Sign in to use this feature.

Years

Between: -

Subjects

remove_circle_outline
remove_circle_outline
remove_circle_outline
remove_circle_outline
remove_circle_outline
remove_circle_outline
remove_circle_outline
remove_circle_outline
remove_circle_outline

Journals

remove_circle_outline
remove_circle_outline
remove_circle_outline
remove_circle_outline

Article Types

Countries / Regions

remove_circle_outline
remove_circle_outline
remove_circle_outline
remove_circle_outline
remove_circle_outline

Search Results (332)

Search Parameters:
Keywords = geometric distribution error

Order results
Result details
Results per page
Select all
Export citation of selected articles as:
34 pages, 7125 KB  
Article
Integrated Design and Performance Validation of an Advanced VOC and Paint Mist Recovery System for Shipbuilding Robotic Spraying
by Kunyuan Lu, Yujie Chen, Lei Li, Yi Zheng, Jidai Wang and Yifei Pan
Processes 2026, 14(7), 1047; https://doi.org/10.3390/pr14071047 (registering DOI) - 25 Mar 2026
Viewed by 241
Abstract
Volatile organic compounds (VOCs, dominated by xylene, toluene, and benzene) and paint mist emissions from ship painting represent a major environmental and health concern, posing a critical bottleneck to the green transformation of the shipbuilding industry. To tackle this challenge, this study presents [...] Read more.
Volatile organic compounds (VOCs, dominated by xylene, toluene, and benzene) and paint mist emissions from ship painting represent a major environmental and health concern, posing a critical bottleneck to the green transformation of the shipbuilding industry. To tackle this challenge, this study presents an integrated recovery system designed specifically for ship automatic-spraying robots. Guided by the synergistic principle of “air-curtain containment, multi-stage adsorption, and negative-pressure recovery,” the system features a modular design that ensures full compatibility with the robots’ spraying trajectory without operational interference. Core adsorption materials, namely glass fiber filter cotton and honeycomb activated carbon fiber, were selected to suit the high-humidity and high-pollutant-concentration environment typical of ship painting. An appropriately matched axial flow fan maintains stable negative pressure throughout the system. Furthermore, the design integrates an air curtain isolation subsystem and an automated control subsystem, enabling coordinated operation and real-time adjustment. Using ANSYS Fluent, geometric and flow field simulation models were established to analyze airflow distribution and pollutant adsorption behavior, which led to the optimization of key structural and material parameters. Field experiments conducted in shipyard environments demonstrated the system’s superior performance: it achieved a VOC removal efficiency of 88.4% and a paint mist capture efficiency of 85.7% under optimal working conditions, with a maximum simulated paint mist capture efficiency of 86.2%. The system maintained stable performance under complex vertical and overhead spraying conditions, with an efficiency attenuation of less than 1.5%, and its outlet emissions fully complied with the mandatory limits specified in the Emission Standard of Air Pollutants for the Shipbuilding Industry (GB 30981.2-2025). The relative error between experimental data and simulation results is less than 2%, confirming the reliability and practicality of the proposed system. This research provides an efficient and adaptable pollution control solution for green shipbuilding and offers valuable technical insights for the sustainable upgrading of automated painting processes in heavy industries. Full article
Show Figures

Figure 1

27 pages, 29264 KB  
Article
Method and Application of Full-Space Deformation Monitoring of Surrounding Rock in Coal Mine Roadway Based on Mobile Three-Dimensional Laser Scanning
by Chao Gao, Dexing He and Xinqiu Fang
Appl. Sci. 2026, 16(7), 3156; https://doi.org/10.3390/app16073156 (registering DOI) - 25 Mar 2026
Viewed by 117
Abstract
Deformation monitoring of roadway surrounding rock is the key link to ensure the safety production of the coal mine. The traditional monitoring method can only obtain the displacement information of discrete measuring points, and it is difficult to fully reflect the spatial distribution [...] Read more.
Deformation monitoring of roadway surrounding rock is the key link to ensure the safety production of the coal mine. The traditional monitoring method can only obtain the displacement information of discrete measuring points, and it is difficult to fully reflect the spatial distribution characteristics and evolution law of surrounding rock deformation. Based on the engineering background of the extra-thick coal seam roadway in the Yushupo Coal Mine, Shanxi Province, China, this study proposes a set of full-space deformation monitoring methods for roadway surrounding rock based on explosion-proof mobile 3D laser scanning technology. Firstly, a hierarchical denoising method based on improved statistical filtering is established. The quality of point cloud data is effectively improved by region clipping, a connectivity analysis guided by multi-dimensional geometric features and adaptive density threshold three-level processing strategy. Secondly, a hierarchical point cloud registration method combining physical anchor geometric constraints and deep learning patch guided matching is proposed to reduce the registration error to millimeter level. Finally, the deformation evaluation of surrounding rock is carried out by combining the overall deformation identification with the quantitative analysis of local section slices. The engineering application results show that the deformation of the roadway floor is the most significant during the monitoring period, the maximum deformation is 90.0 mm, and the average deformation is 46.9 mm. The maximum deformation of the roof is 35.0 mm, and the convergence of both sides is asymmetric. Compared with the total station, the results show that the maximum displacement error in each direction does not exceed 5 mm, and the standard deviation is within 1.3 mm, which meets the engineering accuracy requirements of coal mine roadway deformation monitoring. This study provides a complete technical scheme for panoramic and high-precision monitoring of surrounding rock deformation in coal mine roadway. Full article
Show Figures

Figure 1

8 pages, 238 KB  
Article
Construction and Study of a Probabilistic Model for the Sliding Mode Along and Across the Slip Line
by Gurami Tsitsiashvili
Mathematics 2026, 14(6), 1083; https://doi.org/10.3390/math14061083 - 23 Mar 2026
Viewed by 165
Abstract
In this paper, we construct a probabilistic model of a sliding mode. This model is based on the moment a random walk with positive jumps crosses a certain critical level. It is assumed that the jump magnitude has a geometric distribution. If the [...] Read more.
In this paper, we construct a probabilistic model of a sliding mode. This model is based on the moment a random walk with positive jumps crosses a certain critical level. It is assumed that the jump magnitude has a geometric distribution. If the initial state is negative and the critical level is zero, then after crossing this level, a random walk begins in the opposite direction until it crosses zero again. As a result, motion orthogonal to the slip line is defined as a regenerative process, in which the moments of regeneration are the moments of zero crossings from right to left. An estimate of the Qi Fan metric of the maximum deviation of this random walk over a certain time interval is constructed under the assumption that the time and magnitude of the jumps are reduced by a factor of m. This estimate is found to be of the order of lnm/m as m and characterizes the deviation of a random trajectory orthogonal to the slip line. In the model of motion along a slip line, its velocity is assumed to have fixed values when the trajectory of motion orthogonal to the slip line is above or below zero. Using the central limit theorem for the integral of a regenerative process, an estimate of the non-uniformity of motion of a random trajectory along the slip line is constructed. It is found that the characteristic magnitude of this non-uniformity is of the order of 1/m as m. This indicates that the accumulation of random errors during motion along the slip line is significantly faster than during motion orthogonal to the slip line. Full article
Show Figures

Figure 1

11 pages, 2565 KB  
Article
Germanium-on-Silicon Waveguide-Integrated Photodiode with Dual Optical Inputs for Datacenter Applications
by Itamar-Mano Priel, Shai Cohen, Liron Gantz and Yael Nemirovsky
Micromachines 2026, 17(3), 386; https://doi.org/10.3390/mi17030386 - 23 Mar 2026
Viewed by 227
Abstract
As the exponential growth in advanced compute workloads drives intra-datacenter interconnects to ever increasing bitrates, optical networking equipment has risen to the challenge by shifting from NRZ signaling to bandwidth efficient modulation methods such as PAM4. As these modulation schemes introduce an inherent [...] Read more.
As the exponential growth in advanced compute workloads drives intra-datacenter interconnects to ever increasing bitrates, optical networking equipment has risen to the challenge by shifting from NRZ signaling to bandwidth efficient modulation methods such as PAM4. As these modulation schemes introduce an inherent SNR penalty, maintaining low bit error rates (BER) forces optical links to operate at significantly higher optical powers. However, increasing the optical power leads to photodetectors reaching one of their fundamental bottlenecks caused by the space-charge effect, limiting their ability to provide a high-speed response under high-power illumination. This work presents the design, fabrication, and characterization of a waveguide-integrated photodiode with dual optical inputs (DIPD) designed to overcome this limitation. Specifically, we demonstrate that combining a dual-fed architecture with targeted cross-sectional geometric optimizations effectively distributes the photocurrent density to delay the onset of space-charge saturation. Experimental validation demonstrates a high responsivity of ≈0.91 [A/W] (for O-band wavelengths) and a large electro-optic bandwidth (EOBW) of ≈58 [GHz], all under high-power illumination and CMOS driving voltages. Full article
(This article belongs to the Section A:Physics)
Show Figures

Figure 1

22 pages, 26802 KB  
Article
Attention-Guided Semantic Segmentation and Scan-to-Model Geometric Reconstruction of Underground Tunnels from Mobile Laser Scanning
by Yingjia Huang, Jiang Ye, Xiaohui Li and Jingliang Du
Appl. Sci. 2026, 16(6), 3042; https://doi.org/10.3390/app16063042 - 21 Mar 2026
Viewed by 197
Abstract
Mobile Laser Scanning (MLS) integrated with Simultaneous Localization and Mapping (SLAM) has emerged as a key technology for digitizing GNSS-denied environments, such as underground mines. However, the automated interpretation of unstructured, high-density point clouds into semantic engineering models remains challenging due to extreme [...] Read more.
Mobile Laser Scanning (MLS) integrated with Simultaneous Localization and Mapping (SLAM) has emerged as a key technology for digitizing GNSS-denied environments, such as underground mines. However, the automated interpretation of unstructured, high-density point clouds into semantic engineering models remains challenging due to extreme geometric anisotropy in point distributions and severe class imbalance inherent to narrow tunnel environments. To address these issues, this study proposes a highly automated scan-to-model framework for precise semantic segmentation and vectorized two-dimensional (2D) profile reconstruction. First, an enhanced hierarchical deep learning network tailored for point clouds is introduced. The architecture incorporates a context-aware sampling strategy with an expanded receptive field of up to 10 m to preserve axial continuity, coupled with a spatial–geometric dual-attention mechanism to refine boundary delineation. In addition, a composite Focal–Dice loss function is employed to alleviate the dominance of wall points during network training. Experimental validation on a field-collected dataset comprising 16 mine tunnels demonstrates that the proposed model achieves a mean Intersection over Union (mIoU) of 85.15% (±0.29%) and an Overall Accuracy (OA) of 95.13% (±0.13%). Building on this semantic foundation, a robust geometric modeling pipeline is established using curvature-guided filtering and density-adaptive B-spline fitting. The reconstructed profiles accurately recover the geometric mean surface of the tunnel wall, yielding an overall filtered Root Mean Square Error (RMSE) of 4.96 ± 0.48 cm. The proposed framework provides an efficient end-to-end solution for deformation analysis and digital twinning of underground mining infrastructure. Full article
(This article belongs to the Special Issue Artificial Intelligence Applications in Underground Space Technology)
Show Figures

Figure 1

18 pages, 1959 KB  
Article
Predictive and Reactive Control During Interception
by Mario Treviño, Nathaly Martín, Andrea Barrera and Inmaculada Márquez
Brain Sci. 2026, 16(3), 322; https://doi.org/10.3390/brainsci16030322 - 18 Mar 2026
Viewed by 199
Abstract
Background/Objectives: Successful interception of moving targets requires combining predictive control, which anticipates future target states, and reactive control, which compensates for ongoing sensory discrepancies. How these components evolve over time and are distributed across gaze and manual behavior remains unclear. We aimed to [...] Read more.
Background/Objectives: Successful interception of moving targets requires combining predictive control, which anticipates future target states, and reactive control, which compensates for ongoing sensory discrepancies. How these components evolve over time and are distributed across gaze and manual behavior remains unclear. We aimed to explore the time-resolved dynamics of predictive control during continuous interception and to dissociate eye and hand contributions. Methods: Human participants intercepted a moving target in a two-dimensional arena using a joystick while eye movements were recorded. Target speed was systematically varied, and visual information was selectively reduced by occluding either the target or the user-controlled cursor. Predictive control was assessed using two complementary metrics: a geometric strategy index capturing moment-to-moment spatial lead or lag relative to target motion, applied separately to gaze and manual trajectories, and root mean square error (RMSE) computed relative to current and forward-shifted target positions to quantify predictive alignment. Results: Successful interception was characterized by structured, speed-dependent transitions between predictive and reactive control rather than a fixed strategy. Predictive alignment emerged early and was dynamically reweighted as temporal constraints increased. Gaze and manual behavior showed complementary but partially dissociable predictive signatures. Occluding the target decreased predictive alignment, whereas occluding the user-controlled cursor had comparatively minor effects, indicating strong reliance on internal state estimation rather than continuous visual feedback of the effector. Conclusions: Predictive and reactive control are continuously and dynamically reweighted during interception. Their interaction unfolds within single trials and depends on target dynamics and sensory availability. These findings provide quantitative evidence for time-resolved coordination between anticipatory and feedback-driven control mechanisms in goal-directed behavior. Full article
(This article belongs to the Special Issue Predictive Processing in Brain and Behavior)
Show Figures

Figure 1

37 pages, 10880 KB  
Article
Predicting Part Orientation Distributions in Linear Feeders Using Simulation-Driven Deep Learning
by Idan Zucker and Chen Giladi
Machines 2026, 14(3), 329; https://doi.org/10.3390/machines14030329 - 13 Mar 2026
Viewed by 214
Abstract
Designing linear conveyor feeders with passive fences for automated part orientation remains largely trial and error because the final orientation distribution is difficult to predict reliably before physical testing. We present a simulation-driven deep learning pipeline that predicts the full distribution of final [...] Read more.
Designing linear conveyor feeders with passive fences for automated part orientation remains largely trial and error because the final orientation distribution is difficult to predict reliably before physical testing. We present a simulation-driven deep learning pipeline that predicts the full distribution of final in-plane orientations for extruded, z-axis-symmetric parts interacting with linear feeders containing up to two straight or curved fences. Using Bullet physics-based simulation in CoppeliaSim, we generate 1048 main part–feeder samples across 38 part geometries, plus 78 fence generalization and 110 unseen part samples for a total of 1236 (41 unique parts), and train regression networks and a Variational Autoencoder, or VAE, to predict 360-bin orientation probability distributions. On known parts, the regression model achieves high accuracy on held-out test configurations, R2 on circular CDFs =0.97±0.05, and on unseen fence combinations, R2 on circular CDFs = 0.89 ± 0.11. Generalization to previously unseen part geometries is more challenging, with R2 on circular CDFs = 0.75 ± 0.18, indicating that geometric representation and dataset diversity are primary limitations. We also evaluate VAE reconstruction on datasets generated from simulations at different iteration counts: 5–100% of 1000 iterations in 5% increments. While within-level reconstruction remains high, cross-convergence evaluation shows that partial-iteration PMFs are far from fully converged labels in this dataset (overall CDF R2 = 0.01 at 5%, 0.32 at 50%, and 0.87 at 75%), so reduced-iteration simulations do not substitute for full convergence here. Overall, the proposed approach provides a data-driven foundation for feeder analysis and design, with future work focusing on improved geometric generalization and physical validation for industrial deployment. Full article
Show Figures

Figure 1

18 pages, 6729 KB  
Article
Development of a Three-Dimensional Geometric Model of Multi-Structured Woven Fabrics Using Spun Yarns for Theoretical Air Permeability Prediction
by Theeradech Songart, Wasit Chaikumming and Keartisak Sriprateep
Materials 2026, 19(5), 1045; https://doi.org/10.3390/ma19051045 - 9 Mar 2026
Viewed by 217
Abstract
This study presents the development of a three-dimensional (3D) filament assembly model for predicting the air permeability of woven fabrics composed of spun yarns. To address the limitations of conventional single-line yarn models, the proposed framework incorporates fiber-level geometric representations using non-uniform rational [...] Read more.
This study presents the development of a three-dimensional (3D) filament assembly model for predicting the air permeability of woven fabrics composed of spun yarns. To address the limitations of conventional single-line yarn models, the proposed framework incorporates fiber-level geometric representations using non-uniform rational B-splines (NURBS) and simulates multiple weave patterns—including plain, basket, twill, and rib—under various set density configurations. Each yarn was modeled with accurate filament distribution and cross-sectional layering, enabling the construction of realistic unit-cell-based CAD geometries. Computational fluid dynamics (CFD) simulations were performed using the k-ε turbulence model in SolidWorks Flow Simulation and validated against experimental measurements conducted under ISO 9237:1995 conditions. The filament assembly model achieved high predictive accuracy, exhibiting a lower of percentage prediction errors than the single-line yarn path model, thereby more effectively capturing airflow behavior through inter-yarn and intra-yarn pores. These findings highlight the capability of integrated CAD/CFD methodologies for virtual prototyping of breathable textiles and provide a robust foundation for high-precision performance prediction in functional and technical fabric design. Full article
Show Figures

Figure 1

26 pages, 2153 KB  
Article
Path-Integrated Ultrasonic Attenuation Modeling for Concrete with Random Aggregates Based on Modified Waterman–Truell Theory
by Haoran Zheng, Chao Lu, Dongjie Zhou, Xuejun Jia, Xiang Lv, Laixin Gao and Guangming Zhang
Sensors 2026, 26(5), 1647; https://doi.org/10.3390/s26051647 - 5 Mar 2026
Viewed by 380
Abstract
Ultrasonic sensing is an effective tool for characterizing heterogeneous concrete structures, yet quantitative interpretation of ultrasonic attenuation remains challenging due to aggregate-induced multiple scattering and spatial non-uniformity. This study proposes a path-integrated ultrasonic attenuation modeling framework for concrete with random aggregates. A quasi-one-dimensional [...] Read more.
Ultrasonic sensing is an effective tool for characterizing heterogeneous concrete structures, yet quantitative interpretation of ultrasonic attenuation remains challenging due to aggregate-induced multiple scattering and spatial non-uniformity. This study proposes a path-integrated ultrasonic attenuation modeling framework for concrete with random aggregates. A quasi-one-dimensional discretized wave equation is coupled with a modified version of the Waterman–Truell effective medium theory, in which multiple scattering effects are corrected by incorporating a Percus–Yevick structure factor and a geometric equivalence scheme for non-spherical aggregates. By discretizing the propagation path into locally homogeneous layers, cumulative attenuation is evaluated through explicit path integration, allowing spatial variations in aggregate volume fraction to be captured. Low-frequency ultrasonic transmission experiments (25 kHz) are conducted using serially assembled concrete specimens with controlled aggregate contents. The results reveal pronounced path-dependent attenuation behavior governed by local aggregate distribution. Compared with classical and effective Waterman–Truell models, the proposed approach significantly improves prediction accuracy, achieving a mean absolute percentage error of 7.29%. The framework provides a physically interpretable and experimentally validated method for ultrasonic sensing of heterogeneous concrete, with potential applications in non-destructive evaluation and structural health monitoring of high-end concrete-based engineering structures. Full article
Show Figures

Figure 1

21 pages, 2085 KB  
Article
Physiology-Based Pharmacokinetic Modeling for Prediction of Gentamicin Plasma Profile in Dogs with Renal Dysfunction
by Kevellyn Silveira Gomes Martins, Lucas Wamser Fonseca Gonzaga, Larissa Alexsandra Felix, Reiner Silveira de Moraes, Priscylla Tatiana Chalfun Guimarães Okamoto and Marcos Ferrante
Pharmaceutics 2026, 18(3), 308; https://doi.org/10.3390/pharmaceutics18030308 - 28 Feb 2026
Viewed by 468
Abstract
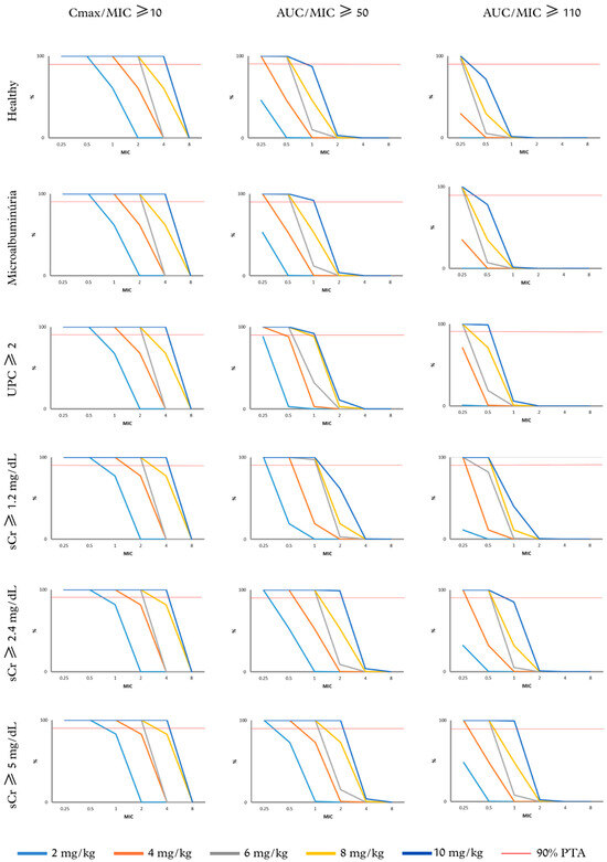
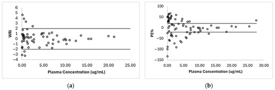
Background/Objectives: The aim of the study was to develop a physiologically based pharmacokinetic (PBPK) model to predict gentamicin therapeutic protocols for dogs with varying degrees of renal function impairment, considering the minimum inhibitory concentrations (MICs) of the infecting bacteria. Methods: The PBPK model [...] Read more.
Background/Objectives: The aim of the study was to develop a physiologically based pharmacokinetic (PBPK) model to predict gentamicin therapeutic protocols for dogs with varying degrees of renal function impairment, considering the minimum inhibitory concentrations (MICs) of the infecting bacteria. Methods: The PBPK model was built using PK-Sim® software (OPEN SYSTEMS PHARMACOLOGY), based on pharmacokinetic data available in the literature and information on the physicochemical properties of the drug. Model evaluation included the calculation of the geometric mean fold error (GMFE), weighted and percentage residuals were calculated, as well as the following measures: AFE, AWRi, MWRi, MAWRi, APE%, MPE%, MAPE%, MdPE%, and MdAPE%. Therapeutic efficacy was assessed according to the Probability of Target Attainment (PTA), considering an MIC distribution of 0.25 to 8 μg/mL for different doses (2, 4, 6, 8, and 10 mg/kg) using the PK/PD indices Cmax/MIC ≥ 10, AUC/MIC ≥ 50, and AUC/MIC ≥ 110. To compare the pharmacokinetics of gentamicin between healthy dogs and those with decreased renal function, different GFR values corresponding to stages of renal impairment were used, as determined by clinical biomarkers (microalbuminuria, UPC ≥ 2, sCr ≥ 1.2 mg/dL, sCr ≥ 2.4 mg/dL, and sCr ≥ 5 mg/dL). The risk of toxicity was assessed according to AUC24h ≥ 700 mg·h/L and Cmin ≥ 0.5. Results: The model demonstrated good predictive performance, with a GMFE value of 1.13 meeting the double error criterion, and weighted residuals randomly distributed around 0 (p = 0.3792). Through the calculation of PTA, it was observed that efficacy varied according to the PK/PD index used, but values greater than 90% were obtained for MICs up to 4 μg/mL. The model allowed the estimation of protocols for each stage of renal impairment, considering the GFR of each group and the risk of nephrotoxicity, in association with the optimal dose to ensure therapeutic efficacy. Conclusions: These findings make it possible to propose a dose for the treatment of an infection, considering the MIC and the patient’s GFR stage, thereby reducing the risk of adverse effects without compromising treatment efficacy. Full article
Show Figures

Graphical abstract

18 pages, 4639 KB  
Article
Effects of Residual Stress on Springback in Creep Age Forming of 2219 Aluminum Alloy Double-Curvature Thin-Walled Parts
by Jiwang Yu, Lihua Zhan and Youliang Yang
Metals 2026, 16(3), 269; https://doi.org/10.3390/met16030269 - 28 Feb 2026
Viewed by 207
Abstract
Residual stresses are inevitably introduced during plate manufacturing and pre-processing (e.g., quenching and pre-stretching). However, springback prediction in creep age forming (CAF) is still frequently carried out by assuming an initially stress-free blank, which may lead to biased deformation–stress histories and tool compensation [...] Read more.
Residual stresses are inevitably introduced during plate manufacturing and pre-processing (e.g., quenching and pre-stretching). However, springback prediction in creep age forming (CAF) is still frequently carried out by assuming an initially stress-free blank, which may lead to biased deformation–stress histories and tool compensation errors, hindering high-accuracy forming. This study aimed to close this practical gap by quantifying how inherited residual stresses affected the CAF springback of AA2219 double-curvature thin-walled parts. In this study, a multi-step finite element (FE) process chain covering quenching, pre-stretching, and creep age forming (CAF) was developed to investigate the evolution of the initial residual stress field and its influence on CAF springback. Surface residual stresses after quenching and after pre-stretching were measured by X-ray diffraction (XRD) to validate the FE models. The results show that, after quenching, the through-thickness residual stress exhibits a characteristic ‘compressive at the surfaces and tensile in the core’ distribution, and pre-stretching markedly reduces the residual stress level. During CAF, although the initial residual stress difference is largely equilibrated during loading, it affects springback primarily through differences in accumulated creep deformation. Incorporating the initial residual stress field reduces the springback error bandwidth from 9.59 mm to 3.51 mm (a 63.4% reduction) under the original die configuration. Additional simulations under a modified die curvature (geometric deviation ≈ 6 mm) demonstrate that the springback reduction remains at the millimeter scale, indicating that the proposed FE framework maintains a consistent predictive improvement across different curvature conditions. This work provides a theoretical basis and practical guidance for high-precision creep age forming. Full article
Show Figures

Figure 1

34 pages, 476 KB  
Article
Discrete Quantization on Spherical Geometries: Explicit Models, Computations, and Didactic Exposition
by Mrinal Kanti Roychowdhury
Mathematics 2026, 14(5), 750; https://doi.org/10.3390/math14050750 - 24 Feb 2026
Viewed by 265
Abstract
This article presents a comprehensive and analytically explicit study of optimal discrete quantization on spherical geometries equipped with the geodesic metric. Focusing on highly symmetric configurations on the unit sphere S2, we investigate three explicit models of discrete uniform distributions and [...] Read more.
This article presents a comprehensive and analytically explicit study of optimal discrete quantization on spherical geometries equipped with the geodesic metric. Focusing on highly symmetric configurations on the unit sphere S2, we investigate three explicit models of discrete uniform distributions and derive closed-form expressions for their optimal quantizers and corresponding mean square quantization errors. (I) For N equally spaced points on the equator, we obtain exact error formulas for both divisible and non-divisible cases nN, demonstrating that optimal Voronoi cells form contiguous arcs with midpoint representatives. (II) For two antipodally symmetric small circles at latitudes ±ϕ0, each with M longitudes, we prove a no-cross-circle Voronoi phenomenon, establish symmetry-preserving optimality, and derive finite-sum error formulas together with sharp curvature-dependent bounds and asymptotics. (III) For a single small circle at latitude ϕ0, we obtain analogous exact error formulas and show that curvature reduces distortion by a factor of cos2ϕ0, while preserving the n2 decay rate. Across all models, we rigorously establish the “block midpoint principle”: optimal Voronoi cells on a circle are contiguous azimuthal blocks, and their optimal representatives are the corresponding azimuthal midpoints. Numerical tables and illustrative figures highlight curvature effects and compare divisible and non-divisible cases. An algorithmic appendix provides pseudocode and a small, commented Python implementation to facilitate reproducibility. Written with didactic clarity while maintaining full mathematical rigor, this work bridges geometric intuition and analytic precision, providing explicit benchmark models that illuminate curvature effects and support further developments in quantization on curved manifolds. Full article
Show Figures

Figure 1

19 pages, 1123 KB  
Article
Comparative Evaluation of Voxel and Mesh Representations for Digital Defect Detection in Construction-Scale Additive Manufacturing
by Seyedali Mirmotalebi, Hyosoo Moon, Raymond C. Tesiero and Sadia Jahan Noor
Buildings 2026, 16(4), 805; https://doi.org/10.3390/buildings16040805 - 16 Feb 2026
Viewed by 337
Abstract
Additive manufacturing is increasingly used in construction, yet reliable quality assurance for three-dimensional-printed concrete elements remains a major challenge. Existing digital defect-detection methods, particularly voxel-based and mesh-based approaches, are often evaluated separately, which limits understanding of their relative capabilities for construction-scale inspection. This [...] Read more.
Additive manufacturing is increasingly used in construction, yet reliable quality assurance for three-dimensional-printed concrete elements remains a major challenge. Existing digital defect-detection methods, particularly voxel-based and mesh-based approaches, are often evaluated separately, which limits understanding of their relative capabilities for construction-scale inspection. This study establishes a controlled comparison of the two representations using identical scan-to-design data, consistent preprocessing, and unified defect thresholding. A voxel pipeline employing signed distance fields and a three-dimensional convolutional neural network, and a mesh pipeline using triangular surface reconstruction, geometric surface descriptors, and MeshCNN, were applied to structured-light scans of printed clay wall segments containing intentional voids, material buildup, and layer-height inconsistencies. Across common performance metrics, the voxel-based method achieved a recall of 95% for spatially coherent, volumetric-consistent void-related anomalies inferred from surface geometry, reflecting improved aggregation of distributed deviations, while the mesh-based method attained a mean surface defect localization error of 0.32 mm with a substantially lower computational cost in runtime and memory. These results clarify representation-dependent trade-offs and provide guidance for selecting appropriate inspection pipelines in extrusion-based construction. The findings establish a controlled, construction-oriented comparative framework for digital defect detection and support more efficient, reliable, and scalable quality-assurance workflows for sustainable additive manufacturing. Full article
(This article belongs to the Special Issue Application of Digital Technology and AI in Construction Management)
Show Figures

Figure 1

22 pages, 4890 KB  
Article
Super-Resolution Reconstruction and Detector Geometric Error Correction for Parallel-Beam Low-Resolution Multi-Detector SPECT: A Proof of Concept
by Zhibiao Cheng, Jun Zhang, Ping Chen and Junhai Wen
Tomography 2026, 12(2), 23; https://doi.org/10.3390/tomography12020023 - 12 Feb 2026
Viewed by 383
Abstract
Objectives: Due to collimator limitations, Single-Photon Emission Computed Tomography (SPECT) suffers from relatively low spatial resolution, which hampers the detection of small lesions. This study proposes a super-resolution (SR) reconstruction algorithm for a parallel-beam, low-resolution (LR) multi-detector SPECT system and employs a neural [...] Read more.
Objectives: Due to collimator limitations, Single-Photon Emission Computed Tomography (SPECT) suffers from relatively low spatial resolution, which hampers the detection of small lesions. This study proposes a super-resolution (SR) reconstruction algorithm for a parallel-beam, low-resolution (LR) multi-detector SPECT system and employs a neural network to estimate and correct for geometric errors in the LR detectors. Methods: A parallel-beam LR multi-detector SPECT system is presented, in which the detectors perform relative sub-pixel shifts. At each sampling angle, an SR reconstruction algorithm synthesizes high-resolution (HR) SPECT images from LR projections acquired by four offset LR detectors. To correct for geometric errors among these detectors, a randomly distributed gamma point source was designed to generate training data. A neural network was then employed to estimate the geometric errors, thereby refining the SR reconstruction. Results: Numerical simulation demonstrated that the proposed neural network could accurately identify the displacement-based geometric errors of the LR detectors. Utilizing these estimated parameters to correct the SR reconstruction process yielded results comparable to those obtained from direct reconstruction of HR projections, achieving a two-fold resolution improvement. Conclusions: Preliminary proof-of-principle for SR reconstruction in a parallel-beam LR multi-detector SPECT system was established. Further validation of the hardware performance is warranted. Full article
Show Figures

Figure 1

31 pages, 12517 KB  
Article
Remote Sensing Image Super-Resolution via Progressive Diffusion Schrödinger Bridge
by Shiyu Chen, Cailong Deng, Yong Zhang, Zihao Li, Tengfei Zhang and Hao Lin
Remote Sens. 2026, 18(3), 532; https://doi.org/10.3390/rs18030532 - 6 Feb 2026
Viewed by 588
Abstract
Super-resolution (SR) of remote sensing images (RSIs) is essential for advanced image analysis, yet its progress is challenged by the ill-posed nature of SR and the geometric displacement errors commonly found in paired low-resolution (LR) and high-resolution (HR) training data. These displacements violate [...] Read more.
Super-resolution (SR) of remote sensing images (RSIs) is essential for advanced image analysis, yet its progress is challenged by the ill-posed nature of SR and the geometric displacement errors commonly found in paired low-resolution (LR) and high-resolution (HR) training data. These displacements violate the assumptions of Gaussian diffusion models and restrict their effectiveness, especially when the scale gap between LR and HR images is large. To address these issues, we enhance the diffusion Schrödinger bridge (DSB) to exploit its ability to construct diffusion trajectories between arbitrary distributions and develop a progressive DSB (PDSB) framework that incrementally reconstructs HR images from their LR counterparts. The method divides the overall scale change into equal intervals so that small-scale SR results are first generated and then used as conditions for larger-scale reconstruction. Experiments conducted using a dataset built from georeferenced Gaofen-6 (2 m) and Sentinel-2 (10 m) images show that PDSB outperforms the comparison methods in commonly used metrics. Notably, the FID of PDSB is 8.294, which is half that of the second-place method. These results indicate that PDSB effectively mitigates displacement issues, enhances reconstruction accuracy, and demonstrates strong robustness and generalizability for practical RSI applications. Full article
Show Figures

Graphical abstract

Back to TopTop