Sign in to use this feature.

Years

Between: -

Subjects

remove_circle_outline
remove_circle_outline
remove_circle_outline
remove_circle_outline
remove_circle_outline
remove_circle_outline
remove_circle_outline
remove_circle_outline
remove_circle_outline

Journals

Article Types

Countries / Regions

Search Results (117)

Search Parameters:
Keywords = freeriding

Order results
Result details
Results per page
Select all
Export citation of selected articles as:
59 pages, 5464 KB  
Article
The Impact of Sales Modes: Implementing Trade-in Programs in E-Commerce Supply Chains and Selecting Recycling Channels
by Junyi Zhang, Yinyuan Si and Lingrui Zhu
Sustainability 2026, 18(8), 3739; https://doi.org/10.3390/su18083739 (registering DOI) - 9 Apr 2026
Abstract
As an effective approach to boosting consumption and facilitating the recycling of consumer goods, trade-in programs have been widely adopted by branders and e-commerce platforms. A platform supply chain system comprising e-commerce platforms and branders is investigated in this paper for this purpose. [...] Read more.
As an effective approach to boosting consumption and facilitating the recycling of consumer goods, trade-in programs have been widely adopted by branders and e-commerce platforms. A platform supply chain system comprising e-commerce platforms and branders is investigated in this paper for this purpose. We construct a two-stage dynamic game model encompassing eight scenarios, discussing the provision of trade-in programs and product recycling issues under the resale and agency selling modes. Below are the key findings: (1) Trade-In Programs: In the resale mode, both branders and platforms prefer to adopt self-recycling when market potential is large, while opting for recycling undertaken by the other party when market potential is small. In the agency selling mode, branders prefer to adopt self-recycling (B-II) when fixed costs are high and the salvage value of used products is high, while platforms choose platform-led recycling (P-II) when fixed costs are low and the salvage value of used products is high. (2) Product Recycling: In the resale mode, branders should opt for self-recycling when facing high fixed costs, small market potential, and high salvage values, while outsourcing is more appropriate when salvage values are low. When the market potential is low, the platform ought to prefer self-recycling if the salvage value is either sufficiently high or sufficiently low; otherwise, outsourcing is preferable. In the agency selling mode, when the salvage value of used products is relatively high, platforms tend to have a free-riding mentality. When platforms provide trade-in programs, they will prioritize self-recycling if the salvage value is higher. In contrast, branders consistently achieve maximum profits when platforms adopt self-recycling. (3) Selection of Selling Mode: Branders always prefer the Full article
(This article belongs to the Section Economic and Business Aspects of Sustainability)
23 pages, 2680 KB  
Article
Interdepartmental Cooperation Mechanisms in Urban Flood Emergency Management: An Information-Consistency Perspective
by Feng Li, Pengshen Gu, Jie Yin, Le Zhang and Xuebing Fang
Sustainability 2026, 18(7), 3536; https://doi.org/10.3390/su18073536 - 3 Apr 2026
Viewed by 174
Abstract
Urban flooding poses significant challenges to urban safety and resilience, and effective cooperation between emergency management agencies and functional departments is crucial for successful emergency responses. This study constructs an evolutionary game model to analyze the cooperative behavior of municipal emergency management authorities [...] Read more.
Urban flooding poses significant challenges to urban safety and resilience, and effective cooperation between emergency management agencies and functional departments is crucial for successful emergency responses. This study constructs an evolutionary game model to analyze the cooperative behavior of municipal emergency management authorities and supporting departments in response to urban flooding, focusing on the impact of information consistency. The model explores various scenarios to assess how changes in key parameters affect the evolution of cooperation strategies. Results reveal that information consistency fundamentally influences the equilibrium of interdepartmental cooperation, with collaborative payoffs and losses linked to information inconsistency driving the shift from low-quality to high-quality cooperation. The study also finds that increasing free-riding payoffs destabilizes cooperation, while strengthening penalties and enforcement improves the sustainability of high-quality cooperation. Based on these findings, the paper suggests enhancing information consistency through an integrated emergency information system, refining incentive mechanisms, and reinforcing supervision and accountability to strengthen interdepartmental collaboration and improve disaster management efficiency. Full article
(This article belongs to the Section Hazards and Sustainability)
Show Figures

Figure 1

28 pages, 2371 KB  
Article
Evolutionary Game Strategy for Distributed Energy Sharing in Industrial Parks Under Government Carbon Regulation
by Haoyan Fu, Xiaochan Wu, Yuzhuo Zhang and Weidong Yan
Energies 2026, 19(7), 1764; https://doi.org/10.3390/en19071764 - 3 Apr 2026
Viewed by 122
Abstract
Against the background of carbon neutrality, the government’s carbon regulations have had a profound impact on the distributed energy sharing behavior of industrial parks. To deeply explore the interactive relationship between distributed energy sharing in industrial parks and government regulation, this paper constructs [...] Read more.
Against the background of carbon neutrality, the government’s carbon regulations have had a profound impact on the distributed energy sharing behavior of industrial parks. To deeply explore the interactive relationship between distributed energy sharing in industrial parks and government regulation, this paper constructs a three-party evolutionary game model composed of the government, core enterprises and supporting enterprises; endogenizes government behavior; and integrates inter-enterprise contractual mechanisms into the evolutionary framework. By establishing a revenue payment matrix and a replication dynamic equation, the stability conditions and system evolution paths of the strategy choices of each subject are analyzed, and numerical simulations are conducted. The results show that there are multiple evolutionary stable equilibria in the system, among which the equilibrium where core enterprises actively share, supporting enterprises actively share, and the government actively regulates carbon is the ideal state. Cost-sharing contracts and cooperative penalty contracts play a significant role in promoting the participation of supporting enterprises in sharing and curbing “free-riding” behavior, respectively. The changes in government subsidy rates and carbon tax rates have a crucial impact on the evolution of corporate strategies. Quantitatively, the carbon tax rate exhibits a threshold effect; enterprises shift to positive energy sharing when the tax rate exceeds 0.8, while a subsidy rate above 0.4 leads the government to withdraw from regulation. This indicates that a reasonable design of carbon regulations can help achieve coordinated energy emission reduction between the government and enterprises. The findings provide theoretical support for optimizing carbon regulations and designing cooperation strategies. Full article
(This article belongs to the Section C: Energy Economics and Policy)
Show Figures

Figure 1

21 pages, 1159 KB  
Article
Low-Carbon Production Strategies of Manufacturing Firms Under Free-Riding and Technology Spillovers: A Moran Process Analysis
by Jingfei Ding and Keyong Zhang
Systems 2026, 14(3), 314; https://doi.org/10.3390/systems14030314 - 17 Mar 2026
Viewed by 221
Abstract
Against the backdrop of China’s dual-carbon goals and the global green transition, low-carbon production in the manufacturing sector is crucial to achieving high-quality development. Based on the dual mechanisms of the free-riding effect and technology spillovers, this paper develops a Moran stochastic evolutionary [...] Read more.
Against the backdrop of China’s dual-carbon goals and the global green transition, low-carbon production in the manufacturing sector is crucial to achieving high-quality development. Based on the dual mechanisms of the free-riding effect and technology spillovers, this paper develops a Moran stochastic evolutionary game model of manufacturing firms’ low-carbon production strategies under government regulation. We analyze the dynamic evolution and stability of low-carbon versus conventional production strategies under strong- and weak-selection conditions. The results show that under strong selection, a low free-riding payoff promotes the diffusion of the low-carbon strategy and the formation of a stable equilibrium; a moderate free-riding payoff makes population size the key factor shaping evolutionary outcomes; and a high free-riding payoff leads the system to degenerate into a steady state dominated by conventional production. Under weak selection, government subsidies and fines increase the fixation probability and stability of the low-carbon strategy, whereas excessive free-riding payoffs undermine the persistence of the transition. Numerical simulations validate the theoretical analysis and indicate that government regulation, technology spillovers, and population structure jointly shape the long-term evolution of low-carbon behavior, providing a theoretical basis and decision-making reference for optimizing policy mechanisms and promoting the low-carbon transition of the manufacturing sector. Full article
(This article belongs to the Section Complex Systems and Cybernetics)
Show Figures

Figure 1

28 pages, 7213 KB  
Article
Platform Empowerment and Digital Inclusion in Industrial Clusters: A Complex Network Game Analysis with Performance Feedback
by Dingteng Wang, Chengwei Liu and Shuping Wang
Games 2026, 17(2), 16; https://doi.org/10.3390/g17020016 - 10 Mar 2026
Viewed by 327
Abstract
The digital divide between large enterprises and SMEs (Small and Medium-sized Enterprises) within industrial clusters poses a significant challenge to achieving collective digital transformation, exacerbated by the quasi-public goods, attributes of digital inclusion ecosystems, and the prevalence of free-riding behavior. This paper investigates [...] Read more.
The digital divide between large enterprises and SMEs (Small and Medium-sized Enterprises) within industrial clusters poses a significant challenge to achieving collective digital transformation, exacerbated by the quasi-public goods, attributes of digital inclusion ecosystems, and the prevalence of free-riding behavior. This paper investigates whether platform enterprises, as core actors occupying structural holes in cluster networks, can foster the co-construction of a digitally inclusive ecosystem. We developed a complex network public goods game model, incorporating performance feedback into a modified Fermi learning to capture firms’ adaptive decision-making based on historical and social aspirations. The model simulates strategic interactions on both small-world and scale-free networks, characteristic of industrial clusters. Numerical simulations reveal that: (1) The core driver of co-construction is the investment return coefficient; (2) Performance feedback amplifies individual rationality, accelerating the formation or collapse of cooperation depending on the investment return coefficient; (3) Platform empowerment—specifically, selectively connecting and incentivizing cooperative firms—effectively promotes ecosystem co-construction, with this strategy proving most impactful when investment returns are moderate. Furthermore, while this selective empowerment strategy benefits the cluster overall, its effect on the platform’s own revenue is network-dependent, showing a more pronounced decline in small-world structures. This study provides a novel analytical framework for understanding strategic interactions in digital inclusion and offers practical insights for policymakers and platform leaders in orchestrating collaborative digital transformation. Full article
Show Figures

Figure 1

41 pages, 3703 KB  
Article
Synergistic Mechanisms of Blockchain Adoption and Government Subsidies in Contract Farming Supply Chain Systems: A Multi-Stage Stackelberg Game Approach
by Hui Xia, Jianxing Zhao, Pei Liu and Yulin Zhang
Systems 2026, 14(2), 208; https://doi.org/10.3390/systems14020208 - 15 Feb 2026
Viewed by 396
Abstract
Blockchain technology can enhance traceability and trust in contract farming supply chains, yet high implementation costs deter adoption by supply chain participants. This study examines the synergistic mechanisms between blockchain adoption strategies and government subsidy policies. We develop a multi-stage Stackelberg game model [...] Read more.
Blockchain technology can enhance traceability and trust in contract farming supply chains, yet high implementation costs deter adoption by supply chain participants. This study examines the synergistic mechanisms between blockchain adoption strategies and government subsidy policies. We develop a multi-stage Stackelberg game model involving an agricultural enterprise, an e-commerce platform, and a government, and comparatively analyze six decision-making scenarios across non-subsidy, unilateral subsidy, and full-chain subsidy settings. Three key findings emerge. First, blockchain investment has a cost–effect threshold below which consumer traceability preferences do not translate into profit gains. Second, well-designed subsidies overcome investment inertia and yield Pareto improvements in both profits and social welfare, with the full-chain subsidy model (Model BG) maximizing social welfare; however, subsidies exhibit distinct efficiency boundaries, and over-subsidization causes resource misallocation. Third, both supply chain parties tend to free-ride on the other’s investment, creating strategic conflicts that necessitate differentiated subsidy mechanisms tailored to specific dominance structures. These findings provide policy guidance for facilitating agricultural digital transformation and enhancing supply chain coordination. Full article
(This article belongs to the Section Supply Chain Management)
Show Figures

Figure 1

34 pages, 9182 KB  
Article
A Reputation-Aware Adaptive Incentive Mechanism for Federated Learning-Based Smart Transportation
by Abir Raza, Elarbi Badidi and Omar El Harrouss
Smart Cities 2026, 9(2), 27; https://doi.org/10.3390/smartcities9020027 - 4 Feb 2026
Viewed by 627
Abstract
Federated learning (FL) has emerged as a promising paradigm for privacy-preserving distributed intelligence in modern urban transportation systems, where vehicles collaboratively train global models without sharing raw data. However, the dynamic nature of vehicular environments introduces critical challenges, including unstable participation, data heterogeneity, [...] Read more.
Federated learning (FL) has emerged as a promising paradigm for privacy-preserving distributed intelligence in modern urban transportation systems, where vehicles collaboratively train global models without sharing raw data. However, the dynamic nature of vehicular environments introduces critical challenges, including unstable participation, data heterogeneity, and the potential for malicious behavior. Conventional FL frameworks lack effective trust management and adaptive incentive mechanisms capable of maintaining fairness and reliability under these fluctuating conditions. This paper presents a reputation-aware federated learning framework that integrates multi-dimensional reputation evaluation, dynamic incentive control, and malicious client detection through an adaptive feedback mechanism. Each vehicular client is assessed based on data quality, stability, and behavioral consistency, producing a reputation score that directly influences client selection and reward allocation. The proposed feedback controller self-tunes the incentive weights in real time, ensuring equitable participation and sustained convergence performance. In parallel, a penalty module leverages statistical anomaly detection to identify, isolate, and penalize untrustworthy clients without compromising benign contributors. Extensive simulations conducted on real-world datasets demonstrate that the proposed framework achieves higher model accuracy and greater robustness against poisoning and gradient manipulation attacks compared to existing baseline methods. The results confirm the potential of our trust-regulated incentive mechanism to enable reliable federated learning in smart cities transportation systems. Full article
(This article belongs to the Topic Data-Driven Optimization for Smart Urban Mobility)
Show Figures

Graphical abstract

27 pages, 1791 KB  
Article
FMA-MADDPG: Constrained Multi-Agent Resource Optimization with Channel Prediction in 6G Non-Terrestrial Networks
by Chunyu Yang, Kejian Song, Jing Bai, Cuixing Li, Yang Zhao, Zhu Xiao and Yanhong Sun
Sensors 2026, 26(1), 148; https://doi.org/10.3390/s26010148 - 25 Dec 2025
Cited by 1 | Viewed by 823
Abstract
Sixth-generation (6G) wireless systems aim to integrate terrestrial, aerial, and satellite networks to support large-scale remote sensing and service delivery. In such non-terrestrial networks (NTNs), channels change quickly and the multi-tier architecture is heterogeneous, which makes real-time channel state acquisition and cooperative resource [...] Read more.
Sixth-generation (6G) wireless systems aim to integrate terrestrial, aerial, and satellite networks to support large-scale remote sensing and service delivery. In such non-terrestrial networks (NTNs), channels change quickly and the multi-tier architecture is heterogeneous, which makes real-time channel state acquisition and cooperative resource scheduling difficult. This paper proposes an FMA-MADDPG framework that combines a channel prediction module with a constraint-based multi-agent deep deterministic policy gradient scheme. The Fusion of Mamba and Attention (FMA) predictor uses a Mamba state-space backbone and a multi-head self-attention block to learn both long-term channel evolution and short-term fluctuations, and forecasts future CSI. The predicted channel information is added to the agents’ observations so that scheduling decisions can take expected channel variations into account. A constraint-based reward is also designed, with explicit performance thresholds and anti-idle penalties, to encourage fairness, avoid free-riding, and promote cooperation among heterogeneous agents. In a representative NTN uplink scenario, the proposed method achieves higher total reward, efficiency, load balance, and cooperation than several DRL baselines, with relative gains around 10–20% on key metrics. These results indicate that prediction-aware cooperative reinforcement learning is a useful approach for resource optimization in future 6G NTN systems. Full article
(This article belongs to the Section Remote Sensors)
Show Figures

Figure 1

17 pages, 599 KB  
Article
Equity, Responsibility, and Strategy in Planetary Defense: A Game-Theoretic Approach to International Space Law
by Francesco Ventura, David Barillà, JR James and Daniela Barba
Sustainability 2025, 17(24), 11004; https://doi.org/10.3390/su172411004 - 9 Dec 2025
Viewed by 462
Abstract
This paper explores the economic, environmental, and security issues created by the launch of satellite megaconstellations, which are networks of LEO (Low Earth Orbit) satellites planned to provide worldwide communications, data services, and research capabilities. Although such programs bring the potential to offer [...] Read more.
This paper explores the economic, environmental, and security issues created by the launch of satellite megaconstellations, which are networks of LEO (Low Earth Orbit) satellites planned to provide worldwide communications, data services, and research capabilities. Although such programs bring the potential to offer global coverage and substantial technology enhancements, they also pose significant challenges to fund and sustain. In order to address these issues, the approach assumes a Life Cycle Costing (LCC) scope that includes development, launch, operational, end-of-life, and environmental impacts. Based on this, we introduce an original model, which includes a Cooperative Game Theory component—more precisely the Shapley value—to devise fair and efficient cost-sharing mechanisms between multiple players. The model includes the effects of cooperation, free-rider phenomena, and the consideration of capacity limitations, providing a formalized approach to distribute costs fairly and ensure coalition stability. A three-operators case study demonstrates the real benefits achieved by collaboration: significant cost savings of up to 27% compared with independent approaches. However, the analysis also demonstrates the destabilizing effects of free riders, which undermine cooperation in the short run and may lead to a net increase in costs for contributing parties. The results indicate that resilient allocation mechanisms and policy protection are necessary to secure the sustainability of megaconstellations over the long time period, possibly also applicable to other critical infrastructures beyond space systems. Full article
Show Figures

Figure 1

19 pages, 751 KB  
Article
Adoption Strategies for Innovation Technology Under Asymmetric Competition
by Shuai Huang and Wenxin Zheng
Systems 2025, 13(12), 1097; https://doi.org/10.3390/systems13121097 - 4 Dec 2025
Viewed by 730
Abstract
This study investigates technology adoption strategies in an asymmetrically competitive supply chain through a tripartite Stackelberg-Nash game model involving a technology innovation enterprise (TIE) and differentially scaled manufacturers. By analyzing four adoption scenarios (non-adoption, small/large manufacturer adoption, dual adoption), we systematically evaluate how [...] Read more.
This study investigates technology adoption strategies in an asymmetrically competitive supply chain through a tripartite Stackelberg-Nash game model involving a technology innovation enterprise (TIE) and differentially scaled manufacturers. By analyzing four adoption scenarios (non-adoption, small/large manufacturer adoption, dual adoption), we systematically evaluate how the technological expansion effect and competitive intensity shape pricing strategies, demands, and profit distributions. We obtain some key findings: (1) Innovation technologies reconfigure competitive asymmetries, creating divergent strategic imperatives: small manufacturer must balance expansion benefits against adoption cost, while large manufacturer leverages synergies between technological and brand advantages, with a free-riding effect complicating adoption outcomes. (2) Profitability depends critically on surpassing expansion effect thresholds, where unilateral technology transfers outperform simultaneous adoption under significant scale disparities. (3) Adoption patterns evolve nonlinearly with the expansion effect, with universal non-adoption at a minimal level, asymmetric adoption at a moderate level (one manufacturer adopts), and universal adoption at a high level—though moderate competitive intensity may induce prisoner’s dilemmas during transitional phases. These conclusions can help manufacturers engaged in asymmetric competition adopt differentiated technology introduction strategies. By evaluating how innovation technologies expand at different development stages, firms can sustain competitive advantages while achieving Pareto improvements. Full article
Show Figures

Figure 1

36 pages, 3606 KB  
Article
Lightweight ECC-Based Self-Healing Federated Learning Framework for Secure IIoT Networks
by Mikail Mohammed Salim, Farheen Naaz and Kwonhue Choi
Sensors 2025, 25(22), 6867; https://doi.org/10.3390/s25226867 - 10 Nov 2025
Viewed by 1058
Abstract
The integration of federated learning into Industrial Internet of Things (IIoT) networks enables collaborative intelligence but also exposes systems to identity spoofing, model poisoning, and malicious update injection. This paper presents Leash-FL, a lightweight self-healing framework that combines certificateless elliptic curve cryptography with [...] Read more.
The integration of federated learning into Industrial Internet of Things (IIoT) networks enables collaborative intelligence but also exposes systems to identity spoofing, model poisoning, and malicious update injection. This paper presents Leash-FL, a lightweight self-healing framework that combines certificateless elliptic curve cryptography with blockchain to enhance resilience in resource-constrained IoT environments. Certificateless ECC with pseudonym rotation enables efficient millisecond-scale authentication with minimal metadata, supporting secure and unlinkable participation. A similarity-governed screening mechanism filters poisoned and free-rider updates, while blockchain-backed checkpoint rollback ensures rapid recovery without service interruption. Experiments on intrusion detection, anomaly detection, and vision datasets show that Leash-FL sustains over 85 percent accuracy with 50 percent malicious clients, reduces backdoor success rates to under 5 percent within four recovery rounds, and restores accuracy up to three times faster than anomaly-screening baselines. The blockchain layer achieves low-latency consensus, high throughput, and modest ledger growth, significantly outperforming Ethereum-based systems. Membership changes are efficiently managed with sub-50 ms join and leave operations and re-admission within 60 ms, while guaranteeing forward and backward secrecy. Leash-FL delivers a cryptography-driven approach that unifies lightweight authentication, blockchain auditability, and self-healing recovery into a secure, resilient, and scalable federated learning solution for next-generation IIoT networks. Full article
(This article belongs to the Special Issue Advances and Challenges in Sensor Security Systems)
Show Figures

Figure 1

23 pages, 1361 KB  
Article
Differentiated Pricing-Mechanism Design for Renewable Energy with Analytical Uncertainty Representation
by Xianzhuo Liu, Xue Yuan, Qi An and Jiale Liu
Energies 2025, 18(18), 4922; https://doi.org/10.3390/en18184922 - 16 Sep 2025
Viewed by 843
Abstract
With the integration of high-penetration renewable energy, existing uniform marginal pricing mechanisms face critical challenges, including difficulty in recovering flexibility resource capacity costs and free-riding phenomena caused by renewable energy’s variability. To address these issues, this paper proposes a differentiated pricing mechanism for [...] Read more.
With the integration of high-penetration renewable energy, existing uniform marginal pricing mechanisms face critical challenges, including difficulty in recovering flexibility resource capacity costs and free-riding phenomena caused by renewable energy’s variability. To address these issues, this paper proposes a differentiated pricing mechanism for renewable energy based on analytical uncertainty representation to avoid marginal price distortion and promote the rational allocation of ancillary service costs. Firstly, a joint clearing model for energy and reserve ancillary service is developed, incorporating a distributional robust chance constraint based on moment information to model the uncertainty of renewable energy. Then, the composition structure of the nodal marginal price for ancillary service demand is redefined, offering clearer and more explicit price signals compared with traditional uniform marginal pricing. After that, quantification of the impact of energy storage on renewable energy forecast errors and ancillary service pricing is conducted, with a systematic analysis of its role in reducing ancillary service costs and optimizing generation revenue. Simulation results on the modified IEEE 30-bus system demonstrate significant advantages over traditional uniform pricing: the proposed mechanism ensures fair cost allocation, effectively mitigates free-riding problems, and provides clear economic signals. With energy storage units regulating renewable power output, it could lead to a 12.9% reduction in ancillary service costs while increasing total generation revenue by 6.73%. Full article
Show Figures

Figure 1

27 pages, 1134 KB  
Article
Pricing Decisions in a Dual-Channel Construction and Demolition Waste Recycling Supply Chain with Bilateral Free-Riding Behavior
by Zihan Hu, Hao Zhang and Xingwei Li
Buildings 2025, 15(16), 2851; https://doi.org/10.3390/buildings15162851 - 12 Aug 2025
Viewed by 798
Abstract
The dramatic increase in global construction and demolition waste (CDW) is a considerable environmental challenge, but recycled building materials face serious marketing bottlenecks. Although existing studies have focused on the technological path and policy regulation of CDW management, they have not yet considered [...] Read more.
The dramatic increase in global construction and demolition waste (CDW) is a considerable environmental challenge, but recycled building materials face serious marketing bottlenecks. Although existing studies have focused on the technological path and policy regulation of CDW management, they have not yet considered the impact of sales effort level under the dual-channel sales model. Considering the coexistence of price competition and bidirectional free-riding behavior, this paper constructs a Stackelberg game model, which includes a construction waste remanufacturer with both online and offline sales channels and a building materials retailer, to reveal the pricing decision-making mechanism under bidirectional free-riding behavior. The results of the study show that (1) in the decentralized decision-making model, offline free-riding has a negative effect on the online channel, and when the effort cost coefficient is high, it increases the retail price of recycled building materials in the offline channel; at the same time, under high cross-price sensitivity, both the manufacturer and the retailer are negatively affected by online free-riding behaviors; (2) in contrast to decentralized decision-making, centralized decision-making motivates the supply chain as a whole to significantly increase sales effort investment and develop a better pricing strategy under the condition of satisfying the threshold cross-price sensitivity, which ultimately improves the overall efficiency of the supply chain. The findings provide an important theoretical basis and management insights for the coordination of dual-channel supply chains, the governance of free-riding behavior, and the promotion of recycled building materials in the recycling economy. Full article
(This article belongs to the Section Construction Management, and Computers & Digitization)
Show Figures

Figure 1

30 pages, 435 KB  
Review
Vaccination as a Game: Behavioural Dynamics, Network Effects, and Policy Levers—A Comprehensive Review
by Pedro H. T. Schimit, Abimael R. Sergio and Marco A. R. Fontoura
Mathematics 2025, 13(14), 2242; https://doi.org/10.3390/math13142242 - 10 Jul 2025
Cited by 2 | Viewed by 2613
Abstract
Classical epidemic models treat vaccine uptake as an exogenous parameter, yet real-world coverage emerges from strategic choices made by individuals facing uncertain risks. During the last two decades, vaccination games, which combine epidemic dynamics with game theory, behavioural economics, and network science, have [...] Read more.
Classical epidemic models treat vaccine uptake as an exogenous parameter, yet real-world coverage emerges from strategic choices made by individuals facing uncertain risks. During the last two decades, vaccination games, which combine epidemic dynamics with game theory, behavioural economics, and network science, have become a very important tool for analysing this problem. Here, we synthesise more than 80 theoretical, computational, and empirical studies to clarify how population structure, psychological perception, pathogen complexity, and policy incentives interact to determine vaccination equilibria and epidemic outcomes. Papers are organised along five methodological axes: (i) population topology (well-mixed, static and evolving networks, multilayer systems); (ii) decision heuristics (risk assessment, imitation, prospect theory, memory); (iii) additional processes (information diffusion, non-pharmacological interventions, treatment, quarantine); (iv) policy levers (subsidies, penalties, mandates, communication); and (v) pathogen complexity (multi-strain, zoonotic reservoirs). Common findings across these studies are that voluntary vaccination is almost always sub-optimal; feedback between incidence and behaviour can generate oscillatory outbreaks; local network correlations amplify free-riding but enable cost-effective targeted mandates; psychological distortions such as probability weighting and omission bias materially shift equilibria; and mixed interventions (e.g., quarantine + vaccination) create dual dilemmas that may offset one another. Moreover, empirical work surveys, laboratory games, and field data confirm peer influence and prosocial motives, yet comprehensive model validation remains rare. Bridging the gap between stylised theory and operational policy will require data-driven calibration, scalable multilayer solvers, and explicit modelling of economic and psychological heterogeneity. This review offers a structured roadmap for future research on adaptive vaccination strategies in an increasingly connected and information-rich world. Full article
(This article belongs to the Special Issue Mathematical Epidemiology and Evolutionary Games)
39 pages, 4508 KB  
Article
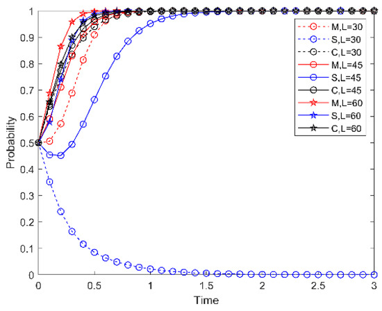
Self-Recycling or Outsourcing? Research on the Trade-In Strategy of a Platform Supply Chain
by Lingrui Zhu, Yinyuan Si and Zhihua Han
Sustainability 2025, 17(13), 6158; https://doi.org/10.3390/su17136158 - 4 Jul 2025
Cited by 2 | Viewed by 1191
Abstract
Trade-in programs have become a vital mechanism for promoting sustainable consumption and reducing negative impacts on the environment, gaining substantial support from branders, e-platforms, and consumers in recent years. Concurrently, the emergence of professional recyclers has provided firms with viable alternatives for the [...] Read more.
Trade-in programs have become a vital mechanism for promoting sustainable consumption and reducing negative impacts on the environment, gaining substantial support from branders, e-platforms, and consumers in recent years. Concurrently, the emergence of professional recyclers has provided firms with viable alternatives for the outsourcing of recycling processes. To investigate the optimal leadership and recycling model with respect to trade-in operations, this study examines the strategy selection in a platform-based supply chain under a resale model. A two-period game-theoretic framework is developed, encompassing four models: self-recycling and outsourcing models under the leadership of the brander or platform. The main findings are as follows: (1) In markets characterized by a low consumer price sensitivity, both branders and platforms tend to choose the self-recycling model to capture the closed-loop value. In contrast, in highly price-sensitive markets, both parties exhibit a preference for “free-riding” strategies. (2) Once the recycling leader is determined, adopting a self-recycling model can lead to a relative win–win outcome in high price sensitivity contexts. (3) With a short product iteration cycle, both the brander and platform should strategically lower their prices in the first period, sacrificing short-term profits to enhance trade-in incentives and maximize long-term gains. (4) When the brander leads the recycling process, they should consider reusing the resources derived from old products; however, in platform-led models, the brander can only consider reusing the recycled resources in a low price sensitivity market. This study provides strategic insights for the sustainable development of the supply chain through the analysis of a game between a brander and an e-commerce platform, enriching the literature on CLSCs through integrating trade-in leadership selection and the choice to outsource, offering theoretical support for dynamic pricing strategies over multi-period product lifecycles. Full article
Show Figures

Figure 1

Back to TopTop