Effect of Macroscopic Composition on the Performance of Self-Compacting Concrete
Abstract
1. Introduction
2. Material and Methods
2.1. Mix Proportion
2.2. Test Method
2.2.1. Workability Test
2.2.2. Compressive Strength Test
2.2.3. Drying Shrinkage Test
3. Establishment and Verification of Aggregate Spacing Model
3.1. Establishment of Aggregate Spacing Model
3.2. Validation of Aggregate Spacing Model
4. Result and Discussion
4.1. Workability of Fresh Concrete
4.2. Compressive Strength of Concrete
4.3. Drying Shrinkage of SCC
5. Conclusions
- (1)
- A new aggregate spacing model was proposed. By comparing the results of the calculated value and the test value of the aggregate spacing coefficient, the validity of the model is verified.
- (2)
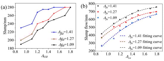
- The slump and the slump flow of SCC increases as the aggregate spacing coefficient increases. The slump was maintained at 280 mm and then no longer decreased significantly, while the slump flow continued to increase.
- (3)
- With the increase in the aggregate spacing coefficient, the compressive strength of SCC obviously decreased. And compared with the fine aggregate, the increase in the coarse aggregate spacing coefficient was more obvious in the decrease in compressive strength.
- (4)
- An increase in the aggregate spacing coefficient will result in a significant increase in the drying shrinkage of SCC, which showed the fastest development in the early stage (3 d–24 d), slowing down in the later stage (24 d–180 d).
- (5)
- In practical applications, for the case of different steel bar spacings in the project, choosing SCC with different aggregate spacing coefficients can make the design more convenient and accurate.
Author Contributions
Funding
Institutional Review Board Statement
Informed Consent Statement
Data Availability Statement
Conflicts of Interest
References
- Okamura, H.; Ouchi, M. Self-compacting high performance concrete. Prog. Struct. Eng. Mater. 1998, 1, 378–383. [Google Scholar] [CrossRef]
- Okamura, H.; Ozawa, K. Self-Compacting High Performance Concrete. Struct. Eng. Int. 1996, 6, 269–270. [Google Scholar] [CrossRef]
- Liu, S.H. Key Techniques of Self-Compacting Concrete. Adv. Mater. Res. 2011, 261–263, 394–397. [Google Scholar] [CrossRef]
- Shi, C.; Wu, Z.; Lv, K.; Wu, L. A review on mixture design methods for self-compacting concrete. Constr. Build. Mater. 2015, 84, 387–398. [Google Scholar] [CrossRef]
- Goodier, C.I. Development of self-compacting concrete. Proc. Inst. Civ. Eng.—Struct. Build. 2003, 156, 405–414. [Google Scholar] [CrossRef]
- Henault, J.W. Self-Consolidating Concrete: A Synthesis of Research Findings and Best Practices. Lit. Rev. 2014, 8, 11–20. [Google Scholar] [CrossRef]
- Cu, Y.T.H.; Tran, M.V.; Ho, C.H.; Nguyen, P.H. Relationship between workability and rheological parameters of self-compacting concrete used for vertical pump up to supertall buildings. J. Build. Eng. 2020, 32, 101786. [Google Scholar] [CrossRef]
- Liu, H.Q.; Chen, X. Influence of Aggregate on Workability of Self-Compacting Concrete. Adv. Mater. Res. 2012, 482–484, 1101–1104. [Google Scholar] [CrossRef]
- Khaleel, O.; Al-Mishhadani, S.; Razak, H.A. The Effect of Coarse Aggregate on Fresh and Hardened Properties of Self-Compacting Concrete (SCC). Procedia Eng. 2011, 14, 805–813. [Google Scholar] [CrossRef]
- Shobha, M.; Mohan, D.H.; Raju, P.S.N. Aggregate size and behaviour of self-compacting concrete. Proc. Inst. Civ. Eng.—Constr. Mater. 2006, 159, 147–152. [Google Scholar] [CrossRef]
- Dehestani, M.; Nikbin, I.; Asadollahi, S. Effects of specimen shape and size on the compressive strength of self-consolidating concrete (SCC). Constr. Build. Mater. 2014, 66, 685–691. [Google Scholar] [CrossRef]
- Nikbin, I.; Beygi, M.; Kazemi, M.; Amiri, J.V.; Rahmani, E.; Rabbanifar, S.; Eslami, M. A comprehensive investigation into the effect of aging and coarse aggregate size and volume on mechanical properties of self-compacting concrete. Mater. Des. 2014, 59, 199–210. [Google Scholar] [CrossRef]
- Ma, K.; Feng, J.; Long, G.; Xie, Y.; Chen, X. Improved mix design method of self-compacting concrete based on coarse aggregate average diameter and slump flow. Constr. Build. Mater. 2017, 143, 566–573. [Google Scholar] [CrossRef]
- Zhao, H.; Sun, W.; Wu, X.; Gao, B. The effect of coarse aggregate gradation on the properties of self-compacting concrete. Mater. Des. 2012, 40, 109–116. [Google Scholar] [CrossRef]
- Zhang, J.; An, X.; Yu, Y.; Nie, D. Effects of coarse aggregate content on the paste rheological thresholds of fresh self-compacting concrete. Constr. Build. Mater. 2019, 208, 564–576. [Google Scholar] [CrossRef]
- Santos, A.C.; Ortiz-Lozano, J.A.; Villegas, N.; Aguado, A. Experimental study about the effects of granular skeleton distribution on the mechanical properties of self-compacting concrete (SCC). Constr. Build. Mater. 2015, 78, 40–49. [Google Scholar] [CrossRef]
- Wu, J.; Jia, Z.; Zhou, X. Discrete element analysis of the effect of aggregate morphology on the flowability of self-compacting concrete. Case Stud. Constr. Mater. 2023, 18. [Google Scholar] [CrossRef]
- Chen, B.; Wang, L.; Feng, Z.; Liu, Y.; Wu, X.; Qin, Y.; Xia, L. Optimization of high-performance concrete mix ratio design using machine learning. Eng. Appl. Artif. Intell. 2023, 122. [Google Scholar] [CrossRef]
- Su, N.; Hsu, K.-C.; Chai, H.-W. A simple mix design method for self-compacting concrete. Cem. Concr. Res. 2001, 31, 1799–1807. [Google Scholar] [CrossRef]
- Basheerudeen, A.; Anandan, S. Particle Packing Approach for Designing the Mortar Phase of Self Compacting Concrete. Eng. J. 2014, 18, 127–140. [Google Scholar] [CrossRef]
- Feiguo, C.; Wei, G. A review of smoothed particle hydrodynamics family methods for multiphase flow. Chin. J. Theor. Appl. Mech. 2021, 53, 2357–2373. [Google Scholar] [CrossRef]
- Dhaheer, M.A.; Kulasegaram, S.; Karihaloo, B. Simulation of self-compacting concrete flow in the J-ring test using smoothed particle hydrodynamics (SPH). Cem. Concr. Res. 2016, 89, 27–34. [Google Scholar] [CrossRef]
- Alyhya, W.; Kulasegaram, S.; Karihaloo, B. Simulation of the flow of self-compacting concrete in the V-funnel by SPH. Cem. Concr. Res. 2017, 100, 47–59. [Google Scholar] [CrossRef]
- Tran-Duc, T.; Ho, T.; Thamwattana, N. A smoothed particle hydrodynamics study on effect of coarse aggregate on self-compacting concrete flows. Int. J. Mech. Sci. 2020, 190, 106046. [Google Scholar] [CrossRef]
- Q/CR 596-2017; Specification of Self-Compacting Concrete for High-Speed Railway CRTSIII Slab Ballastless Track. China Railway Press: Beijing, China, 2019.
- GB/T 50081-2019; Standard for Test Methods of Concrete Physical and Mechanical Properties. Ministry of Housing and Urban-Rural Development of the People’s Republic of China: Beijing, China, 2019.
- GB/T 50082-2009; Standard for Test Methods of Long-Term Performance and Durability of Ordinary Concrete. China Construction Industry Press: Beijing, China, 2009.
- Chen, H.S.; Sun, W.; Stroeven, P. Regular dodecahedron model to calculate the average surface spacing between the nearest neighboring aggregate grains concrete. J. Chin. Ceram. Soc. 2003, 31, 1048–1052. [Google Scholar] [CrossRef]
- Chen, H.S.; Sun, W.; Stroeven, P.; Stroeven, M. Stereological method of calculatmg the average value of surface spacing be-tween the neighboring aggregate grains in concrete. J. Harbin Inst. Technol. 2005, 37, 1511–1514. [Google Scholar]









| Passing Screening Rate/% | |||||||||
|---|---|---|---|---|---|---|---|---|---|
| 0.15 mm | 0.3 mm | 0.6 mm | 1.18 mm | 2.36 mm | 4.75 mm | 9.5 mm | 16 mm | 19 mm | |
| river sand | 1.2 | 12.4 | 31.5 | 20.5 | 15.0 | 19.4 | 0 | 0 | 0 |
| gravel | 0 | 0 | 0 | 0 | 0.6 | 3.6 | 41.3 | / | 54.5 |
| Rate of particles passing through each sieve/% | |||||||||
| 0.15 mm | 0.3 mm | 0.6 mm | 1.18 mm | 2.36 mm | 4.75 mm | 9.5 mm | 16 mm | 19 mm | |
| river sand | 1.2 | 13.6 | 45.1 | 65.6 | 80.6 | 100 | 0 | 0 | 0 |
| gravel | 0 | 0 | 0 | 0 | 0.6 | 4.2 | 45.5 | / | 100 |
| Item. | Cementitious Materials (kg/m3) | Water (kg/m3) | SP (kg/m3) | Aggregate | |||||
|---|---|---|---|---|---|---|---|---|---|
| C | FA | GGBS | ∆ca | ∆fa | mca (kg/m3) | mfa (kg/m3) | |||
| 1 | 338 | 78 | 104 | 156 | 6.24 | 0.9–1.8 | 1.09–1.41 | 1156–733 | 564–458 |
| 2 | 338 | 78 | 104 | 156 | 6.24 | 1.0–1.6 | 0.93–1.47 | 1086–798 | 638–443 |
| 4 | 338 | 78 | 104 | 156 | 6.24 | 1.0–1.6 | 0.83–1.66 | 1086–798 | 694–400 |
| 5 | 338 | 78 | 104 | 156 | 6.24 | 0.9–1.75 | 1.27 | 1156–748 | 499 |
| Fitting Formula | |
|---|---|
| 1.41 | |
| 1.27 | |
| 1.09 |
| Fitting Formula | |
|---|---|
| 1.6 | |
| 1.3 | |
| 1.0 |
| Fitting Formula | |
|---|---|
| 1.41 | |
| 1.27 | |
| 1.09 |
| Fitting Formula | |
|---|---|
| 1.6 | |
| 1.3 | |
| 1.0 |
| Age. | Fitting Formula |
|---|---|
| 180 d | |
| 90 d | |
| 28 d |
Disclaimer/Publisher’s Note: The statements, opinions and data contained in all publications are solely those of the individual author(s) and contributor(s) and not of MDPI and/or the editor(s). MDPI and/or the editor(s) disclaim responsibility for any injury to people or property resulting from any ideas, methods, instructions or products referred to in the content. |
© 2025 by the authors. Licensee MDPI, Basel, Switzerland. This article is an open access article distributed under the terms and conditions of the Creative Commons Attribution (CC BY) license (https://creativecommons.org/licenses/by/4.0/).
Share and Cite
Liu, H.; Li, W.; Zou, H.; Bian, W.; Zhang, J.; Zhang, J.; Zhang, P. Effect of Macroscopic Composition on the Performance of Self-Compacting Concrete. Coatings 2025, 15, 161. https://doi.org/10.3390/coatings15020161
Liu H, Li W, Zou H, Bian W, Zhang J, Zhang J, Zhang P. Effect of Macroscopic Composition on the Performance of Self-Compacting Concrete. Coatings. 2025; 15(2):161. https://doi.org/10.3390/coatings15020161
Chicago/Turabian StyleLiu, He, Wenxi Li, Haonan Zou, Wei Bian, Jingyi Zhang, Ji Zhang, and Peng Zhang. 2025. "Effect of Macroscopic Composition on the Performance of Self-Compacting Concrete" Coatings 15, no. 2: 161. https://doi.org/10.3390/coatings15020161
APA StyleLiu, H., Li, W., Zou, H., Bian, W., Zhang, J., Zhang, J., & Zhang, P. (2025). Effect of Macroscopic Composition on the Performance of Self-Compacting Concrete. Coatings, 15(2), 161. https://doi.org/10.3390/coatings15020161
