedly operating on low-order matrices instead of a single high-order one to markedly shorten overall computation time. The proposed method is compared with both overall secondary IRS condensation and overall secondary SEREP condensation. All three secondary-condensation strategies yield six-degree-of-freedom coupled-spring equivalent models whose accuracy errors are very small in modal, frequency-domain, and time-domain analyses: frequency errors remain within 1%, and the goodness-of-fit of the time-history response curves exceeds 0.9, while the computational time is reduced by more than 70%, demonstrating that the substructure-based secondary condensation method is highly effective, delivering much higher computational efficiency without sacrificing accuracy. Full article
(This article belongs to the Section Aeronautics)
Show Figures

Figure 1

48 pages, 8745 KB  
Review
Fringe-Based Structured-Light 3D Reconstruction: Principles, Projection Technologies, and Deep Learning Integration
by Zhongyuan Zhang, Hao Wang, Yiming Li, Zinan Li, Weihua Gui, Xiaohao Wang, Chaobo Zhang, Xiaojun Liang and Xinghui Li
Sensors 2025, 25(20), 6296; https://doi.org/10.3390/s25206296 (registering DOI) - 11 Oct 2025
Abstract
Structured-light 3D reconstruction is an active measurement technique that extracts spatial geometric information of objects by projecting fringe patterns and analyzing their distortions. It has been widely applied in industrial inspection, cultural heritage digitization, virtual reality, and other related fields. This review presents [...] Read more.
Structured-light 3D reconstruction is an active measurement technique that extracts spatial geometric information of objects by projecting fringe patterns and analyzing their distortions. It has been widely applied in industrial inspection, cultural heritage digitization, virtual reality, and other related fields. This review presents a comprehensive analysis of mainstream fringe-based reconstruction methods, including Fringe Projection Profilometry (FPP) for diffuse surfaces and Phase Measuring Deflectometry (PMD) for specular surfaces. While existing reviews typically focus on individual techniques or specific applications, they often lack a systematic comparison between these two major approaches. In particular, the influence of different projection schemes such as Digital Light Processing (DLP) and MEMS scanning mirror–based laser scanning on system performance has not yet been fully clarified. To fill this gap, the review analyzes and compares FPP and PMD with respect to measurement principles, system implementation, calibration and modeling strategies, error control mechanisms, and integration with deep learning methods. Special focus is placed on the potential of MEMS projection technology in achieving lightweight and high-dynamic-range measurement scenarios, as well as the emerging role of deep learning in enhancing phase retrieval and 3D reconstruction accuracy. This review concludes by identifying key technical challenges and offering insights into future research directions in system modeling, intelligent reconstruction, and comprehensive performance evaluation. Full article
(This article belongs to the Section Sensing and Imaging)
19 pages, 8879 KB  
Article
Energy-Conscious Lightweight LiDAR SLAM with 2D Range Projection and Multi-Stage Outlier Filtering for Intelligent Driving
by Chun Wei, Tianjing Li and Xuemin Hu
Computation 2025, 13(10), 239; https://doi.org/10.3390/computation13100239 - 10 Oct 2025
Abstract
To meet the increasing demands of energy efficiency and real-time performance in autonomous driving systems, this paper presents a lightweight and robust LiDAR SLAM framework designed with power-aware considerations. The proposed system introduces three core innovations. First, it replaces traditional ordered point cloud [...] Read more.
To meet the increasing demands of energy efficiency and real-time performance in autonomous driving systems, this paper presents a lightweight and robust LiDAR SLAM framework designed with power-aware considerations. The proposed system introduces three core innovations. First, it replaces traditional ordered point cloud indexing with a 2D range image projection, significantly reducing memory usage and enabling efficient feature extraction with curvature-based criteria. Second, a multi-stage outlier rejection mechanism is employed to enhance feature robustness by adaptively filtering occluded and noisy points. Third, we propose a dynamically filtered local mapping strategy that adjusts keyframe density in real time, ensuring geometric constraint sufficiency while minimizing redundant computation. These components collectively contribute to a SLAM system that achieves high localization accuracy with reduced computational load and energy consumption. Experimental results on representative autonomous driving datasets demonstrate that our method outperforms existing approaches in both efficiency and robustness, making it well-suited for deployment in low-power and real-time scenarios within intelligent transportation systems. Full article
(This article belongs to the Special Issue Object Detection Models for Transportation Systems)
Show Figures

Figure 1

22 pages, 4487 KB  
Article
A Trajectory Estimation Method Based on Microwave Three-Point Ranging for Sparse 3D Radar Imaging
by Changyu Lou, Jingcheng Zhao, Xingli Wu, Zongkai Yang, Jungang Miao and Tao Hong
Remote Sens. 2025, 17(20), 3397; https://doi.org/10.3390/rs17203397 - 10 Oct 2025
Abstract
Precise estimate of antenna location is essential for high-quality three-dimensional (3D) radar imaging, especially under sparse sampling schemes. In scenarios involving synchronized scanning and rotational motion, small deviations in the radar’s transmitting position can lead to significant phase errors, thereby degrading image fidelity [...] Read more.
Precise estimate of antenna location is essential for high-quality three-dimensional (3D) radar imaging, especially under sparse sampling schemes. In scenarios involving synchronized scanning and rotational motion, small deviations in the radar’s transmitting position can lead to significant phase errors, thereby degrading image fidelity or even causing image failure. To address this challenge, we propose a novel trajectory estimation method based on microwave three-point ranging. The method utilizes three fixed microwave-reflective calibration spheres positioned outside the imaging scene. By measuring the one-dimensional radial distances between the radar and each of the three spheres, and geometrically constructing three intersecting spheres in space, the radar’s spatial position can be uniquely determined at each sampling moment. This external reference-based localization scheme significantly reduces positioning errors without requiring precise synchronization control between scanning and rotation. Furthermore, the proposed approach enhances the robustness and flexibility of sparse sampling strategies in near-field radar imaging. Beyond ground-based setups, the method also holds promise for drone-borne 3D imaging applications, enabling accurate localization of onboard radar systems during flight. Simulation results and error analysis demonstrate that the proposed method improves trajectory accuracy and supports high-fidelity 3D reconstruction under non-ideal sampling conditions. Full article
(This article belongs to the Section Engineering Remote Sensing)
Show Figures

Figure 1

34 pages, 2719 KB  
Article
Enhanced Airfoil Design Optimization Using Hybrid Geometric Neural Networks and Deep Symbiotic Genetic Algorithms
by Özlem Batur Dinler
Appl. Sci. 2025, 15(20), 10882; https://doi.org/10.3390/app152010882 - 10 Oct 2025
Abstract
Optimal airfoil design remains a critical challenge in aerodynamic engineering, with traditional methods requiring extensive computational resources and iterative processes. This paper presents GEO-DSGA, a novel framework integrating hybrid geometric neural networks with deep symbiotic genetic algorithms for enhanced airfoil optimization. The methodology [...] Read more.
Optimal airfoil design remains a critical challenge in aerodynamic engineering, with traditional methods requiring extensive computational resources and iterative processes. This paper presents GEO-DSGA, a novel framework integrating hybrid geometric neural networks with deep symbiotic genetic algorithms for enhanced airfoil optimization. The methodology employs graph-based representations of airfoil geometries through a hybrid architecture combining graph convolutional networks with traditional deep learning, enabling precise capture of spatial geometric relationships. The parametric modeling stage utilizes CST, Bézier curves, and PARSEC methods to generate mathematically robust airfoil representations, subsequently transformed into graph structures preserving local and global shape characteristics. The optimization framework incorporates a deep symbiotic genetic algorithm enhanced with dominant feature phenotyping, applying biological symbiotic principles where design parameters achieve superior performance through mutual enhancement rather than independent optimization. This systematic exploration maintains geometric feasibility and aerodynamic validity throughout the design space. Experimental results demonstrate an 88.6% reduction in computational time while maintaining prediction accuracy within 1.5% error margin for aerodynamic coefficients across diverse operating conditions. The methodology successfully identifies airfoil geometries outperforming baseline NACA profiles by up to 12% in lift-to-drag ratio while satisfying manufacturing and structural constraints, establishing GEO-DSGA as a significant advancement in computational aerodynamic design optimization. Full article
Show Figures

Figure 1

15 pages, 4152 KB  
Article
Analysis of the Geometrical Size Effect on the Fatigue Performance of Welded T-Joints
by Yue Chen, Peiwen Shen, Chang Li and Jianting Zhou
Buildings 2025, 15(19), 3627; https://doi.org/10.3390/buildings15193627 - 9 Oct 2025
Abstract
Fatigue fracture is the predominant failure mode in welded joints, where complex stress distributions and stress gradient effects at critical joint regions present major challenges for fatigue design. In civil engineering, the diversity of welded joint configurations, large structural spans, and complex loading [...] Read more.
Fatigue fracture is the predominant failure mode in welded joints, where complex stress distributions and stress gradient effects at critical joint regions present major challenges for fatigue design. In civil engineering, the diversity of welded joint configurations, large structural spans, and complex loading conditions make it essential to investigate the influence of geometrical size effects on fatigue performance to ensure structural safety. This study focuses on welded T-joints and examines how variations in web plate thickness, weld toe size, and welding angle affect their fatigue behavior through experimental testing. The results show that fatigue life curves fitted using the Mises stress amplitude exhibit higher accuracy than those based on the normal stress amplitude used in current design codes. Pearson correlation analysis indicates that the influences of the geometrical parameters on fatigue life are mutually independent. Furthermore, analysis of the coefficient of variation reveals that welding angle has the greatest effect on fatigue life, whereas weld toe size exerts the least influence. Full article
(This article belongs to the Section Building Structures)
Show Figures

Figure 1

15 pages, 583 KB  
Article
Contrastive Geometric Cross-Entropy: A Unified Explicit-Margin Loss for Classification in Network Automation
by Yifan Wu, Lei Xiao and Xia Du
Network 2025, 5(4), 45; https://doi.org/10.3390/network5040045 - 9 Oct 2025
Abstract
As network automation and self-organizing networks (SONs) rapidly evolve, edge devices increasingly demand lightweight, real-time, and high-precision classification algorithms to support critical tasks such as traffic identification, intrusion detection, and fault diagnosis. In recent years, cross-entropy (CE) loss has been widely adopted in [...] Read more.
As network automation and self-organizing networks (SONs) rapidly evolve, edge devices increasingly demand lightweight, real-time, and high-precision classification algorithms to support critical tasks such as traffic identification, intrusion detection, and fault diagnosis. In recent years, cross-entropy (CE) loss has been widely adopted in deep learning classification tasks due to its computational efficiency and ease of optimization. However, traditional CE methods primarily focus on class separability without explicitly constraining intra-class compactness and inter-class boundaries in the feature space, thereby limiting their generalization performance on complex classification tasks. To address this issue, we propose a novel classification loss framework—Contrastive Geometric Cross-Entropy (CGCE). Without incurring additional computational or memory overhead, CGCE explicitly introduces learnable class representation vectors and constructs the loss function based on the dot-product similarity between features and these class representations, thus explicitly reinforcing geometric constraints in the feature space. This mechanism effectively enhances intra-class compactness and inter-class separability. Theoretical analysis further demonstrates that minimizing the CGCE loss naturally induces clear and measurable geometric class boundaries in the feature space, a desirable property absent from traditional CE methods. Furthermore, CGCE can seamlessly incorporate the prior knowledge of pretrained models, converging rapidly within only a few training epochs (for example, on the CIFAR-10 dataset using the ViT model, a single training epoch is sufficient to reach 99% of the final training accuracy.) Experimental results on both text and image classification tasks show that CGCE achieves accuracy improvements of up to 2% over traditional CE methods, exhibiting stronger generalization capabilities under challenging scenarios such as class imbalance, few-shot learning, and noisy labels. These findings indicate that CGCE has significant potential as a superior alternative to traditional CE methods. Full article
Show Figures

Figure 1

25 pages, 4961 KB  
Article
Automation and Genetic Algorithm Optimization for Seismic Modeling and Analysis of Tall RC Buildings
by Piero A. Cabrera, Gianella M. Medina and Rick M. Delgadillo
Buildings 2025, 15(19), 3618; https://doi.org/10.3390/buildings15193618 - 9 Oct 2025
Viewed by 35
Abstract
This article presents an innovative approach to optimizing the seismic modeling and analysis of high-rise buildings by automating the process with Python 3.13 and the ETABS 22.1.0 API. The process begins with the collection of information on the base building, a structure of [...] Read more.
This article presents an innovative approach to optimizing the seismic modeling and analysis of high-rise buildings by automating the process with Python 3.13 and the ETABS 22.1.0 API. The process begins with the collection of information on the base building, a structure of seventeen regular levels, which includes data from structural elements, material properties, geometric configuration, and seismic and gravitational loads. These data are organized in an Excel file for further processing. From this information, a code is developed in Python that automates the structural modeling in ETABS through its API. This code defines the sections, materials, edge conditions, and loads and models the elements according to their coordinates. The resulting base model is used as a starting point to generate an optimal solution using a genetic algorithm. The genetic algorithm adjusts column and beam sections using an approach that includes crossover and controlled mutation operations. Each solution is evaluated by the maximum displacement of the structure, calculating the fitness as the inverse of this displacement, favoring solutions with less deformation. The process is repeated across generations, selecting and crossing the best solutions. Finally, the model that generates the smallest displacement is saved as the optimal solution. Once the optimal solution has been obtained, it is implemented a second code in Python is implemented to perform static and dynamic seismic analysis. The key results, such as displacements, drifts, internal and basal shear forces, are processed and verified in accordance with the Peruvian Technical Standard E.030. The automated model with API shows a significant improvement in accuracy and efficiency compared to traditional methods, highlighting an R2 = 0.995 in the static analysis, indicating an almost perfect fit, and an RMSE = 1.93261 × 10−5, reflecting a near-zero error. In the dynamic drift analysis, the automated model reaches an R2 = 0.9385 and an RMSE = 5.21742 × 10−5, demonstrating its high precision. As for the lead time, the model automated completed the process in 13.2 min, which means a 99.5% reduction in comparison with the traditional method, which takes 3 h. On the other hand, the genetic algorithm had a run time of 191 min due to its stochastic nature and iterative process. The performance of the genetic algorithm shows that although the improvement is significant between Generation 1 and Generation 2, is stabilized in the following generations, with a slight decrease in Generation 5, suggesting that the algorithm has reached its level has reached a point of convergence. Full article
(This article belongs to the Special Issue Building Safety Assessment and Structural Analysis)
Show Figures

Figure 1

16 pages, 5781 KB  
Article
Design of an Underwater Optical Communication System Based on RT-DETRv2
by Hexi Liang, Hang Li, Minqi Wu, Junchi Zhang, Wenzheng Ni, Baiyan Hu and Yong Ai
Photonics 2025, 12(10), 991; https://doi.org/10.3390/photonics12100991 - 8 Oct 2025
Viewed by 102
Abstract
Underwater wireless optical communication (UWOC) is a key technology in ocean resource development, and its link stability is often limited by the difficulty of optical alignment in complex underwater environments. In response to this difficulty, this study has focused on improving the Real-Time [...] Read more.
Underwater wireless optical communication (UWOC) is a key technology in ocean resource development, and its link stability is often limited by the difficulty of optical alignment in complex underwater environments. In response to this difficulty, this study has focused on improving the Real-Time Detection Transformer v2 (RT-DETRv2) model. We have improved the underwater light source detection model by collaboratively designing a lightweight backbone network and deformable convolution, constructing a cross-stage local attention mechanism to reduce the number of network parameters, and introducing geometrically adaptive convolution kernels that dynamically adjust the distribution of sampling points, enhance the representation of spot-deformation features, and improve positioning accuracy under optical interference. To verify the effectiveness of the model, we have constructed an underwater light-emitting diode (LED) light-spot detection dataset containing 11,390 images was constructed, covering a transmission distance of 15–40 m, a ±45° deflection angle, and three different light-intensity conditions (noon, evening, and late night). Experiments show that the improved model achieves an average precision at an intersection-over-union threshold of 0.50 (AP50) value of 97.4% on the test set, which is 12.7% higher than the benchmark model. The UWOC system built based on the improved model achieves zero-bit-error-rate communication within a distance of 30 m after assisted alignment (an initial lateral offset angle of 0°–60°), and the bit-error rate remains stable in the 10−7–10−6 range at a distance of 40 m, which is three orders of magnitude lower than the traditional Remotely Operated Vehicle (ROV) underwater optical communication system (a bit-error rate of 10−6–10−3), verifying the strong adaptability of the improved model to complex underwater environments. Full article
Show Figures

Figure 1

24 pages, 8595 KB  
Article
Integrated Geomatic Approaches for the 3D Documentation and Analysis of the Church of Saint Andrew in Orani, Sardinia
by Giuseppina Vacca and Enrica Vecchi
Remote Sens. 2025, 17(19), 3376; https://doi.org/10.3390/rs17193376 - 7 Oct 2025
Viewed by 232
Abstract
Documenting cultural heritage sites through 3D reconstruction is crucial and can be accomplished using various geomatic techniques, such as Terrestrial Laser Scanners (TLS), Close-Range Photogrammetry (CRP), and UAV photogrammetry. Each method comes with different levels of complexity, accuracy, field times, post-processing requirements, and [...] Read more.
Documenting cultural heritage sites through 3D reconstruction is crucial and can be accomplished using various geomatic techniques, such as Terrestrial Laser Scanners (TLS), Close-Range Photogrammetry (CRP), and UAV photogrammetry. Each method comes with different levels of complexity, accuracy, field times, post-processing requirements, and costs, making them suitable for different types of restitutions. Recently, research has increasingly focused on user-friendly and faster techniques, while also considering the cost–benefit balance between accuracy, times, and costs. In this scenario, photogrammetry using images captured with 360-degree cameras and LiDAR sensors integrated into Apple devices have gained significant popularity. This study proposes the application of various techniques for the geometric reconstruction of a complex cultural heritage site, the Church of Saint Andrew in Orani, Sardinia. Datasets acquired from different geomatic techniques have been evaluated in terms of quality and usability for documenting various aspects of the site. The TLS provided an accurate model of both the interior and exterior of the church, serving as the ground truth for the validation process. UAV photogrammetry offered a broader view of the exterior, while panoramic photogrammetry from 360° camera was applied to survey the bell tower’s interior. Additionally, CRP and Apple LiDAR were compared in the context of a detailed survey. Full article
(This article belongs to the Section Remote Sensing Image Processing)
Show Figures

Figure 1

20 pages, 7975 KB  
Article
Trunk Detection in Complex Forest Environments Using a Lightweight YOLOv11-TrunkLight Algorithm
by Siqi Zhang, Yubi Zheng, Rengui Bi, Yu Chen, Cong Chen, Xiaowen Tian and Bolin Liao
Sensors 2025, 25(19), 6170; https://doi.org/10.3390/s25196170 - 5 Oct 2025
Viewed by 320
Abstract
The autonomous navigation of inspection robots in complex forest environments heavily relies on accurate trunk detection. However, existing detection models struggle to achieve both high accuracy and real-time performance on resource-constrained edge devices. To address this challenge, this study proposes a lightweight algorithm [...] Read more.
The autonomous navigation of inspection robots in complex forest environments heavily relies on accurate trunk detection. However, existing detection models struggle to achieve both high accuracy and real-time performance on resource-constrained edge devices. To address this challenge, this study proposes a lightweight algorithm named YOLOv11-TrunkLight. The core innovations of the algorithm include (1) a novel StarNet_Trunk backbone network, which replaces traditional residual connections with element-wise multiplication and incorporates depthwise separable convolutions, significantly reducing computational complexity while maintaining a large receptive field; (2) the C2DA deformable attention module, which effectively handles the geometric deformation of tree trunks through dynamic relative position bias encoding; and (3) the EffiDet detection head, which improves detection speed and reduces the number of parameters through dual-path feature decoupling and a dynamic anchor mechanism. Experimental results demonstrate that compared to the baseline YOLOv11 model, our method improves detection speed by 13.5%, reduces the number of parameters by 34.6%, and decreases computational load (FLOPs) by 39.7%, while the average precision (mAP) is only marginally reduced by 0.1%. These advancements make the algorithm particularly suitable for deployment on resource-constrained edge devices of inspection robots, providing reliable technical support for intelligent forestry management. Full article
Show Figures

Figure 1

27 pages, 8900 KB  
Article
Pre-Dog-Leg: A Feature Optimization Method for Visual Inertial SLAM Based on Adaptive Preconditions
by Junyang Zhao, Shenhua Lv, Huixin Zhu, Yaru Li, Han Yu, Yutie Wang and Kefan Zhang
Sensors 2025, 25(19), 6161; https://doi.org/10.3390/s25196161 - 4 Oct 2025
Viewed by 346
Abstract
To address the ill-posedness of the Hessian matrix in monocular visual-inertial SLAM (Simultaneous Localization and Mapping) caused by unobservable depth of feature points, which leads to convergence difficulties and reduced robustness, this paper proposes a Pre-Dog-Leg feature optimization method based on an adaptive [...] Read more.
To address the ill-posedness of the Hessian matrix in monocular visual-inertial SLAM (Simultaneous Localization and Mapping) caused by unobservable depth of feature points, which leads to convergence difficulties and reduced robustness, this paper proposes a Pre-Dog-Leg feature optimization method based on an adaptive preconditioner. First, we propose a multi-candidate initialization method with robust characteristics. This method effectively circumvents erroneous depth initialization by introducing multiple depth assumptions and geometric consistency constraints. Second, we address the pathology of the Hessian matrix of the feature points by constructing a hybrid SPAI-Jacobi adaptive preconditioner. This preconditioner is capable of identifying matrix pathology and dynamically enabling preconditioning as a strategy. Finally, we construct a hybrid adaptive preconditioner for the traditional Dog-Leg numerical optimization method. To address the issue of degraded convergence performance when solving pathological problems, we map the pathological optimization problem from the original parameter space to a well-conditioned preconditioned space. The optimization equivalence is maintained by variable recovery. The experiments on the EuRoC dataset show that the method reduces the number of Hessian matrix conditionals by a factor of 7.9, effectively suppresses outliers, and significantly improves the overall convergence time. From the analysis of trajectory error, the absolute trajectory error is reduced by up to 16.48% relative to RVIO2 on the MH_01 sequence, 20.83% relative to VINS-mono on the MH_02 sequence, and up to 14.73% relative to VINS-mono and 34.0% relative to OpenVINS on the highly dynamic MH_05 sequence, indicating that the algorithm achieves higher localization accuracy and stronger system robustness. Full article
(This article belongs to the Section Navigation and Positioning)
Show Figures

Figure 1

18 pages, 6931 KB  
Article
Research on Multi-Sensor Data Fusion Based Real-Scene 3D Reconstruction and Digital Twin Visualization Methodology for Coal Mine Tunnels
by Hongda Zhu, Jingjing Jin and Sihai Zhao
Sensors 2025, 25(19), 6153; https://doi.org/10.3390/s25196153 - 4 Oct 2025
Viewed by 324
Abstract
This paper proposes a multi-sensor data-fusion-based method for real-scene 3D reconstruction and digital twin visualization of coal mine tunnels, aiming to address issues such as low accuracy in non-photorealistic modeling and difficulties in feature object recognition during traditional coal mine digitization processes. The [...] Read more.
This paper proposes a multi-sensor data-fusion-based method for real-scene 3D reconstruction and digital twin visualization of coal mine tunnels, aiming to address issues such as low accuracy in non-photorealistic modeling and difficulties in feature object recognition during traditional coal mine digitization processes. The research employs cubemap-based mapping technology to project acquired real-time tunnel images onto six faces of a cube, combined with navigation information, pose data, and synchronously acquired point cloud data to achieve spatial alignment and data fusion. On this basis, inner/outer corner detection algorithms are utilized for precise image segmentation, and a point cloud region growing algorithm integrated with information entropy optimization is proposed to realize complete recognition and segmentation of tunnel planes (e.g., roof, floor, left/right sidewalls) and high-curvature feature objects (e.g., ventilation ducts). Furthermore, geometric dimensions extracted from segmentation results are used to construct 3D models, and real-scene images are mapped onto model surfaces via UV (U and V axes of texture coordinate) texture mapping technology, generating digital twin models with authentic texture details. Experimental validation demonstrates that the method performs excellently in both simulated and real coal mine environments, with models capable of faithfully reproducing tunnel spatial layouts and detailed features while supporting multi-view visualization (e.g., bottom view, left/right rotated views, front view). This approach provides efficient and precise technical support for digital twin construction, fine-grained structural modeling, and safety monitoring of coal mine tunnels, significantly enhancing the accuracy and practicality of photorealistic 3D modeling in intelligent mining applications. Full article
(This article belongs to the Section Sensing and Imaging)
Show Figures

Figure 1

19 pages, 2508 KB  
Article
Design and Experiment of Trajectory Reconstruction Algorithm of Wireless Pipeline Robot Based on GC-LSTM
by Weiwei Wang and Mingkuan Zhou
Electronics 2025, 14(19), 3941; https://doi.org/10.3390/electronics14193941 - 4 Oct 2025
Viewed by 161
Abstract
Wireless pipeline robots often suffer from localization drift and position loss due to electromagnetic attenuation and shielding in complex pipeline configurations, which hinders accurate pipeline reconstruction. This paper proposes a trajectory reconstruction method based on Geometric Constraint–Long Short-Term Memory (GC-LSTM). First, a motor [...] Read more.
Wireless pipeline robots often suffer from localization drift and position loss due to electromagnetic attenuation and shielding in complex pipeline configurations, which hinders accurate pipeline reconstruction. This paper proposes a trajectory reconstruction method based on Geometric Constraint–Long Short-Term Memory (GC-LSTM). First, a motor control system based on Field-Oriented Control (FOC) was developed for the proposed pipeline robot; second, trajectory errors are mitigated by exploiting pipeline geometric characteristics; third, a Long Short-Term Memory (LSTM) network is used to predict and compensate the robot’s velocity when odometer slip occurs; finally, multi-sensor fusion is employed to obtain the reconstructed trajectory. In straight-pipe tests, the GC-LSTM method reduced the maximum deviation and mean absolute deviation by 69.79% and 72.53%, respectively, compared with the Back Propagation (BP) method, resulting in a maximum deviation of 0.0933 m and a mean absolute deviation of 0.0351 m. In bend-pipe tests, GC-LSTM reduced the maximum deviation and the mean absolute deviation by 60.48% and 69.91%, respectively, compared with BP, yielding a maximum deviation of 0.2519 m and a mean absolute deviation of 0.0850 m. The proposed method significantly improves localization accuracy for wireless pipeline robots and enables more precise reconstruction of pipeline environments, providing a practical reference for accurate localization in pipeline inspection applications. Full article
Show Figures

Figure 1

Back to TopTop