Sign in to use this feature.

Years

Between: -

Subjects

remove_circle_outline
remove_circle_outline
remove_circle_outline
remove_circle_outline
remove_circle_outline
remove_circle_outline
remove_circle_outline
remove_circle_outline
remove_circle_outline

Journals

Article Types

Countries / Regions

Search Results (51)

Search Parameters:
Keywords = gap competitors

Order results
Result details
Results per page
Select all
Export citation of selected articles as:
32 pages, 4654 KB  
Article
A Non-Cooperative Game-Based Retail Pricing Model for Electricity Retailers Considering Low-Carbon Incentives and Multi-Player Competition
by Zhiyu Zhao, Bo Bo, Xuemei Li, Po Yang, Dafei Jiang, Ge Wang and Fei Wang
Electronics 2025, 14(23), 4713; https://doi.org/10.3390/electronics14234713 (registering DOI) - 29 Nov 2025
Viewed by 48
Abstract
This paper addresses the retail pricing problem for electricity retailers who also act as virtual power plant (VPP) operators, aggregating distributed energy resources (DERs). In future power markets where multiple such retailers compete for customers, a key challenge is to design pricing strategies [...] Read more.
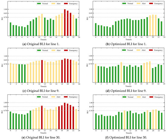
This paper addresses the retail pricing problem for electricity retailers who also act as virtual power plant (VPP) operators, aggregating distributed energy resources (DERs). In future power markets where multiple such retailers compete for customers, a key challenge is to design pricing strategies that balance economic profitability with low-carbon objectives. Existing research often overlooks the impact of retailers’ heterogeneous resource portfolios, particularly the share of low-carbon resources like photovoltaics (PVs), on their competitive advantage and pricing decisions. To bridge this gap, we propose a novel retail pricing model that integrates a non-cooperative game framework with Markov Decision Processes (MDPs). The model enables each retailer to formulate optimal real-time pricing strategies by anticipating competitors’ actions and customer responses, ultimately reaching a Nash equilibrium. A distinctive feature of our approach is the incorporation of spatially differentiated carbon emission factors, which are adjusted based on each retailer’s share of PV generation. This creates a tangible low-carbon incentive, allowing retailers with greener resource mixes to leverage their environmental advantage. The proposed framework is validated on a modified IEEE 30-bus system with six competing retailers. Simulation results demonstrate that our method effectively incentivizes optimal load distribution, alleviates network congestion, and improves branch loading indices. Critically, retailers with a higher share of PV resources achieved significantly higher profits, directly translating their low-carbon advantage into economic value. Notably, the Branch Load Index (BLI) was reduced by 12% and node voltage deviations were improved by 1.32% at Bus 12, demonstrating the model’s effectiveness in integrating economic and low-carbon objectives. Full article
Show Figures

Figure 1

29 pages, 1088 KB  
Article
Defining Nanostores: Cybernetic Insights on Independent Grocery Micro-Retailers’ Identity and Transformations
by David Ernesto Salinas-Navarro, Eliseo Vilalta-Perdomo, Rebecca Michell Herron and Christopher Mejía-Argueta
Systems 2025, 13(9), 771; https://doi.org/10.3390/systems13090771 - 3 Sep 2025
Viewed by 995
Abstract
Nanostores—micro, independent grocery retailers—are often defined overlooking their socioeconomic roles and relational significance in favour of their primary functional aspects. To close this gap, this study adopts a systemic perspective to examine how multiple stakeholders (owners, customers, and suppliers) shape nanostore identity. Accordingly, [...] Read more.
Nanostores—micro, independent grocery retailers—are often defined overlooking their socioeconomic roles and relational significance in favour of their primary functional aspects. To close this gap, this study adopts a systemic perspective to examine how multiple stakeholders (owners, customers, and suppliers) shape nanostore identity. Accordingly, this study proposes a framework of X-Y-Z identity statements, along with the use of the TASCOI tool, to examine nanostore descriptions and map their roles, expectations, and transformation processes. This systemic framework, rooted in management cybernetics, enabled the collection and analysis of 168 survey responses from 34 stores in Mexico City. The results show that nanostore identities are varied and context-dependent, operating as grocery stores, family projects, community anchors, economic lifelines, and competitors. This diversity influences stakeholder engagement, resource utilisation, and operational decisions. Overall, this study provides a transferable framework for analysing micro-business identity and transformation, with implications for problem-solving, decision-making, and policy development. Future research should address the current limitations of this study, including its geographical cross-sectional design, limited sampling method, reliance on self-reported perceptions, and lack of generalisability to other populations. Future work will involve exploring other urban contexts, utilising longitudinal data, expanding the sample, and adopting a participatory research approach to gain a deeper understanding of identity dynamics and their implications for nanostore resilience and survivability. Full article
(This article belongs to the Section Systems Practice in Social Science)
Show Figures

Figure 1

22 pages, 5844 KB  
Article
Scaling, Leakage Current Suppression, and Simulation of Carbon Nanotube Field-Effect Transistors
by Weixu Gong, Zhengyang Cai, Shengcheng Geng, Zhi Gan, Junqiao Li, Tian Qiang, Yanfeng Jiang and Mengye Cai
Nanomaterials 2025, 15(15), 1168; https://doi.org/10.3390/nano15151168 - 28 Jul 2025
Cited by 2 | Viewed by 1132
Abstract
Carbon nanotube field-effect transistors (CNTFETs) are becoming a strong competitor for the next generation of high-performance, energy-efficient integrated circuits due to their near-ballistic carrier transport characteristics and excellent suppression of short-channel effects. However, CNT FETs with large diameters and small band gaps exhibit [...] Read more.
Carbon nanotube field-effect transistors (CNTFETs) are becoming a strong competitor for the next generation of high-performance, energy-efficient integrated circuits due to their near-ballistic carrier transport characteristics and excellent suppression of short-channel effects. However, CNT FETs with large diameters and small band gaps exhibit obvious bipolarity, and gate-induced drain leakage (GIDL) contributes significantly to the off-state leakage current. Although the asymmetric gate strategy and feedback gate (FBG) structures proposed so far have shown the potential to suppress CNT FET leakage currents, the devices still lack scalability. Based on the analysis of the conduction mechanism of existing self-aligned gate structures, this study innovatively proposed a design strategy to extend the length of the source–drain epitaxial region (Lext) under a vertically stacked architecture. While maintaining a high drive current, this structure effectively suppresses the quantum tunneling effect on the drain side, thereby reducing the off-state leakage current (Ioff = 10−10 A), and has good scaling characteristics and leakage current suppression characteristics between gate lengths of 200 nm and 25 nm. For the sidewall gate architecture, this work also uses single-walled carbon nanotubes (SWCNTs) as the channel material and uses metal source and drain electrodes with good work function matching to achieve low-resistance ohmic contact. This solution has significant advantages in structural adjustability and contact quality and can significantly reduce the off-state current (Ioff = 10−14 A). At the same time, it can solve the problem of off-state current suppression failure when the gate length of the vertical stacking structure is 10 nm (the total channel length is 30 nm) and has good scalability. Full article
(This article belongs to the Special Issue Advanced Nanoscale Materials and (Flexible) Devices)
Show Figures

Figure 1

25 pages, 1344 KB  
Article
Customer-Centric Decision-Making with XAI and Counterfactual Explanations for Churn Mitigation
by Simona-Vasilica Oprea and Adela Bâra
J. Theor. Appl. Electron. Commer. Res. 2025, 20(2), 129; https://doi.org/10.3390/jtaer20020129 - 3 Jun 2025
Cited by 1 | Viewed by 2232
Abstract
In this paper, we propose a methodology designed to deliver actionable insights that help businesses retain customers. While Machine Learning (ML) techniques predict whether a customer is likely to churn, this alone is not enough. Explainable Artificial Intelligence (XAI) methods, such as SHapley [...] Read more.
In this paper, we propose a methodology designed to deliver actionable insights that help businesses retain customers. While Machine Learning (ML) techniques predict whether a customer is likely to churn, this alone is not enough. Explainable Artificial Intelligence (XAI) methods, such as SHapley Additive Explanations (SHAP) and Local Interpretable Model-agnostic Explanations (LIME), highlight the features influencing the prediction, but businesses need strategies to prevent churn. Counterfactual (CF) explanations bridge this gap by identifying the minimal changes in the business–customer relationship that could shift an outcome from churn to retention, offering steps to enhance customer loyalty and reduce losses to competitors. These explanations might not fully align with business constraints; however, alternative scenarios can be developed to achieve the same objective. Among the six classifiers used to detect churn cases, the Balanced Random Forest classifier was selected for its superior performance, achieving the highest recall score of 0.72. After classification, Diverse Counterfactual Explanations with ML (DiCEML) through Mixed-Integer Linear Programming (MILP) is applied to obtain the required changes in the features, as well as in the range permitted by the business itself. We further apply DiCEML to uncover potential biases within the model, calculating the disparate impact of some features. Full article
Show Figures

Figure 1

20 pages, 13768 KB  
Article
Influence of Hybridization Ratio on Field Back-EMF Ripple in Switched Flux Hybrid Excitation Machines
by Xiaoyong Sun, Ruizhao Han, Ruyu Shang and Zhiyu Yang
Machines 2025, 13(6), 473; https://doi.org/10.3390/machines13060473 - 30 May 2025
Viewed by 594
Abstract
Hybrid excited machines are strong competitors for application in hybrid/full electric vehicles due to their high torque density and strong air gap field-regulating capability. Similar to armature back-EMF, back-EMF also exists in the field windings of hybrid excited machines. However, the existence of [...] Read more.
Hybrid excited machines are strong competitors for application in hybrid/full electric vehicles due to their high torque density and strong air gap field-regulating capability. Similar to armature back-EMF, back-EMF also exists in the field windings of hybrid excited machines. However, the existence of field back-EMF is harmful to the safe and stable operation of machine systems, e.g., lower efficiency, higher torque ripple, reduced control performance, etc. In this paper, the influence of the hybridization ratio k, i.e., the ratio of the field winding slot area to the total field slot area, on the field back-EMF in hybrid excited machines with a switched flux stator is comprehensively investigated. In addition, a comparative study of the field back-EMF ripple in hybrid excited machines and wound field synchronous machines is conducted. It shows that the field back-EMF in flux-enhancing, zero field current, and flux-weakening modes is significantly affected by the hybridization ratio under different conditions. Moreover, the on-load field back-EMF in wound field machines is considerably higher than that in hybrid excited machines due to the mitigated magnetic saturation level in the field winding’s magnetic flux path. Finally, to validate the results predicted using the finite element method, a prototype hybrid excited machine is built and tested. Full article
Show Figures

Figure 1

16 pages, 4162 KB  
Article
Dynamic Energy Cascading Model for Stock Price Prediction in Enterprise Association Networks
by Peijie Zhang, Saike He, Jun Luo, Yi Yang, Qiaoqiao Yuan, Yuqi Huang, Yichun Peng and Daniel Dajun Zeng
Electronics 2025, 14(6), 1221; https://doi.org/10.3390/electronics14061221 - 20 Mar 2025
Viewed by 1187
Abstract
Enterprise performance in real-world markets is shaped by dynamic factors, including competitors, collaborators, and hidden associates. Existing models struggle to capture the interplay between time-varying network dynamics and financial asset price movements. Traditional energy cascading models rely on static network assumptions, while deep [...] Read more.
Enterprise performance in real-world markets is shaped by dynamic factors, including competitors, collaborators, and hidden associates. Existing models struggle to capture the interplay between time-varying network dynamics and financial asset price movements. Traditional energy cascading models rely on static network assumptions, while deep learning approaches lack the incorporation of key network science principles such as structural balance and assortativity degree. To address these gaps, we propose the Dynamic Energy Cascading Model (DECM), a framework that models the propagation of business influence within dynamic enterprise networks. This method first constructs a dynamic enterprise association network, then applies an energy cascading mechanism to this network, utilizing the propagated energy metrics as predictive indicators for stock price forecasting. Unlike existing approaches, DECM uniquely integrates dynamic network properties and knowledge structures, such as structural balance and assortativity degree, to model the cascading effects of business influences on stock prices. Through extensive evaluations using data from S&P 500 companies, we demonstrate that DECM significantly outperforms conventional models in predictive precision. A key innovation of our work lies in identifying the critical role of assortativity degree in predicting stock price movements, which surpasses the impact of structural balance. These findings not only advance the theoretical understanding of enterprise performance dynamics but also provide actionable insights for policymakers and practitioners from a network science perspective. Full article
(This article belongs to the Section Computer Science & Engineering)
Show Figures

Figure 1

27 pages, 13630 KB  
Article
SADASNet: A Selective and Adaptive Deep Architecture Search Network with Hyperparameter Optimization for Robust Skin Cancer Classification
by Günay İlker and İnik Özkan
Diagnostics 2025, 15(5), 541; https://doi.org/10.3390/diagnostics15050541 - 24 Feb 2025
Cited by 2 | Viewed by 1312
Abstract
Background/Objectives: Skin cancer is a major public health concern, where early diagnosis and effective treatment are essential for prevention. To enhance diagnostic accuracy, researchers have increasingly utilized computer vision systems, with deep learning-based approaches becoming the primary focus in recent studies. Nevertheless, there [...] Read more.
Background/Objectives: Skin cancer is a major public health concern, where early diagnosis and effective treatment are essential for prevention. To enhance diagnostic accuracy, researchers have increasingly utilized computer vision systems, with deep learning-based approaches becoming the primary focus in recent studies. Nevertheless, there is a notable research gap in the effective optimization of hyperparameters to design optimal deep learning architectures, given the need for high accuracy and lower computational complexity. Methods: This paper puts forth a robust metaheuristic optimization-based approach to develop novel deep learning architectures for multi-class skin cancer classification. This method, designated as the SADASNet (Selective and Adaptive Deep Architecture Search Network by Hyperparameter Optimization) algorithm, is developed based on the Particle Swarm Optimization (PSO) technique. The SADASNet method is adapted to the HAM10000 dataset. Innovative data augmentation techniques are applied to overcome class imbalance issues and enhance the performance of the model. The SADASNet method has been developed to accommodate a range of image sizes, and six different original deep learning models have been produced as a result. Results: The models achieved the following highest performance metrics: 99.31% accuracy, 97.58% F1 score, 97.57% recall, 97.64% precision, and 99.59% specificity. Compared to the most advanced competitors reported in the literature, the proposed method demonstrates superior performance in terms of accuracy and computational complexity. Furthermore, it maintains a broad solution space during parameter optimization. Conclusions: With these outcomes, this method aims to enhance the classification of skin cancer and contribute to the advancement of deep learning. Full article
(This article belongs to the Topic Machine Learning and Deep Learning in Medical Imaging)
Show Figures

Figure 1

23 pages, 968 KB  
Article
Exploring Aquaculture Professionals’ Perceptions of Artificial Intelligence: Quantitative Insights into Mediterranean Fish Health Management
by Dimitris C. Gkikas, Vasileios P. Georgopoulos and John A. Theodorou
Water 2024, 16(24), 3595; https://doi.org/10.3390/w16243595 - 13 Dec 2024
Viewed by 1377
Abstract
This study aims to explore aquaculture professionals’ perspectives on, attitudes towards and understanding of Mediterranean farm fish health management, regarding Artificial Intelligence (A.I.), and to shed light on the factors that affect its adoption. A survey was distributed during a major fish health [...] Read more.
This study aims to explore aquaculture professionals’ perspectives on, attitudes towards and understanding of Mediterranean farm fish health management, regarding Artificial Intelligence (A.I.), and to shed light on the factors that affect its adoption. A survey was distributed during a major fish health management conference, representing more than 70% of Greek domestic production. A total of 73 questionnaires were collected, for which descriptive statistics and statistical analysis followed. Gender and age were shown to affect interest in A.I. and in viewing A.I. as a partner rather than a competitor. Age was additionally shown to affect trust in A.I. estimates and anticipation that A.I. will contribute to professional development. Education level shows no significant effect. Knowledge of A.I. is positively correlated with A.I. usage (r = 0.43, p < 0.05), as is interest in learning about A.I. (r = 0.64). A.I. usage is in turn positively correlated with eagerness to see its contribution (r = 0.72). Despite the fact that 64.4% characterized their knowledge as little or non-existent, 67.1% expressed interest in learning more, while 43.8% believe that A.I. will revolutionize aquaculture and 74% do not fear they will be replaced by A.I. in the future. The findings highlight the importance of targeted educational initiatives to bridge the knowledge gap and encourage trust in A.I. technologies. Full article
(This article belongs to the Special Issue Sustainable Transformation of Aquaculture in Marine Environments)
Show Figures

Figure 1

19 pages, 1727 KB  
Review
Pharmacological Advancements of PRC2 in Cancer Therapy: A Narrative Review
by Michael S. Wang, Jonathan Sussman, Jessica A. Xu, Reema Patel, Omar Elghawy and Prashanth Rawla
Life 2024, 14(12), 1645; https://doi.org/10.3390/life14121645 - 11 Dec 2024
Cited by 1 | Viewed by 3370
Abstract
Polycomb repressive complex 2 (PRC2) is known to regulate gene expression and chromatin structure as it methylates H3K27, resulting in gene silencing. Studies have shown that PRC2 has dual functions in oncogenesis that allow it to function as both an oncogene and a [...] Read more.
Polycomb repressive complex 2 (PRC2) is known to regulate gene expression and chromatin structure as it methylates H3K27, resulting in gene silencing. Studies have shown that PRC2 has dual functions in oncogenesis that allow it to function as both an oncogene and a tumor suppressor. Because of this, nuanced strategies are necessary to promote or inhibit PRC2 activity therapeutically. Given the therapeutic vulnerabilities and associated risks in oncological applications, a structured literature review on PRC2 was conducted to showcase similar cofactor competitor inhibitors of PRC2. Key inhibitors such as Tazemetostat, GSK126, Valemetostat, and UNC1999 have shown promise for clinical use within various studies. Tazemetostat and GSK126 are both highly selective for wild-type and lymphoma-associated EZH2 mutants. Valemetostat and UNC1999 have shown promise as orally bioavailable and SAM-competitive inhibitors of both EZH1 and EZH2, giving them greater efficacy against potential drug resistance. The development of other PRC2 inhibitors, particularly inhibitors targeting the EED or SUZ12 subunit, is also being explored with the development of drugs like EED 226. This review aims to bridge gaps in the current literature and provide a unified perspective on promising PRC2 inhibitors as therapeutic agents in the treatment of lymphomas and solid tumors. Full article
(This article belongs to the Section Epidemiology)
Show Figures

Figure 1

24 pages, 2540 KB  
Article
Coopetition Networks for Small and Medium Enterprises: A Lifecycle Model Grounded in Service-Dominant Logic
by Agostinho Da Silva and Antonio J. Marques Cardoso
Systems 2024, 12(11), 461; https://doi.org/10.3390/systems12110461 - 31 Oct 2024
Cited by 2 | Viewed by 1822
Abstract
Small and medium enterprises (SMEs) are vital to the European economy, but sustaining coopetition networks—collaborative arrangements between competitors—remains challenging. In this study, this gap is addressed by developing a reference model and methodology for coopetition networks explicitly designed for SMEs and grounded in [...] Read more.
Small and medium enterprises (SMEs) are vital to the European economy, but sustaining coopetition networks—collaborative arrangements between competitors—remains challenging. In this study, this gap is addressed by developing a reference model and methodology for coopetition networks explicitly designed for SMEs and grounded in the service-dominant (S-D) logic framework. The model provides a structured approach for managing coopetition across the entire network lifecycle, from initiation to dissolution, emphasizing value co-creation and resource integration. A proof of concept (PoC) was implemented in the Portuguese ornamental stone sector to validate the model, revealing significant improvements in manufacturing effectiveness and demonstrating the model’s practical applicability. The results underscore the potential of coopetition networks to boost SMEs’ competitiveness and performance while identifying key trade-offs and risks, such as knowledge sharing and market cannibalization. Although the model addresses critical challenges, in this study, limitations are acknowledged and areas for future research are suggested, particularly in relation to the long-term sustainability of coopetition and the influence of interpersonal dynamics. Full article
Show Figures

Figure 1

32 pages, 4030 KB  
Article
Are German Automotive Suppliers in the Commodity Trap? Risks and Potentials of the Taiwanese Platform MIH EV Open
by Bernhard Koelmel, Tim Haug, Leonie Klein, Lukas Schwab, Rebecca Bulander, Henning Hinderer, Matthias Weyer, Tanja Brugger, Ansgar Kuehn and Tanja Brysch
Commodities 2024, 3(4), 389-420; https://doi.org/10.3390/commodities3040022 - 24 Sep 2024
Viewed by 4163
Abstract
This research paper examines the risks posed by the MIH EV Open platform to German automotive suppliers, in particular, the risk of commoditization and falling into a commodity trap. The term commodity trap describes a situation in which companies dealing with standardized products [...] Read more.
This research paper examines the risks posed by the MIH EV Open platform to German automotive suppliers, in particular, the risk of commoditization and falling into a commodity trap. The term commodity trap describes a situation in which companies dealing with standardized products or services face intense price and margin pressure and struggle to differentiate themselves from competitors. The MIH EV Open platform, established by Foxconn, also known as Hon Hai Precision Industry Co. Ltd., headquartered in Tucheng, Taipei, Taiwan, aims to create a collaborative platform for the comprehensive development of key software, hardware components, and services in the electric vehicle (EV) industry. It unites over 2700 companies from more than 70 countries and fosters collaboration to accelerate the development and market entry of new EV products. This paper analyzes the MIH EV Open business ecosystem model and assesses the strengths and weaknesses of German suppliers in addressing these challenges. This study highlights strategic approaches, including innovation, portfolio adaptation, customer relationships, and sustainability practices, that can enable German suppliers to mitigate commodity trap risks. The findings underscore the importance of proactive, segment-specific strategies amidst the transformation of the automotive industry. Key insights are provided on the potential impact of open platform ecosystems and recommendations for German automotive suppliers to maintain competitiveness. This research fills a gap in the literature by examining the commoditization risks posed by the MIH EV Open platform for German automotive suppliers. Unlike previous studies that focus on traditional market structures, this study explores the novel dynamics introduced by platform ecosystems and provides strategic insights to mitigate these risks. Full article
Show Figures

Figure 1

17 pages, 1753 KB  
Article
Value Creation in Technology-Driven Ecosystems: Role of Coopetition in Industrial Networks
by Agostinho da Silva and António J. Marques Cardoso
J. Theor. Appl. Electron. Commer. Res. 2024, 19(3), 2343-2359; https://doi.org/10.3390/jtaer19030113 - 7 Sep 2024
Cited by 5 | Viewed by 2988
Abstract
Coopetition, while offering significant strategic advantages, presents challenges in maintaining long-term collaboration among competitors, often due to a lack of perceived value for the participating actors. This study explores the role of technology in overcoming these challenges by applying the Service-Dominant Logic (S-D [...] Read more.
Coopetition, while offering significant strategic advantages, presents challenges in maintaining long-term collaboration among competitors, often due to a lack of perceived value for the participating actors. This study explores the role of technology in overcoming these challenges by applying the Service-Dominant Logic (S-D Logic) framework to investigate how technology-driven networks can enhance value co-creation among small and medium-sized enterprises (SMEs). The study hypothesizes that transitioning to technology-driven coopetition networks can substantially improve value co-creation. To test this hypothesis, the research critically evaluates existing theoretical approaches to coopetition, identifies gaps in understanding value creation mechanisms, and implements an experimental technology-driven coopetition network leveraging Internet of Things (IoT) technology. The research design is applied explicitly to the Portuguese ornamental stone industry, a significant economic and cultural sector. The findings confirm that technology-driven coopetition networks can enhance value co-creation and improve outputs. These results suggest that integrating technology into coopetition frameworks can provide a viable path to sustaining competitive advantages in SMEs. Full article
Show Figures

Figure 1

20 pages, 611 KB  
Article
Analysis of Variance Combined with Optimized Gradient Boosting Machines for Enhanced Load Recognition in Home Energy Management Systems
by Thales W. Cabral, Fernando B. Neto, Eduardo R. de Lima, Gustavo Fraidenraich and Luís G. P. Meloni
Sensors 2024, 24(15), 4965; https://doi.org/10.3390/s24154965 - 31 Jul 2024
Cited by 4 | Viewed by 1788
Abstract
Load recognition remains not comprehensively explored in Home Energy Management Systems (HEMSs). There are gaps in current approaches to load recognition, such as enhancing appliance identification and increasing the overall performance of the load-recognition system through more robust models. To address this issue, [...] Read more.
Load recognition remains not comprehensively explored in Home Energy Management Systems (HEMSs). There are gaps in current approaches to load recognition, such as enhancing appliance identification and increasing the overall performance of the load-recognition system through more robust models. To address this issue, we propose a novel approach based on the Analysis of Variance (ANOVA) F-test combined with SelectKBest and gradient-boosting machines (GBMs) for load recognition. The proposed approach improves the feature selection and consequently aids inter-class separability. Further, we optimized GBM models, such as the histogram-based gradient-boosting machine (HistGBM), light gradient-boosting machine (LightGBM), and XGBoost (extreme gradient boosting), to create a more reliable load-recognition system. Our findings reveal that the ANOVA–GBM approach achieves greater efficiency in training time, even when compared to Principal Component Analysis (PCA) and a higher number of features. ANOVA–XGBoost is approximately 4.31 times faster than PCA–XGBoost, ANOVA–LightGBM is about 5.15 times faster than PCA–LightGBM, and ANOVA–HistGBM is 2.27 times faster than PCA–HistGBM. The general performance results expose the impact on the overall performance of the load-recognition system. Some of the key results show that the ANOVA–LightGBM pair reached 96.42% accuracy, 96.27% F1, and a Kappa index of 0.9404; the ANOVA–HistGBM combination achieved 96.64% accuracy, 96.48% F1, and a Kappa index of 0.9434; and the ANOVA–XGBoost pair attained 96.75% accuracy, 96.64% F1, and a Kappa index of 0.9452; such findings overcome rival methods from the literature. In addition, the accuracy gain of the proposed approach is prominent when compared straight to its competitors. The higher accuracy gains were 13.09, 13.31, and 13.42 percentage points (pp) for the pairs ANOVA–LightGBM, ANOVA–HistGBM, and ANOVA–XGBoost, respectively. These significant improvements highlight the effectiveness and refinement of the proposed approach. Full article
(This article belongs to the Special Issue Smart Sensor Networks for Smart Grids: 2nd Edition)
Show Figures

Figure 1

26 pages, 5228 KB  
Article
Application of Quantum Neural Network for Solar Irradiance Forecasting: A Case Study Using the Folsom Dataset, California
by Victor Oliveira Santos, Felipe Pinto Marinho, Paulo Alexandre Costa Rocha, Jesse Van Griensven Thé and Bahram Gharabaghi
Energies 2024, 17(14), 3580; https://doi.org/10.3390/en17143580 - 21 Jul 2024
Cited by 12 | Viewed by 2791
Abstract
Merging machine learning with the power of quantum computing holds great potential for data-driven decision making and the development of powerful models for complex datasets. This area offers the potential for improving the accuracy of the real-time prediction of renewable energy production, such [...] Read more.
Merging machine learning with the power of quantum computing holds great potential for data-driven decision making and the development of powerful models for complex datasets. This area offers the potential for improving the accuracy of the real-time prediction of renewable energy production, such as solar irradiance forecasting. However, the literature on this topic is sparse. Addressing this knowledge gap, this study aims to develop and evaluate a quantum neural network model for solar irradiance prediction up to 3 h in advance. The proposed model was compared with Support Vector Regression, Group Method of Data Handling, and Extreme Gradient Boost classical models. The proposed framework could provide competitive results compared to its competitors, considering forecasting intervals of 5 to 120 min ahead, where it was the fourth best-performing paradigm. For 3 h ahead predictions, the proposed model achieved the second-best results compared with the other approaches, reaching a root mean squared error of 77.55 W/m2 and coefficient of determination of 80.92% for global horizontal irradiance forecasting. The results for longer forecasting horizons suggest that the quantum model may process spatiotemporal information from the input dataset in a manner not attainable by the current classical approaches, thus improving forecasting capacity in longer predictive windows. Full article
(This article belongs to the Section A: Sustainable Energy)
Show Figures

Figure 1

24 pages, 858 KB  
Article
Investigation of Equilibrium in Oligopoly Markets with the Help of Tripled Fixed Points in Banach Spaces
by Atanas Ilchev, Vanya Ivanova, Hristina Kulina, Polina Yaneva and Boyan Zlatanov
Econometrics 2024, 12(2), 18; https://doi.org/10.3390/econometrics12020018 - 17 Jun 2024
Cited by 4 | Viewed by 1952
Abstract
In the study we explore an oligopoly market for equilibrium and stability based on statistical data with the help of response functions rather than payoff maximization. To achieve this, we extend the concept of coupled fixed points to triple fixed points. We propose [...] Read more.
In the study we explore an oligopoly market for equilibrium and stability based on statistical data with the help of response functions rather than payoff maximization. To achieve this, we extend the concept of coupled fixed points to triple fixed points. We propose a new model that leads to generalized triple fixed points. We present a possible application of the generalized tripled fixed point model to the study of market equilibrium in an oligopolistic market dominated by three major competitors. The task of maximizing the payout functions of the three players is modified by the concept of generalized tripled fixed points of response functions. The presented model for generalized tripled fixed points of response functions is equivalent to Cournot payoff maximization, provided that the market price function and the three players’ cost functions are differentiable. Furthermore, we demonstrate that the contractive condition corresponds to the second-order constraints in payoff maximization. Moreover, the model under consideration is stable in the sense that it ensures the stability of the consecutive production process, as opposed to the payoff maximization model with which the market equilibrium may not be stable. A possible gap in the applications of the classical technique for maximization of the payoff functions is that the price function in the market may not be known, and any approximation of it may lead to the solution of a task different from the one generated by the market. We use empirical data from Bulgaria’s beer market to illustrate the created model. The statistical data gives fair information on how the players react without knowing the price function, their cost function, or their aims towards a specific market. We present two models based on the real data and their approximations, respectively. The two models, although different, show similar behavior in terms of time and the stability of the market equilibrium. Thus, the notion of response functions and tripled fixed points seems to present a justified way of modeling market processes in oligopoly markets when searching whether the market has reached equilibrium and if this equilibrium is unique and stable in time Full article
Show Figures

Figure 1

Back to TopTop