Sign in to use this feature.

Years

Between: -

Subjects

remove_circle_outline
remove_circle_outline
remove_circle_outline
remove_circle_outline
remove_circle_outline
remove_circle_outline
remove_circle_outline
remove_circle_outline
remove_circle_outline

Journals

remove_circle_outline
remove_circle_outline
remove_circle_outline
remove_circle_outline
remove_circle_outline
remove_circle_outline
remove_circle_outline
remove_circle_outline
remove_circle_outline
remove_circle_outline
remove_circle_outline
remove_circle_outline
remove_circle_outline

Article Types

Countries / Regions

remove_circle_outline
remove_circle_outline
remove_circle_outline
remove_circle_outline

Search Results (553)

Search Parameters:
Keywords = future learners

Order results
Result details
Results per page
Select all
Export citation of selected articles as:
61 pages, 5879 KB  
Article
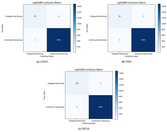
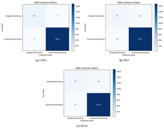
Bioinspired Optimization for Feature Selection in Post-Compliance Risk Prediction
by Álex Paz, Broderick Crawford, Eric Monfroy, Eduardo Rodriguez-Tello, José Barrera-García, Felipe Cisternas-Caneo, Benjamín López Cortés, Yoslandy Lazo, Andrés Yáñez, Álvaro Peña Fritz and Ricardo Soto
Biomimetics 2026, 11(3), 190; https://doi.org/10.3390/biomimetics11030190 - 5 Mar 2026
Abstract
Bio-inspired metaheuristic optimization offers flexible search mechanisms for high-dimensional predictive problems under operational constraints. In administrative risk prediction settings, class imbalance and feature redundancy challenge conventional learning pipelines. This study evaluates a wrapper-based metaheuristic feature selection framework for post-compliance income declaration prediction using [...] Read more.
Bio-inspired metaheuristic optimization offers flexible search mechanisms for high-dimensional predictive problems under operational constraints. In administrative risk prediction settings, class imbalance and feature redundancy challenge conventional learning pipelines. This study evaluates a wrapper-based metaheuristic feature selection framework for post-compliance income declaration prediction using real longitudinal administrative records. The proposed approach integrates swarm-inspired optimization with supervised classifiers under a weighted objective function jointly prioritizing minority-class recall and subset compactness. Robustness is assessed through 31 independent stochastic runs per configuration. The empirical results indicate that performance effects are learner-dependent. For variance-prone classifiers, substantial minority-class recall gains are observed, with recall increasing from 0.284 to 0.849 for k-nearest neighbors and from 0.471 to 0.932 for Random Forest under optimized configurations. For LightGBM, optimized models maintain high recall levels (0.935–0.943 on average) with low dispersion, suggesting representational stabilization and dimensional compression rather than large absolute recall improvements. Optimized subsets retain approximately 16–33 features on average from the original 76-variable space. Within the evaluated experimental protocol, the findings show that metaheuristic-driven wrapper feature selection can reshape predictive representations under class imbalance, enabling simultaneous control of minority-class performance and feature dimensionality. Formal institutional deployment and cross-domain generalization remain subjects for future investigation. Full article
(This article belongs to the Special Issue Advances in Biological and Bio-Inspired Algorithms)
Show Figures

Figure 1

14 pages, 965 KB  
Article
AlphaLearn: A Multi-Objective Evolutionary Framework for Fair and Adaptive Optimization of E-Learning Pathways
by Ridouane Oubagine, Loubna Laaouina, Adil Jeghal and Hamid Tairi
Technologies 2026, 14(3), 162; https://doi.org/10.3390/technologies14030162 - 5 Mar 2026
Abstract
Personalized e-learning seeks to adapt sequences of learning activities to individual learners, yet most existing adaptive platforms continue to rely on heuristic rules or single-objective optimization strategies. This paper introduces AlphaLearn, a conceptual evolutionary agent that frames learning pathway design as a constrained [...] Read more.
Personalized e-learning seeks to adapt sequences of learning activities to individual learners, yet most existing adaptive platforms continue to rely on heuristic rules or single-objective optimization strategies. This paper introduces AlphaLearn, a conceptual evolutionary agent that frames learning pathway design as a constrained multi-objective optimization problem. The framework integrates knowledge graphs, learner modelling, and evolutionary algorithms to generate, evaluate, and iteratively refine candidate learning pathways under multiple pedagogical criteria. The contribution of this work is threefold. First, it presents a structured architectural framework for evolutionary learning pathway optimization, including a formal description of the optimization cycle and pathway representation. Second, it provides a descriptive analysis of large-scale learning analytics data from the Open University Learning Analytics Dataset (OULAD), illustrating substantial variability in learner outcomes, failure rates, and dropout across modules. Third, it offers an explicit discussion of fairness and bias mitigation, positioning equity as an integral dimension of adaptive pathway optimization rather than a post-hoc concern. The descriptive findings highlight pronounced heterogeneity in learner performance and engagement, motivating the need for adaptive systems capable of balancing learning effectiveness, efficiency, engagement, and fairness. While AlphaLearn is presented as a conceptual and methodological framework rather than a validated system, it establishes a foundation for future empirical evaluation and the development of fairness-aware evolutionary approaches to personalized e-learning. Full article
Show Figures

Figure 1

32 pages, 1283 KB  
Systematic Review
Artificial Intelligence in Online Education: A Systematic Review of Its Impact on Learner Engagement and Satisfaction
by Ana Katalinic, Vanja Slavuj and Danijela Jaksic
Educ. Sci. 2026, 16(3), 389; https://doi.org/10.3390/educsci16030389 - 4 Mar 2026
Abstract
The integration of artificial intelligence (AI) into online education has transformed the digital learning space, offering new ways to enhance learner satisfaction and engagement. This systematic literature review, covering a five-year span from 2020 to 2025, explores how AI technologies, such as chatbots, [...] Read more.
The integration of artificial intelligence (AI) into online education has transformed the digital learning space, offering new ways to enhance learner satisfaction and engagement. This systematic literature review, covering a five-year span from 2020 to 2025, explores how AI technologies, such as chatbots, intelligent tutoring systems (ITS), sentiment analysis, gaze tracking and predictive analytics, support learner engagement across cognitive, emotional, behavioral, and social dimensions. Drawing from 30 peer-reviewed studies, the current review addresses three central research questions: (1) What aspects of AI positively influence learner satisfaction and engagement in online courses within higher education institutions; (2) What potential challenges from using these technologies may arise; and (3) What research approaches are most commonly used to assess AI’s impact in such learning contexts? The findings highlight that adaptive learning, real-time feedback, and emotion-aware systems contribute positively to personalized learning and motivation. However, concerns persist around data privacy, algorithmic bias, over-reliance on automation, and system usability. Experimental and quasi-experimental designs, as well as machine learning, mixed methods, and survey-based approaches are found to dominate in reviewed studies. Based on these insights, this work offers a foundation for future AI-enhanced learning management systems designed primarily to enhance learner engagement across cognitive, emotional, behavioral, and social domains. Full article
(This article belongs to the Section Technology Enhanced Education)
Show Figures

Figure 1

23 pages, 417 KB  
Review
A Review of the Effectiveness of Hand Gestures in Second Language Phonetic Training
by Xiaotong Xi and Peng Li
Languages 2026, 11(3), 43; https://doi.org/10.3390/languages11030043 - 4 Mar 2026
Abstract
This narrative review synthesizes 24 empirical studies on the role of four types of pedagogical gestures (beat, durational, pitch, and articulatory) in second language (L2) phonetic training since 2010. We reviewed studies involving training interventions to assess the efficacy, mediating factors, and robustness [...] Read more.
This narrative review synthesizes 24 empirical studies on the role of four types of pedagogical gestures (beat, durational, pitch, and articulatory) in second language (L2) phonetic training since 2010. We reviewed studies involving training interventions to assess the efficacy, mediating factors, and robustness of multimodal training. The findings confirm that gestural training is a powerful tool, yielding the most robust positive effects for L2 speech production and the acquisition of suprasegmental features. Crucially, the effectiveness is highly dependent on gesture-sound consistency and visual saliency of the target phonetic/prosodic feature. However, results are mixed regarding perceptual learning and the generalization of gains to untrained items or novel contexts. While the literature supports the value of gestural training, there are gaps in determining the optimal training paradigm (observing gestures vs. performing gestures), accounting for individual learner differences, and establishing long-term retention and ecological validity. Future research should incorporate longitudinal designs and neurophysiological methods to fully illuminate the cognitive mechanisms that drive the body–mind link in L2 speech acquisition. Full article
20 pages, 5409 KB  
Article
Active Interception for Multi-Target Encirclement by Heterogeneous UAVs: An LSTM-Enhanced Independent PPO Algorithm
by Yuxin Song and Hanning Chen
Designs 2026, 10(2), 26; https://doi.org/10.3390/designs10020026 - 28 Feb 2026
Viewed by 141
Abstract
In recent years, multi-UAV systems have demonstrated broad applications in both security and civilian domains, where cooperative encirclement has emerged as a key research focus. However, existing work predominantly addresses single-target scenarios with homogeneous UAVs using passive tracking strategies, which are inadequate for [...] Read more.
In recent years, multi-UAV systems have demonstrated broad applications in both security and civilian domains, where cooperative encirclement has emerged as a key research focus. However, existing work predominantly addresses single-target scenarios with homogeneous UAVs using passive tracking strategies, which are inadequate for handling highly maneuverable targets. To overcome these limitations, this paper proposes an active interception decision framework integrating LSTM networks with an off-policy independent actor–critic framework employing a PPO-style clipped surrogate objective, referred to as LIPPO. It aims to address the complex problem of heterogeneous UAV swarms encircling multiple continuously learning targets. The framework employs an LSTM module for real-time trajectory prediction and uses the predicted future positions as interception points, shifting the paradigm from passive tracking to proactive interception. At the decision level, LIPPO adopts a hybrid architecture where each UAV acts as an independent learner, while a shared experience pool enables efficient knowledge transfer across the swarm. Comprehensive simulations demonstrate LIPPO’s superiority. In complex scenarios, it achieves an encirclement success rate up to 10 percentage points higher than non-predictive baselines and reduces energy consumption by nearly 28% compared to centralized training multi-agent reinforcement learning algorithms. These results confirm that LIPPO’s active interception is both effective and efficient. Full article
(This article belongs to the Collection Editorial Board Members’ Collection Series: Drone Design)
Show Figures

Figure 1

30 pages, 4182 KB  
Review
Digital Storytelling for Primary Heritage Learning: Early Sustainability Relevant Meaning-Making in an Industrial Heritage Case
by Xin Bian, André Brown and Bruno Marques
Sustainability 2026, 18(5), 2319; https://doi.org/10.3390/su18052319 - 27 Feb 2026
Viewed by 185
Abstract
Heritage education is increasingly expected to connect past evidence with questions of responsibility, environmental change, and sustainable futures, yet primary learners often encounter heritage through fragmented, visually driven exposure with limited support for interpretation beyond factual recognition. This mixed-methods study applies an SRT [...] Read more.
Heritage education is increasingly expected to connect past evidence with questions of responsibility, environmental change, and sustainable futures, yet primary learners often encounter heritage through fragmented, visually driven exposure with limited support for interpretation beyond factual recognition. This mixed-methods study applies an SRT framework (Supply–Response–Transformation) to examine early, sustainability-relevant meaning-making in primary heritage learning supported by a short animation-based digital story, with an industrial heritage site serving as the case context. Evidence includes stakeholder interviews (n = 39), a student pre-test (n = 399), a post-viewing survey (n = 452), student drawings (n = 12), and classroom observations. Findings indicate that narrative-visual mediation aligns with students’ reported curiosity and comprehension-related cues under classroom conditions, and that post-viewing responses cluster around four classroom-observable outcome signals: valued historical understanding, responsibility and care, change–consequence–restoration reasoning, and personal and cultural positioning. This study interprets digital storytelling as a classroom-feasible mediation format through which meaning-making signals become observable in early meaning-making beyond factual recall. It provides an interpretable chain for judging the visibility and elaboration of early meaning-making signals under real classroom constraints. Full article
(This article belongs to the Collection Sustainable Citizenship and Education)
Show Figures

Figure 1

23 pages, 1984 KB  
Article
Sustainable Management of Vocational Education Systems Through Virtual Reality-Based Pre-Training: Evidence from Learning Readiness and Skill Transfer
by Dyi-Cheng Chen, Jui-Chuan Hou and Quan-De Zheng
Sustainability 2026, 18(5), 2236; https://doi.org/10.3390/su18052236 - 26 Feb 2026
Viewed by 121
Abstract
Vocational education systems face increasing pressure to deliver high-quality skills training while ensuring resource efficiency, safety, and scalability. In machining programs, traditional hands-on training relies heavily on physical equipment, consumables, and close supervision, posing challenges for sustainable management. This study employs a quasi-experimental [...] Read more.
Vocational education systems face increasing pressure to deliver high-quality skills training while ensuring resource efficiency, safety, and scalability. In machining programs, traditional hands-on training relies heavily on physical equipment, consumables, and close supervision, posing challenges for sustainable management. This study employs a quasi-experimental design with pretest–posttest measures and a comparison group to examine the effects of VR-based pre-training with 50 first-year vocational students. The findings indicate that VR-based preparation supports learners’ cognitive and experiential readiness and contributes to perceived preparedness for subsequent hands-on activities. No statistically significant differences in posttest performance were observed between groups. VR-based preparatory training supports risk mitigation in learning contexts by enabling cognitive rehearsal and structured procedural familiarization before physical practice. At the system level, VR-based pre-training transforms early-stage trial-and-error learning into a guided virtual environment that incorporates predefined operational sequences, procedural cues, and embedded safety prompts. This approach helps reduce safety risks for inexperienced learners and supports the more strategic use of instructional resources. Rather than establishing generalized or causal effects, the findings provide exploratory, empirically grounded insights derived from a single institutional context, offering a structured reference framework to inform the design, scaling, and validation of future multi-site or longitudinal research in vocational education management. Furthermore, the study explicitly aligns with Sustainable Development Goals 4 (Quality Education) and 8 (Decent Work and Economic Growth). This alignment underscores the study’s relevance to sustainability-focused vocational training initiatives. Full article
(This article belongs to the Special Issue Sustainable Management for the Future of Education Systems)
Show Figures

Figure 1

11 pages, 399 KB  
Article
Assessing the Impact of Peyton’s Teaching Method on Acquisition of Clinical Skills Among ENT Interns: A Prospective Study
by Sindhu Viswanath, Girish Subash, Gauri Priya, Lekshmi Reghunath and Meer M. Chisthi
J. Otorhinolaryngol. Hear. Balance Med. 2026, 7(1), 11; https://doi.org/10.3390/ohbm7010011 - 24 Feb 2026
Viewed by 157
Abstract
Background/Objectives: Traditional demonstrations are a common way to teach clinical skills, but they often feel unstructured and inconsistent. Peyton’s four-step approach provides a more organized, student-focused method that might help learners pick up skills better. This study compared the standard demonstration method with [...] Read more.
Background/Objectives: Traditional demonstrations are a common way to teach clinical skills, but they often feel unstructured and inconsistent. Peyton’s four-step approach provides a more organized, student-focused method that might help learners pick up skills better. This study compared the standard demonstration method with Peyton’s approach for teaching ENT procedures to interns. Methods: A prospective study was conducted at a single center with two groups: Group A received a conventional single-pass demonstration. Group B was taught using Peyton’s structured four-step approach (silent demonstration, deconstruction, verbal comprehension, and performed verbalization). Both groups were trained on three ENT skills—anterior rhinoscopy, Trotter’s method, and anterior nasal packing—then tested using OSCE checklists. We also asked students for their feedback through a simple questionnaire. Results: For anterior rhinoscopy, both groups performed similarly. But students taught with Peyton’s method did significantly better on Trotter’s method and nasal packing (p = 0.0098 and 0.004). Overall, they preferred Peyton’s approach, remembered the steps better, and wanted to use it for future training (p < 0.005). Conclusions: While traditional demonstrations are straightforward, Peyton’s structured, hands-on four-step method leads to better skill learning and retention for medical students. Full article
(This article belongs to the Section Laryngology and Rhinology)
Show Figures

Figure 1

24 pages, 2113 KB  
Systematic Review
Gifted but Misunderstood? An Interpretive Systematic Review of Gifted Education Policy, Practice, and Socio-Emotional Experience in England
by Simge Karakaş Mısır and Michael Thomas
J. Intell. 2026, 14(3), 34; https://doi.org/10.3390/jintelligence14030034 - 24 Feb 2026
Viewed by 239
Abstract
This systematic review analyses the evolution of gifted education in England between 2010 and 2025. The year 2010 serves as a critical turning point, characterized by the withdrawal of the national Gifted and Talented (G&T) policy and the subsequent delegation of identification and [...] Read more.
This systematic review analyses the evolution of gifted education in England between 2010 and 2025. The year 2010 serves as a critical turning point, characterized by the withdrawal of the national Gifted and Talented (G&T) policy and the subsequent delegation of identification and provision responsibilities to schools. This change created a gap in the literature due to a lack of focused research examining the challenges and deficiencies that emerged following this policy shift. This study is original in that it is the first to bridge existing implementation gaps and provide a robust evidence base for future educational policies. The review focuses on policy frameworks, identification models, and socio-emotional outcomes. Following the PRISMA guidelines, fifteen peer-reviewed studies retrieved from Web of Science, Scopus, and Google Scholar were examined through thematic synthesis. Findings indicate a persistent gap between policy rhetoric and classroom practice. Identification processes remain heavily reliant on standardized testing and teacher judgment, often neglecting creativity, diversity, and contextual factors. Fragmented teacher training limits the ability to effectively support gifted learners, particularly those from disadvantaged or twice exceptional (2e) backgrounds. Socio-emotional outcomes reveal that academic success does not guarantee emotional well-being, highlighting the prevalence of perfectionism and stigmatization. These findings underscore the need for teachers and teacher educators to strengthen pre- and in-service training, so they can better recognize diverse forms of giftedness and support students’ socio-emotional needs through more equitable and research-informed practices. Full article
Show Figures

Figure 1

21 pages, 10614 KB  
Article
Thinking Classrooms in Graduate Engineering Education: A Pedagogical Framework for Autonomy and Problem-Solving
by Francisco Romero-Sánchez, Gonzalo Alonso-Pinto, Rafael Agujetas Ortiz and Francisco Javier Alonso Sánchez
Educ. Sci. 2026, 16(2), 350; https://doi.org/10.3390/educsci16020350 - 23 Feb 2026
Viewed by 209
Abstract
Innovative pedagogies that nurture higher-order competencies such as autonomy and problem-solving are critical in graduate STEM contexts. This study conceptualizes Thinking Classrooms as a pedagogical framework for graduate engineering education and examines how classroom practices associated with this approach support the development of [...] Read more.
Innovative pedagogies that nurture higher-order competencies such as autonomy and problem-solving are critical in graduate STEM contexts. This study conceptualizes Thinking Classrooms as a pedagogical framework for graduate engineering education and examines how classroom practices associated with this approach support the development of autonomous learning and complex problem-solving. Drawing on classroom-based evidence collected over multiple academic cohorts in a master’s program in mechanical engineering, we describe patterns of student engagement, instructor adaptations, and evolving learning behaviors. Our findings highlight the potential of Thinking Classroom principles to inform instructional design, foster learner agency, and strengthen disciplinary problem-solving practices in postgraduate engineering education. We discuss implications for curriculum development and future research directions in STEM education. Full article
Show Figures

Figure 1

18 pages, 284 KB  
Article
Designing Sustainable Learning Environments: The Effects of Project-Based Learning Informed by Universal Design for Learning on Students’ 21st-Century Skills
by Özlem Kuuk and Murat İnce
Sustainability 2026, 18(4), 2119; https://doi.org/10.3390/su18042119 - 20 Feb 2026
Viewed by 340
Abstract
Learning environments are increasingly expected to enable students to develop competencies necessary for addressing complex social, environmental, and technological challenges in sustainable societies. Within this context, instructional approaches that are inclusive, flexible, and learner-centered have gained increasing importance. This study investigates the effects [...] Read more.
Learning environments are increasingly expected to enable students to develop competencies necessary for addressing complex social, environmental, and technological challenges in sustainable societies. Within this context, instructional approaches that are inclusive, flexible, and learner-centered have gained increasing importance. This study investigates the effects of project-based learning (PBL) informed by Universal Design for Learning (UDL) principles on secondary school students’ 21st-century skills. Employing a mixed-methods embedded design, the quantitative component utilized a quasi-experimental pretest–posttest control group model. The study was conducted with 60 eleventh-grade students enrolled in a public high school, with one group receiving UDL-informed PBL instruction and the other following the standard curriculum. Data were collected using the 21st Century Learner Skills Usage Scale and analyzed through paired-samples t-tests, independent-samples t-tests, and ANCOVA. The findings revealed statistically significant improvements in the experimental group’s overall 21st-century skills, particularly in cognitive skills and collaboration and flexibility, with medium to large effect sizes. In contrast, the control group showed no meaningful gains, and a decline was observed in innovation skills. The results indicate that project-based learning informed by UDL principles constitutes an effective pedagogical approach for fostering inclusive and sustainable learning environments that support the development of future-oriented learner competencies. These findings further suggest that integrating UDL principles into project-based instructional models may contribute to competency-oriented and inclusive secondary education systems aligned with sustainability frameworks. Full article
(This article belongs to the Section Sustainable Education and Approaches)
28 pages, 1227 KB  
Review
Motivating Youth for STEM: A Narrative Literature Review of Motivational STEM Interventions
by Christophe Kegels, Annemie Struyf and Valérie Thomas
Educ. Sci. 2026, 16(2), 290; https://doi.org/10.3390/educsci16020290 - 11 Feb 2026
Viewed by 347
Abstract
Given the concurrent challenges of declining participation rates in STEM education and the growing societal demand for STEM expertise, understanding and implementing motivation-enhancing interventions is essential for safeguarding the future STEM workforce and enabling societies to respond to technological and societal challenges. This [...] Read more.
Given the concurrent challenges of declining participation rates in STEM education and the growing societal demand for STEM expertise, understanding and implementing motivation-enhancing interventions is essential for safeguarding the future STEM workforce and enabling societies to respond to technological and societal challenges. This narrative literature review synthesized studies published between 2014 and 2025 and aimed to elucidate the underlying rationales and drivers of motivation-focused STEM research, as well as to identify and evaluate interventions designed to increase students’ motivation for STEM. The synthesis identified four recurring drivers of motivation-focused STEM research: increasing demand for the STEM workforce, inequities in STEM participation, the strategic socioeconomic importance of STEM and declining student motivation over time. Interventions were analytically grouped into six categories: motivational STEM interventions/programs, community engagement initiatives, hands-on learning approaches, supportive instructional materials and educational technologies, extracurricular interventions, and interventions leveraging social support. Overall, the synthesis indicated that motivational effects were shaped less by the setting of an intervention and more by its implementation characteristics, including duration, intensity, pedagogical integration and alignment with students’ motivational needs. Interventions that were sustained and well-integrated tended to have more positive effects, whereas short or weakly embedded approaches yielded mixed or transient outcomes. The insights presented here provide structured guidance for educators and policymakers seeking to foster more motivated STEM learners, with potential implications for improving retention in STEM pathways and addressing the growing societal demand for STEM professionals. Full article
(This article belongs to the Section STEM Education)
Show Figures

Figure 1

13 pages, 407 KB  
Article
Bot or Not? Differences in Cognitive Load Between Human- and Chatbot-Led Post-Simulation Debriefings
by Dominik Evangelou, Miriam Mulders and Kristian Heinrich Träg
Educ. Sci. 2026, 16(2), 255; https://doi.org/10.3390/educsci16020255 - 6 Feb 2026
Viewed by 276
Abstract
Understanding how different debriefing formats impact learner’s cognitive load is crucial for designing effective post-simulation reflection activities. This paper examines cognitive load after post-simulation debriefings facilitated either by a human instructor or a generative AI Chatbot. In a controlled study with N = [...] Read more.
Understanding how different debriefing formats impact learner’s cognitive load is crucial for designing effective post-simulation reflection activities. This paper examines cognitive load after post-simulation debriefings facilitated either by a human instructor or a generative AI Chatbot. In a controlled study with N = 45 educational science students, 23 participants engaged in a lecturer-facilitated debriefing, while 22 completed a chatbot-guided session. Cognitive load was assessed across intrinsic, extraneous, and germane dimensions. Results revealed no statistically significant differences between the two debriefing methods. Future research should examine AI-led debriefings with larger samples and employ complementary measures of cognitive load to provide a more comprehensive understanding. Full article
Show Figures

Figure 1

19 pages, 658 KB  
Review
From Engagement to Outcomes: AI-Driven Learning Analytics in Higher Education—Insights for South Africa
by Olufunke E. Ajayi and Moeketsi Letseka
Trends High. Educ. 2026, 5(1), 16; https://doi.org/10.3390/higheredu5010016 - 5 Feb 2026
Viewed by 508
Abstract
Artificial intelligence (AI) has become central to the evolution of learning analytics (LA), transforming how higher-education institutions capture and interpret student engagement data. This narrative review synthesises research published between 2015 and 2025 to examine how AI-driven analytics link learner engagement to measurable [...] Read more.
Artificial intelligence (AI) has become central to the evolution of learning analytics (LA), transforming how higher-education institutions capture and interpret student engagement data. This narrative review synthesises research published between 2015 and 2025 to examine how AI-driven analytics link learner engagement to measurable academic outcomes, with emphasis on the South-African higher-education context. Drawing on global reviews of AI in education and emerging governance frameworks, the study highlights the shift from traditional dashboards toward deep-learning and transformer-based systems that integrate behavioural, cognitive, and affective indicators. Ethical and policy challenges, particularly around data privacy, transparency, and institutional capacity, remain significant. Grounded in UNESCO and OECD guidance and South Africa’s Protection of Personal Information Act, the review outlines a governance-driven approach for equitable and transparent adoption of AI-enhanced learning analytics. It identifies key challenges, data fragmentation, algorithmic opacity, and limited contextual adaptation, and translates them into practical recommendations for policy, capacity building, and future research. The findings underscore that sustainable AI adoption requires human-centred ethics, robust data governance, and context-sensitive innovation to achieve inclusive and data-driven higher education. Full article
Show Figures

Figure 1

18 pages, 2702 KB  
Article
A Dual-Branch Ensemble Learning Method for Industrial Anomaly Detection: Fusion and Optimization of Scattering and PCA Features
by Jing Cai, Zhuo Wu, Runan Hua, Shaohua Mao, Yulun Zhang, Ran Guo and Ke Lin
Appl. Sci. 2026, 16(3), 1597; https://doi.org/10.3390/app16031597 - 5 Feb 2026
Viewed by 263
Abstract
Industrial visual anomaly detection remains challenging because practical inspection systems must achieve high detection accuracy while operating under highly imbalanced data, diverse defect patterns, limited computational resources, and increasing demands for interpretability. This work aims to develop a lightweight yet effective and explainable [...] Read more.
Industrial visual anomaly detection remains challenging because practical inspection systems must achieve high detection accuracy while operating under highly imbalanced data, diverse defect patterns, limited computational resources, and increasing demands for interpretability. This work aims to develop a lightweight yet effective and explainable anomaly detection framework for industrial images in settings where a limited number of labeled anomalous samples are available. We propose a dual-branch feature-based supervised ensemble method that integrates complementary representations: a PCA branch to capture linear global structure and a scattering branch to model multi-scale textures. A heterogeneous pool of classical learners (SVM, RF, ET, XGBoost, and LightGBM) is trained on each feature branch, and stable probability outputs are obtained via stratified K-fold out-of-fold training, probability calibration, and a quantile-based threshold search. Decision-level fusion is then performed by stacking, where logistic regression, XGBoost, and LightGBM serve as meta-learners over the out-of-fold probabilities of the selected top-K base learners. Experiments on two public benchmarks (MVTec AD and BTAD) show that the proposed method substantially improves the best PCA-based single model, achieving relative F1_score gains of approximately 31% (MVTec AD) and 26% (BTAD), with maximum AUC values of about 0.91 and 0.96, respectively, under comparable inference complexity. Overall, the results demonstrate that combining high-quality handcrafted features with supervised ensemble fusion provides a practical and interpretable alternative/complement to heavier deep models for resource-constrained industrial anomaly detection, and future work will explore more category-adaptive decision strategies to further enhance robustness on challenging classes. Full article
(This article belongs to the Special Issue AI and Data-Driven Methods for Fault Detection and Diagnosis)
Show Figures

Figure 1

Back to TopTop