Due to scheduled maintenance work on our servers, there may be short service disruptions on this website between 11:00 and 12:00 CEST on March 28th.
Sign in to use this feature.

Years

Between: -

Subjects

remove_circle_outline
remove_circle_outline
remove_circle_outline
remove_circle_outline
remove_circle_outline
remove_circle_outline
remove_circle_outline
remove_circle_outline
remove_circle_outline

Journals

remove_circle_outline
remove_circle_outline
remove_circle_outline
remove_circle_outline
remove_circle_outline
remove_circle_outline
remove_circle_outline
remove_circle_outline
remove_circle_outline
remove_circle_outline
remove_circle_outline
remove_circle_outline
remove_circle_outline
remove_circle_outline
remove_circle_outline

Article Types

Countries / Regions

remove_circle_outline
remove_circle_outline
remove_circle_outline
remove_circle_outline
remove_circle_outline
remove_circle_outline

Search Results (1,130)

Search Parameters:
Keywords = functional beverage

Order results
Result details
Results per page
Select all
Export citation of selected articles as:
18 pages, 2483 KB  
Article
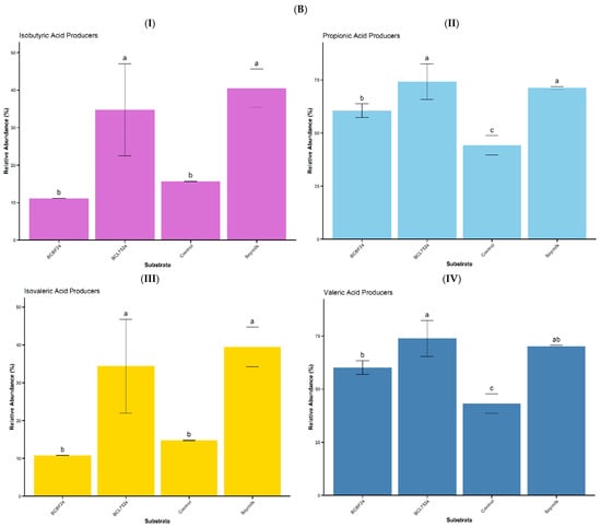
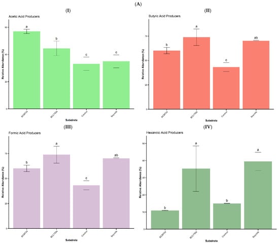
Probiotic Lactic Acid Bacteria-Fermented Beverages from Bambara Groundnut and Cowpea Sprouts Modulate Gut Microbiota and Short-Chain Fatty Acids
by Nobahle Pretty Cele, Yusuf Olamide Kewuyemi, Oladipupo Adiamo, Eshetu Mulisa Bobasa, Jiale Zhang, Maral Seididamyeh, Yasmina F. Sultanbawa and Dharini Sivakumar
Foods 2026, 15(7), 1141; https://doi.org/10.3390/foods15071141 - 26 Mar 2026
Abstract
Underutilised, nutrient-dense legumes in their sprouted form provide promising substrates for developing functional fermented foods capable of influencing gut microbial activity and metabolite production. This study evaluated the effects of probiotic lactic acid bacteria-fermented beverages derived from sprouted Bambara groundnut (Vigna subterranea [...] Read more.
Underutilised, nutrient-dense legumes in their sprouted form provide promising substrates for developing functional fermented foods capable of influencing gut microbial activity and metabolite production. This study evaluated the effects of probiotic lactic acid bacteria-fermented beverages derived from sprouted Bambara groundnut (Vigna subterranea) and cowpea (Vigna unguiculata) on gut microbiota composition and short-chain fatty acid (SCFA) production using an in vitro colonic fermentation model. The beverages were fermented with either Bifidobacterium animalis BB-12 (BCBF24) or Lactiplantibacillus plantarum 75 (BCL7524). During colonic fermentation, at 0, 12, 24, and 38 h, faecal slurries were collected for SCFA analysis using gas chromatography–mass spectrometry (GC-MS) and deoxyribonucleic acid (DNA) sequencing (Oxford Nanopore Technologies). Microbial diversity decreased, indicating selective enrichment of taxa. BCL7524 induced a major shift, significantly (p < 0.05) enriching Bacillota and driving Megasphaera to ~42% dominance within 24 h. This reflected cross-feeding from L. plantarum to lactate-utilising Megasphaera spp. Spearman correlation linked Megasphaera to a broad SCFA profile, including isobutyric, isovaleric, valeric, and hexanoic acids, with a significant (p < 0.05) positive correlation observed for hexanoic acid. Kyoto Encyclopedia of Genes and Genomes (KEGG) analysis indicated proteolysis and mapped hexanoic acid to fatty acid biosynthesis pathways, suggesting chain-elongation activity contributing to hexanoate formation. In line with this, BCL7524 produced significantly (p < 0.05) higher levels of hexanoate (3–14 mM) and valerate (10–15 mM), supporting chain-elongation activity within the community. In contrast, BCBF24 enriched Actinomycetota and Bifidobacterium, correlating with acetate production (18–23 mM). This study demonstrates that specific synbiotic beverages can modulate gut microbial ecology and metabolic output under in vitro conditions. Full article
(This article belongs to the Special Issue Functional Foods, Gut Microbiota, and Health Benefits)
Show Figures

Figure 1

32 pages, 12522 KB  
Article
Investigating Commensal Practices in Iron Age Communities of Southern Italy Through Functional Analysis of Local Pottery
by Florinda Notarstefano, Francesco Messa, Gaia Sabetta and Grazia Semeraro
Heritage 2026, 9(4), 125; https://doi.org/10.3390/heritage9040125 - 25 Mar 2026
Abstract
Iron Age settlements in the Salento peninsula (Southern Italy, 8th–6th century BC) underwent fundamental transformations in social organization, marked by the emergence of local elites through trade development and intense contacts with the Greek world. This study examines organic residue assemblages from 99 [...] Read more.
Iron Age settlements in the Salento peninsula (Southern Italy, 8th–6th century BC) underwent fundamental transformations in social organization, marked by the emergence of local elites through trade development and intense contacts with the Greek world. This study examines organic residue assemblages from 99 ceramic sherds from one key Iron Age site to clarify the role of locally produced ceramics—both coarse ware containers and Japigian matt-painted vessels—in commensal and beverage production practices. Chromatographic analyses identified a wide variety of animal and plant by-products, including fats, oils, waxes, and resin compounds. Integrated phytolith and starch analysis revealed evidence consistent with fermentation processes, particularly through the identification of fungal remains and damaged starch granules suggesting brewing activities in a subset of vessels. Matt-painted pottery forms—characterized by conical rims, funnel-shaped necks, bowls, and jugs—show distinctive use-alteration patterns and residue profiles associated with fermented beverage consumption and preparation in approximately 26% of the analyzed assemblage. Integrating organic residue analysis, experimental archaeology, and microfossil investigation suggests the central role of locally produced pottery in Iron Age commensal activities and status display, though alternative interpretations for some biomarker profiles cannot be excluded. This multiproxy approach demonstrates functional differentiation and consumption practices, refining interpretations of vessel use and providing new insights into food economies and social life during the Iron Age in southern Italy. Full article
(This article belongs to the Special Issue New Advances in Biomolecular Approaches to Archaeological Heritage)
Show Figures

Figure 1

42 pages, 9538 KB  
Review
Functional Foods from Edible Mushrooms and Mycelia: Processing Technologies, Health Benefits, Innovations, and Market Trends
by Lorena Vieira Bentolila de Aguiar, Larissa Batista do Nascimento Soares, Giovanna Lima-Silva, Daiane Barão Pereira, Vítor Alves Pessoa, Aldenora dos Santos Vasconcelos, Roberta Pozzan, Josilene Lima Serra, Ceci Sales-Campos, Larissa Ramos Chevreuil and Walter José Martínez-Burgos
Fermentation 2026, 12(4), 173; https://doi.org/10.3390/fermentation12040173 - 24 Mar 2026
Abstract
The global functional food market continues to expand, and edible mushrooms are emerging as high-value ingredients due to their rich nutritional profile, particularly their high protein content, balanced amino acid composition, and dietary fiber. This growing industrial interest is reflected in the registration [...] Read more.
The global functional food market continues to expand, and edible mushrooms are emerging as high-value ingredients due to their rich nutritional profile, particularly their high protein content, balanced amino acid composition, and dietary fiber. This growing industrial interest is reflected in the registration of more than 322 patents in the past five years according to the Derwent Innovation patent database. Recent advances include the integration of precision mycology (PM) and omics-based approaches, such as CRISPR-Cas9, into solid-state fermentation and submerged fermentation, enabling improvements in natural umami flavor and bioactive composition. Innovative products, including meat analogues with fibrous textures, functional beverages such as kombucha and juices, and fermented dairy products such as yogurts and cheeses, have been formulated to deliver prebiotic, antioxidant, and immunomodulatory properties. Future trends indicate a shift towards the production of high-value nutraceutical peptides and biomass, together with the adoption of artificial intelligence (AI) and the Internet of Things (IoT) to enhance bioreactor automation and scalability. Nevertheless, significant challenges remain, including regulatory constraints, the scarcity of clinical validation in humans, and the need for strict control over the bioaccumulation of heavy metals in mushroom-derived raw materials. Addressing these gaps will be critical for advancing regulatory frameworks, improving industrial standardization, and supporting the translational development of mushroom-based functional foods. Full article
(This article belongs to the Special Issue Fermented Foods for Boosting Health: 2nd Edition)
Show Figures

Figure 1

17 pages, 3154 KB  
Article
Embedded MOX-Based Volatilomic Sensing for Real-Time Classification of Plant-Based Milk Beverages
by Elisabetta Poeta, Veronica Sberveglieri and Estefanía Núñez-Carmona
Sensors 2026, 26(6), 1976; https://doi.org/10.3390/s26061976 - 21 Mar 2026
Viewed by 325
Abstract
The increasing diffusion of plant-based milk alternatives poses new challenges at the intersection of food safety and consumer experience, particularly regarding allergen cross-contamination and beverage performance during preparation. Traditional quality control strategies are typically confined to upstream production stages and are unable to [...] Read more.
The increasing diffusion of plant-based milk alternatives poses new challenges at the intersection of food safety and consumer experience, particularly regarding allergen cross-contamination and beverage performance during preparation. Traditional quality control strategies are typically confined to upstream production stages and are unable to address individualized risks and sensory variability at the point of consumption. In this study, we propose an embedded volatilomic sensing approach that combines metal oxide semiconductor (MOX) sensor arrays with lightweight artificial intelligence algorithms to enable real-time, on-device decision-making. The volatilome of four commercially available plant-based milk beverages (oat, almond, soy, and coconut) was characterized using GC–MS/SPME as a reference method, while a MOX-based electronic nose provided rapid, non-destructive sensing of volatile fingerprints. Linear Discriminant Analysis demonstrated clear discrimination among beverage types based on their volatile signatures, supporting the use of MOX sensor arrays as functional descriptors of compositional identity and process-related variability. Beyond beverage classification, the proposed framework is designed to support future implementation of (i) screening for anomalous volatilomic patterns potentially compatible with accidental cow’s milk carryover in shared preparation settings and (ii) adaptive tuning of preparation parameters (e.g., foaming-related settings) in smart beverage systems. The results highlight the role of embedded volatilomic intelligence as a unifying layer between personalized risk-aware screening and sensory-oriented process control, paving the way for intelligent food-processing appliances capable of autonomous, real-time adaptation at the point of consumption. Full article
Show Figures

Figure 1

20 pages, 1860 KB  
Article
Kombucha SCOBY as a Fermentation-Derived Biofilm Matrix: Species-Resolved Microbial Communities and Multidimensional In Vitro Bioactivities
by Anita Hartono, Kyra Singgih Palupi, Riza-Arief Putranto, Antonello Santini and Fahrul Nurkolis
Polymers 2026, 18(6), 764; https://doi.org/10.3390/polym18060764 - 20 Mar 2026
Viewed by 246
Abstract
Kombucha fermentation is driven by a Symbiotic Culture of Bacteria and Yeast (SCOBY), a cellulose-rich biofilm that hosts a complex microbial consortium. While most kombucha studies focus on the liquid beverage, the SCOBY pellicle itself remains underexplored, particularly with respect to species-level microbial [...] Read more.
Kombucha fermentation is driven by a Symbiotic Culture of Bacteria and Yeast (SCOBY), a cellulose-rich biofilm that hosts a complex microbial consortium. While most kombucha studies focus on the liquid beverage, the SCOBY pellicle itself remains underexplored, particularly with respect to species-level microbial resolution and its intrinsic biological activities. In this study, a commercial kombucha SCOBY was characterized using full-length 16S rRNA gene and ITS amplicon sequencing based on Oxford Nanopore Technology, enabling species-level taxonomic resolution. In parallel, hydroalcoholic and aqueous extracts of dried SCOBY biomass were evaluated for in vitro antioxidant activity (DPPH and ABTS assays), antidiabetic-related enzyme inhibition (α-glucosidase and dipeptidyl peptidase-4, DPP4), and anti-aging-related enzyme inhibition (tyrosinase and elastase). The SCOBY bacterial community was strongly dominated by acetic acid bacteria, with Komagataeibacter saccharivorans and Acetobacter tropicalis accounting for more than 60% of total reads, reflecting a biofilm structure optimized for cellulose production and oxidative metabolism. The yeast community showed marked unevenness, with Brettanomyces bruxellensis representing over 80% of reads, consistent with its known role in ethanol production and stress tolerance within kombucha systems. In vitro assays revealed that hydroalcoholic SCOBY extracts consistently exhibited higher biological activity than aqueous extracts across all tested assays. However, both extracts showed substantially lower potency than purified reference compounds, indicating moderate but measurable bioactivity typical of complex fermented matrices. These findings support the potential valorization of SCOBY as a fermentation-derived biomaterial and functional ingredient while underscoring the need for further chemical characterization, mechanistic studies, and biological validation beyond enzyme-based assays. Full article
Show Figures

Figure 1

18 pages, 1358 KB  
Review
Recent Advances in Cofactor Engineering Applied to Modulate Esters or Higher Alcohols in Fermented Beverages of Saccharomyces cerevisiae
by Kun-Qiang Hong, Xiao-Meng Fu, Xi-Yu Shu, Zi-Zhen Liu, Yi-Jia Wang and Zhi-Jian Tan
Fermentation 2026, 12(3), 165; https://doi.org/10.3390/fermentation12030165 - 19 Mar 2026
Viewed by 308
Abstract
Cofactors are small molecules or ions that participate in enzymatic reactions as essential carriers of electrons, atoms, or functional groups, thereby governing cellular redox balance and energy metabolism. In the yeast Saccharomyces cerevisiae, the availability of cofactors such as NAD(H), NADP(H), CoA, [...] Read more.
Cofactors are small molecules or ions that participate in enzymatic reactions as essential carriers of electrons, atoms, or functional groups, thereby governing cellular redox balance and energy metabolism. In the yeast Saccharomyces cerevisiae, the availability of cofactors such as NAD(H), NADP(H), CoA, and acetyl-CoA directly influences the flux through biosynthetic pathways leading to aroma-active compounds. Esters and higher alcohols are the two most important families of volatile flavor compounds in fermented alcoholic beverages. Their synthesis is intimately linked to the intracellular levels and ratios of these cofactors. This review summarizes recent progress in cofactor engineering strategies aimed at modulating the production of esters, higher alcohols, and 2,3-butanediol in S. cerevisiae. We discuss the underlying metabolic pathways, highlight key studies that manipulate cofactor pools to redirect carbon flux, and examine emerging tools (e.g., riboswitches, fine-tuned promoter systems) that enable precise cofactor balancing. Finally, we outline future challenges and opportunities for applying cofactor engineering to design yeast cell factories with tailored flavor profiles. Full article
(This article belongs to the Section Fermentation for Food and Beverages)
Show Figures

Figure 1

33 pages, 2261 KB  
Review
Kombucha as a Bioactive Functional Beverage: Current Evidence, Production Challenges, and Future Perspectives
by Antia G. Pereira
Int. J. Mol. Sci. 2026, 27(6), 2739; https://doi.org/10.3390/ijms27062739 - 17 Mar 2026
Viewed by 369
Abstract
Kombucha is a beverage obtained through the fermentation of tea leaves by a symbiotic culture of bacteria and yeast called SCOBY. This beverage is popularly known for the potential health benefits associated with its consumption, which is the main reason for its commercial [...] Read more.
Kombucha is a beverage obtained through the fermentation of tea leaves by a symbiotic culture of bacteria and yeast called SCOBY. This beverage is popularly known for the potential health benefits associated with its consumption, which is the main reason for its commercial expansion over the last century. These potential benefits are linked to the presence of a wide variety of bioactive compounds, notably phenolic compounds and organic acids. This composition varies significantly depending on the fermentation conditions, which in turn modifies the beverage’s bioactive properties (i.e., antioxidant capacity or antimicrobial properties, among others). For this reason, the most recent advances in kombucha production are geared towards achieving standardized production, including strategies for enhancing bioactive content and fortification with functional ingredients. All these advances should satisfy quality control and regulatory compliance. However, despite the growing scientific and commercial interest in kombucha, current knowledge remains fragmented across different disciplines, highlighting the need for an updated and integrative overview of its composition, bioactivity, production variables, and safety aspects. In this review, nutritional, microbiological, and technological perspectives are integrated to provide an updated framework for understanding kombucha as a functional beverage, while also outlining key directions for future research and industrial application. Full article
(This article belongs to the Special Issue Bioactives from Natural Products)
Show Figures

Figure 1

71 pages, 5718 KB  
Review
Metal Packaging: From Monolithic Containers to Hybrid Architectures
by Leonardo Pagnotta
Materials 2026, 19(6), 1177; https://doi.org/10.3390/ma19061177 - 17 Mar 2026
Viewed by 264
Abstract
Metal packaging materials remain fundamental across food, beverage, pharmaceutical, cosmetic, and technical sectors owing to their combination of mechanical robustness, total light and gas barrier performance, thermal resistance, and established recyclability. Aluminum alloys, tinplate, tin-free steel (TFS/ECCS), stainless steels, metal–matrix composites (MMCs), and [...] Read more.
Metal packaging materials remain fundamental across food, beverage, pharmaceutical, cosmetic, and technical sectors owing to their combination of mechanical robustness, total light and gas barrier performance, thermal resistance, and established recyclability. Aluminum alloys, tinplate, tin-free steel (TFS/ECCS), stainless steels, metal–matrix composites (MMCs), and metal–polymer or metal–paper laminates define distinct metal-based packaging architectures whose metallurgical and interfacial design governs forming behaviour, corrosion and migration pathways, coating integrity, and mechanical reliability. In this review, these architectures are examined from a materials- and systems-oriented perspective, linking composition, microstructure, processing routes, and surface engineering to functional performance across rigid, semi-rigid, and flexible formats. The analysis also considers the ongoing transition from bisphenol A (BPA)-based epoxy linings to BPA-free and hybrid coating chemistries, the use of nano-structured metallic and metal-oxide surfaces, and the role of composite laminates in which thin metallic foils are combined with polymeric or paper-based structural layers. These material and architectural aspects are discussed together with safety, regulatory, and circularity considerations that increasingly influence the design and selection of metal-based packaging. Ion migration, coating degradation, and corrosion under realistic storage environments are considered in relation to EU, FDA, ISO, and sector-specific requirements, while attention is also paid to the contrast between well-established closed-loop recycling infrastructures for aluminum and steel and the more complex end-of-life management of coated metals and multilayer laminates. The review provides a unified framework connecting materials selection, metallurgical design, processing, performance, regulatory compliance, and sustainability in metal-based packaging systems. Applications spanning consumer goods, pharmaceuticals, cosmetics, and advanced electronics are integrated to support an overall understanding of how metallic and hybrid metal-based architectures underpin functional reliability and life-cycle sustainability. Full article
(This article belongs to the Section Metals and Alloys)
Show Figures

Figure 1

20 pages, 1883 KB  
Article
Effects of Sequential Fermentation with Saccharomyces bayanus and Lactobacillus brevis on the Metabolite Composition and Antioxidant Activity of Chinese Yam Juice
by Aroosa Mushtaq, Zhoumei Huang, Xiangning Ma, Jun Sun, Chen Ma and Fang Chen
Foods 2026, 15(6), 1055; https://doi.org/10.3390/foods15061055 - 17 Mar 2026
Viewed by 160
Abstract
Chinese yam (Dioscorea opposita Thunb.) is a nutrient-rich tuber with recognized health benefits, yet its application in beverage products remains limited due to processing and formulation challenges. In this study, a sequential fermentation strategy was adopted, using Saccharomyces bayanus followed by Lactobacillus [...] Read more.
Chinese yam (Dioscorea opposita Thunb.) is a nutrient-rich tuber with recognized health benefits, yet its application in beverage products remains limited due to processing and formulation challenges. In this study, a sequential fermentation strategy was adopted, using Saccharomyces bayanus followed by Lactobacillus brevis to enhance microbial viability and metabolic activity in Chinese yam juice. Samples were collected as an unfermented control (CY), yeast-fermented juice (SP), and sequentially fermented juice (LB). Microbial analysis showed that sequential fermentation supported high LAB viability, reaching 8.92 log CFU/mL in LB, accompanied by a progressive decrease in pH from 5.67 (CY) to 4.27 (LB). Untargeted LC-MS/MS metabolomics identified 1442 metabolites and revealed distinct shifts in the metabolic composition of CY, SP, and LB, indicating stage-dependent modifications of metabolic pathways. Targeted analyses confirmed substantial depletion of sucrose and maltose during fermentation, while trehalose accumulated from undetectable levels in CY to 5.23 mg/g in SP and 7.49 mg/g in LB. Organic acid profiling demonstrated marked increases in lactic and succinic acids, consistent with microbial carbohydrate metabolism. Total phenolic and flavonoid contents increased by 58% and 30%, respectively, while antioxidant capacity (DPPH, ABTS, and FRAP) improved by up to 120% after sequential fermentation. The final fermented beverage (LB) contained a low ethanol concentration of 0.8% (v/v). Sensory evaluation indicated that sequential fermentation improved the overall flavor, aroma, and acceptability of the Chinese yam juice. These findings demonstrate that sequential fermentation with S. bayanus and L. brevis effectively enhances the bioactive composition and antioxidant potential of Chinese yam juice, supporting its development as a functional fermented beverage. Full article
(This article belongs to the Section Drinks and Liquid Nutrition)
Show Figures

Figure 1

25 pages, 1253 KB  
Review
Junctions, Transporters, and Interactions of Endothelial Cells: Regulation by Ethanol
by Chitra D. Mandyam, Angelica Vandekerkhoff, Sehwa Jung, Dhwani Kharidia, Igor Ponomarev and Brent Kisby
Int. J. Mol. Sci. 2026, 27(6), 2695; https://doi.org/10.3390/ijms27062695 - 16 Mar 2026
Viewed by 251
Abstract
Alcohol (ethanol, an intoxicating agent in all alcoholic beverages) is the most widely consumed beverage in the United States and is a leading risk-factor for cerebrovascular diseases. Although neurons, microglia, and astrocytes have been moderately studied for their responsiveness to ethanol, the brain [...] Read more.
Alcohol (ethanol, an intoxicating agent in all alcoholic beverages) is the most widely consumed beverage in the United States and is a leading risk-factor for cerebrovascular diseases. Although neurons, microglia, and astrocytes have been moderately studied for their responsiveness to ethanol, the brain vasculature is minimally explored and is emerging as a key player in the interplay between neuroinflammation, cerebrovascular disease, and alcohol use disorder (AUD). The blood–brain barrier (BBB), a critical regulator of brain homeostasis, relies on the coordinated function of various cellular and molecular components to maintain its immune-privileged status. Emerging evidence indicates that chronic ethanol exposure disrupts BBB function, contributes to neurovascular dysfunction, and increases brain permeability to peripheral immune factors. This review introduces the endothelial cells (ECs) that make up the BBB and provides a brief overview of the junction proteins and transporters that assist with EC function and EC interactions with other cells of the neurovascular unit, including pericytes, smooth muscle cells, and perivascular macrophages and glial cells. In addition, this review highlights ethanol’s effects on ECs and the cells that interact with them. Lastly, given the mounting evidence on gender differences in AUD and the supporting sex differences in ethanol consumption in preclinical models, this review discusses the discovered sex differences in EC-specific genes and identifies open questions such as the influence of sex-dependent differences, genetic factors, and their interactions with ethanol on EC function. Taken together, a deeper understanding of how ethanol disrupts EC structure and function will advance therapeutic strategies to mitigate neuroinflammation and related pathologies associated with chronic ethanol exposure. Full article
(This article belongs to the Section Biochemistry)
Show Figures

Figure 1

22 pages, 565 KB  
Review
Augmenting Kombucha’s Health Benefits with Plant and Honey Bioactive Molecules Enrichment
by Laura-Dorina Dinu, Rely-Andreea Tudor, Teodora-Otilia Alexiu and Emanuel Vamanu
Fermentation 2026, 12(3), 151; https://doi.org/10.3390/fermentation12030151 - 14 Mar 2026
Viewed by 355
Abstract
Kombucha, a traditionally fermented tea, has gained increasing scientific and commercial interest due to its sensory quality and bioactive metabolites profile associated with different health-related activities. Recent research highlights the value of enriching traditional and honey kombucha with plant-based biomolecules to create new [...] Read more.
Kombucha, a traditionally fermented tea, has gained increasing scientific and commercial interest due to its sensory quality and bioactive metabolites profile associated with different health-related activities. Recent research highlights the value of enriching traditional and honey kombucha with plant-based biomolecules to create new functional beverages with enhanced functional and nutraceutical properties, improved flavor, and chemical stability. Therefore, this study aimed to review and update the research on the enrichment of kombucha with these natural biomolecules that have been shown to expand the spectrum of health-promoting activities (e.g., antioxidant, antimicrobial, anticancer, and anti-aging), while also enhancing the physicochemical stability of raw kombucha. Yet this innovation must be navigated with a thoughtful understanding of safety, biochemical stability, and sensory evaluation. Thus, this review strongly advocates that the integrative enrichment approach presents a promising strategy for developing next-generation functional beverages with synergistic nutritional and therapeutic benefits. Further controlled studies are needed to elucidate the mechanistic interactions between the kombucha’s microbiome and these added bioactive substrates, as well as to optimize formulations for targeted health applications. Full article
(This article belongs to the Special Issue Nutrition and Health of Fermented Foods—4th Edition)
Show Figures

Figure 1

19 pages, 1588 KB  
Article
Fortification of a Greek Distilled Spirit by Citrus sinensis Antioxidants Extracted Using Green Recovery via Lecithin-Based Extraction: Optimization of Extraction and Stability
by Eleni Bozinou, Vassilis Athanasiadis, Olga Stergiou, Marina Tsakiridou, Stavros I. Lalas and Arhontoula Chatzilazarou
Processes 2026, 14(6), 917; https://doi.org/10.3390/pr14060917 - 12 Mar 2026
Viewed by 361
Abstract
The sustainable valorization of citrus processing by-products represents a key challenge for the food industry, aiming to reduce waste while recovering valuable bioactive compounds. In this study, a cloud point extraction strategy was developed using soy lecithin as a natural, food-grade surfactant to [...] Read more.
The sustainable valorization of citrus processing by-products represents a key challenge for the food industry, aiming to reduce waste while recovering valuable bioactive compounds. In this study, a cloud point extraction strategy was developed using soy lecithin as a natural, food-grade surfactant to isolate phenolic antioxidants from orange juice industry residues. Response Surface Methodology was applied to two streams of orange juice by-products, to evaluate the combined effects of pH, NaCl concentration, and lecithin content on extraction efficiency, with total polyphenolic content, DPPH radical scavenging activity, and ferric reducing antioxidant power serving as response variables. Partial Least Squares (PLS) analysis was additionally employed to integrate all antioxidant responses and identify a multivariate optimum. The optimized conditions (pH 3.4, 12% NaCl, 11% lecithin) enabled maximal recovery of antioxidant constituents, highlighting the effectiveness of lecithin-based micellar systems. To assess practical applicability, the optimized extract from the oil emulsion residue (Stream A) was incorporated into tsipouro, a traditional Greek distillate, and its stability was monitored under controlled light and temperature conditions for 30 days at three concentration levels. Results demonstrated that both environmental factors significantly influenced antioxidant retention and physical stability, underscoring the importance of formulation design. Specifically, high gel concentration at 2% w/v, low temperature at 20 °C and light exposure provided the highest overall desirability for TPC, FRAP, and DPPH responses. Overall, this work introduces a green, scalable, and food-compatible extraction approach that not only supports circular economy principles but also opens new opportunities for the development of functional alcoholic beverages enriched with natural antioxidants. Full article
(This article belongs to the Special Issue Analysis and Processes of Bioactive Components in Natural Products)
Show Figures

Graphical abstract

26 pages, 1263 KB  
Article
Development and Evaluation of a Functional Food Consumption Index (FunFoCI) in Adults
by Gülden Arman and Aslı Akyol
Nutrients 2026, 18(6), 895; https://doi.org/10.3390/nu18060895 - 12 Mar 2026
Viewed by 326
Abstract
Background/Objectives: Functional foods are widely discussed in nutrition research, yet their consumption is rarely quantified using a standardized, food-based metric. We developed the Functional Food Consumption Index (FunFoCI) and conducted an initial evaluation of its performance in adults. Methods: In this cross-sectional study, [...] Read more.
Background/Objectives: Functional foods are widely discussed in nutrition research, yet their consumption is rarely quantified using a standardized, food-based metric. We developed the Functional Food Consumption Index (FunFoCI) and conducted an initial evaluation of its performance in adults. Methods: In this cross-sectional study, 500 adults (≥18 years, 286 women, 214 men) were assessed using a 210-item quantitative food frequency questionnaire (FFQ) and a 3 day food record (FR). Candidate index foods were evaluated by five experts, using a 4-point Likert scale to establish content validity, and the finalized FunFoCI comprised 100 foods across nine groups: fruits; vegetables; whole grains; legumes; nuts and oilseeds; fermented foods and products; animal-based foods; functional oils; and spices, herbal teas, and functional beverages. FunFoCI scoring used a sample distribution-based percentile approach, including modifications for zero-inflated or sparsely consumed items, followed by group-level normalization (0–1), equal weighting across nine groups, and rescaling to 0–100. FR data were used to examine the between-method feasibility of the scoring approach. The convergent validity was assessed via correlation analyses, with the Diet Quality Index-International (DQI-I) and Healthy Eating Index-2015 (HEI-2015) derived from both FFQ and FR data, and additional correlation analyses and robustness checks were conducted to examine associations among key study variables. Known group patterns were examined across sociodemographic, lifestyle, and anthropometric characteristics. Results: Content evaluation supported index coverage (S-CVI/Ave = 0.912; S-CVI/UA = 0.877; mean modified kappa = 0.899). The mean FunFoCI total scores were 32.68 ± 11.92 (FFQ) and 13.29 ± 4.65 (FR). Participants were classified into low (32.8%, n = 164), moderate (33.0%, n = 165), and high (34.2%, n = 171) FunFoCI categories. FunFoCI correlated with FFQ-derived DQI-I and HEI-2015 (r = 0.367 and r = 0.368; both p < 0.001), and both indices increased across ascending FunFoCI total scores (p < 0.001). The FFQ-derived FunFoCI total score was correlated with the FR-derived FunFoCI score (r = 0.294; p < 0.001). FunFoCI scores showed differences across participant sociodemographic, lifestyle and anthropometric characteristics. Conclusions: FunFoCI is a newly developed, expert-reviewed, food-based index with transparent, sample distribution-based scoring and normalized aggregation. Its initial evaluation supports its use for the standardized quantification of relative functional food consumption in adults, while further studies should assess the reliability and external validation criteria in other populations and study designs. Full article
(This article belongs to the Section Nutrition Methodology & Assessment)
Show Figures

Figure 1

18 pages, 2261 KB  
Article
Cyclic Acidic Beverage Exposure Induces Formulation-Dependent Mechanical Softening and Tribological Alterations in Microhybrid and Nanohybrid Dental Resin Composites
by Żaneta Anna Mierzejewska, Patrycja Wołosiewicz, Kamila Łukaszuk, Bartłomiej Rusztyn, Jan Borys and Bożena Antonowicz
J. Funct. Biomater. 2026, 17(3), 139; https://doi.org/10.3390/jfb17030139 - 11 Mar 2026
Viewed by 248
Abstract
Dental resin composites are routinely exposed to chemically aggressive beverages that may compromise long-term functional performance. This study investigated the structure–property–tribology relationships of four restorative composites (Filtek Z250, Filtek Z550, Herculite, and Herculite Ultra) subjected to cyclic immersion in beverages with different pH [...] Read more.
Dental resin composites are routinely exposed to chemically aggressive beverages that may compromise long-term functional performance. This study investigated the structure–property–tribology relationships of four restorative composites (Filtek Z250, Filtek Z550, Herculite, and Herculite Ultra) subjected to cyclic immersion in beverages with different pH values. A total of 120 cylindrical specimens (7 mm diameter, 2 mm thickness; n = 5 per material per condition) were fabricated and exposed to mineral water, tea, coffee, Coca-Cola®, Cola Light®, and red wine for 28 days under cyclic conditions. Microhardness, surface roughness (Ra), steady-state coefficient of friction (COF), and mass variation were evaluated. All composites exhibited significant microhardness reduction after acidic exposure (p < 0.05), with the greatest decrease observed for Herculite Ultra in red wine (−47.4%) and Coca-Cola® (−35.3%). Filtek Z250 demonstrated the highest baseline hardness and the lowest degradation susceptibility. Surface roughness changes were formulation-dependent, with Herculite Ultra showing pronounced roughening (ΔRa up to +0.074 µm), whereas Filtek Z550 exhibited erosion-driven smoothing (ΔRa down to −0.068 µm). Tribological behaviour was primarily governed by matrix softening rather than roughness alterations, with softened systems displaying unstable frictional responses (COF range: 0.127–0.697; p < 0.05). The results indicate that polymer matrix stability plays a more critical role in long-term functional performance than surface roughness or mass variation alone. Clinically, frequent exposure to acidic and solvent-containing beverages may accelerate mechanical and tribological degradation of susceptible composite formulations. Full article
(This article belongs to the Special Issue Biomaterials in Dentistry: Current Status and Advances)
Show Figures

Figure 1

4 pages, 1130 KB  
Correction
Correction: Hernández-Fuentes et al. Moringa oleifera Leaf Infusion as a Functional Beverage: Polyphenol Content, Antioxidant Capacity, and Its Potential Role in the Prevention of Metabolopathies. Life 2025, 15, 636
by Gustavo A. Hernández-Fuentes, Carmen A. Sanchez-Ramirez, Salma I. Cortes-Alvarez, Alejandrina Rodriguez-Hernández, Ana O. Cabrera-Medina, Norma A. Moy-López, Jorge Guzman-Muñiz, Idalia Garza-Veloz, Iram P. Rodriguez-Sanchez, Margarita L. Martinez-Fierro, Jorge J. Álvarez-Barajas, Nadia Y. Cortes-Alvarez, Silvia G. Ceballos-Magaña, Carmen Meza-Robles and Iván Delgado-Enciso
Life 2026, 16(3), 447; https://doi.org/10.3390/life16030447 - 10 Mar 2026
Viewed by 201
Abstract
In the original publication [...] Full article
(This article belongs to the Section Pharmaceutical Science)
Show Figures

Figure 6

Back to TopTop