Multi-Party Collaboration in Agricultural Green Technology Innovation and Adoption: An Evolutionary Game Approach
Abstract
1. Introduction
- (1)
- What is the evolution stabilization strategy (ESS) in a replicative dynamic system comprising LAEs, cooperatives, and the government? What are factors affecting the ESS? How do these factors influence the ESS?
- (2)
- How do the initial willingness, dividends, liquidated damages, costs, and incomes of the LAEs and cooperatives influence each other’s strategies within ITISAs?
- (3)
- How can the government optimize subsidy strategies to incentivize LAEs and cooperatives to implement AGTIA with limited financial resources?
2. Literature Review
2.1. Related Key Factors Affecting AGTIA
2.2. Government Support Policies for AGTIA
2.3. Applications of Evolutionary Game Theory in Agriculture
3. The Model
3.1. Problem Description
3.2. Related Assumptions
4. Analysis
4.1. Expected Payoff and Replicator Dynamic Equation of Each Participant
4.2. Analysis on the Impact of Participants’ Initial Willingness
- (1)
- Cooperatives’ increased green adoption probability can drive LAEs into green innovation, and LAEs’ increased green innovation probability can encourage cooperatives to choose the “” strategy when .
- (2)
- Cooperatives’ increased green adoption probability can inhibit LAEs moving into green innovation, while LAEs’ increased green innovation probability can drive cooperatives to adopt agricultural green technology when and .
- (3)
- Cooperatives’ increased adoption probability can drive LAEs into green innovation, while LAEs’ increased green innovation probability can inhibit cooperatives from choosing the “” strategy when and .
- (4)
- Cooperatives’ increased green adoption probability can inhibit the green innovation of LAEs, and LAEs’ increased green innovation probability can inhibit cooperatives from adopting green technology when .
4.3. Stability Analysis of Each Participant
4.3.1. The Stability Analysis of LAEs
- (1)
- When < < 1, and . is the ESS of the LAEs.
- (2)
- When , , then is in steady.
- (3)
- When , and . is the ESS of the LAEs.
4.3.2. The Stability Analysis of Cooperatives
- (1)
- When , and . is the ESS of cooperatives.
- (2)
- When , , then is in steady.
- (3)
- When , and . is the ESS of the cooperatives.
4.3.3. The Stability Analysis of the Government
- (1)
- When , and . is the ESS of the government.
- (2)
- When , , then is in steady.
- (3)
- When , and . This indicates that is the ESS of the government.
4.4. Evolutionary Equilibrium Stability Analysis
5. Simulation and Empirical Analysis
5.1. Initial Parameters
5.2. Impact of Participants’ Initial Willingness
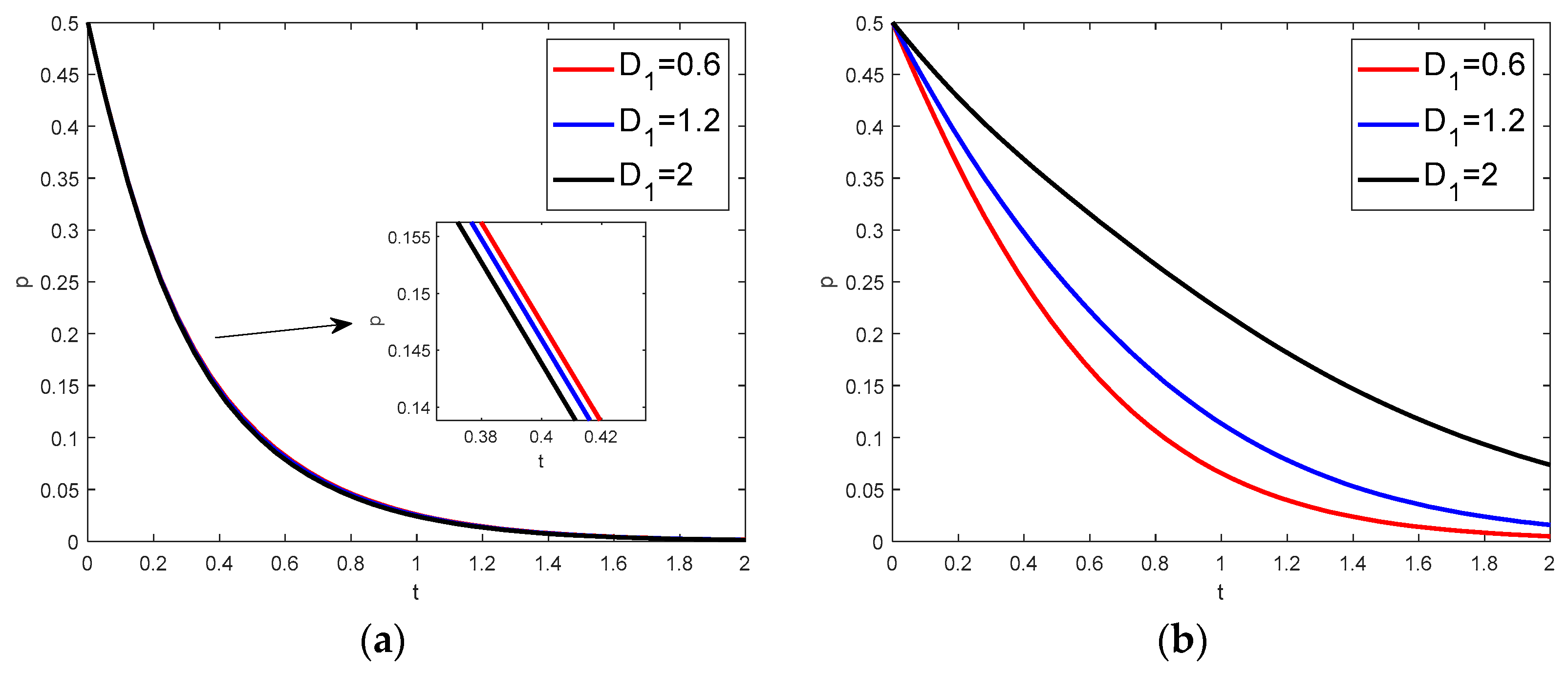
5.3. Impact of Green Innovation Subsidies
5.4. Impact of Green Adoption Subsidies
5.5. Impact of Dividends in ITISAs
5.6. Impact of Liquidated Damages in ITISAs
6. Extension
6.1. Dynamic Subsidy Mechanisms at the Initial Stage
6.2. Dynamic Subsidy Mechanisms at the Developmental Stage
6.3. Dynamic Subsidy Mechanisms at the Maturity Stage
7. Conclusions and Implications
7.1. Conclusions
7.2. Managerial Implications
- (1)
- Government subsidies play different roles at distinct stages of agricultural green development. The government is the advocate and leader of AGTIA at the initial stage, and the government should offer AGTIA subsidies, including static green innovation and dynamic green adoption subsidies, to guide cooperatives and LAEs to mutually promote AGTIA. Based on the research findings, it is evident that China’s agricultural green development is still at its initial stage; the government should actively guide agricultural entities to innovate and adopt agricultural green technology by providing static subsidies for LAEs and dynamic subsidies for cooperatives to reduce the costs of AGTIA. In addition, the government should also encourage LAEs to lead in the formation of ITISAs to establish stable collaborative relationships, thereby improving the efficiency of government subsidies.
- (2)
- Participants’ initial willingness affects the system stability rate. To expedite AGTIA, the government should increase awareness efforts to ensure that agricultural participants fully recognize the role of AGTIA, cultivate a green production mindset, and fundamentally drive the sustainable development of agriculture. For example, China’s fertilizer consumption per unit of sown area was 350 kg/hm2 in 2019, with an annual growth rate of 1.6%. This consumption surpasses the environmental safe upper limit of 225 kg per hectare set by many developed countries [80]. To promote chemical fertilizer reduction, the government can enhance dissemination and education efforts by organizing specialized promotional activities and establishing information-sharing platforms aimed at increasing the awareness and acceptance of innovative technology among farmers and other institutions. Additionally, offering professional guidance and training services in fertilizer reduction can assist agricultural enterprises and cooperatives in elevating their technological proficiency and application capabilities.
- (3)
- These research findings indicate that liquidated damages in ITISAs, government subsidies, costs, and incomes are the key factors influencing the decision-making strategies of participants at the initial stage of agricultural green development. In terms of reducing the costs and improving the benefits of AGTIA, ITISAs can integrate resources and enhance the efficiency of innovation transformation. The government should actively encourage and promote LAEs and cooperatives to form ITISAs by designating long-term support policies and establishing incentive mechanisms. It is essential to improve government support policies and create a market environment conducive to alliance development. Furthermore, it is imperative for the government to enhance oversight and management processes to ensure the effective implementation and operation of ITISAs, while safeguarding against breaches of contract. For agricultural entities such as LAEs, they can draw inspiration from the concept of Bayer’s Farm Adoption Program, and proactively recruit cooperatives and other organizations to engage in innovative partnerships.
- (4)
- At the developmental stage of agricultural green development, stable subsidies are still necessary for promoting AGTIA. Stable government subsidies can assist LAEs and cooperatives in maintaining continuous investment, fostering innovation practices, mitigating risks, and thus motivating them to achieve sustained outcomes in the field of AGTIA. The government needs to gradually delegate power but maintain control over the market at the macroscopic level at the maturity stage. At this stage, collaboration between LAEs and the cooperative solidified as ITISAs stabilized. Thus, the government can gradually reduce subsidy expenditures, allowing the ITISAs to carry out AGTIA proactively. The government should offer dynamic subsidy mechanisms that are inversely correlated with the willingness of LAEs and cooperatives to engage in AGTIA to reduce fiscal expenditure.
7.3. Future Research Directions
Author Contributions
Funding
Institutional Review Board Statement
Informed Consent Statement
Data Availability Statement
Conflicts of Interest
References
- Liu, Y.F.; Sun, D.S.; Wang, H.J.; Wang, X.J.; Yu, G.Q.; Zhao, X.J. An evaluation of China’s agricultural green production: 1978–2017. J. Clean. Prod. 2020, 243, 118483. [Google Scholar] [CrossRef]
- Chen, Z.; Sarkar, A.; Rahman, A.; Li, X.J.; Xia, X.L. Exploring the drivers of green agricultural development (GAD) in China: A spatial association network structure approaches. Land Use Policy 2022, 112, 105827. [Google Scholar] [CrossRef]
- Yang, X.; Dai, X.; Liu, Z. Retailers’ audit strategies for green agriculture based on dynamic evolutionary game. Sustainability 2023, 15, 3261. [Google Scholar] [CrossRef]
- Dahabieh, M.S.; Bröring, S.; Maine, E. Overcoming barriers to innovation in food and agricultural biotechnology. Trends Food Sci. Technol. 2018, 79, 204–213. [Google Scholar] [CrossRef]
- Mao, H.; Zhou, L.; Ying, R.Y.; Pan, D. Time Preferences and green agricultural technology adoption: Field evidence from rice farmers in China. Land Use Policy 2021, 109, 105627. [Google Scholar] [CrossRef]
- China Agricultural Green Development Research Society, Institute of Agricultural Resources and Regional Planning. China Agricultural Green Development Report; China Agriculture Press: Beijing, China, 2022. [Google Scholar]
- The World of Organic Agriculture. Global Organic Area Continues to Grow—Over 72.3 Million Hectares of Farmland are Organic. 2021. Available online: https://www.fibl.org/en/info-centre/news/global-organic-area-continues-to-grow-over-723-million-hectares-of-farmland-are-organic.html (accessed on 28 October 2024).
- Yigezu, Y.A.; Mugera, A.; El-Shater, T.; Aw-Hassan, A.; Piggin, C.; Haddad, A.; Khalil, Y.; Loss, S. Enhancing adoption of agricultural technologies requiring high initial investment among smallholders. Technol. Forecast. Soc. Change 2018, 134, 199–206. [Google Scholar] [CrossRef]
- Li, Y.N.; Huang, L.J.; Tong, Y. Cooperation with competitor or not? The strategic choice of a focal firm’s green innovation strategy. Comput. Ind. Eng. 2021, 157, 107301. [Google Scholar] [CrossRef]
- Niu, Z.H.; Chen, C.; Gao, Y.; Wang, Y.Q.; Chen, Y.S.; Zhao, K.J. Peer effects, attention allocation and farmers’ adoption of cleaner production technology: Taking green control techniques as an example. J. Clean. Prod. 2022, 339, 130700. [Google Scholar] [CrossRef]
- Zou, Q.Q.; Zhang, Z.W.; Yi, X.Y.; Yin, C.B. The direction of promoting smallholders’ adoption of agricultural green production technologies in China. J. Clean. Prod. 2023, 415, 137734. [Google Scholar] [CrossRef]
- Fiocco, D.; Ganesan, V.; de la Serrana Lozano, M.G.; Sharifi, H. Agtech: Breaking Down the Farmer Adoption Dilemma. 2023. Available online: https://www.mckinsey.com/industries/agriculture/our-insights/agtech-breaking-down-the-farmer-adoption-dilemma (accessed on 28 October 2024).
- Nematollahi, M.; Tajbakhsh, A.; Sedghy, B.M. The reflection of competition and coordination on organic agribusiness supply chains. Transp. Res. Part E-Logist. Transp. Rev. 2021, 154, 102462. [Google Scholar] [CrossRef]
- Akkaya, D.; Bimpikis, K.; Lee, H. Government interventions to promote agricultural innovation. Manuf. Serv. Oper. Manag. 2021, 23, 437–452. [Google Scholar] [CrossRef]
- Laborde, D.; Mamun, A.; Martin, W.; Piñeiro, V.; Vos, R. Agricultural subsidies and global greenhouse gas emissions. Nat. Commun. 2021, 12, 2601. [Google Scholar] [CrossRef] [PubMed]
- Shi, L.G.; Pang, T.; Peng, H.J.; Feng, X. Green technology outsourcing for agricultural supply chains with government subsidies. J. Clean. Prod. 2024, 436, 140674. [Google Scholar] [CrossRef]
- Yang, X.; Dai, X.; Zhang, Y. The government subsidy policies for organic agriculture based on evolutionary game theory. Sustainability 2024, 16, 2246. [Google Scholar] [CrossRef]
- Agriculture and Agri-Food Canada. Promoting the Development of Canada’s Organic Sector. 2018. Available online: https://www.canada.ca/en/agriculture-agri-food/news/2018/02/promoting_the_developmentofcanadasorganicsector.html (accessed on 6 January 2024).
- Ministry of Agriculture and Rural Affairs. Annual Report on China’s Rural Cooperative Economy Statistics; China Agriculture Press: Beijing, China, 2020. [Google Scholar]
- Zahoor, N.; Pepple, D.G.; Choudrie, J. Entrepreneurial competencies and alliance success: The role of external knowledge absorption and mutual trust. J. Bus. Res. 2021, 136, 440–450. [Google Scholar] [CrossRef]
- Qian, Y.M.; Yu, X.A.; Chen, X.L.; Song, M.L. Research on stability of major engineering technology innovation consortia based on evolutionary game theory. Comput. Ind. Eng. 2023, 186, 109734. [Google Scholar] [CrossRef]
- Liu, H. The tripartite evolutionary game of green agro-product supply in an agricultural industrialization consortium. Sustainability 2022, 14, 11582. [Google Scholar] [CrossRef]
- Hu, Z.H.; Song, G.H.; Hu, Z.Y.; Fang, J.Q. An improved dynamic game analysis of farmers, enterprises and rural collective economic organizations based on idle land reuse policy. Land Use Policy 2024, 140, 107098. [Google Scholar] [CrossRef]
- Leboucher, C.; Shin, H.S.; Chelouah, R.; Le Ménec, S.; Siarry, P.; Formoso, M.; Tsourdos, A.; Kotenkoff, A. An enhanced particle swarm optimization method integrated with evolutionary game theory. IEEE Trans. Games 2018, 10, 221–230. [Google Scholar] [CrossRef]
- Zhang, T.L.; Guo, X.F.; Wu, T. An analysis of cross-channel return processing with return-freight insurance for live streaming platforms. Comput. Ind. Eng. 2022, 174, 108805. [Google Scholar] [CrossRef]
- Wang, Z.; Wang, Q.X.; Chen, B.X.; Wang, Y. Evolutionary game analysis on behavioral strategies of multiple stakeholders in E-waste recycling industry. Resour. Conserv. Recycl. 2020, 155, 104618. [Google Scholar] [CrossRef]
- Luo, J.L.; Hu, M.J.; Huang, M.M.; Bai, Y.H. How does innovation consortium promote low-carbon agricultural technology innovation: An evolutionary game analysis. J. Clean. Prod. 2023, 384, 135564. [Google Scholar] [CrossRef]
- Chen, Y.S.; Sun, Z.F.; Wang, Y.M.; Ma, Y.; Yang, W.L. Seeds of cross-sector collaboration: A Multi-Agent Evolutionary Game Theoretical Framework Illustrated by the Breeding of Salt-Tolerant Rice. Agriculture 2024, 14, 300. [Google Scholar] [CrossRef]
- Tian, M.L.; Zheng, Y.Y.; Sun, X.L.; Zheng, H.C. A research on promoting chemical fertiliser reduction for sustainable agriculture purposes: Evolutionary game analyses involving ‘government, farmers, and consumers’. Ecol. Indic. 2022, 144, 109433. [Google Scholar] [CrossRef]
- He, N.; Jiang, Z.Z.; Huang, S.; Li, K.Y. Evolutionary game analysis for government regulations in a straw-based bioenergy supply chain. Int. J. Prod. Res. 2023, 61, 6093–6114. [Google Scholar] [CrossRef]
- Luo, J.L.; Huang, M.M.; Bai, Y.H. Promoting green development of agriculture based on low-carbon policies and green preferences: An evolutionary game analysis. Environ. Dev. Sustain. 2024, 26, 6443–6470. [Google Scholar] [CrossRef]
- Guo, X.L.; Cheng, L.H.; Yu, Y.G. Government subsidy policy for green and efficient raw materials considering farmer heterogeneity. Prod. Oper. Manag. 2022, 31, 4095–4112. [Google Scholar] [CrossRef]
- Cao, Y.C.; Li, H.M.; Su, L.M. Blockchain-driven incentive mechanism for agricultural water-saving: A tripartite game model. J. Clean. Prod. 2024, 434, 140197. [Google Scholar] [CrossRef]
- Morandi, V. The management of industry-university joint research projects: How do partners coordinate and control R&D activities? J. Technol. Transf. 2013, 38, 69–92. [Google Scholar]
- Li, E.L.; Yao, F.; Xi, J.X.; Guo, C.Y. Evolution characteristics of government-industry-university-research cooperative innovation network for China’s agriculture and influencing factors: Illustrated according to agricultural patent case. Chin. Geogr. Sci. 2018, 28, 137–152. [Google Scholar] [CrossRef]
- Enciso, K.; Triana, N.; Diaz, M.; Burkart, S. On (dis)connections and Transformations: The role of the agricultural innovation system in the adoption of improved forages in Colombia. Front. Sustain. Food Syst. 2022, 5, 741057. [Google Scholar] [CrossRef]
- Ma, W.L.; Renwick, A.; Yuan, P.; Ratna, N. Agricultural cooperative membership and technical efficiency of apple farmers in China: An analysis accounting for selectivity bias. Food Policy 2018, 81, 122–132. [Google Scholar] [CrossRef]
- Yang, D.; Zhang, H.W.; Liu, Z.M.; Zeng, Q. Do cooperatives participation and technology adoption improve farmers’ welfare in China? A joint analysis accounting for selection bias. J. Integr. Agric. 2021, 20, 1716–1726. [Google Scholar] [CrossRef]
- Zhong, Z.; Jiang, W.Y.; Li, Y.H. Bridging the gap between smallholders and modern agriculture: Full insight into China’s agricultural cooperatives. J. Rural. Stud. 2023, 101, 103037. [Google Scholar] [CrossRef]
- Zhang, Q.Q.; Qu, Y.B.; Zhan, L.Y. Great transition and new pattern: Agriculture and rural area green development and its coordinated relationship with economic growth in China. J. Environ. Manag. 2023, 344, 118563. [Google Scholar] [CrossRef]
- Zhang, X.D.; Wan, X.Y.; Liu, P.L. The impact of participation in agricultural industry organizational models on crop yields: Evidence from Chinese wheat growers. Sci. Rep. 2023, 13, 17779. [Google Scholar] [CrossRef]
- He, P.P.; Zhang, J.B.; Li, W.J. The role of agricultural green production technologies in improving low-carbon efficiency in China: Necessary but not effective. J. Environ. Manag. 2021, 293, 112837. [Google Scholar] [CrossRef]
- Markow, J.; Fieldsend, A.F.; von Münchhausen, S.; Häring, A.M. Building agricultural innovation capacity from the bottom up: Using spillover effects from projects to strengthen agricultural innovation systems. Agric. Syst. 2023, 209, 103670. [Google Scholar] [CrossRef]
- Costantini, V.; Crespi, F.; Marin, G.; Paglialunga, E. Eco-innovation, sustainable supply chains and environmental performance in European industries. J. Clean. Prod. 2017, 155, 141–154. [Google Scholar] [CrossRef]
- Luo, J.L.; Guo, H.D.; Jia, F. Technological innovation in agricultural co-operatives in China: Implications for agro-food innovation policies. Food Policy 2017, 73, 19–33. [Google Scholar] [CrossRef]
- Zhou, X.J.; Yang, S.X.; Wang, G.L. Impacts of knowledge spillovers and cartelization on cooperative innovation decisions with uncertain technology efficiency. Comput. Ind. Eng. 2020, 143, 106395. [Google Scholar] [CrossRef]
- Jiao, J.L.; Chen, C.X.; Bai, Y. Is green technology vertical spillovers more significant in mitigating carbon intensity? Evidence from Chinese industries. J. Clean. Prod. 2020, 257, 120354. [Google Scholar] [CrossRef]
- Chi, N.T.K. Driving factors for green innovation in agricultural production: An empirical study in an emerging economy. J. Clean. Prod. 2022, 368, 132965. [Google Scholar]
- Qu, R.P.; Chen, J.; Li, W.J.; Jin, S.; Jones, G.D.; Frewer, L.J. Consumers’ preferences for apple production attributes: Results of a Choice Experiment. Foods 2023, 12, 1917. [Google Scholar] [CrossRef]
- Boonkong, A.; Jiang, B.C.; Kassoh, F.S.; Srisukwatanachai, T. Chinese and Thai consumers’ willingness to pay for quality rice attributes: A discrete choice experiment method. Front. Sustain. Food Syst. 2023, 7, 1270331. [Google Scholar] [CrossRef]
- Yu, X.H.; Gao, Z.F.; Zeng, Y.C. Willingness to pay for the “Green Food” in China. Food Policy 2014, 45, 80–87. [Google Scholar] [CrossRef]
- Zhou, J.H.; Liu, Q.; Mao, R.; Yu, X.H. Habit spillovers or induced awareness: Willingness to pay for eco-labels of rice in China. Food Policy 2017, 71, 62–73. [Google Scholar] [CrossRef]
- Valizadeh, N.; Jalilian, S.; Hallaj, Z.; Bayat, S.E.; Hayati, D.; Bazrafkan, K.; Kianmehr, N.; Akbari, M. Encouraging adoption of green manure technology to produce clean rice product. Sci. Rep. 2023, 13, 8690. [Google Scholar] [CrossRef]
- Fan, P.F.; Mishra, A.K.; Feng, S.Y.; Su, M.; Hirsch, S. The impact of China’s new agricultural subsidy policy on grain crop acreage. Food Policy 2023, 118, 102472. [Google Scholar] [CrossRef]
- Omotilewa, O.J.; Ricker-Gilbert, J.; Ainembabazi, J.H. Subsidies for agricultural technology adoption: Evidence from a randomized experiment with improved grain storage bags in Uganda. Am. J. Agric. Econ. 2019, 101, 753–772. [Google Scholar] [CrossRef]
- Ray, M.; Singh, A.P.; Jakhar, S.K. Sustainable farming practices adoption in agriculture supply chain: The role of indirect support versus cost subsidy. Ann. Oper. Res. 2023. [Google Scholar] [CrossRef]
- Wu, H.Q.; Hu, S.M. The impact of synergy effect between government subsidies and slack resources on green technology innovation. J. Clean. Prod. 2020, 274, 122682. [Google Scholar] [CrossRef]
- Zhang, R.R.; Ma, W.M.; Liu, J.J. Impact of government subsidy on agricultural production and pollution: A game-theoretic approach. J. Clean. Prod. 2021, 285, 124806. [Google Scholar] [CrossRef]
- Xie, H.L.; Jin, S.T. Evolutionary Game Analysis of Fallow Farmland Behaviors of Different Types of Farmers and Local Governments. Land Use Policy 2019, 88, 104122. [Google Scholar] [CrossRef]
- Zheng, S.; Yu, L.H. The government’s subsidy strategy of carbon-sink fishery based on evolutionary game. Energy 2022, 254, 124282. [Google Scholar] [CrossRef]
- Tong, W.; Mu, D.; Zhao, F.; Mendis, G.P.; Sutherland, J.W. The impact of cap-and-trade mechanism and consumers’ environmental preferences on a retailer-led supply Chain. Resour. Conserv. Recycl. 2019, 142, 88–100. [Google Scholar] [CrossRef]
- Long, Q.Q.; Tao, X.Y.; Shi, Y.; Zhang, S.Z. Evolutionary game analysis among three green-sensitive parties in green supply chains. IEEE Trans. Evol. Comput. 2021, 25, 508–523. [Google Scholar] [CrossRef]
- Zhao, C.; Ma, X.Y.; Wang, K. The electric vehicle promotion in the cold-chain logistics under two-sided support policy: An evolutionary game perspective. Transp. Policy 2022, 121, 14–34. [Google Scholar] [CrossRef]
- He, Q.Z.; Sun, Y.; Yi, M.A.; Huang, H.M. How to promote agricultural enterprises to reduce the use of pesticides and fertilizers? An evolutionary game approach. Front. Sustain. Food Syst. 2023, 7, 1238683. [Google Scholar] [CrossRef]
- Shen, J.Q.; Gao, X.; He, W.J.; Sun, F.H.; Zhang, Z.F.; Kong, Y.; Wan, Z.C.; Zhang, X.; Li, Z.C.; Wang, J.Z.; et al. Prospect theory in an evolutionary game: Construction of watershed ecological compensation system in Taihu Lake Basin. J. Clean. Prod. 2021, 291, 125929. [Google Scholar] [CrossRef]
- Tian, M.L.; Liu, R.F.; Wang, J.; Liang, J.H.; Nian, Y.F.; Ma, H.Y. Impact of environmental values and information awareness on the adoption of soil testing and formula fertilization technology by farmers-A case study considering social networks. Agriculture 2023, 13, 2008. [Google Scholar] [CrossRef]
- Yu, Y.N.; He, Y.; Zhao, X. Impact of demand information sharing on organic farming adoption: An evolutionary game approach. Technol. Forecast. Soc. Change 2021, 172, 121001. [Google Scholar] [CrossRef]
- Gong, J.; Du, H.Y.; Sun, Y. Collaboration among governments, pesticide operators, and farmers in regulating pesticide operations for agricultural product safety. Agriculture 2023, 13, 2288. [Google Scholar] [CrossRef]
- Wang, Y.B.; Li, J.; Cheng, P.F. Multiple subject behavior in pest and disease control outsourcing from the perspective of government intervention: Based on evolutionary game and simulation analysis. Agriculture 2023, 13, 1183. [Google Scholar] [CrossRef]
- Jiang, X.H.; Wang, L.F.; Cao, B.; Fan, X.Y. Benefit distribution and stability analysis of enterprises’ technological innovation cooperation alliance. Comput. Ind. Eng. 2021, 161, 107637. [Google Scholar] [CrossRef]
- Li, S.W.; Lopez, R.A.; Zhu, C.; Liu, Y.M. Consumer preferences for sustainably produced ultra-high-temperature milk in China. J. Dairy Sci. 2023, 106, 2338–2346. [Google Scholar] [CrossRef]
- Friedman, D. Evolutionary games in economics. Econom. J. Econom. Soc. 1991, 59, 637–666. [Google Scholar] [CrossRef]
- Clark, C.J.W. Mellor. The economics of agricultural development. Econ. J. 1967, 77, 628–629. [Google Scholar]
- Zhang, Y.F.; Lu, Q.Z.; Yang, C.F.; Grant, M.K. Cooperative membership, service provision, and the adoption of green control techniques: Evidence from China. J. Clean. Prod. 2023, 384, 135462. [Google Scholar] [CrossRef]
- Markard, J. The life cycle of technological innovation systems. Technol. Forecast. Soc. Change 2020, 153, 119407. [Google Scholar] [CrossRef]
- Audretsch, D.B.; Belitski, M.; Caiazza, R. Start-ups, innovation and knowledge spillovers. J. Technol. Transf. 2021, 46, 1995–2016. [Google Scholar] [CrossRef]
- Ma, Y.F.; Hou, Y.; Dong, P.B.; Velthof, G.L.; Long, W.T.; Ma, L.; Ma, W.Q.; Jiang, R.F.; Oenema, O. Cooperation between specialized livestock and crop farms can reduce environmental footprints and increase net profits in livestock production. J. Environ. Manag. 2022, 302, 113960. [Google Scholar] [CrossRef] [PubMed]
- Villano, R.; Bravo-Ureta, B.; Solís, D.; Fleming, E. Modern Rice Technologies and Productivity in the Philippines: Disentangling Technology from Managerial Gaps. J. Agric. Econ. 2015, 66, 129–154. [Google Scholar] [CrossRef]
- Ntiri, P.; Ragasa, C.; Anang, S.A.; Kuwornu, J.K.M.; Torbi, E.N. Does ICT-based aquaculture extension contribute to greater adoption of good management practices and improved incomes? Evidence from Ghana. Aquaculture 2022, 557, 738350. [Google Scholar] [CrossRef]
- Guo, Z.D.; Zhang, X.N. Carbon reduction effect of agricultural green production technology: A new evidence from China. Sci. Total Environ. 2023, 874, 162483. [Google Scholar] [CrossRef]

















| Authors | Parties | Policy Factors | Collaboration Mechanism | Price Premium | Technology Spillover Effect | Dynamic Subsidy Mechanism | ||
|---|---|---|---|---|---|---|---|---|
| Technology Innovation Subsidies | Technology Adoption Subsidies | Dividends | Liquidated Damages | |||||
| Shen et al. [65] | The local governments and polluting enterprises | √ | ||||||
| Yu et al. [67] | One retailer and one producer | √ | ||||||
| He et al. [30] | The government, power plants, and farmers | √ | √ | |||||
| Tian et al. [29] | The government, farmers, and consumers | √ | √ | |||||
| Tian et al. [66] | Farmers A and B | √ | ||||||
| Gong et al. [68] | The government, pesticide operators, and farmers | √ | √ | |||||
| Wang et al. [69] | Farmers, service organizations, and the government | √ | √ | |||||
| He et al. [64] | The government, businesses, and consumers | √ | √ | |||||
| Luo et al. [27] | Enterprises, universities, and the government | √ | √ | √ | ||||
| Chen et al. [28] | Research institutions, companies, and the government | √ | ||||||
| Cao et al. [33] | The government, companies, and farmers | √ | √ | √ | ||||
| This paper | LAEs, cooperatives and the government | √ | √ | √ | √ | √ | √ | √ |
| Participants | Parameters | Meaning |
|---|---|---|
| Government | The cost of government after S | |
| Green adoption subsidies | ||
| Green innovation subsidies | ||
| Social credibility when government chooses S strategy | ||
| Environmental benefits due to green innovation | ||
| Environmental benefits due to the adoption of green technology | ||
| LAEs | The LAEs’ green innovation costs | |
| The LAEs’ costs for APTP | ||
| The LAEs’ green innovation incomes when cooperatives collaborate | ||
| The LAEs’ green innovation incomes when the cooperatives default | ||
| Speculative incomes of LAEs | ||
| The LAEs’ incomes for APTP | ||
| Dividend in scenario II | ||
| Dividend in scenario III | ||
| LAEs’ liquidated damages | ||
| Cost reduction coefficient of LAEs due to collaboration | ||
| Cooperatives | The cooperatives’ green adoption costs | |
| The cooperatives’ costs for ATPM | ||
| The cooperatives’ green adoption incomes when LAEs collaborate | ||
| The cooperatives’ green adoption incomes when LAEs default | ||
| Speculative incomes of cooperatives | ||
| The cooperatives’ incomes for ATPM | ||
| Cooperatives’ liquidated damages | ||
| Cost reduction coefficient of cooperatives due to collaboration |
| LAEs | |||
|---|---|---|---|
| Cooperatives | |||
| LAEs | |||
|---|---|---|---|
| Cooperatives | |||
| Equilibrium Points | Eigenvalues | Sign | Stability | ||
|---|---|---|---|---|---|
| Saddle point or unstable point | |||||
| Saddle point or unstable point | |||||
| Saddle point or unstable point | |||||
| Saddle point or stable point | |||||
| Saddle point or stable point | |||||
| Saddle point or unstable point | |||||
| Saddle point or unstable point | |||||
| Saddle point or stable point | |||||
| Symbol | |||||||||||
| Value | 56 | 54 | 43 | 42 | 50 | 30 | 39 | 36 | 37 | 35.5 | 31 |
| Symbol | |||||||||||
| Value | 0.01 | 0.01 | 1 | 1.5 | 0.6 | 0.3 | 9 | 1 | 4 | 2 | 24 |
Disclaimer/Publisher’s Note: The statements, opinions and data contained in all publications are solely those of the individual author(s) and contributor(s) and not of MDPI and/or the editor(s). MDPI and/or the editor(s) disclaim responsibility for any injury to people or property resulting from any ideas, methods, instructions or products referred to in the content. |
© 2024 by the authors. Licensee MDPI, Basel, Switzerland. This article is an open access article distributed under the terms and conditions of the Creative Commons Attribution (CC BY) license (https://creativecommons.org/licenses/by/4.0/).
Share and Cite
Ma, X.; Ren, T.; Islam, S.M.N. Multi-Party Collaboration in Agricultural Green Technology Innovation and Adoption: An Evolutionary Game Approach. Sustainability 2024, 16, 10236. https://doi.org/10.3390/su162310236
Ma X, Ren T, Islam SMN. Multi-Party Collaboration in Agricultural Green Technology Innovation and Adoption: An Evolutionary Game Approach. Sustainability. 2024; 16(23):10236. https://doi.org/10.3390/su162310236
Chicago/Turabian StyleMa, Xueli, Tianyuan Ren, and Sardar M. N. Islam. 2024. "Multi-Party Collaboration in Agricultural Green Technology Innovation and Adoption: An Evolutionary Game Approach" Sustainability 16, no. 23: 10236. https://doi.org/10.3390/su162310236
APA StyleMa, X., Ren, T., & Islam, S. M. N. (2024). Multi-Party Collaboration in Agricultural Green Technology Innovation and Adoption: An Evolutionary Game Approach. Sustainability, 16(23), 10236. https://doi.org/10.3390/su162310236

