Abstract
The utilization of hydrogen-enriched liquefied petroleum gas (LPG) is an effective means of reducing carbon emissions, but the special physical and chemical properties of hydrogen have raised concerns among the public. To delve into the intricate chemical kinetic mechanisms governing the inhibitory effect of CO2 on the explosion of hydrogen-enriched LPG, this study systematically investigated the influence of varying CO2 concentrations (3%, 6%, and 9%) on the explosion characteristics of hydrogen-enriched LPG (hydrogen ratio ranging from 0 to 0.5) within a 20 L spherical explosion chamber. Subsequently, a chemical kinetic analysis was conducted, focusing on the explosion reaction dynamics of the H2/LPG/CO2/Air mixture, encompassing temperature sensitivity assessments and the production rates of key free radicals. The findings reveal that although hydrogen incorporation does not significantly alter the maximum explosion pressure of LPG, it markedly accelerates the explosion reaction rate, posing a challenge for CO2 in effectively inhibiting the explosion of hydrogen-enriched LPG. CO2 functions as a stabilizing third body within the reaction system, diminishing the collision frequency among free radicals, hydrogen molecules, hydrocarbon molecules, and oxygen molecules, thereby slowing down the reaction rate. As the proportion of hydrogen increases, the concentration of ·H radicals, known for their high reactivity, escalates, rapidly completing the propagation phase of the chain reaction and intensifying the overall generation rates of critical free radicals, including ·H, ·O, and ·OH. Notably, the key reaction , which governs the reaction temperature, undergoes significant enhancement, further accelerating the explosion reaction rate and ultimately diminishing the inhibitory efficacy of CO2 against the hydrogenated LPG explosion. Furthermore, as the amount of hydrogen added increases, hydrogen’s competitiveness for oxygen within the reaction system markedly improves, attenuating the oxidation of hydrocarbons. Concurrently, the alkane recombination reaction, exemplified by , is strengthened. These insights provide valuable understanding of the complex interactions and mechanisms during the explosion of hydrogen-enriched LPG in the presence of CO2, with implications for the safe application of hydrogen-enriched LPG.
1. Introduction
Amidst the relentless consumption of fossil fuels, the twin challenges of energy crisis and environmental pollution have emerged as pressing global concerns [1]. To mitigate these issues, the global energy landscape has witnessed a gradual shift towards increased reliance on liquefied petroleum gas (LPG) as a component of the energy mix [2]. However, LPG’s contribution to carbon emissions cannot be overlooked, underscoring the urgency of exploring clean and efficient alternative fuels. Hydrogen, with its vast availability and carbon-neutral nature, has emerged as a promising candidate, offering an ideal solution to this dilemma [3,4]. Nevertheless, pure hydrogen’s unique physicochemical properties have hindered its widespread adoption as a fuel on a large scale [5].
Blending hydrogen with LPG presents a compelling approach to address this challenge. This strategy not only enhances the combustion performance of the fuel mixture but also reduces carbon emissions, thereby opening vast avenues for potential applications [6]. Prior investigations have demonstrated that hydrogenation significantly augments the diffusion combustion of LPG. Specifically, the addition of hydrogen substantially elevates the laminar combustion rate of LPG, with a pronounced acceleration effect observed when hydrogen content surpasses 60%. This enhancement also translates into a thinner flame front, particularly at stoichiometric concentrations, highlighting hydrogen’s profound influence on flame characteristics [7]. Furthermore, the benefits of hydrogen blending are pronounced across a range of initial pressures (0.1–0.3 MPa), with significant improvements in combustion performance observed at hydrogen concentrations exceeding 60%. When hydrogen content is increased to 80%, the adiabatic flame temperature soars by approximately 40 K, whereas the laminar flame velocity of LPG jumps from 2.2 m/s to 4.75 m/s, and the laminar combustion velocity escalates from 31 cm/s to 59.5 cm/s [8]. Miao et al. [9] further delved into the intricate interplay between hydrogen volume fraction and equivalence ratio, revealing their profound impact on the structure and dynamics of combustion processes.
It is imperative to acknowledge that the wide combustion limit, minimal ignition energy requirement, and active reactivity of hydrogen gas [10], when blended with other fuels, significantly elevate the explosion hazard [11]. Notably, the explosion potential of hydrogen-enriched methane poses the greatest concern, including the investigation of ignition traits [12,13,14], explosion pressure dynamics [15,16], explosion flame characteristics [17,18], and microscopic reaction kinetics [19,20] specific to this mixture. Conversely, the realm of hydrogen-enriched LPG explosion risks remains relatively underexplored. Prior studies have unequivocally demonstrated that the inclusion of H2 markedly escalates the explosion risk of LPG [21]. In terms of suppressing LPG explosion, Luo et al. [22] conducted a comparative analysis on the impact of N2 and CO2 on LPG explosion pressure and flame propagation velocity, revealing that CO2 exerts a superior inhibitory influence. Qiangqiang Hao et al. [12] conducted experimental and numerical simulations to investigate the enhancement mechanism of hydrogen on methane explosion reactions. The addition of hydrogen increased the generation rates of crucial free radicals, such as H, O, and OH, thereby strengthening the key elementary reactions, which macroscopically manifested as an increase in the maximum pressure rise rate.
In summary, despite extensive research into the use of CO2 as an explosion suppressor and its recognized effectiveness in inhibiting the explosions of most hydrocarbons, there have been limited reports on the suppression efficacy of CO2 against hydrogen-enriched LPG explosions. Furthermore, the underlying chemical kinetic mechanisms involved remain unclear, which is insufficient to guide industrial prevention efforts against hydrogen-enriched LPG explosions. To address this knowledge gap, the present study delves into the effect of CO2 on the explosion behavior of hydrogen-enriched LPG in a 20 L spherical explosion chamber. Furthermore, it meticulously examines the chemical reaction kinetics involved in the explosion of hydrogen-enriched LPG, particularly in the presence of CO2. The findings of this research endeavor to offer invaluable theoretical foundations for ensuring the safe utilization of hydrogen-enriched LPG fuels, thereby advancing the safety standards and practices within relevant industries.
2. Research Methods
2.1. Experimental Study
The experimental equipment employed in this study was a 20 L spherical explosion chamber, which complied with the ISO/IEC 80079-20-2-2016 standard [23]. As depicted in Figure 1, the setup primarily consisted of a 20 L stainless steel spherical tank, an ignition system, a transient pressure acquisition device, a vacuum pump, and other components. The ignition system was comprised of a high-voltage pulse generator and an ignition power supply. The ignition electrodes were spaced 3.5 mm apart and positioned at the center of the tank, with the ignition energy set to 1 J for this experiment. Experimental gases were prepared using the Dalton’s Law of Partial Pressures method (accuracy: 0.1%). A transient pressure sensor (manufactured by Endress + Hauser, Nesselwang, Germany) was installed on the inner wall to capture the explosion pressure. This sensor had a range of −0.1 to 1 MPa, a response time of 0.2 ms, and a sampling time of 2000 ms.
Figure 1.
Schematic diagram of the 20 L spherical explosion chamber structure.
The experimental procedure was as follows: First, air was evacuated from the tank to create a negative pressure environment. Subsequently, LPG, hydrogen, and CO2 were injected into the tank in specific proportions (where LPG, a complex multi-component mixture, was simplified to a mixture of 30% propane and 70% butane for this study, a common practice in LPG explosion research [24,25]). After allowing the mixture to rest for 5 min, ignition was initiated. Concurrently, the data acquisition system recorded and stored pressure variations as the mixture inside the tank ignited. All experiments were conducted under normal temperature (from 22 °C to 25 °C) and pressure (1 atm) conditions. The experimental materials are presented in Table 1. When no CO2 was added, the fuel equivalence ratio was set to 1 (cases 1–6). When CO2 was added, the corresponding amount of air was reduced (cases 7–24). To avoid verbosity, all subsequent concentration percentages refer to volume percentages and are abbreviated as %. Each experiment was repeated three times, and the average values were taken to minimize experimental error.
Table 1.
Experimental materials.
2.2. Numerical Simulation Study
The numerical simulation section of this study was conducted using CHEMKIN-PRO. Since the explosion reaction takes place within an extremely short duration and the focus of this research was primarily on the chemical reactions themselves, with the influence of flow fields on explosion characteristics being neglected, a zero-dimensional closed homogeneous adiabatic reactor model was selected as the reactor model. This reactor treats the reaction vessel as a zero-dimensional adiabatic space, considering only the time scale and ignoring the spatial impacts. Thus, the initial temperature of the reactor is the ignition temperature, the initial reaction temperature was set to 1300 K (the initial temperature of 1300 K is also adopted in similar studies [19]), and the reaction mechanism adopted was the JetSurF 2.0 model developed by Wang et al. [26], which has been extensively validated in combustion reactions involving hydrogen-enriched complex fuels [27].
As illustrated in Figure 2, we calculated the adiabatic flame temperatures of C4H10/air mixtures and C4H10/air mixtures enriched with 60 vol% H2 versus the equivalence ratio and contrasted these with previously reported literature data [28,29]. It is evident from the figure that the adiabatic temperatures computed in this study were slightly higher than those reported in the literature, with a difference not exceeding 100 °C. This discrepancy can be attributed to the fact that our computational model was zero-dimensional, neglecting heat transfer between gases. Additionally, variations in chemical reaction mechanisms can also contribute to differences in computational results. Overall, our computational results are similar to those reported in the literature, validating the rationality of our choice of reaction mechanism and reactor model.
Figure 2.
Adiabatic flame temperatures of C4H10/air mixtures and C4H10/air mixtures enriched with 60 vol% H2 versus the equivalence ratio [28,29].
3. Experimental Results and Discussion
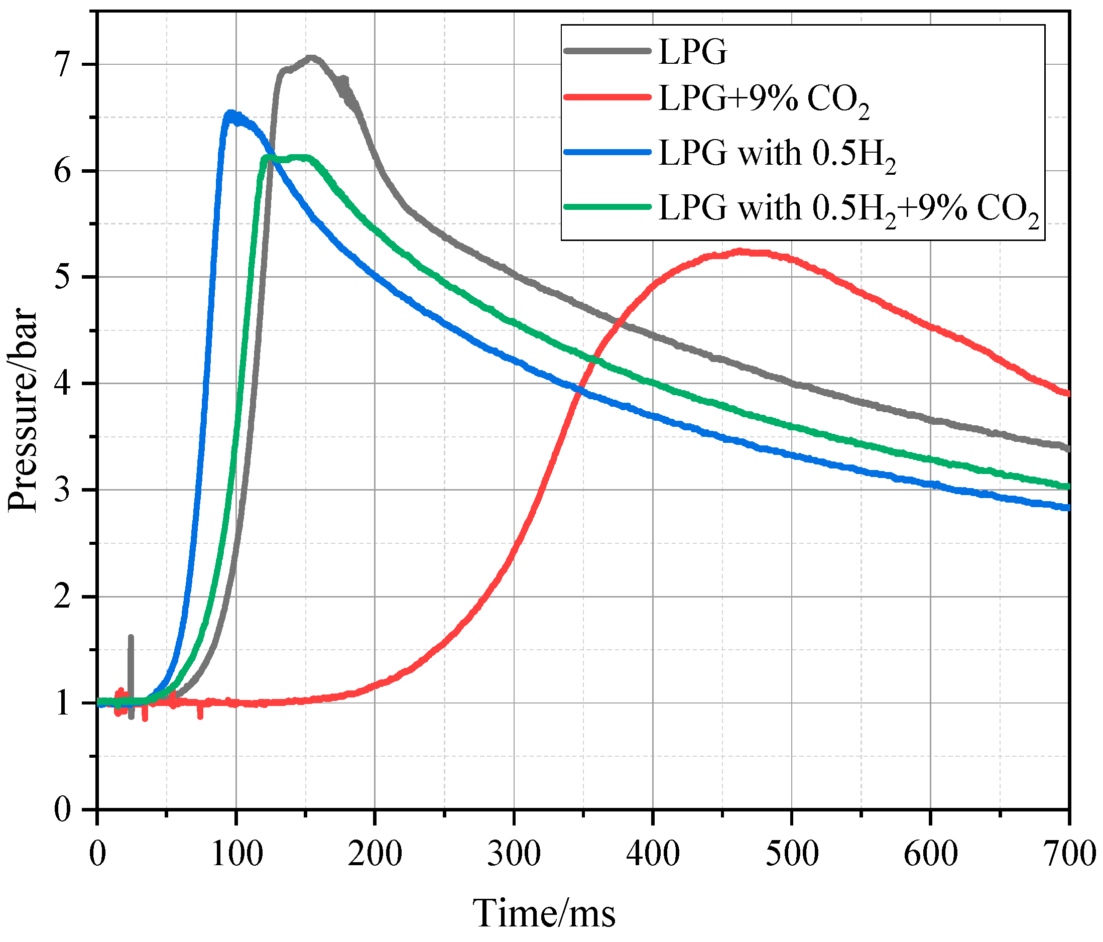
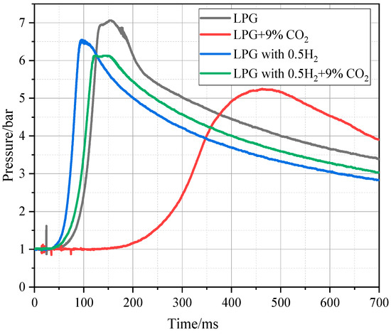
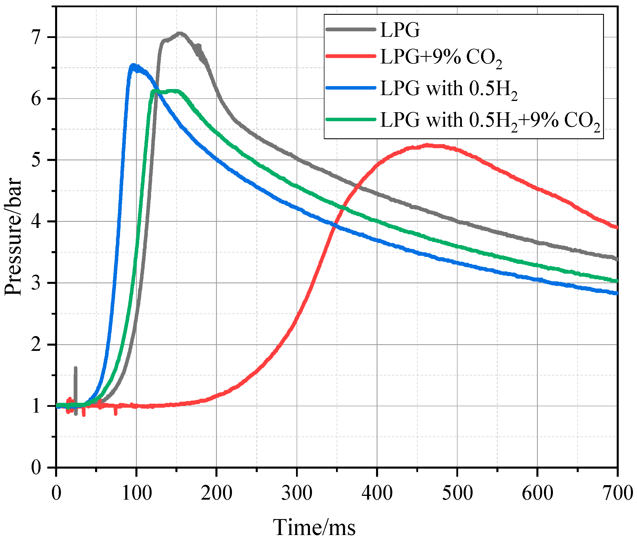
Figure 3 illustrates the development of explosion pressure curves for different reaction systems (LPG/Air, LPG/CO2/Air, LPG/H2/Air, and LPG/H2/CO2/Air). It should be noted that LPG contains other impurities and water vapor. However, in our experiments, propane and butane were used as substitutes for LPG, which may result in slight differences between the experimental data and actual LPG explosions. Although the impurities were present in low concentrations and were mostly alkanes, they do not significantly affect the explosion characteristics. As for water vapor, it generally inhibits explosion reactions. As shown, the pressure inside the tube significantly increased after ignition for all four fuel systems. Specifically, the LPG/Air system reached its maximum explosion pressure of approximately 7.03 bar at 155 ms after ignition. When 9% CO2 was added to LPG, the maximum explosion pressure was achieved at 470 ms after ignition, at approximately 5.25 bar, representing a 25% decrease in the maximum explosion pressure and a three-fold increase in the time to reach it. After adding 50% H2 to LPG, the explosion peak slightly decreased (6.53 bar, a 7% reduction), but the time to reach the maximum explosion pressure was significantly shortened (95 ms, a 39% reduction). The combustion heat of H2 was 286 kJ/mol, whereas that of C3H8 was 2220 kJ/mol, and C4H10 was 2900 kJ/mol, suggesting that LPG combustion releases more heat per unit volume. Therefore, theoretically, as the ratio of H2 in hydrogen-enriched LPG increases, the heat released by combustion will decrease, ultimately leading to a reduction in adiabatic explosion pressure. However, due to the high chemical reactivity of H2, as the ratio of H2 in hydrogen-enriched LPG increases, the explosion reaction rate also increases, ultimately resulting in a significant increase in the rate of pressure rise.
Figure 3.
Explosion pressure curves of different reaction systems.
In the LPG/H2/Air fuel system with 9% CO2 added, the maximum explosion pressure was 6.1 bar (a 6.6% reduction) and the time to reach this was 122 ms (approximately 28% longer). It is evident from the pressure curves that adding 50% H2 to LPG slightly decreased the maximum explosion pressure but significantly enhanced the explosion reaction rate. More notably, adding 9% CO2 to the LPG/Air system significantly inhibited the explosion reaction, whereas in the LPG/H2/Air system, the inhibitory effect of adding 9% CO2 was very weak.
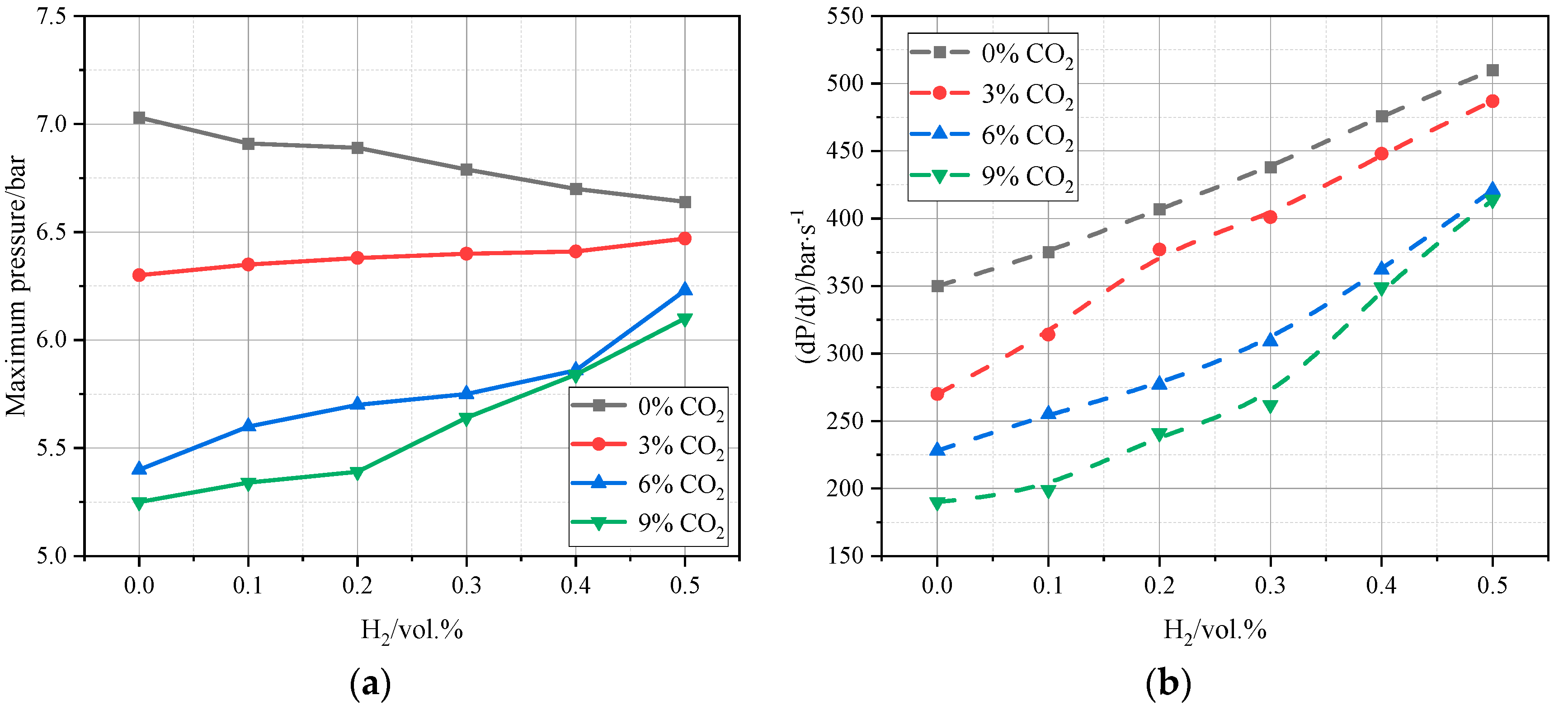
Scholars have generally reached a consensus on the excellent explosion inhibition performance of CO2 on LPG explosion reactions [21]. However, with the addition of highly reactive H2 to LPG, the evolution of the explosion inhibition performance of CO2 on hydrogen-enriched LPG explosion reactions with different hydrogen blending ratios remains unclear. To address this, we experimentally investigated the inhibitory effect of different concentrations of CO2 on hydrogen-enriched LPG explosion reactions with varying hydrogen ratios. Figure 4 presents the maximum explosion pressure (Figure 4a) and maximum pressure rise rate (Figure 4b) of hydrogen-enriched LPG under different hydrogen ratios (0–0.5) and CO2 concentrations (0–9%). As shown in the figure, the blending of hydrogen had no significant effect on the maximum explosion pressure of LPG. With an increase in the hydrogen ratio, the maximum explosion pressure slightly decreased, but significantly increased the maximum pressure rise rate. The inhibitory effect of CO2 on hydrogen-enriched LPG explosions with different hydrogen ratios varies. When the hydrogen ratio is greater than 0.3, even at a CO2 concentration of 9%, the reductions in both the maximum explosion pressure and the maximum pressure rise rate are relatively small. The reason for this is that as the proportion of hydrogen increases, the reaction system gradually transitions from an explosion reaction dominated by the oxidation of LPG to one dominated by the oxidation of hydrogen. Therefore, under conditions of higher hydrogen content, the inhibitory effect of CO2 on the explosion reaction is weakened, and this weakening effect becomes more pronounced at higher CO2 volume fractions.
Figure 4.
The influence of different CO2 concentrations (0–9%) on the explosion characteristic parameters of hydrogen-enriched LPG under different hydrogen blending ratios (0–0.5). (a) Maximum pressure; (b) maximum pressure rise rate.
The maximum pressure rise rate is a concrete manifestation of the energy release rate, which can reflect the explosion reaction rate. Blending H2 into LPG can significantly increase the explosion reaction rate. As the ratio of H2 increases, the explosion reaction rate becomes faster, which increases the difficulty of inhibiting the explosion reaction. Consequently, after blending H2 into LPG, the inhibitory effect of CO2 on the explosion reaction of hydrogen-enriched LPG is weakened, and this weakening effect becomes more pronounced with an increase in the H2 ratio.
The Increase In the ratio of H2 in hydrogen-enriched LPG has two effects on the explosion. On the one hand, it reduces the total heat release, thereby lowering the explosion pressure. On the other hand, it significantly enhances the reaction rate and complicates explosion suppression. Consequently, the experimental results demonstrate a slight decrease in explosion pressure as the H2 ratio increases, accompanied by a gradual weakening of the explosion suppression effect of CO2. When the hydrogen ratio is below 0.3, the explosion reaction is primarily dominated by the oxidation of LPG, and CO2 can effectively suppress the LPG explosion reaction, thereby exhibiting a more pronounced explosion suppression effect. Conversely, when the H2 ratio exceeds 0.3, the explosion reaction is primarily fueled by H2, and the suppression effect of CO2 on the H2 oxidation reaction is feeble, leading to only a marginal explosion suppression effect of CO2 on hydrogen-enriched LPG. In the subsequent sections, we delve into the underlying reasons for the variation patterns of maximum explosion pressure and maximum pressure rise rates under different conditions from the perspective of chemical kinetic mechanisms.
4. Chemical Kinetic Analysis
4.1. Temperature Sensitivity Analysis
The transient release of energy is the fundamental reason for the increase in ambient pressure during an explosion, whereas changes in the temperature of the reaction system are a specific manifestation of energy release. Therefore, this study measured the explosion pressure during experiments, and this section focuses on analyzing the temperature sensitivity of elementary reactions under various conditions. Table 2 lists the elementary reactions with relatively large temperature sensitivity coefficients under various conditions. The serial numbers are derived from the numbering of each elementary reaction in the JetSurF 2.0 mechanism file. To facilitate comparison with similar studies, this paper adopts the serial numbers of elementary reactions in the JetSurF 2.0 mechanism file instead of the corresponding reactions themselves.
Table 2.
Elementary reactions with high temperature sensitivity.
(1) Evolution of the temperature sensitivity coefficient over time
Figure 5 presents the top 10 elementary reactions with the highest temperature sensitivity for hydrogen-enriched LPG with a H2/LPG ratio of 3/7 ignited at a high temperature of 1300 K under atmospheric pressure (case 4). Among these reactions, those with positive temperature sensitivity coefficients contribute to an increase in the reaction system’s temperature, whereas those with negative coefficients inhibit the temperature rise. As shown in the figure, the primary reactions promoting temperature increase are 1# and 92# , both of which involve ·OH, highlighting the crucial role of ·OH as the main activation center in the explosion reaction of hydrogen-enriched LPG. In contrast, the reactions inhibiting temperature increase mainly include the combination reactions between radicals, such as 626# , 100# , 356# , and 630# .
Figure 5.
Temperature sensitivity analysis of LPG/H2/Air (case 4).
Figure 6 depicts the top 10 elementary reactions with the highest temperature sensitivity for the LPG/H2/CO2/Air mixture with 6% CO2 addition and a hydrogen/LPG ratio of 3/7, ignited at a high temperature of 1300 K under atmospheric pressure (case 16). As shown in Figure 5 and Figure 6, the top 10 elementary reactions with the highest temperature sensitivity are consistent in both cases. However, it is noteworthy that after adding 6% CO2, the time for each elementary reaction to reach the peak temperature sensitivity coefficient was delayed (73 ms without CO2 addition versus 84 ms with 6% CO2 addition). This observation, to a certain extent, can explain the experimental phenomenon in which adding a certain amount of CO2 to hydrogen-enriched LPG reduces the maximum pressure rise rate.
Figure 6.
Temperature sensitivity analysis of LPG/H2/CO2/Air (case 16).
(2) The Effect of H2 on the LPG Explosion Reaction
As shown in Figure 7, the addition of hydrogen has a significant impact on the temperature sensitivity of elementary reactions. The decomposition of hydrogen generates a large amount of ·H radicals, enhancing the oxygen-competing ability of ·H radicals with other radicals. Hydrogen significantly promotes the elementary reaction, which contributes the most to increases in the reaction system temperature. Moreover, this promotion effect becomes more pronounced as the proportion of hydrogen increases. Simultaneously, due to the decrease in the proportion of LPG and the enhancement of reactions between ·H radicals and oxygen, a series of hydrocarbon oxidation elementary reactions related to LPG and its decomposition products, such as and , are significantly weakened.
Figure 7.
Temperature sensitivity analysis of LPG/H2/Air explosion elementary reactions with different additions of H2.
Overall, the 1# elementary reaction plays a decisive role in influencing the temperature of the reaction system, and this dominant position becomes more pronounced as the proportion of hydrogen increases. Additionally, the reaction generates ·O and ·OH radicals, which serve as crucial activation centers in chain reactions, playing a decisive role in both the explosion reaction rate and the release of explosion energy. Consequently, macroscopically, the maximum pressure rise rate of the H2/LPG mixture increases with increasing proportions of hydrogen. On the other hand, as the concentration of ·H radicals in the reaction system increases, the elementary reaction , which inhibits temperature rise, is strengthened. Therefore, the addition of H2 to LPG does not significantly alter the maximum explosion pressure.
(3) The Effect of CO2 on the Hydrogen-Enriched LPG Explosion Reaction
As previously mentioned, the micro-mechanism of the explosion reaction changes when a certain amount of H2 is added to LPG, and the inhibition mechanism of CO2 on hydrogen-enriched LPG is inevitably different from that on LPG alone. Figure 8 presents the temperature sensitivity coefficients of the explosion reaction for CO2/H2/LPG mixtures under conditions with hydrogen proportions of 0, 0.1, 0.2, 0.3, 0.4, and 0.5, and with CO2 additions of 3%, 6%, and 9%, respectively.

Figure 8.
Temperature sensitivity of CO2/H2/LPG explosion elementary reactions (H2 ratio: 0–0.5, CO2 addition: 3–9%). (a) 0.0 H2; (b) 0.1 H2; (c) 0.2 H2; (d) 0.3 H2; (e) 0.4 H2; and (f) 0.5 H2.
As shown in Figure 8, from an overall perspective, the 1# elementary reaction holds a decisive dominant position in influencing the temperature of the reaction system under all conditions. With the increase in CO2 addition, the reaction is gradually weakened; however, as the H2 addition increases, the weakening effect of CO2 on the reaction gradually diminishes. This is primarily due to the decomposition of H2, which provides a significant amount of ·H radicals to the reaction system, thereby enhancing the reaction. When the hydrogen ratio reaches 0.3 with 9% CO2 addition, the elementary reaction exits the top 10 in terms of temperature sensitivity. When the hydrogen ratio increases to 0.4, the reaction is no longer among the top 10 in temperature sensitivity for both 6% and 9% CO2 additions. Upon further increasing the hydrogen ratio to 0.5, the reaction is not among the top 10 in temperature sensitivity for all CO2 concentrations. This is primarily attributed to the significantly higher chemical reactivity of H2 compared to LPG. As H2 addition increases, the oxygen-competing ability of hydrogen in the reaction system is significantly enhanced, thereby weakening the oxidation reactions of hydrocarbons. Simultaneously, the combination reaction between hydrocarbon radicals, such as , is strengthened. On the other hand, in an oxygen-lean reaction system, the oxygen-competing effect of H2 is more pronounced. Therefore, as the concentrations of H2 and CO2 increase, the oxidation reactions of hydrocarbon molecules are weakened, and the strengthening of the combination reactions between hydrocarbon radicals becomes more evident.
In the reaction system, CO2 serves as a stable third body, reducing the collision probabilities between radicals and radicals, radicals and fuel molecules, and radicals and oxygen molecules. This phenomenon is consistent in both the explosive reactions of H2 and hydrocarbons. There are three reasons why the inhibitory effect of CO2 on the explosion diminishes when the H2 ratio is increased in the reaction system. Firstly, CO2 is one of the primary products of hydrocarbon fuel reactions, and the presence of a large amount of CO2 in the system is detrimental to the forward oxidation reactions of hydrocarbons. Moreover, beyond its role as a third body, CO2 has no additional effect on the oxidation reaction of hydrogen. Secondly, as the H2 ratio in the reaction system increases, the primary source of energy in the system becomes the oxidation reaction of H2, which is extremely rapid and favors the concentrated release of energy, thereby hindering CO2′s ability to inhibit the explosion. Thirdly, with an increased H2 ratio, the concentration of H radicals in the reaction increases. H radicals are one of the important activation centers, which can enhance the oxidation reaction rate of hydrocarbons. In summary, the experimental results show that as the amount of CO2 added increases, the explosion intensity of hydrogen-enriched LPG gradually decreases. However, as the H2 ratio gradually increases, the inhibitory effect of CO2 on hydrogen-enriched LPG diminishes.
4.2. Key Free Radical Production Rate
As mentioned in Section 3, the 1# elementary reaction plays a dominant role in influencing temperature in the reaction system. The ·H, ·O, and ·OH radicals involved in this reaction are crucial for determining the chain propagation rate of the explosion chain reactions in hydrocarbon fuels, which ultimately decides the severity of the explosion. Therefore, this section focuses on analyzing the generation rates of these three radicals.
As depicted in Figure 9, the total production rates of ·H, ·O, and ·OH radicals increase significantly with the increase in the H2 ratio; however, they decrease markedly with the addition of CO2. The decomposition of one H2 molecule produces two ·H radicals, which possess high activation ability, enabling the chain propagation stage of the reaction to complete within an extremely short time. Consequently, the increase in the hydrogen proportion leads to an enhancement in the total generation rates of these key radicals. In contrast, CO2 acts as a stable third body in the reaction system, reducing the collision probabilities between radicals, hydrogen molecules, hydrocarbons, and oxygen molecules, thereby decreasing the reaction rates. Therefore, the total generation rates of the key radicals decrease with the increase in CO2 addition. This observation partially explains the influence patterns of H2 and CO2 on the temperature sensitivity coefficients of the elementary reactions involved in LPG explosions, as discussed in Section 3.

Figure 9.
The total rate of production of key free radicals. (a) H; (b)·O; and (c) OH.
5. Conclusions
To investigate the chemical kinetic mechanisms of CO2′s inhibition on hydrogen-enriched LPG explosion reactions, this study first experimentally obtained the maximum explosion pressures and maximum pressure rise rates of H2/LPG/CO2/Air mixtures with varying concentrations of CO2 and H2 ratios in a 20 L spherical explosion chamber. Subsequently, CHEMKIN-PRO was utilized to analyze the temperature sensitivity and key radical production rates during the explosion reaction process of the mixtures, leading to the following conclusions:
- H2 has no significant effect on the maximum explosion pressure of LPG but significantly enhances the maximum pressure rise rate. CO2 exhibits a certain inhibitory effect on hydrogen-enriched LPG explosion reactions, which diminishes gradually with an increasing H2 ratio.
- The 1# elementary reaction is pivotal in determining the reaction temperature. As the H2 ratio increases, the 1# elementary reaction is significantly enhanced, leading to an acceleration of the explosion reaction rate. Additionally, the increased H2 ratio enhances the oxygen-competing ability of hydrogen in the reaction system, thereby weakening the oxidation reactions of hydrocarbon. Simultaneously, the combination reaction between hydrocarbon radicals, , is strengthened. In an oxygen-lean reaction system, the oxygen-competing effect of H2 becomes more pronounced. Therefore, as the concentrations of H2 and CO2 increase, the oxidation reactions of hydrocarbon molecules are weakened, and the strengthening of hydrocarbon radical combination reactions becomes more evident.
- The ·H radicals generated by H2 decomposition possess high activation ability, enabling the chain propagation stage of the reaction to complete within an extremely short time, resulting in an increase in the total production rates of key radicals. In contrast, CO2 acts as a stable third body in the reaction system, reducing the collision probabilities between radicals, hydrogen molecules, hydrocarbons, and oxygen molecules, thus decreasing the reaction rates.
- This paper conducts a chemical kinetic analysis within a zero-dimensional reactor. Nevertheless, in practical scenarios, the addition of H2 inevitably introduces spatial-related factors, such as instability and gas mixing, which can significantly impact the explosion reaction. These aspects represent important considerations for future research endeavors.
Author Contributions
Conceptualization, L.B.; methodology, L.B. and F.C.; software, F.C. and Y.D.; validation, L.B. and F.C.; formal analysis, L.B.; investigation, L.B.; resources, F.C.; data curation, L.B. and Y.D.; writing—original draft preparation, L.B.; writing—review and editing, L.B. and F.C.; visualization, Y.D.; supervision, L.B.; project administration, L.B.; funding acquisition, F.C. All authors have read and agreed to the published version of the manuscript.
Funding
This research was funded by the National Natural Science Foundation of China (grant number [52104214]) and the Shaanxi Provincial Engineering Center after the subsidy project (grant number [2024ZG-GCZH-21]). The APC was funded by the National Natural Science Foundation of China.
Data Availability Statement
The data from this study are available from the corresponding author upon reasonable request.
Conflicts of Interest
The authors declare no conflicts of interest.
References
- Peters, G.P.; Andrew, R.M.; Canadell, J.G.; Friedlingstein, P.; Jackson, R.B.; Korsbakken, J.I.; Le Quéré, C.; Peregon, A. Carbon dioxide emissions continue to grow amidst slowly emerging climate policies. Nat. Clim. Chang. 2019, 10, 3–6. [Google Scholar] [CrossRef]
- Kar, A.; Tawiah, T.; Graham, L.; Owusu-Amankwah, G.; Daouda, M.; Malagutti, F.; Chillrud, S.; Harned, E.E.; Iddrisu, S.; Apraku, E.A.; et al. Factors associated with the use of liquefied petroleum gas in Ghana vary at different stages of transition. Nat. Energy 2024, 9, 434–445. [Google Scholar] [CrossRef]
- Kaheel, S.; Ibrahim, K.A.; Fallatah, G.; Lakshminarayanan, V.; Luk, P.; Luo, Z. Advancing Hydrogen: A Closer Look at Implementation Factors, Current Status and Future Potential. Energies 2023, 16, 7975. [Google Scholar] [CrossRef]
- Ziobrowski, Z.; Rotkegel, A. Assessment of Hydrogen Energy Industry Chain Based on Hydrogen Production Methods, Storage, and Utilization. Energies 2024, 17, 1808. [Google Scholar] [CrossRef]
- Li, H.; Cao, X.; Liu, Y.; Shao, Y.; Nan, Z.; Teng, L.; Peng, W.; Bian, J. Safety of hydrogen storage and transportation: An overview on mechanisms, techniques, and challenges. Energy Rep. 2022, 8, 6258–6269. [Google Scholar] [CrossRef]
- Safari, A.; Roy, J.; Assadi, M. Petroleum Sector-Driven Roadmap for Future Hydrogen Economy. Appl. Sci. 2021, 11, 10389. [Google Scholar] [CrossRef]
- Miao, J.; Leung, C.; Huang, Z.; Cheung, C.; Yu, H.; Xie, Y. Laminar burning velocities, Markstein lengths, and flame thickness of liquefied petroleum gas with hydrogen enrichment. Int. J. Hydrogen Energy 2014, 39, 13020–13030. [Google Scholar] [CrossRef]
- Yasiry, A.S.; Shahad, H.A.K. An experimental study of the effect of hydrogen blending on burning velocity of LPG at elevated pressure. Int. J. Hydrogen Energy 2016, 41, 19269–19277. [Google Scholar] [CrossRef]
- Miao, J.; Leung, C.; Cheung, C.; Huang, Z.; Jin, W. Effect of H2 addition on OH distribution of LPG/Air circumferential inverse diffusion flame. Int. J. Hydrogen Energy 2016, 41, 9653–9663. [Google Scholar] [CrossRef]
- Alcock, J.L.; Shirvill, L.C.; Cracknell, R.F. Compilation of Existing Safety Data on Hydrogen and Comparative Fuels; Shell Global Solutions: Houston, TX, USA, 2001; pp. 1–14. [Google Scholar]
- Zhou, S.; Xiao, J.; Luo, Z.; Kuznetsov, M.; Chen, Z.; Jordan, T.; Banuti, D.T. Analysis of spontaneous ignition of hydrogen-enriched methane in a rectangular tube. Proc. Combust. Inst. 2024, 40, 105681. [Google Scholar] [CrossRef]
- Hao, Q.; Luo, Z.; Wang, T.; Xie, C.; Zhang, S.; Bi, M.; Deng, J. The flammability limits and explosion behaviours of hydrogen-enriched methane-air mixtures. Exp. Therm. Fluid Sci. 2021, 126, 110395. [Google Scholar] [CrossRef]
- Zhao, P.; Tan, X.; Schmidt, M.; Wei, A.; Huang, W.; Qian, X.; Wu, D. Minimum explosion concentration of coal dusts in air with small amount of CH4/H2/CO under 10-kJ ignition energy conditions. Fuel 2020, 260, 116401. [Google Scholar] [CrossRef]
- Gokulakrishnan, P.; Fuller, C.; Klassen, M.; Davidson, D.; Hanson, R. Experimental and modeling of autoignition of gaseous hydrocarbon fuels in the presence of H2 and C2H4. Fuel 2021, 296, 120713. [Google Scholar] [CrossRef]
- Bykovskii, F.A.; Zhdan, S.A.; Vedernikov, E.F. Continuous Detonation of CH4/H2–Air Mixtures in an Annular Combustor with Varied Geometry. Combust. Explos. Shock Waves 2020, 56, 537–544. [Google Scholar] [CrossRef]
- Li, J.; Pan, J.; Jiang, C.; Ni, J.; Pan, Z.; Otchere, P. Effect of hydrogen addition on the detonation performances of methane/oxygen at different equivalence ratios. Int. J. Hydrogen Energy 2019, 44, 27974–27983. [Google Scholar] [CrossRef]
- Lim, Z.; Li, J.; Morgans, A.S. The effect of hydrogen enrichment on the forced response of CH4/H2/Air laminar flames. Int. J. Hydrogen Energy 2021, 46, 23943–23953. [Google Scholar] [CrossRef]
- Xie, Y.; Li, Q. A review on mixing laws of laminar flame speed and their applications on H2/CH4/CO/air mixtures. Int. J. Hydrogen Energy 2020, 45, 20482–20490. [Google Scholar] [CrossRef]
- Su, B.; Luo, Z.; Wang, T.; Xie, C.; Cheng, F. Chemical kinetic behaviors at the chain initiation stage of CH4/H2/air mixture. J. Hazard. Mater. 2021, 403, 123680. [Google Scholar] [CrossRef]
- Wang, D.; Ji, C.; Wang, S.; Meng, H.; Wang, Z.; Yang, J. Further understanding the premixed methane/hydrogen/air combustion by global reaction pathway analysis and sensitivity analysis. Fuel 2019, 259, 116190. [Google Scholar] [CrossRef]
- Wang, J.; Liang, Y. Effect of hydrogen on explosion characteristics of liquefied petroleum gas-air mixtures. Int. J. Hydrogen Energy 2021, 47, 4255–4263. [Google Scholar] [CrossRef]
- Luo, Z.; Wei, C.; Wang, T.; Su, B.; Cheng, F.; Liu, C.; Wang, Y. Effects of N2 and CO2 dilution on the explosion behavior of liquefied petroleum gas (LPG)-air mixtures. J. Hazard. Mater. 2021, 403, 123843. [Google Scholar] [CrossRef] [PubMed]
- ISO/IEC 80079-20-2-2016; Explosive Atmospheres—Part 20-2: Material Characteristics. CEN-CENELEC: Brussels, Belgium, 2016.
- Zhao, Z.; Liang, Y.; Guo, B.; Song, S.; Bai, J. Explosion dynamics of premixed LPG/H2 fuel in a confined space. Int. J. Hydrogen Energy 2023, 48, 36211–36221. [Google Scholar] [CrossRef]
- Pei, B.; Han, Y.; Chen, L.; Hu, Z.; Wu, Z.; Lv, H.; Ji, W. Study on the Synergistic Suppression Effect and Mechanism of N2/Ultrafine Water Mist on Liquefied Petroleum Gas Explosion. ACS Omega 2024, 9, 14539–14550. [Google Scholar] [CrossRef] [PubMed]
- Wang, H.; Dames, E.; Sirjean, B.; Sheen, D.A.; Tango, R.; Violi, A.; Lai, J.Y.W.; Egolfopoulos, F.N.; Davidson, D.F.; Hanson, R.K.; et al. A High-Temperature Chemical Kinetic Model of n-Alkane (Up to n-Dodecane), Cyclohexane, and Methyl-, Ethyl-, n-Propyl and n-Butyl-Cyclohexane Oxidation at High Temperatures, JetSurF Version 2.0. 19 September 2010. Available online: http://web.stanford.edu/group/haiwanglab/JetSurF/JetSurF2.0/index.html (accessed on 15 August 2024).
- Jiang, X.; Chen, J.; Huang, W.; Zhao, H. Interpreting the effect of hydrogen addition on the auto-ignition of branched alkane: A case study of iso-butane/hydrogen/O2/Air mixtures. Fuel 2021, 284, 119019. [Google Scholar] [CrossRef]
- Ren, F.; Chu, H.; Xiang, L.; Han, W.; Gu, M. Effect of hydrogen addition on the laminar premixed combustion characteristics themain components of natural gas. J. Energy Inst. 2019, 92, 1178–1190. [Google Scholar] [CrossRef]
- Sankar, V.; V, J.E.; Mohammad, A.; Velamati, R.K.V. Effect of hydrogen addition on laminar burning velocity of liquefied petroleum gas blends. Energy Fuels 2020, 34, 798–805. [Google Scholar] [CrossRef]
Disclaimer/Publisher’s Note: The statements, opinions and data contained in all publications are solely those of the individual author(s) and contributor(s) and not of MDPI and/or the editor(s). MDPI and/or the editor(s) disclaim responsibility for any injury to people or property resulting from any ideas, methods, instructions or products referred to in the content. |
© 2024 by the authors. Licensee MDPI, Basel, Switzerland. This article is an open access article distributed under the terms and conditions of the Creative Commons Attribution (CC BY) license (https://creativecommons.org/licenses/by/4.0/).










