Sign in to use this feature.

Years

Between: -

Subjects

remove_circle_outline
remove_circle_outline
remove_circle_outline
remove_circle_outline
remove_circle_outline
remove_circle_outline
remove_circle_outline
remove_circle_outline
remove_circle_outline

Journals

Article Types

Countries / Regions

Search Results (141)

Search Parameters:
Keywords = free volume theory

Order results
Result details
Results per page
Select all
Export citation of selected articles as:
14 pages, 6390 KB  
Article
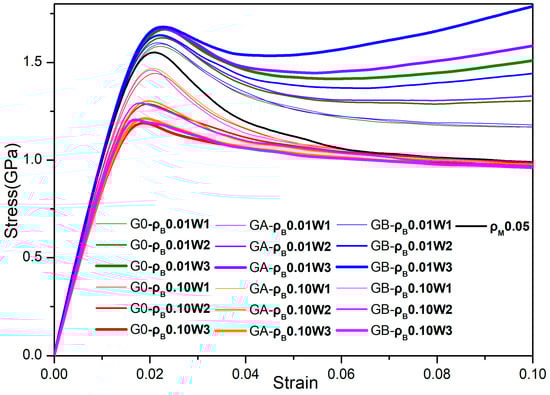
Gradient Interfaces Induce the Temporal and Spatial Stress Localization in Gradient Network-Structured Metallic Glasses Composites
by Yongwei Wang, Guangping Zheng and Mo Li
Metals 2025, 15(10), 1106; https://doi.org/10.3390/met15101106 (registering DOI) - 4 Oct 2025
Abstract
Gradient structure provides an effective approach to improve the combination of high strength and toughness compared to a uniform one. The gradient interfaces or boundaries in gradient-structured metallic glass composites play a crucial role in influencing mechanical properties. Our findings indicate the gradient [...] Read more.
Gradient structure provides an effective approach to improve the combination of high strength and toughness compared to a uniform one. The gradient interfaces or boundaries in gradient-structured metallic glass composites play a crucial role in influencing mechanical properties. Our findings indicate the gradient microstructure significantly induces temporal and spatial stress localization, which can modulate the generation and propagation of shear bands. The synergistic gradient effects generated by heterogeneous grain sizes and interface characteristics can enhance both the strength (yield stress and peak stress) and the toughness of gradient network-structured metallic glass composites as the grain size gradient and the boundary width increase. Our work demonstrates the appropriate gradient of grain size, and the boundary structure should potentially lead to enhanced work hardening. Full article
(This article belongs to the Section Metal Matrix Composites)
Show Figures

Figure 1

19 pages, 1200 KB  
Article
Wave Load Reduction and Tranquility Zone Formation Using an Elastic Plate and Double Porous Structures for Seawall Protection
by Gagan Sahoo, Harekrushna Behera and Tai-Wen Hsu
Mathematics 2025, 13(17), 2733; https://doi.org/10.3390/math13172733 - 25 Aug 2025
Viewed by 459
Abstract
This study presents an analytical model to reduce the impact of wave-induced forces on a vertical seawall by introducing a floating elastic plate (EP) located at a specific distance from two bottom-standing porous structures (BSPs). The hydrodynamic interaction with the EP is described [...] Read more.
This study presents an analytical model to reduce the impact of wave-induced forces on a vertical seawall by introducing a floating elastic plate (EP) located at a specific distance from two bottom-standing porous structures (BSPs). The hydrodynamic interaction with the EP is described using thin plate theory, while the fluid flow through the porous medium is described by the model developed by Sollit and Cross. The resulting boundary value problem is addressed through linear potential theory combined with the eigenfunction expansion method (EEM), and model validation is achieved through consistency checks with recognized results from the literature. A comprehensive parametric analysis is performed to evaluate the influence of key system parameters such as the porosity and frictional coefficient of the BSPs, their height and width, the flexural rigidity of the EP, and the spacing between the EP and BSPs on vital hydrodynamic coefficients, including the wave force on the seawall, free surface elevation, wave reflection coefficient, and energy dissipation coefficient. The results indicate that higher frictional coefficients and higher BSP heights significantly enhance wave energy dissipation and reduce reflection, in accordance with the principle of energy conservation. Oscillatory trends observed with respect to wavenumbers in the reflection and dissipation coefficients highlight resonant interactions between the structures. Moreover, compared with a single BSP, the double BSP arrangement is more effective in minimizing the wave force on the seawall and free surface elevation in the region between the EP and the wall, even when the total volume of porous material remains unchanged. The inter-structural gap is found to play a crucial role in optimizing resonance conditions and supporting the formation of a tranquility zone. Overall, the proposed configuration demonstrates significant potential for coastal protection, offering a practical and effective solution for reducing wave loads on marine infrastructure. Full article
Show Figures

Figure 1

24 pages, 3339 KB  
Article
DFT-Based Functionalization of Graphene with Lithium-Modified Groups for Enhanced Hydrogen Detection: Thermodynamic, Electronic, and Spectroscopic Properties
by Norma A. Rangel-Vázquez, Adrián Bonilla-Petriciolet, Edgar A. Márquez-Brazón, Yectli Huerta, Rosa Zavala-Arce and Juan D. Rodríguez-Macías
Nanomaterials 2025, 15(16), 1234; https://doi.org/10.3390/nano15161234 - 13 Aug 2025
Viewed by 636
Abstract
This study investigates the impact of oxygen-containing functional groups (COO-Li, CO-Li, and O-Li) on the electronic and optical properties of graphene, with a focus on hydrogen sensing applications. Using density functional theory (DFT) calculations, we evaluated the thermodynamic feasibility of the functionalization and [...] Read more.
This study investigates the impact of oxygen-containing functional groups (COO-Li, CO-Li, and O-Li) on the electronic and optical properties of graphene, with a focus on hydrogen sensing applications. Using density functional theory (DFT) calculations, we evaluated the thermodynamic feasibility of the functionalization and hydrogen adsorption processes. The Gibbs free energy changes (ΔG) for the functionalization of pristine graphene were calculated as −1233, −1157, and −1119 atomic units (a.u.) for COO-Li, CO-Li, and O-Li, respectively. These negative values indicate that the functionalization processes are spontaneous (ΔG < 0), with COO-Li being the most thermodynamically favorable. Furthermore, hydrogen adsorption on the functionalized graphene surfaces also exhibited spontaneous behavior, with ΔG values of −1269, −1204, and −1175 a.u., respectively. These results confirm that both functionalization and subsequent hydrogen adsorption are energetically favorable, enhancing the potential of these materials for hydrogen sensing applications. Among the functional groups we simulated, COO-Li exhibited the largest surface area and volume, which were attributed to the high electronegativity and steric influence of the carboxylate moiety. Based on the previously described results, we analyzed the interaction of these functionalized graphene systems with molecular hydrogen. The adsorption of two H2 molecules per system demonstrated favorable thermodynamics, with lithium atoms serving as active sites for external adsorption. The presence of lithium atoms significantly enhanced hydrogen affinity, suggesting strong potential for sensing applications. Further, electronic structure analysis revealed that all functionalized systems exhibit semiconducting behavior, with band gap values modulated by the nature of the functional group. FTIR (Fourier-Transform Infrared Spectroscopy) and Raman spectroscopy confirmed the presence of characteristic vibrational modes associated with Li-H interactions, particularly in the 659–500 cm−1 range. These findings underscore the promise of lithium-functionalized graphene, especially with COO-Li, as a tunable platform for hydrogen detection, combining favorable thermodynamics, tailored electronic properties, and spectroscopic detectability. Full article
(This article belongs to the Special Issue The Interaction of Electron Phenomena on the Mesoscopic Scale)
Show Figures

Graphical abstract

38 pages, 16643 KB  
Article
Numerical Investigation of Inclination Effects on a Submerged Plate as Breakwater and Wave Energy Converter Under Realistic Sea State Waves
by Vitor Eduardo Motta, Gabrielle Ücker Thum, Maycon da Silveira Paiva, Rafael Adriano Alves Camargo Gonçalves, Luiz Alberto Oliveira Rocha, Elizaldo Domingues dos Santos, Bianca Neves Machado and Liércio André Isoldi
J. Mar. Sci. Eng. 2025, 13(8), 1438; https://doi.org/10.3390/jmse13081438 - 28 Jul 2025
Viewed by 413
Abstract
This study investigates the influence of inclination on a submerged plate (SP) device acting as both a breakwater (BW) and a wave energy converter (WEC) subjected to representative regular and realistic irregular waves of a sea state across 11 inclination angles. Numerical simulations [...] Read more.
This study investigates the influence of inclination on a submerged plate (SP) device acting as both a breakwater (BW) and a wave energy converter (WEC) subjected to representative regular and realistic irregular waves of a sea state across 11 inclination angles. Numerical simulations were conducted using ANSYS Fluent. Regular waves were generated by Stokes’s second-order theory, while the WaveMIMO technique was employed to generate irregular waves. Using the volume of fluid (VOF) method to model the water–air interaction, both approaches generate waves by imposing their vertical and horizontal velocity components at the inlet of the wave flume. The SP’s performance as a BW was analyzed based on the upstream and downstream free surface elevations of the device; in turn, its performance as a WEC was determined through its axial velocity beneath the plate. The results indicate that performance varies between regular and irregular wave conditions, underscoring the importance of accurately characterizing the sea state at the intended installation site. These findings demonstrate that the inclination of the SP plays a critical role in balancing its dual functionality, with certain configurations enhancing WEC efficiency by over 50% while still offering relevant BW performance, even under realistic irregular sea conditions. Full article
(This article belongs to the Section Coastal Engineering)
Show Figures

Figure 1

14 pages, 1220 KB  
Article
Viscoelastic Response of Double Hydrophilic Block Copolymers for Drug Delivery Applications
by Achilleas Pipertzis, Angeliki Chroni, Stergios Pispas and Jan Swenson
Polymers 2025, 17(13), 1857; https://doi.org/10.3390/polym17131857 - 2 Jul 2025
Viewed by 426
Abstract
This study investigates the mechanical properties of double hydrophilic block copolymers (DHBCs) based on poly[oligo(ethylene glycol) methacrylate] (POEGMA) and poly(vinyl benzyl trimethylammonium chloride) (PVBTMAC) blocks by employing small amplitude oscillatory shear (SAOS) rheological measurements. We report that the mechanical properties of DHBCs are [...] Read more.
This study investigates the mechanical properties of double hydrophilic block copolymers (DHBCs) based on poly[oligo(ethylene glycol) methacrylate] (POEGMA) and poly(vinyl benzyl trimethylammonium chloride) (PVBTMAC) blocks by employing small amplitude oscillatory shear (SAOS) rheological measurements. We report that the mechanical properties of DHBCs are governed by the interfacial glass transition temperature (Tginter), verifying the disordered state of these copolymers. An increase in zero shear viscosity can be observed by increasing the VBTMAC content, yielding a transition from liquid-like to gel-like and finally to an elastic-like response for the PVBTMAC homopolymer. By changing the block arrangement along the backbone from statistical to sequential, a distinct change in the viscoelastic response is obvious, indicating the presence/absence of bulk-like regions. The tunable viscosity values and shear-thinning behavior achieved through alteration of the copolymer composition and block arrangement along the backbone render the studied DHBCs promising candidates for drug delivery applications. In the second part, the rheological data are analyzed within the framework of the classical free volume theories of glass formation. Specifically, the copolymers exhibit reduced fractional free volume and similar fragility values compared to the PVBTMAC homopolymer. On the contrary, the activation energy increases by increasing the VBTMAC content, reflecting the required higher energy for the relaxation of the glassy VBTMAC segments. Overall, this study provides information about the viscoelastic properties of DHBCs with densely grafted macromolecular architecture and shows how the mechanical and dynamical properties can be tailored for different drug delivery applications by simply altering the ratio between the two homopolymers. Full article
(This article belongs to the Special Issue Advances and Applications of Block Copolymers II)
Show Figures

Graphical abstract

17 pages, 318 KB  
Article
Black-Hole Thermodynamics from Gauge Freedom in Extended Iyer–Wald Formalism
by Thiago de L. Campos, Mario C. Baldiotti and C. Molina
Universe 2025, 11(7), 215; https://doi.org/10.3390/universe11070215 - 28 Jun 2025
Viewed by 360
Abstract
Thermodynamic systems admit multiple equivalent descriptions related by transformations that preserve their fundamental structure. This work focuses on exact isohomogeneous transformations (EITs), a class of mappings that keep fixed the set of independent variables of the thermodynamic potential, while preserving both the original [...] Read more.
Thermodynamic systems admit multiple equivalent descriptions related by transformations that preserve their fundamental structure. This work focuses on exact isohomogeneous transformations (EITs), a class of mappings that keep fixed the set of independent variables of the thermodynamic potential, while preserving both the original homogeneity and the validity of a first law. Our investigation explores EITs within the extended Iyer–Wald formalism for theories containing free parameters (e.g., the cosmological constant). EITs provide a unifying framework for reconciling the diverse formulations of Kerr-anti de Sitter (KadS) thermodynamics found in the literature. While the Iyer–Wald formalism is a powerful tool for deriving first laws for black holes, it typically yields a non-integrable mass variation that prevents its identification as a proper thermodynamic potential. To address this issue, we investigate an extended Iyer–Wald formalism where mass and thermodynamic volume become gauge dependent. Within this framework, we identify the gauge choices and Killing vector normalizations that are compatible with EITs, ensuring consistent first laws. As a key application, we demonstrate how conventional KadS thermodynamics emerges as a special case of our generalized approach. Full article
(This article belongs to the Collection Open Questions in Black Hole Physics)
13 pages, 2151 KB  
Article
The Molecular Dynamics of Signature Gas Diffusions in Synthetic-Ester-Based Oil Under a Range of Thermal Conditions
by Liping Guo, Hongliang Wang, Weiwei Qi, Jun Zhang and Wu Lu
Energies 2025, 18(13), 3276; https://doi.org/10.3390/en18133276 - 23 Jun 2025
Viewed by 478
Abstract
Synthetic ester insulating oils are extensively utilized in power transformers due to their exceptional insulating properties, thermal stability, and environmental compatibility. The dissolved gas analysis (DGA) technique, which is employed to diagnose internal faults in transformers by monitoring the concentration and composition of [...] Read more.
Synthetic ester insulating oils are extensively utilized in power transformers due to their exceptional insulating properties, thermal stability, and environmental compatibility. The dissolved gas analysis (DGA) technique, which is employed to diagnose internal faults in transformers by monitoring the concentration and composition of dissolved gases in oil, is thought to be effective in detecting typical faults such as overheating and partial discharges in synthetic esters. However, owing to the significant differences in the properties of traditional mineral oil and synthetic esters, the existing DGA-based diagnostic methods developed for mineral oils cannot be directly applied to synthetic esters. A deep understanding of the microscopic processes occurring during the gas generation and diffusion of synthetic esters is an urgent necessity for DGA applications. Therefore, in this study, we systematically investigated the diffusion behavior of seven typical fault gases in synthetic ester insulating oils within a temperature range of 343–473 K using molecular dynamics simulations. The results demonstrate that H2 exhibits the highest diffusion capability across all temperatures, with a diffusion coefficient of 33.430 × 10−6 cm2/s at 343 K, increasing to 402.763 × 10−6 cm2/s at 473 K. Additionally, this paper explores the microscopic mechanisms underlying the diffusion characteristics of these characteristic gases by integrating the Free-Volume Theory, thereby providing a theoretical foundation for refining the fault gas analysis methodology for transformer insulating oils. Full article
Show Figures

Figure 1

16 pages, 2212 KB  
Article
Estimation of Remaining Insulation Lifetime of Aged XLPE Cables with Step-Stress Method Based on Physical-Driven Model
by Yingqiang Shang, Jingjiang Qu, Jingshuang Wang, Jiren Chen, Jingyue Ma, Jun Xiong, Yue Li and Zepeng Lv
Energies 2025, 18(12), 3179; https://doi.org/10.3390/en18123179 - 17 Jun 2025
Viewed by 623
Abstract
The remaining lifetime of the cable insulation is an important but hard topic for the industry and research groups as there are more and more cables nearing their designed life in China. However, it is hard to accurately and efficiently obtain the ageing [...] Read more.
The remaining lifetime of the cable insulation is an important but hard topic for the industry and research groups as there are more and more cables nearing their designed life in China. However, it is hard to accurately and efficiently obtain the ageing characteristic parameters of cross-linked polyethylene (XLPE) cable insulation. This study systematically analyzes the evolution of the remaining insulation lifetime of XLPE cables under different ageing states using the step-stress method combined with the inverse power model (IPM) and a physical-driven model (Crine model). By comparing un-aged and accelerated-aged specimens, the step-stress breakdown tests were conducted to obtain the Weibull distribution characteristics of breakdown voltage and breakdown time. Experimental results demonstrate that the characteristic breakdown field strength and remaining lifetime of the specimens decrease significantly with prolonged ageing. The ageing parameter of the IPM was calculated. It is found that the ageing parameter of IPM increases with the ageing time. However, it can hardly link to the other properties or physic parameters of the material. The activation energy and electron acceleration distance of the Crine model were also calculated. It is found that ageing activation energy stays almost the same in samples with different ageing time, showing that it is a material intrinsic parameter that will not change with the ageing; the electron acceleration distance increases with the ageing time, it makes sense that the ageing process may break the molecule chain of XLPE and increase the size of the free volume. It shows that the Crine model can better fit the physic process of ageing in theory and mathematic, and the acceleration distance of the Crine model is a physical driven parameter that can greatly reflect the ageing degree of the cable insulation and be used as an indicator of the ageing states. Full article
Show Figures

Figure 1

22 pages, 1510 KB  
Article
Effects of Geological and Fluid Characteristics on the Injection Filtration of Hydraulic Fracturing Fluid in the Wellbores of Shale Reservoirs: Numerical Analysis and Mechanism Determination
by Qiang Li, Qingchao Li, Fuling Wang, Jingjuan Wu, Yanling Wang and Jiafeng Jin
Processes 2025, 13(6), 1747; https://doi.org/10.3390/pr13061747 - 2 Jun 2025
Cited by 3 | Viewed by 571
Abstract
To mitigate the influence of wellbore heat transfer on the physicochemical properties of water-based fracturing fluids in the high-temperature environments of low-permeability shale reservoirs, this study investigates the fluid filtration behavior of water-based fracturing fluids within the wellbore under such reservoir conditions. A [...] Read more.
To mitigate the influence of wellbore heat transfer on the physicochemical properties of water-based fracturing fluids in the high-temperature environments of low-permeability shale reservoirs, this study investigates the fluid filtration behavior of water-based fracturing fluids within the wellbore under such reservoir conditions. A wellbore heat-transfer model based on solid–liquid coupling was constructed in order to analyse the effects of different reservoir and wellbore factors on fluid properties (viscosity and filtration volume) in the water-based fracturing fluids. Concurrently, boundary conditions and control equations were established for the numerical model, thereby delineating the heat-transfer conditions extant between the water-based fracturing fluid and the wellbore. Furthermore, molecular dynamics theory and microgrid theory were utilised to elucidate the mechanisms of the alterations of the fluid properties of the water-based fracturing fluids due to wellbore heat transfer in low-permeability shale reservoirs. The findings demonstrated that wellbore heat transfer in low-permeability shale reservoirs exerts a pronounced influence on the fluid viscosity and filtration volume of the water-based fracturing fluids. Parameters such as wellbore wall thickness, heat-transfer coefficient, radius, and pressure differential introduce distinct variation trends in these fluid properties. At the microscopic scale, the disruption of intermolecular hydrogen bonds and the consequent increase in free molecular content induced by thermal effects are the fundamental mechanisms driving the observed changes in viscosity and fluid filtration. These findings may offer theoretical guidance for improving the thermal stability of water-based fracturing fluids under wellbore heat-transfer conditions. Full article
Show Figures

Figure 1

14 pages, 8555 KB  
Article
Experimental Liquid Densities of Red Palm Oil at Pressures up to 150 MPa from (312 to 352) K and Dynamic Viscosities at 0.1 MPa from (293 to 353) K
by Jia Lin Lee, Gun Hean Chong, Yuya Hiraga, Yoshiyuki Sato, Masaki Ota and Richard Lee Smith
Liquids 2025, 5(2), 13; https://doi.org/10.3390/liquids5020013 - 13 May 2025
Viewed by 1064
Abstract
Density and viscosity are fundamental properties necessary for processing of red palm oil (RPO). The main fatty acid constituents of RPO were determined to be palmitic acid (C16:0), oleic acid (C18:1), and linoleic acid (C18:2). Rheology measurements [...] Read more.
Density and viscosity are fundamental properties necessary for processing of red palm oil (RPO). The main fatty acid constituents of RPO were determined to be palmitic acid (C16:0), oleic acid (C18:1), and linoleic acid (C18:2). Rheology measurements confirmed that RPO behaved as a Newtonian fluid. Viscosities and atmospheric densities of RPO were measured at 0.1 MPa and (293 K to 413) K and correlated with the Rodenbush model (0.05% deviation). Dynamic viscosities of RPO were correlated with the Vogel–Fulcher–Tammann model (0.06% deviation) and Doolittle free volume model (0.04% deviation). High-pressure densities of RPO were measured at (10 to 150) MPa and (312 to 352) K. The Tait equation could correlate the high-pressure densities of RPO to within 0.021% deviation and was used to estimate the thermal expansion as 5.1 × 10−4 K−1 (at 312 K, 150 MPa) to 4.8 × 10−4 K−1 (at 352 K, 150 MPa) and isothermal compressibility as 7.3 × 10−4 MPa−1 (at 352 K, 0.1 MPa) to 3.5 × 10−4 MPa−1 (at 352 K, 150 MPa). Parameters for the perturbed-chain statistical associating fluid theory equation of state were determined and gave an average of 0.143% deviation in density. The data and equations developed should be useful in high-pressure food processing as well as in applications considering vegetable oils as heat transfer fluids or as lubricants. Full article
Show Figures

Figure 1

13 pages, 295 KB  
Article
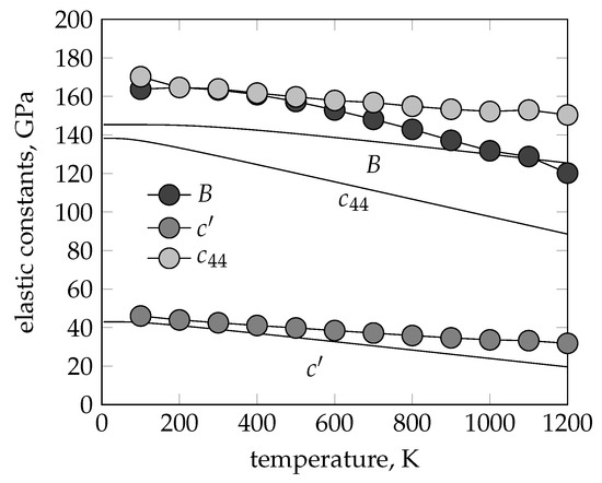
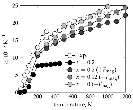
The Effect of Reduced Co Content in CrMnFeCoNi Alloys: A First Principles Study
by Gustav Johansson, Johan-Michael Kuorak, Oleg Gorbatov and Corina Etz
Metals 2025, 15(4), 362; https://doi.org/10.3390/met15040362 - 26 Mar 2025
Viewed by 461
Abstract
This study investigates high-entropy CrMnFeCoNi alloys with reduced Co content using density functional theory. The muffin-tin orbital method and coherent potential approximation successfully predict experimental values for volume, magnetic moment, and elastic constants. Thermodynamic properties, analyzed using the Debye–Gruneisen model, emphasize the need [...] Read more.
This study investigates high-entropy CrMnFeCoNi alloys with reduced Co content using density functional theory. The muffin-tin orbital method and coherent potential approximation successfully predict experimental values for volume, magnetic moment, and elastic constants. Thermodynamic properties, analyzed using the Debye–Gruneisen model, emphasize the need to consider both electronic and magnetic contributions to the free energy. The alloys exhibit anti-Invar behavior, with a significant increase in the linear thermal expansion coefficient with increased temperature. This effect is slightly more pronounced for reduced Co content, leading to a larger lattice parameter and a decrease in elastic constants. However, the changes are small, suggesting that similar mechanical properties can be achieved with lower Co content. Full article
Show Figures

Figure 1

18 pages, 9930 KB  
Article
Effects of Thermal Evolution Degree and Industrial Components on Pore Fracture Distribution Heterogeneity in Deep Coal Reservoirs
by Yufei He, Jinbin Wan, Renjie Yang, Shuangbiao Han, Xiaoming Yang, Jingbo Zeng and Hongtao Gao
Processes 2025, 13(3), 710; https://doi.org/10.3390/pr13030710 - 28 Feb 2025
Viewed by 671
Abstract
Many studies have shown that the thermal evolution degree is the main factor affecting the micropore structure of coal reservoirs. However, within the same thick coal seam, the Ro,max of the entire coal seam is not much different, which affects the determination [...] Read more.
Many studies have shown that the thermal evolution degree is the main factor affecting the micropore structure of coal reservoirs. However, within the same thick coal seam, the Ro,max of the entire coal seam is not much different, which affects the determination of the main controlling factors of pore structure heterogeneity. Therefore, No. 8 coal collected from Benxi Formation in the eastern margin of Ordos was taken as an example, and 16 samples were selected for low-temperature liquid nitrogen, carbon dioxide adsorption, and industrial component tests. Based on heterogeneity differences of Ro,max, industrial components and pore volume distribution of adsorption pores (pore diameter is less than 100 nm), the main controlling factors affecting the micropore structure of ultra-thick coal seams, were discussed. Then, the surface free energy theory was used to study the influencing factors affecting surface free energy variations during coal adsorption. First of all, Ro,max is not the main controlling factor affecting the micropore-fracture structure, as the effects of industrial components on the micropore structure are obvious, which indicates that industrial components are the main factors affecting vertical differences in the micropore structure within the same thick coal seam. Second of all, Ro,max and industrial components affect the adsorption process. When the adsorption pressure is lower, the adsorption volume and adsorption potential increase rapidly. When the adsorption pressure is higher (pressure is larger than 15 Mpa), the adsorption capacity and potential tend to be stable. Moreover, the maximum surface free energy increases with the increase in coal rank, which indicates that the degree of thermal evolution is the core factor affecting the adsorption free energy, but it is also controlled by the influence of industrial components (ash content). Lastly, micropores affect the adsorption capacity, and mesopores have little effect on the adsorption capacity, since micropores restrict the adsorption capacity and change the adsorption process by affecting surface free energy variations. The refined characterization of pore-fracture structures in deep coal reservoirs plays a crucial role in the occurrence and seepage of coalbed gas. This research can provide a theoretical basis for the efficient development of deep coalbed gas in the target area. This study aims to identify the primary factors controlling micropore structures in No. 8 coal from the Benxi Formation and to analyze the role of industrial components, which has been overlooked in previous research. Full article
Show Figures

Figure 1

20 pages, 5784 KB  
Article
Pore Structure Evolution of Coal After Supercritical CO2–Water–Rock Treatment: A Multifractal Analysis
by Sijian Zheng, Yanzhi Liu, Fansheng Huang, Shiqi Liu, Shuxun Sang, Xuguang Dai and Meng Wang
Fractal Fract. 2025, 9(3), 144; https://doi.org/10.3390/fractalfract9030144 - 25 Feb 2025
Cited by 3 | Viewed by 757
Abstract
The evolution of coal’s pore structure is crucial to the efficient capture of carbon dioxide (CO2) within coalbeds, as it provides both adsorption sites and seepage space for the adsorbed- and free-phase CO2, respectively. However, the conventional single fractal [...] Read more.
The evolution of coal’s pore structure is crucial to the efficient capture of carbon dioxide (CO2) within coalbeds, as it provides both adsorption sites and seepage space for the adsorbed- and free-phase CO2, respectively. However, the conventional single fractal method for characterizing pore structure fails to depict the intricacies and variations in coal pores. This study innovatively applies the low-temperature N2/CO2 sorption measurement and multifractal theory to investigate the evolution of the microporous structure of coals (e.g., from the Huainan coalfield) during the supercritical CO2(ScCO2)–water–rock interaction process. Firstly, we observed that the ScCO2–water–rock interaction does not significantly alter the coal’s pore morphology. Notably, taking the ZJ-8# sample as an example, low-temperature N2 sorption testing displayed a stable pore volume following the reaction, accompanied by an increase in specific surface area. Within the CO2 sorption testing range, the ZJ-8# sample’s pore volume remained unchanged, while the specific surface and pore width performed displayed a slight decrease. Secondly, by introducing key parameters from multifractal theory (such as Dq, α(q), τ(q), and f(α)), we assessed the heterogeneity characteristics of the coal’s pore structure before and after the ScCO2–water–rock reaction. The N2 sorption analysis reveals an increase in pore heterogeneity for the ZJ-8# sample and a decrease for the GQ-13# sample within the sorption testing range. In the context of low-temperature CO2 sorption analysis, the pore distribution complexity and heterogeneity of the GQ-11# and GQ-13# samples’ pores were escalated after ScCO2–water–rock interaction. The experimental and analysis results elucidated the dual roles of precipitation and dissolution exerted by the ScCO2–water–rock interaction on the micropores of coal reservoirs, underscoring the heterogeneous nature of the reaction’s influence on pore structures. The application of fractal theory offers a novel perspective compared to traditional pore characterization methods, significantly improving the precision and comprehensiveness of pore structure change descriptions. Full article
(This article belongs to the Special Issue Multiscale Fractal Analysis in Unconventional Reservoirs)
Show Figures

Figure 1

19 pages, 10553 KB  
Article
Experimental and Mechanistic Studies on the Tensile Sensitivity of a PDMS/MWCNT Nanocomposite and Its Application in Concrete Crack Monitoring
by Yongquan Zhang, Weimin Guo, Chengzhe Song, Xinliang Liu, Jinshan Yu and Yong Ge
Materials 2025, 18(5), 927; https://doi.org/10.3390/ma18050927 - 20 Feb 2025
Cited by 1 | Viewed by 602
Abstract
A polydimethylsilosane/multiwalled carbon nanotube (PDMS/MWCNT) nanocomposite, as a tensile-strain-sensing material, was manufactured using a simple solution casting method. The percolation threshold, the relationship between the temperature and resistance, the tensile sensitivity, and the mechanism of the tensile sensitivity of the PDMS/MWCNT nanocomposite were [...] Read more.
A polydimethylsilosane/multiwalled carbon nanotube (PDMS/MWCNT) nanocomposite, as a tensile-strain-sensing material, was manufactured using a simple solution casting method. The percolation threshold, the relationship between the temperature and resistance, the tensile sensitivity, and the mechanism of the tensile sensitivity of the PDMS/MWCNT nanocomposite were studied, along with its application in concrete crack monitoring. The results show that the PDMS/MWCNT nanocomposite demonstrated a significant percolation phenomenon. The resistance change ratio of the PDMS/MWCNT nanocomposite changed linearly with the environmental temperature, gradually decreasing with an increasing environmental temperature. The PDMS/MWCNT nanocomposite had a higher tensile sensitivity, and the sensing factor was 6.65 when the volume fraction of carbon nanotubes was 1.26 v/v% near the percolation threshold, and the sensing factor of the PDMS/MWCNT nanocomposite decreased with an increase in the volume fraction of carbon nanotubes. The relationship between the relative electrical conductivity of the PDMS/MWCNT nanocomposite and the tensile strain can be expressed as ln(σ/σ0) = . In addition, the quantitative relationship between the electrical conductivity of the PDMS/MWCNT nanocomposite and the volume fraction of carbon nanotubes was obtained based on the tunneling effect theory and the effective medium model. PDMS/MWCNT nanocomposites can be used as a sensing material to monitor the propagation of concrete cracks under the impact of a free-falling ball. Full article
Show Figures

Figure 1

14 pages, 4445 KB  
Article
Effect of Macroscopic Composition on the Performance of Self-Compacting Concrete
by He Liu, Wenxi Li, Haonan Zou, Wei Bian, Jingyi Zhang, Ji Zhang and Peng Zhang
Coatings 2025, 15(2), 161; https://doi.org/10.3390/coatings15020161 - 2 Feb 2025
Viewed by 725
Abstract
In recent years, there has been significant interest in the development of self-compacting concrete (SCC). This study views SCC as a two-phase composite material and introduces a new aggregate spacing coefficient model based on the concept of Fullman’s mean free path and stereological [...] Read more.
In recent years, there has been significant interest in the development of self-compacting concrete (SCC). This study views SCC as a two-phase composite material and introduces a new aggregate spacing coefficient model based on the concept of Fullman’s mean free path and stereological theory. The validity of the aggregate spacing coefficient model was verified. The relationship between the fine and coarse aggregate coefficients and the properties of SCC are revealed. The results show that the slump and slump flow of SCC increase as the fine and coarse aggregate coefficients increase. The coarse aggregate spacing coefficient has a significant influence on the compressive strength and drying shrinkage of SCC. A significant linear relationship between the coarse aggregate spacing coefficient and SCC dry shrinkage properties is revealed. Compared to the conditional mixing proportion method, which considers the aggregate volume as a control factor, the aggregate spacing coefficient takes into account the aggregate volume and gradation, which can more accurately reflect the characteristics of the aggregate. Meanwhile, this new perspective on the macroscopic composition of SCC provides insights into the controlling factors of its performance. Full article
(This article belongs to the Special Issue Advances in Pavement Materials and Civil Engineering)
Show Figures

Figure 1

Back to TopTop