Sign in to use this feature.

Years

Between: -

Subjects

remove_circle_outline
remove_circle_outline
remove_circle_outline
remove_circle_outline
remove_circle_outline
remove_circle_outline

Journals

Article Types

Countries / Regions

Search Results (18)

Search Parameters:
Keywords = free-air explosion

Order results
Result details
Results per page
Select all
Export citation of selected articles as:
24 pages, 5840 KB  
Article
Numerical Study of Blast Load Acting on Typical Precast Segmental Reinforced Concrete Piers in Near-Field Explosions
by Lu Liu, Zhouhong Zong, Yulin Shan, Yao Yao, Chenglin Li and Yihao Cheng
CivilEng 2025, 6(4), 53; https://doi.org/10.3390/civileng6040053 - 2 Oct 2025
Viewed by 692
Abstract
Explosions, including those from war weapons, terrorist attacks, etc., can lead to damage and overall collapse of bridges. However, there are no clear guidelines for anti-blast design and protective measures for bridges under blast loading in current bridge design specifications. With advancements in [...] Read more.
Explosions, including those from war weapons, terrorist attacks, etc., can lead to damage and overall collapse of bridges. However, there are no clear guidelines for anti-blast design and protective measures for bridges under blast loading in current bridge design specifications. With advancements in intelligent construction, precast segmental bridge piers have become a major trend in social development. There is a lack of full understanding of the anti-blast performance of precast segmental bridge piers. To study the engineering calculation method for blast load acting on a typical precast segmental reinforced concrete (RC) pier in near-field explosions, an air explosion test of the precast segmental RC pier is firstly carried out, then a fluid–structure coupling numerical model of the precast segmental RC pier is established and the interaction between the explosion shock wave and the precast segmental RC pier is discussed. A numerical simulation of the precast segmental RC pier in a near-field explosion is conducted based on a reliable numerical model, and the distribution of the blast load acting on the precast segmental RC pier in the near-field explosion is analyzed. The results show that the reflected overpressure on the pier and the incident overpressure in the free field are reliable. The simulation results are basically consistent with the experimental results (with a relative error of less than 8%), and the fluid–structure coupling model is reasonable and reliable. The explosion shock wave has effects of reflection and circulation on the precast segmental RC pier. In the near-field explosion, the back and side blast loads acting on the precast segmental RC bridge pier can be ignored in the blast-resistant design. The front blast loads can be simplified and equalized, and a blast-resistant design load coefficient (1, 0.2, 0.03, 0.02, and 0.01) and a calculation formula of maximum equivalent overpressure peak value (applicable scaled distance [0.175 m/kg1/3, 0.378 m/kg1/3]) are proposed, which can be used as a reference for the blast-resistant design of precast segmental RC piers. Full article
(This article belongs to the Section Mathematical Models for Civil Engineering)
Show Figures

Figure 1

18 pages, 1153 KB  
Article
Numerical Dissipation and Stability Analyses of a Highly Efficient Numerical Approach Proposed for Predicting the Blast Loads from Large TNT-Equivalent Explosives on Building Structures
by Xuan Zhang, Shifa Xia, Meng Li, Xiaonong Dong, Fengwei Shi, Huanchen Li, Tiesheng Dou and Shuo Dong
Buildings 2025, 15(18), 3348; https://doi.org/10.3390/buildings15183348 - 16 Sep 2025
Viewed by 463
Abstract
An efficient CE/SE-based numerical method implemented in LS-DYNA R7.0 has been developed for predicting far-field blast loads from large TNT-equivalent explosives on structures, offering validated accuracy for engineering risk assessment. However, the stability and numerical dissipation characteristics induced by its non-physical parameters ( [...] Read more.
An efficient CE/SE-based numerical method implemented in LS-DYNA R7.0 has been developed for predicting far-field blast loads from large TNT-equivalent explosives on structures, offering validated accuracy for engineering risk assessment. However, the stability and numerical dissipation characteristics induced by its non-physical parameters (α, β, CFL) remain unquantified, limiting optimal application. To resolve this, we analytically derived an explicit numerical dissipation term coefficient Δx(w+w)(1 − CFL2)/4 from a simplified 1D continuity equation and established stability criteria via von Neumann analysis. Benchmark simulations of 1 kg TNT free-air bursts demonstrate that increasing α from 0.1 to 5.0 reduces peak overpressure by 13.0%, while β rising from 0.5 to 1.0 decreases it by 1.89%, and elevating CFL from 0.05 to 0.50 increases overpressure by 1.92%. Critically, stability requires α ≥ 0, 0 ≤ β ≤ 1, and 0 ≤ CFL ≤ 1. These first theoretical guidelines for non-physical parameter selection enhance the method’s prediction accuracy and computational efficiency. Full article
(This article belongs to the Section Building Structures)
Show Figures

Figure 1

25 pages, 4734 KB  
Review
Features of the Composition, Release, Localization, and Environmental Effects of Free Gases in the Khibiny Massif (Kola Peninsula, Northwest Russia): A Review
by Valentin A. Nivin
Geosciences 2025, 15(3), 86; https://doi.org/10.3390/geosciences15030086 - 1 Mar 2025
Viewed by 847
Abstract
The article presents a comprehensive analysis of long-term studies on hydrogen-hydrocarbon free gases (FGs) in the rocks of the Khibiny massif, systematically organized and generalized for the first time. Gasometric observations were predominantly conducted within underground mine workings, with occasional measurements taken during [...] Read more.
The article presents a comprehensive analysis of long-term studies on hydrogen-hydrocarbon free gases (FGs) in the rocks of the Khibiny massif, systematically organized and generalized for the first time. Gasometric observations were predominantly conducted within underground mine workings, with occasional measurements taken during the drilling of exploration boreholes at the surface or in subsurface air within loose sediments. Methane is the primary component of these gases, followed in descending order by hydrogen, ethane, helium, other methane homologs, and alkenes. Nitrogen is also presumed to be present, although its proportions remain undefined. The carbon and hydrogen in FGs exhibit relatively heavy isotopic compositions, which progressively lighten from methane to ethane. The intensity of gas emissions is characterized by a gas flow rate from shot holes and boreholes, reaching up to 0.5 L/min but generally decreasing significantly within an hour of reservoir exposure. Gas-bearing areas, ranging in size from a few meters to tens of meters, are distributed irregularly and without discernible patterns. The FG content in rocks and ores varies from trace amounts to approximately 1 m3 of gas per cubic meter of undisturbed rock. These gases are primarily residual, preserved within microfractures and cavities following the isolation of fluid inclusions. Their distribution and composition may fluctuate due to the dynamic geomechanical conditions of the rock mass. The release of flammable and explosive FGs presents a significant hazard during ore deposit exploration and development, necessitating the implementation of rigorous safety measures for mining and drilling operations. Additionally, the environmental implications and potential applications of gas emissions warrant attention. Future comprehensive studies of the Khibiny gases using advanced methodologies and equipment are expected to address various scientific and practical challenges. Full article
Show Figures

Figure 1

18 pages, 42509 KB  
Article
Effect of Ultrafine Water Mist with K2CO3 Additives on the Combustion and Explosion Characteristics of Methane/Hydrogen/Air Premixed Flames
by Haoliang Zhang, Hongfu Mi, Peng Shao, Nan Luo, Kaixuan Liao, Wenhe Wang, Yulong Duan and Yihui Niu
Processes 2024, 12(12), 2918; https://doi.org/10.3390/pr12122918 - 20 Dec 2024
Viewed by 1587
Abstract
To ensure the safe utilization of hydrogen-enriched natural gas (HENG), it is essential to explore effective explosion suppressants to prevent and mitigate potential explosions. This study experimentally investigates the impact of ultrafine water mist containing K2CO3 additives on the explosion [...] Read more.
To ensure the safe utilization of hydrogen-enriched natural gas (HENG), it is essential to explore effective explosion suppressants to prevent and mitigate potential explosions. This study experimentally investigates the impact of ultrafine water mist containing K2CO3 additives on the explosion characteristics of methane/hydrogen/air premixed combustion. The influence of varying K2CO3 concentrations on pressure rise rates and flame propagation was analyzed across different hydrogen blending ratios. The results demonstrate that the addition of K2CO3 to ultrafine water mist significantly enhances its suppression effects. The peak overpressure decreased by 41.60%, 56.15%, 64.94%, and 72.98%, the flame speed decreased by 30.66%, 70.56%, 46.72%, and 65.65%, and the flame propagation time was prolonged by 25%, 20.83%, 22.92%, and 18.75%, respectively, for different hydrogen blending ratios, showing a similar trend. However, the suppression effectiveness diminishes under high hydrogen blending ratios and low K2CO3 concentrations. Further analysis using thermogravimetric infrared spectroscopy and chemical kinetics simulations revealed that the heat release rate and the generation rate of active free radicals significantly decrease after the addition of K2CO3 to the ultrafine water mist. The recombination cycle of KOH → K → KOH, formed by reactions (R211: K + OH + M = KOH + M) and (R259: H + KOH = K + H2O), continuously combines active free radicals (·O, ·OH) into stable product molecules, such as H2O. However, at low K2CO3 concentrations, reaction R211, which suppresses laminar combustion sensitivity and consumes a larger quantity of active free radicals, does not dominate, leading to a reduced suppression effect of K2CO3 ultrafine water mist. Several factors during the reaction process also adversely affect the performance of K2CO3-containing ultrafine water mist. These factors include the premature onset of laminar flame instability at low K2CO3 concentrations, the increased flame-front propagation speed due to the addition of hydrogen to methane, which shortens the residence time of K2CO3 in the reaction zone, and the turbulence caused by unvaporized droplets. Full article
(This article belongs to the Section Chemical Processes and Systems)
Show Figures

Figure 1

14 pages, 2956 KB  
Article
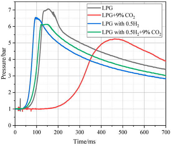
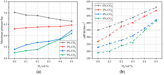
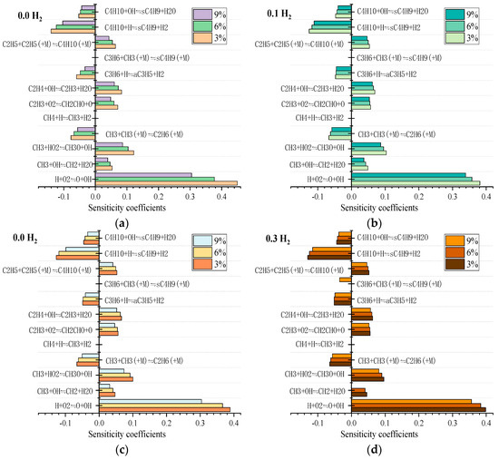
Experimental Investigation and Chemical Kinetics Analysis of Carbon Dioxide Inhibition on Hydrogen-Enriched Liquefied Petroleum Gas (LPG) Explosions
by Lei Bai, Fangming Cheng and Yuting Dong
Energies 2024, 17(21), 5351; https://doi.org/10.3390/en17215351 - 28 Oct 2024
Viewed by 1372
Abstract
The utilization of hydrogen-enriched liquefied petroleum gas (LPG) is an effective means of reducing carbon emissions, but the special physical and chemical properties of hydrogen have raised concerns among the public. To delve into the intricate chemical kinetic mechanisms governing the inhibitory effect [...] Read more.
The utilization of hydrogen-enriched liquefied petroleum gas (LPG) is an effective means of reducing carbon emissions, but the special physical and chemical properties of hydrogen have raised concerns among the public. To delve into the intricate chemical kinetic mechanisms governing the inhibitory effect of CO2 on the explosion of hydrogen-enriched LPG, this study systematically investigated the influence of varying CO2 concentrations (3%, 6%, and 9%) on the explosion characteristics of hydrogen-enriched LPG (hydrogen ratio ranging from 0 to 0.5) within a 20 L spherical explosion chamber. Subsequently, a chemical kinetic analysis was conducted, focusing on the explosion reaction dynamics of the H2/LPG/CO2/Air mixture, encompassing temperature sensitivity assessments and the production rates of key free radicals. The findings reveal that although hydrogen incorporation does not significantly alter the maximum explosion pressure of LPG, it markedly accelerates the explosion reaction rate, posing a challenge for CO2 in effectively inhibiting the explosion of hydrogen-enriched LPG. CO2 functions as a stabilizing third body within the reaction system, diminishing the collision frequency among free radicals, hydrogen molecules, hydrocarbon molecules, and oxygen molecules, thereby slowing down the reaction rate. As the proportion of hydrogen increases, the concentration of ·H radicals, known for their high reactivity, escalates, rapidly completing the propagation phase of the chain reaction and intensifying the overall generation rates of critical free radicals, including ·H, ·O, and ·OH. Notably, the key reaction H+O2O+OH, which governs the reaction temperature, undergoes significant enhancement, further accelerating the explosion reaction rate and ultimately diminishing the inhibitory efficacy of CO2 against the hydrogenated LPG explosion. Furthermore, as the amount of hydrogen added increases, hydrogen’s competitiveness for oxygen within the reaction system markedly improves, attenuating the oxidation of hydrocarbons. Concurrently, the alkane recombination reaction, exemplified by C3H6+CH3(+M)sC4H9(+M), is strengthened. These insights provide valuable understanding of the complex interactions and mechanisms during the explosion of hydrogen-enriched LPG in the presence of CO2, with implications for the safe application of hydrogen-enriched LPG. Full article
(This article belongs to the Section B: Energy and Environment)
Show Figures

Figure 1

17 pages, 7294 KB  
Article
Innovative Power Generation Technologies for Improved Household Energy Delivery and Sustainable Future: Classical Solutions from ENEA Research Centre, Trisaia Italy
by Vinod Kumar Sharma, Giacobbe Braccio and Cosmas N. Anyanwu
Processes 2024, 12(2), 389; https://doi.org/10.3390/pr12020389 - 15 Feb 2024
Cited by 3 | Viewed by 1914
Abstract
The present communication is focused predominantly on important R&D solutions relevant to renewable energy technologies covering the following: (i) Innovative heat transfer fluid and thermal storage technology based on a molten salt mixture developed by ENEA for large-scale heat storage. The system uses [...] Read more.
The present communication is focused predominantly on important R&D solutions relevant to renewable energy technologies covering the following: (i) Innovative heat transfer fluid and thermal storage technology based on a molten salt mixture developed by ENEA for large-scale heat storage. The system uses a parabolic trough collector, compared with diathermic oil, which allows higher operating temperature, resulting in significant benefits to the plant’s operation, safety and the environment. (ii) The world’s first solar disk powered by air micro turbine developed by ENEA. (iii) An innovative steam-explosion prototype plant installed at ENEA for the pre-treatment of lignocellulosic biomass and the fractionation of bio components to generate ethanol from lignocellulosic material using hemicellulose and lignin. (iv) The production of hydrogen-enriched biogas using steam as the gasification agent, which helps in obtaining nearly nitrogen-free product gas and with a high calorific value of around 12 MJ/Nm3 dry gas and a high percentage of hydrogen (up to 55%) while using steam as the gasifying agent in the presence of a catalyst. (v) A rotary kiln plant, with the main purpose being to develop and optimize a thermo-chemical process to convert used rubber tyres so as to recover material and energy, as well as other solid products, with high value-added “Activated carbon” and synthesis gas. Full article
Show Figures

Figure 1

29 pages, 32758 KB  
Article
Experimental and Numerical Investigation of the Mechanical Properties of a Fiber-Reinforced Geopolymer Mortar Blast Resistant Panel
by Chien-Chin Chen, Ying-Kuan Tsai, Yu-Kai Lin, Pin-Hsuan Ho and Chang-Yu Kuo
Polymers 2023, 15(16), 3440; https://doi.org/10.3390/polym15163440 - 17 Aug 2023
Cited by 7 | Viewed by 2385
Abstract
Geopolymer materials have excellent properties such as high strength, low thermal conductivity, fire resistance, acid and alkali resistance, and low carbon emissions. They can be used as protective engineering materials in places with explosion risks. At present, the common composite blast resistant panel [...] Read more.
Geopolymer materials have excellent properties such as high strength, low thermal conductivity, fire resistance, acid and alkali resistance, and low carbon emissions. They can be used as protective engineering materials in places with explosion risks. At present, the common composite blast resistant panel is in the form of a sandwich: the outer layer isgalvanized steel plate, and fiber cement board or calcium carbonate board is used as the inner layer material, as these boards have the advantages of easy installation, good fire resistance, and explosion resistance. This study investigates the effect of adding different types of fibers to geopolymer mortar on the mortar’s basic mechanical properties, such as compression strength, bending strength, and impact resistance. The explosive resistance of the fiber-reinforced geopolymer mortar blast resistant panels was evaluated through free-air explosion. In this paper, experimental procedures and numerical simulation have been performed to study the failure modes, maximum deflection, and dynamic response of the fiber-reinforced geopolymer mortar blast resistant panel under free-air explosion. The research results can provide a reference for the design and production of blast resistant panels. Full article
Show Figures

Figure 1

13 pages, 8815 KB  
Article
Detection of Trace Explosives Using a Novel Sample Introduction and Ionization Method
by Lingfeng Li, Tianyi Zhang, Wei Ge, Xingli He, Yunjing Zhang, Xiaozhi Wang and Peng Li
Molecules 2022, 27(14), 4551; https://doi.org/10.3390/molecules27144551 - 17 Jul 2022
Cited by 10 | Viewed by 2511
Abstract
A novel sample introduction and ionization method for trace explosives detection is proposed and investigated herein, taking into consideration real-world application requirements. A thermal desorption sampling method and dielectric barrier discharge ionization (DBDI) source, with air as the discharge gas, were developed. The [...] Read more.
A novel sample introduction and ionization method for trace explosives detection is proposed and investigated herein, taking into consideration real-world application requirements. A thermal desorption sampling method and dielectric barrier discharge ionization (DBDI) source, with air as the discharge gas, were developed. The counter flow method was adopted firstly into the DBDI source to remove the interference of ozone and other reactive nitrogen oxides. A separated reaction region with an ion guiding electric field was developed for ionization of the sample molecules. Coupled with a homemade miniature digital linear ion trap mass spectrometer, this compact and robust design, with further optimization, has the advantages of soft ionization, a low detection limit, is free of reagent and consumable gas, and is an easy sample introduction. A range of common nitro-based explosives including TNT, 2,4-DNT, NG, RDX, PETN, and HMX has been studied. A linear response in the range of two orders of magnitude with a limit of detection (LOD) of 0.01 ng for TNT has been demonstrated. Application to the detection of real explosives and simulated mixed samples has also been explored. The work paves the path to developing next generation mass spectrometry (MS) based explosive trace detectors (ETDs). Full article
Show Figures

Figure 1

15 pages, 31554 KB  
Article
Numerical Assessment and Repair Method of Runway Pavement Damage Due to CBU Penetration and Blast Loading
by Jaeduk Han, Sungil Kim and Injae Hwang
Appl. Sci. 2022, 12(6), 2888; https://doi.org/10.3390/app12062888 - 11 Mar 2022
Cited by 8 | Viewed by 3688
Abstract
This paper addresses the protection capability of a runway pavement by executing a field blast test on an airfield pavement subjected to blast loading from a CBU (cluster bomb unit), and by confirming the numerical simulation of warhead penetration and the form of [...] Read more.
This paper addresses the protection capability of a runway pavement by executing a field blast test on an airfield pavement subjected to blast loading from a CBU (cluster bomb unit), and by confirming the numerical simulation of warhead penetration and the form of damage. The CBU’s blast loading applies the BAP 100 of an air-to-ground munition in a similar scale. Penetration depth is calculated by a formula which incorporates the terminal speed of a free-falling cluster munition dispersed 20 km above the ground. According to the result of the calculation, the penetration depth by a cluster munition is 33 cm from the surface of the pavement. The field blast test was conducted based on this result. Furthermore, LS-DYNA software simulation was used to assess the condition of damage, determined by the depth of penetration and explosive pressure from a free-falling CBU landing on the airfield pavement from 20 km above the ground. The condition was ultimately used to verify the result of field testing and to confirm the scale of damage repair. The depth of explosion was 78 cm, from the surface to the crushed stone and sand layer below the pavement, and the diameter was 30 cm. The size of the crushed concrete that needed to be removed was an average diameter of 156 cm. The simulation result confirms that the diameter and depth of the crater are 67.6 cm and 67 cm, respectively, when the CBU is detonated under the same depth as the field testing, and the height of upheaval is 12 cm. The most appropriate method for repair, after a series of reviews, is to cut and remove a concrete slab 1.8 m × 1.8 m and cast the crushed stone layer disrupted from the explosion, followed by repairing the removed damaged concrete slab sections using rapid hardening concrete. Full article
(This article belongs to the Special Issue Innovative Protection Facility and CBRNE Effects)
Show Figures

Figure 1

13 pages, 5871 KB  
Article
Identification of Aluminium Powder Properties for Modelling Free Air Explosions
by Piotr W. Sielicki, James Keith Clutter, Wojciech Sumelka, Tomasz Gajewski, Michał Malendowski, Piotr Peksa and Robert Studziński
Materials 2022, 15(4), 1294; https://doi.org/10.3390/ma15041294 - 10 Feb 2022
Cited by 4 | Viewed by 2667
Abstract
Aluminium is a component in many energetic formulations. Therefore, its combustion is one of the main thermochemical processes that govern the output from the energetics. Modelling aluminium combustion is a challenging task because the process is highly complex and difficult to measure. Here, [...] Read more.
Aluminium is a component in many energetic formulations. Therefore, its combustion is one of the main thermochemical processes that govern the output from the energetics. Modelling aluminium combustion is a challenging task because the process is highly complex and difficult to measure. Here, tests of aluminium powder were conducted in an effort to isolate the burning of the aluminium and to determine an adequate representation of this process. Charges of 100 g and 500 g were tested, and the size of the Al/air cloud and the ratio of components in the Al/air mixture were determined, which has not been published previously. This information was used to assess the validity of the assumption that the detonation of the mixture was representative of the event. Parameters for the Jones–Wilkins–Lee equation of state for the explosive mixture and detonation products were defined. Simulations of the tests were performed, and the results were consistent with the field test data, indicating that detonation occurred when there was a mixture of 70–75% Al and 25–30% air by mass. Full article
(This article belongs to the Special Issue Mechanics of Corrugated and Composite Materials)
Show Figures

Figure 1

17 pages, 2202 KB  
Review
Evaluating the Application of Rock Breakage without Explosives in Underground Construction—A Critical Review of Chemical Demolition Agents
by Kelly-Meriam Habib, Shahé Shnorhokian and Hani Mitri
Minerals 2022, 12(2), 220; https://doi.org/10.3390/min12020220 - 9 Feb 2022
Cited by 27 | Viewed by 10379
Abstract
The method of drilling and blasting with explosives is widely used in rock fragmentation applications in underground construction projects, such as tunnels and caverns. However, the use of explosives is associated with rigorous safety and environmental constraints, since blasting creates toxic fumes, ground [...] Read more.
The method of drilling and blasting with explosives is widely used in rock fragmentation applications in underground construction projects, such as tunnels and caverns. However, the use of explosives is associated with rigorous safety and environmental constraints, since blasting creates toxic fumes, ground vibrations, and dust. Because of these constraints, there has been a growing interest in transitioning away from explosives-based rock fragmentation. The use of explosives-free methods could lead to continuous operation by eliminating the need for idle time with additional ventilation required to exhaust the blast fumes. This paper first presents a critical review of various methods that have been developed so far for rock fragmentation without explosives. Such methods include thermal fragmentation, plasma blasting, controlled foam injection, radial-axial splitter, and supercritical carbon dioxide. Thermal fragmentation, as the name implies, uses high heat to spall high-grade ore. However, it requires high heat energy, which requires additional ventilation as compared to normal conditions to cool the work area. Plasma blasting uses a high temperature and pressure plasma to fracture rock in a safe manner. While this method may be environmentally friendly, its usage may significantly slow tunnel development due to the need to haul one or more large energy capacitor banks into and out of the work area repeatedly. Controlled foam injection is another chemical method, whereby foam is the medium for fracturing. Although claimed to be environmentally friendly, it may still pose safety risks such as air blast or flyrock due to its dynamic nature. A radial-axial splitter (RASP) is an instrument specially designed to fracture a borehole in the rock face but only at the pace of one hole at a time. Supercritical carbon dioxide is used with the equipment designed to provide a high-pressure jet stream to fracture rock, and replaces water in these instruments. The method of soundless chemical demolition agents (SCDA) is evaluated in more detail and its merits over others are highlighted, making it a potentially viable alternative to blasting with explosives in underground excavation applications. Future work involves the optimization of SCDA for implementation in underground mines. The discussion compares the key features and limitations, and future work needs are underlined. Full article
Show Figures

Figure 1

15 pages, 11510 KB  
Article
Numerical Simulation of a High-Speed Impact of Metal Plates Using a Three-Fluid Model
by Petr Chuprov, Pavel Utkin and Svetlana Fortova
Metals 2021, 11(8), 1233; https://doi.org/10.3390/met11081233 - 3 Aug 2021
Cited by 8 | Viewed by 2732
Abstract
The process of wave formation at the contact boundary of colliding metal plates is a fundamental basis of explosive welding technology. In this case, the metals are in a pseudo-liquid state at the initial stages of the process, and from a mathematical point [...] Read more.
The process of wave formation at the contact boundary of colliding metal plates is a fundamental basis of explosive welding technology. In this case, the metals are in a pseudo-liquid state at the initial stages of the process, and from a mathematical point of view, a wave formation process can be described by compressible multiphase models. The work is devoted to the development of a three-fluid mathematical model based on the Baer–Nunziato system of equations and a corresponding numerical algorithm based on the HLL and HLLC methods, stiff pressure, and velocity relaxation procedures for simulation of the high-speed impact of metal plates in a one-dimensional statement. The problem of collision of a lead plate at a speed of 500 m/s with a resting steel plate was simulated using the developed model and algorithm. The problem statement corresponded to full-scale experiments, with lead, steel, and ambient air as three phases. The arrival times of shock waves at the free boundaries of the plates and rarefaction waves at the contact boundary of the plates, as well as the acceleration of the contact boundary after the passage of rarefaction waves through it, were estimated. For the case of a 3-mm-thick steel plate and a 2-mm-thick lead plate, the simulated time of the rarefaction wave arrival at the contact boundary constituted 1.05 μs, and it was in good agreement with the experimental value 1.1 μs. The developed numerical approach can be extended to the multidimensional case for modeling the instability of the contact boundary and wave formation in the oblique collision of plates in the Eulerian formalism. Full article
(This article belongs to the Special Issue Numerical Analysis of Welding and Processing)
Show Figures

Figure 1

13 pages, 7406 KB  
Article
Experimental Study of Explosion Mitigation by Deployed Metal Combined with Water Curtain
by Thérèse Schunck and Dominique Eckenfels
Appl. Sci. 2021, 11(14), 6539; https://doi.org/10.3390/app11146539 - 16 Jul 2021
Cited by 4 | Viewed by 2600
Abstract
In this paper, protective barriers made of perforated plates with or without a water cover were investigated. In urban areas, such barriers could be envisaged for the protection of facades. An explosive-driven shock tube, combined with a retroreflective shadowgraph technique, was used to [...] Read more.
In this paper, protective barriers made of perforated plates with or without a water cover were investigated. In urban areas, such barriers could be envisaged for the protection of facades. An explosive-driven shock tube, combined with a retroreflective shadowgraph technique, was used to visualize the interaction of a blast wave profile with one or two plates made of expanded metal. Free-field air blast experiments were performed in order to evaluate the solution under real conditions. Configurations with either one or two grids were investigated. The transmitted pressure was measured on a wall placed behind the plate(s). It was observed that the overpressure and the impulse downstream of the plate(s) were reduced and that the mitigation performance increased with the number of plates. Adding a water layer on one grid contributed to enhance its mitigation capacity. In the setup with two plates, the addition of a water cover on the first grid induced only a modest improvement. This blast mitigation solution seems interesting for protection purposes. Full article
(This article belongs to the Special Issue Blast and Impact Engineering on Structures and Materials)
Show Figures

Figure 1

17 pages, 8226 KB  
Article
Improving Blast Performance of Reinforced Concrete Panels Using Sacrificial Cladding with Hybrid-Multi Cell Tubes
by Mahmoud Abada, Ahmed Ibrahim and S.J. Jung
Modelling 2021, 2(1), 149-165; https://doi.org/10.3390/modelling2010008 - 7 Mar 2021
Cited by 13 | Viewed by 4418
Abstract
The utilization of sacrificial layers to strengthen civilian structures against terrorist attacks is of great interest to engineering experts in structural retrofitting. The sacrificial cladding structures are designed to be attached to the façade of structures to absorb the impact of the explosion [...] Read more.
The utilization of sacrificial layers to strengthen civilian structures against terrorist attacks is of great interest to engineering experts in structural retrofitting. The sacrificial cladding structures are designed to be attached to the façade of structures to absorb the impact of the explosion through the facing plate and the core layer progressive plastic deformation. Therefore, blast load striking the non-sacrificial structure could be attenuated. The idea of this study is to construct a sacrificial cladding structure from multicellular hybrid tubes to protect the prominent bearing members of civil engineering structures from blast hazard. The hybrid multi-cell tubes utilized in this study were out of staking composite layers (CFRP) around thin-walled tubes; single, double, and quadruple (AL) thin-walled tubes formed a hybrid single cell tube (H-SCT), a hybrid double cell tube (H-DCT), and a hybrid quadruple cell tube (H-QCT). An unprotected reinforced concrete (RC) panel under the impact of close-range free air blast detonation was selected to highlight the effectiveness of fortifying structural elements with sacrificial cladding layers. To investigate the proposed problem, Eulerian–Lagrangian coupled analyses were conducted using the explicit finite element program (Autodyn/ANSYS). The numerical models’ accuracy was validated with available blast testing data reported in the literature. Numerical simulations showed a decent agreement with the field blast test. The proposed cladding structures with different core topologies were applied to the unprotected RC slabs as an effective technique for blast loading mitigation. Mid-span deflection and damage patterns of the RC panels were used to evaluate the blast behavior of the structures. Cladding structure achieved a desired protection for the RC panel as the mid-span deflection decreased by 62%, 78%, and 87% for H-SCT, H-DCT, and H-QCT cores, respectively, compared to the unprotected panels. Additionally, the influence of the skin plate thickness on the behavior of the cladding structure was investigated. Full article
(This article belongs to the Special Issue Advances in Structure Mechanics and Finite Element Modelling)
Show Figures

Figure 1

9 pages, 2259 KB  
Communication
Silica Layer Used in Sensor Fabrication from a Low-Temperature Silane-Free Procedure
by Pei-Cheng Jiang, Yu-Ting Chow, Chi-Wei Chien, Cheng-Hsun-Tony Chang and Chii-Ruey Lin
Chemosensors 2021, 9(2), 32; https://doi.org/10.3390/chemosensors9020032 - 4 Feb 2021
Cited by 4 | Viewed by 3620
Abstract
Silica (SiO2, silicon dioxide—a dielectric layer commonly used in electronic devices) is widely used in many types of sensors, such as gas, molecular, and biogenic polyamines. To form silica films, core shell or an encapsulated layer, silane has been used as a [...] Read more.
Silica (SiO2, silicon dioxide—a dielectric layer commonly used in electronic devices) is widely used in many types of sensors, such as gas, molecular, and biogenic polyamines. To form silica films, core shell or an encapsulated layer, silane has been used as a precursor in recent decades. However, there are many hazards caused by using silane, such as its being extremely flammable, the explosive air, and skin and eye pain. To avoid these hazards, it is necessary to spend many resources on industrial safety design. Thus, the silica synthesized without silane gas which can be determined as a silane-free procedure presents a clean and safe solution to manufactures. In this report, we used the radio frequency (rf = 13.56 MHz) plasma-enhanced chemical vapor deposition technique (PECVD) to form a silica layer at room temperature. The silica layer is formed in hydrogen-based plasma at room temperature and silane gas is not used in this process. The substrate temperature dominates the silica formation, but the distance between the substrate and electrode (DSTE) and the methane additive can enhance the formation of a silica layer on the Si wafer. This silane-free procedure, at room temperature, is not only safer and friendlier to the environment but is also useful in the fabrication of many types of sensors. Full article
Show Figures

Figure 1

Back to TopTop