Sign in to use this feature.

Years

Between: -

Subjects

remove_circle_outline
remove_circle_outline
remove_circle_outline
remove_circle_outline
remove_circle_outline
remove_circle_outline
remove_circle_outline
remove_circle_outline
remove_circle_outline

Journals

Article Types

Countries / Regions

Search Results (95)

Search Parameters:
Keywords = geodetic set

Order results
Result details
Results per page
Select all
Export citation of selected articles as:
22 pages, 9753 KB  
Article
Vertical and Eastward Motions in Northern Taiwan from Sentinel-1A SAR Imagery
by Cheinway Hwang, Sihao Ge, Hong-Mao Huang and Shao-Hung Lin
Remote Sens. 2025, 17(20), 3458; https://doi.org/10.3390/rs17203458 - 16 Oct 2025
Viewed by 694
Abstract
Northern Taiwan is a tectonically and volcanically active region shaped by plate convergence, active faulting, and subsurface hydrological processes. To investigate surface deformation across this complex setting, we applied Persistent Scatterer InSAR (PSInSAR) to Sentinel-1A imagery acquired from 2017 to 2022. Using data [...] Read more.
Northern Taiwan is a tectonically and volcanically active region shaped by plate convergence, active faulting, and subsurface hydrological processes. To investigate surface deformation across this complex setting, we applied Persistent Scatterer InSAR (PSInSAR) to Sentinel-1A imagery acquired from 2017 to 2022. Using data from ascending and descending tracks, and removing GNSS-derived northward motion, we decomposed line-of-sight velocities into vertical and eastward components. The resulting deformation fields, validated by dense precision leveling and continuous GNSS observations, reveal consistent but minor (less than 1 cm/year) land subsidence in the Taipei Basin, spatially variable uplift near the Tatun Volcano Group, and a previously vaguely documented uplift zone in northeastern Taoyuan. InSAR-derived eastward motion is consistent with expected kinematics along the southern Shanchiao Fault and supports broader patterns of clockwise tectonic rotation near Keelung. Our InSAR results show the effectiveness of PSInSAR in resolving multidirectional surface motion and exemplifies the value of integrating satellite-based and ground-based geodetic data for fault assessment, hydrologic monitoring, and geohazard evaluation in northern Taiwan. Full article
(This article belongs to the Section Remote Sensing in Geology, Geomorphology and Hydrology)
Show Figures

Figure 1

22 pages, 35539 KB  
Article
Interval Determination Strategy for Bayesian Inversion of Seismic Source Parameters Under Uncertain Interval Conditions
by Leyang Wang, Can Xi, Guangyu Xu, Zhanglin Sun and Fei Wu
Remote Sens. 2025, 17(18), 3151; https://doi.org/10.3390/rs17183151 - 11 Sep 2025
Viewed by 789
Abstract
Using a Bayesian framework to invert earthquake source parameters from multi-source geodetic data has become an important research direction. To address the issue of Markov Chain Monte Carlo (MCMC) algorithms getting stuck in local optima during nonlinear inversion of fault geometric parameters, which [...] Read more.
Using a Bayesian framework to invert earthquake source parameters from multi-source geodetic data has become an important research direction. To address the issue of Markov Chain Monte Carlo (MCMC) algorithms getting stuck in local optima during nonlinear inversion of fault geometric parameters, which is often caused by improperly set parameter bounds or large deviations in the initial values, this study proposes two strategies: ‘CFI (Converge First, Then Interval)’ and ‘IVI (Interval Value Iteration)’. Tests with 12 different experimental setups show that both strategies can prevent the chain from getting trapped in local optima. Among them, the ‘IVI’ strategy, when used with MCMC algorithms where the step size follows a normal distribution, can also significantly reduce the root-mean-square error. To verify its applicability, the ‘IVI’ strategy was applied to the Bayesian inversion of the 2022 Menyuan Mw6.6 earthquake. The results show that the inverted values for fault depth, strike, dip, and rake angles are closer to the GCMT results, with ascending and descending track fitting residuals of 2.71 cm and 2.64 cm, respectively. The conclusion of this paper is to recommend the ‘IVI’ strategy when the range of source parameters is unclear. If the approximate range of parameters is known, the ‘CFI’ strategy can be applied. The original interval constraint method is recommended when the parameter bounds are fully determinable and a reliable initial model of seismic source parameters is obtainable. Full article
Show Figures

Figure 1

22 pages, 936 KB  
Article
Insights into IF-Geodetic Convexity in Intuitionistic Fuzzy Graphs: Harnessing the IF-Geodetic Wiener Index for Global Human Trading Analysis and IF-Geodetic Cover for Gateway Node Identification
by A. M. Anto, R. Rajeshkumar, Ligi E. Preshiba and V. Mary Mettilda Rose
Symmetry 2025, 17(8), 1277; https://doi.org/10.3390/sym17081277 - 8 Aug 2025
Cited by 1 | Viewed by 575
Abstract
To offer a viewpoint on convexity and connectedness inside intuitionistic fuzzy graphs (IFGs), the paper is devoted to the study of intuitionistic fuzzy geodetic convexity. The paper introduces an algorithm for precise identification and characterization of geodetic pathways in IFGs, supported by a [...] Read more.
To offer a viewpoint on convexity and connectedness inside intuitionistic fuzzy graphs (IFGs), the paper is devoted to the study of intuitionistic fuzzy geodetic convexity. The paper introduces an algorithm for precise identification and characterization of geodetic pathways in IFGs, supported by a Python program. Various properties of IF-geodetic convex sets such as IF-internal and IF-boundary vertices are obtained. Furthermore, this work introduces and characterizes the concepts of geodetic IF-cover, geodetic IF-basis, and geodetic IF-number. Additionally, the study develops the IF-geodetic Wiener index. The scope of the work explores the application of IF-geodetic cover in wireless mesh networks, focusing on the identification of gateway nodes, where symmetry in connectivity patterns enhances network efficiency. A practical implementation of the IF-geodetic Wiener index method in global human trading analysis underscores the real-world implications of the developed concepts, where the efficiency and interpretability of fuzzy geodetic measures are improved by symmetry in network topologies and trade patterns. Full article
(This article belongs to the Special Issue Advances in Graph Theory Ⅱ)
Show Figures

Figure 1

35 pages, 12716 KB  
Article
Bridging the Gap Between Active Faulting and Deformation Across Normal-Fault Systems in the Central–Southern Apennines (Italy): Multi-Scale and Multi-Source Data Analysis
by Marco Battistelli, Federica Ferrarini, Francesco Bucci, Michele Santangelo, Mauro Cardinali, John P. Merryman Boncori, Daniele Cirillo, Michele M. C. Carafa and Francesco Brozzetti
Remote Sens. 2025, 17(14), 2491; https://doi.org/10.3390/rs17142491 - 17 Jul 2025
Cited by 2 | Viewed by 1417
Abstract
We inspected a sector of the Apennines (central–southern Italy) in geographic and structural continuity with the Quaternary-active extensional belt but where clear geomorphic and seismological signatures of normal faulting are unexpectedly missing. The evidence of active tectonics in this area, between Abruzzo and [...] Read more.
We inspected a sector of the Apennines (central–southern Italy) in geographic and structural continuity with the Quaternary-active extensional belt but where clear geomorphic and seismological signatures of normal faulting are unexpectedly missing. The evidence of active tectonics in this area, between Abruzzo and Molise, does not align with geodetic deformation data and the seismotectonic setting of the central Apennines. To investigate the apparent disconnection between active deformation and the absence of surface faulting in a sector where high lithologic erodibility and landslide susceptibility may hide its structural evidence, we combined multi-scale and multi-source data analyses encompassing morphometric analysis and remote sensing techniques. We utilised high-resolution topographic data to analyse the topographic pattern and investigate potential imbalances between tectonics and erosion. Additionally, we employed aerial-photo interpretation to examine the spatial distribution of morphological features and slope instabilities which are often linked to active faulting. To discern potential biases arising from non-tectonic (slope-related) signals, we analysed InSAR data in key sectors across the study area, including carbonate ridges and foredeep-derived Molise Units for comparison. The topographic analysis highlighted topographic disequilibrium conditions across the study area, and aerial-image interpretation revealed morphologic features offset by structural lineaments. The interferometric analysis confirmed a significant role of gravitational movements in denudating some fault planes while highlighting a clustered spatial pattern of hillslope instabilities. In this context, these instabilities can be considered a proxy for the control exerted by tectonic structures. All findings converge on the identification of an ~20 km long corridor, the Castel di Sangro–Rionero Sannitico alignment (CaS-RS), which exhibits varied evidence of deformation attributable to active normal faulting. The latter manifests through subtle and diffuse deformation controlled by a thick tectonic nappe made up of poorly cohesive lithologies. Overall, our findings suggest that the CaS-RS bridges the structural gap between the Mt Porrara–Mt Pizzalto–Mt Rotella and North Matese fault systems, potentially accounting for some of the deformation recorded in the sector. Our approach contributes to bridging the information gap in this complex sector of the Apennines, offering original insights for future investigations and seismic hazard assessment in the region. Full article
Show Figures

Figure 1

8 pages, 4226 KB  
Proceeding Paper
Global Ionospheric Corrections: Enhancing High-Accuracy Positioning
by Nuria Pérez, Jorge Durán, Enrique Carbonell, Ana González, David Calle and Irma Rodríguez
Eng. Proc. 2025, 88(1), 65; https://doi.org/10.3390/engproc2025088065 - 17 Jun 2025
Viewed by 611
Abstract
Electrically charged particles present in this layer of the Earth’s atmosphere can alter radio waves, such as those from GPS, Galileo, or BeiDou, resulting in non-estimated errors with respect to the available navigation models for the end user. For most positioning algorithms based [...] Read more.
Electrically charged particles present in this layer of the Earth’s atmosphere can alter radio waves, such as those from GPS, Galileo, or BeiDou, resulting in non-estimated errors with respect to the available navigation models for the end user. For most positioning algorithms based in sequential filters, this effect is translated into a slow convergence towards a solution around the decimeter error level. If we consider that the ionosphere’s effect varies based on the user’s location and solar activity due to the atmosphere particle composition, it becomes clear that a global accurate model, valid across wide areas accounting for different seasons and timespans, is, at the very least, quite challenging. The focus of this paper is the demonstration of a global ionosphere model designed to improve the positioning accuracy of the end user through the estimation of ionospheric corrections to the broadcasted navigation message. Mathematically, this method is based on a spherical harmonic expansion model. This approach has the advantage of reducing the dependency from a highly densified station network where the ionosphere delay must be constantly estimated in dozens of locations, in favor of a simplified model that barely needs to be adjusted with a limited set of real-time data (around 40 stations). In this case, GMV’s global station network was used, which comprises geodetic-grade receivers tracking the signal in open-sky locations around the globe. The global ionospheric model is configured to process signals from GPS and Galileo constellations. To evaluate the performances of this model on the final user position estimation, several precise point positioning (PPP) solutions were computed at different locations. The results were compared with PPP solutions calculated without ionospheric corrections at the same stations. The goal of this paper is to show the significant performance improvement observed with the implementation of the global model. Full article
(This article belongs to the Proceedings of European Navigation Conference 2024)
Show Figures

Figure 1

16 pages, 1594 KB  
Article
Measurement of Deformation and Force Changes Recorded During Long-Term Monitoring of a Steel Cable-Stayed Bridge
by Czesław Machelski, Maciej Hildebrand and Jarosław Rybak
Sensors 2025, 25(12), 3638; https://doi.org/10.3390/s25123638 - 10 Jun 2025
Cited by 1 | Viewed by 1105
Abstract
Long-term processes, manifesting themselves in slow geometrical alterations and changes in internal forces, have been known and observed to take place mainly in large bridges made of prestressed concrete, but they also occur, albeit to a smaller degree, in steel bridges. Two sets [...] Read more.
Long-term processes, manifesting themselves in slow geometrical alterations and changes in internal forces, have been known and observed to take place mainly in large bridges made of prestressed concrete, but they also occur, albeit to a smaller degree, in steel bridges. Two sets of data, coming from, respectively, multi-year geodetic surveys and the structural health monitoring of a cable-stayed bridge (forces in its stays), were compared. Using the collocation method, displacements consistent with the results of the geodetic measurements were input into a numerical model of the bridge. Then, changes in the forces in the stays, which should accompany the displacements, were computed. The computed changes were compared with the actual changes in the mean force values in the stays of the bridge recorded over an eight-year period of its structural health monitoring. The two sets of data were found to be not in satisfactory good agreement. The main factors making it difficult to reach full agreement were the very small relative values of the observed geometrical alterations (the deformation, i.e., the increase in deflection, of the 375 m long span amounting merely 10–15 mm after eight years of periodic measurement) and the very small changes (amounting to about 0.5% for 8 years of monitoring) in the mean forces in the stays, as well as the possible mistakes in the survey. Despite these difficulties, the employed collocation method proved to be effective. It was also found that the long-term geometrical alterations and the changes in the forces in the stays do not adversely affect the safety of the bridge and its use. Full article
(This article belongs to the Special Issue Advanced Sensing Technology in Structural Health Monitoring)
Show Figures

Figure 1

19 pages, 8525 KB  
Article
Far-Field Earthquake-Induced Crustal Deformation and Mud Volcano Activity in Azerbaijan Based on the InSAR Technique
by Bahruz Ahadov, Eric Fielding and Fakhraddin Kadirov
Remote Sens. 2025, 17(8), 1421; https://doi.org/10.3390/rs17081421 - 16 Apr 2025
Cited by 1 | Viewed by 2042
Abstract
Azerbaijan is known as a hydrocarbon-rich region for its extensive mud volcanoes and complex tectonic settings. In this research, we analyzed a long-term InSAR time-series from Sentinel-1 SAR data spanning January 2017 to October 2024, which revealed the dynamics of active deformation and [...] Read more.
Azerbaijan is known as a hydrocarbon-rich region for its extensive mud volcanoes and complex tectonic settings. In this research, we analyzed a long-term InSAR time-series from Sentinel-1 SAR data spanning January 2017 to October 2024, which revealed the dynamics of active deformation and mud volcanoes. The study area, with its unique geological complexity characterized by rapid eruptions, subsurface pressure, and fault systems, is a one-of-a-kind natural laboratory for examining the interplay between tectonics and mud volcano activity. Based on extensive data collection, the results showed significant deformation on the primary mud volcanoes, such as Ayazakhtarma and Akhtarma-Pashaly. These patterns, characterized by observed subsidence and uplift, result from subsurface pressure fluctuations and hydrocarbon migration. Furthermore, the examination has demonstrated evidence of temporal deformation episodes intricately linked to the periodic buildup and release of subsurface pressures. A significant result of our study was the reactivation of faults and high deformation rate in almost all observed mud volcanoes during the February 2023 Türkiye Kahramanmaraş earthquakes (Mw 7.8 and 7.6). This dynamic far-field triggering effect reactivated faults and induced widespread deformation. This study indicates that the far-field triggering effect has uncovered deformation patterns that persist for several months after the earthquakes, reflecting prolonged subsurface adjustments. The findings demonstrate that mud volcanoes are subsurface fluid dynamics and tectonic stress indicators and have significant practical implications. Overall, the results provide important insights into the reaction of hydrocarbon-rich regions to seismic energy that can be directly applied to improve regional seismic hazard assessments and tectonic studies. By combining different geodetic data with geological interpretations, this work emphasizes the implication of monitoring hydrocarbon-rich regions like Azerbaijan to assess natural hazards and subsurface dynamics, making the research highly relevant and applicable. Full article
Show Figures

Figure 1

23 pages, 10517 KB  
Article
Strip Adjustment of Multi-Temporal LiDAR Data—A Case Study at the Pielach River
by Michael H. Wimmer, Gottfried Mandlburger, Camillo Ressl and Norbert Pfeifer
Remote Sens. 2024, 16(15), 2838; https://doi.org/10.3390/rs16152838 - 2 Aug 2024
Cited by 1 | Viewed by 2284
Abstract
With LiDAR (Light Detection and Ranging) time series being used for various applications, the optimal realization of a common geodetic datum over many epochs is a highly important prerequisite with a direct impact on the accuracy and reliability of derived measures. In our [...] Read more.
With LiDAR (Light Detection and Ranging) time series being used for various applications, the optimal realization of a common geodetic datum over many epochs is a highly important prerequisite with a direct impact on the accuracy and reliability of derived measures. In our work, we develop and define several approaches to the adjustment of multi-temporal LiDAR data in a given software framework. These approaches, ranging from pragmatic to more rigorous solutions, are applied to an 8-year time series with 21 individual epochs. The analysis of the respective results suggests that a sequence of bi-temporal adjustments of each individual epoch and a designated reference epoch brings the best results while being more flexible and computationally viable than the most extensive approach of using all epochs in one single multi-temporal adjustment. With a combination of sparse control patches measured in the field and one selected reference block, the negative impacts of changing surfaces on orientation quality are more effectively avoided than in any other approach. We obtain relative discrepancies in the range of 1–2 cm between epoch-wise DSMs for the complete time series and mean offsets from independent checkpoints in the range of 3–5 cm. Based on our findings, we formulate design criteria for setting up and adjusting future time series with the proposed method. Full article
Show Figures

Figure 1

17 pages, 13081 KB  
Case Report
Method for Underground Mining Shaft Sensor Data Collection
by Artur Adamek, Janusz Będkowski, Paweł Kamiński, Rafał Pasek, Michał Pełka and Jan Zawiślak
Sensors 2024, 24(13), 4119; https://doi.org/10.3390/s24134119 - 25 Jun 2024
Cited by 5 | Viewed by 2338
Abstract
The motivation behind this research is the lack of an underground mining shaft data set in the literature in the form of open access. For this reason, our data set can be used for many research purposes such as shaft inspection, 3D measurements, [...] Read more.
The motivation behind this research is the lack of an underground mining shaft data set in the literature in the form of open access. For this reason, our data set can be used for many research purposes such as shaft inspection, 3D measurements, simultaneous localization and mapping, artificial intelligence, etc. The data collection method incorporates rotated Velodyne VLP-16, Velodyne Ultra Puck VLP-32c, Livox Tele-15, IMU Xsens MTi-30 and Faro Focus 3D. The ground truth data were acquired with a geodetic survey including 15 ground control points and 6 Faro Focus 3D terrestrial laser scanner stations of a total 273,784,932 of 3D measurement points. This data set provides an end-user case study of realistic applications in mobile mapping technology. The goal of this research was to fill the gap in the underground mining data set domain. The result is the first open-access data set for an underground mining shaft (shaft depth −300 m). Full article
(This article belongs to the Section Physical Sensors)
Show Figures

Figure 1

15 pages, 3898 KB  
Article
Method for Delineating the Formula Limit of the Continental Shelf under the Maximum Area Principle Constraint
by Tian Xie, Jian Dong, Lulu Tang, Mengkai Ma and Dong Wang
J. Mar. Sci. Eng. 2024, 12(6), 949; https://doi.org/10.3390/jmse12060949 - 5 Jun 2024
Cited by 3 | Viewed by 1748
Abstract
In current practices of determining continental shelf area, the measured sediment thickness data do not effectively reflect the distribution of sediments across the area due to its dispersed nature. This issue raises potential limitations in unknown optimal survey line layout strategies for maximizing [...] Read more.
In current practices of determining continental shelf area, the measured sediment thickness data do not effectively reflect the distribution of sediments across the area due to its dispersed nature. This issue raises potential limitations in unknown optimal survey line layout strategies for maximizing the posterior determination area. This paper adopts the binary search algorithm, relies on existing sediment thickness grid data, and uses geodetic formulas to build an ellipsoidal surface grid distance calculation model. This model quickly screens potential areas for the 1% sediment thickness line candidate points set. By constraining the azimuth parameter values during the construction process of the ellipsoidal point feature buffer zones, efficiently select the candidate points set for the 1% sediment thickness line. Furthermore, by elucidating the essential meanings of points on the formula limit and combining the candidate points set of the foot of the continental slope (FOS)+60 n mile line, the polygon minimal convex hull construction technique and a baseline points optimization algorithm with a length threshold are used to efficiently select points on formula limit. Experimental results demonstrate that this method can effectively assist coastal states in optimizing the determination of continental shelf area to the fullest extent under the length threshold requirements of the United Nations Convention on the Law of the Sea. Experiments have proven that compared to the traditional intersection method, the method presented in this paper can help coastal countries delineate a larger continental shelf area. In typical application scenarios, the gain in area can reach 77,278,427 m2 accounting for 0.51% of the total area. Full article
(This article belongs to the Section Geological Oceanography)
Show Figures

Figure 1

27 pages, 22017 KB  
Article
Spatial Analysis of Point Clouds Obtained by SfM Photogrammetry and the TLS Method—Study in Quarry Environment
by Ľudovít Kovanič, Patrik Peťovský, Branislav Topitzer and Peter Blišťan
Land 2024, 13(5), 614; https://doi.org/10.3390/land13050614 - 2 May 2024
Cited by 8 | Viewed by 3488
Abstract
Thanks to the development of geodetic methods and equipment, there has been a transition from conventional methods to modern technologies, which can efficiently and accurately acquire a large amount of data in a short time without the need for direct contact with the [...] Read more.
Thanks to the development of geodetic methods and equipment, there has been a transition from conventional methods to modern technologies, which can efficiently and accurately acquire a large amount of data in a short time without the need for direct contact with the measured object. Combined technologies such as Structure from Motion (SfM), Multi-View Stereo (MVS) photogrammetry using Unmanned Aerial Systems (UAS), and terrestrial laser scanning (TLS) are often used for monitoring geohazards and documenting objects in quarries to obtain detailed and accurate information about their condition and changes. This article deals with the analysis of point clouds obtained with different settings in terms of average absolute point distance, average point density, and time range for surveying and office work. The numerical and graphical results of the research lead to conclusions for scientific and practical applications for activities in the mining industry. Full article
Show Figures

Figure 1

18 pages, 40309 KB  
Article
Research on Identification and Location of Mining Landslide in Mining Area Based on Improved YOLO Algorithm
by Xugang Lian, Yu Li, Xiaobing Wang, Lifan Shi and Changhao Xue
Drones 2024, 8(4), 150; https://doi.org/10.3390/drones8040150 - 14 Apr 2024
Cited by 13 | Viewed by 3214
Abstract
The wide range and high intensity of landslides in the mining area pose a great threat to the safety of human life and property. It is particularly important to identify and monitor them. However, due to the serious surface damage, small landslide scale, [...] Read more.
The wide range and high intensity of landslides in the mining area pose a great threat to the safety of human life and property. It is particularly important to identify and monitor them. However, due to the serious surface damage, small landslide scale, complex background and other factors in the mining area, it is impossible to accurately identify and detect the landslide in the mining area. It is necessary to select an efficient detection model to detect it. In this paper, aiming at the problem of landslide identification in mining area, the remote sensing image of mining area is obtained by unmanned aerial vehicle (UAV), and the landslide data set of mining area is constructed by data enhancement method. An improved YOLOv8 algorithm is proposed. By adding a mixed attention mechanism in the channel and spatial dimensions, the detection accuracy of the model for mining landslide is improved, and the monitoring of landslide changes in the mining area is successfully completed. At the same time, an algorithm for locating the landslide position is proposed. Through this algorithm, the detected landslide pixel coordinates can be converted into geodetic coordinates. The results show that the improved YOLOv8 algorithm proposed in this paper has a recognition accuracy of 93.10% for mining area landslides. Compared with the mAP@0.5 of the original YOLOv8 algorithm and YOLOv5 algorithm, the improved YOLOv8 algorithm has an increase of 4.2% and 5.1%. This study has realized the monitoring and positioning of the landslide in the mining area, which can provide the necessary data support for the ecological restoration on mining area. Full article
(This article belongs to the Special Issue Drones for Natural Hazards)
Show Figures

Figure 1

18 pages, 3308 KB  
Article
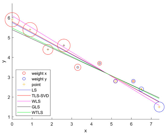
Use of Total Least Squares Adjustment in Geodetic Applications
by Aleš Marjetič, Tomaž Ambrožič and Simona Savšek
Appl. Sci. 2024, 14(6), 2516; https://doi.org/10.3390/app14062516 - 16 Mar 2024
Cited by 2 | Viewed by 3122
Abstract
This article discusses the method of computing the values of the unknowns under the condition of the minimum sum of the squares of the residuals of the observations, also known as the least squares method, with the additional condition of taking into account [...] Read more.
This article discusses the method of computing the values of the unknowns under the condition of the minimum sum of the squares of the residuals of the observations, also known as the least squares method, with the additional condition of taking into account the errors in the unknowns. The problem has already been treated by many authors, especially in the field of regression analysis and the computation of transformation parameters. We give an overview of the theoretical foundations of the least squares method and extensions of this method by considering the errors in the unknowns in the model matrix. So, the total least squares method is presented in this paper, fitting the regression line to a set of points and computing transformation parameters for the transition between the old and the new Slovenian national coordinate systems. Furthermore, for the first time, the method is also presented and tested in the S-transformation between different geodetic datum-dependent solutions. Also, for the first time, we systematically compare the results of the approach with conventional approaches in all three considered tasks. With the results based on relevant statistics, we confirm the suitability of the described method for dealing with the considered computational tasks. Full article
(This article belongs to the Section Earth Sciences)
Show Figures

Figure 1

15 pages, 4385 KB  
Technical Note
Downlink Analysis of a Low-Earth Orbit Satellite Considering an Airborne Interference Source Moving on Various Trajectory
by Eunjung Kang, YoungJu Park, JungHoon Kim and Hosung Choo
Remote Sens. 2024, 16(2), 321; https://doi.org/10.3390/rs16020321 - 12 Jan 2024
Cited by 9 | Viewed by 3548
Abstract
This paper analyzes low-Earth-orbit (LEO) satellite downlinks when an airborne interference source moves parallel to the satellite trajectory by considering the relative angle differences between the satellites and the interference sources. To make the experimental interference situations more like actual environments, the LEO [...] Read more.
This paper analyzes low-Earth-orbit (LEO) satellite downlinks when an airborne interference source moves parallel to the satellite trajectory by considering the relative angle differences between the satellites and the interference sources. To make the experimental interference situations more like actual environments, the LEO trajectories are obtained from two-line element set (TLE) data. Airborne interference sources with various altitudes move parallel to the LEO trajectories, and a jamming to signal (J/S) ratio is calculated based on the relative angle differences between the ground station, the LEO satellite, and the interference source. To accurately calculate the J/S ratio, we should apply the sidelobe gain from which the interference signal enters to the ground station antenna. In order to calculate the relative angle difference ψ, the coordinates of the satellite and the interference source are converted from the World Geodetic System 1984 (WGS84) to the ground station-centered east–north-up (ENU) system. The resulting J/S ratio demonstrates that the distance and the relative angle difference ψ between the ground stations, LEO satellite, and airborne interference source appear to be important factors causing changes in the J/S ratio. Among them, the relative angle difference ψ, which determines the sidelobe gain of the ground station antenna, is the most significant factor affecting the J/S ratio variation. Full article
(This article belongs to the Special Issue LEO-Augmented PNT Service)
Show Figures

Graphical abstract

19 pages, 4131 KB  
Article
Deployment Strategy Analysis for Underwater Geodetic Networks
by Wei Huang, Runying Qiu, Jixuan Zhou and Tianhe Xu
J. Mar. Sci. Eng. 2024, 12(1), 25; https://doi.org/10.3390/jmse12010025 - 20 Dec 2023
Cited by 1 | Viewed by 1724
Abstract
Seafloor geodetic network (SGN) is the foundation for building an underwater positioning, navigation and timing (PNT) system. Traditional network deployment mainly focuses on the deployment of underwater sensor network nodes. However, for SGN, there is no surface buoy node and submarine buoy node, [...] Read more.
Seafloor geodetic network (SGN) is the foundation for building an underwater positioning, navigation and timing (PNT) system. Traditional network deployment mainly focuses on the deployment of underwater sensor network nodes. However, for SGN, there is no surface buoy node and submarine buoy node, and the number of anchors is limited because it is quite expensive to fully cover large scale areas. To achieve wide coverage and good positioning service of each set of underwater base stations, we focus on the network design of a single set of reference stations in this paper. We propose several deployment plans for a local SGN and then analyze their service quality indicators by considering the stratification effect caused by non-uniformly distributed sound speed. To evaluate the performance of each topology of SGN, we compare their coverage range, horizontal dilution precision (HDOP) and accuracy performance of positioning tests. Based on the overall performance in our simulation, we believe that the star five-node topology is a good topology design under sufficient economic conditions. Full article
(This article belongs to the Section Ocean Engineering)
Show Figures

Figure 1

Back to TopTop