Wave Load Reduction and Tranquility Zone Formation Using an Elastic Plate and Double Porous Structures for Seawall Protection
Abstract
1. Introduction
2. Problem Description and Methodology
3. Solution Framework
- Wave Force on the Seawall:
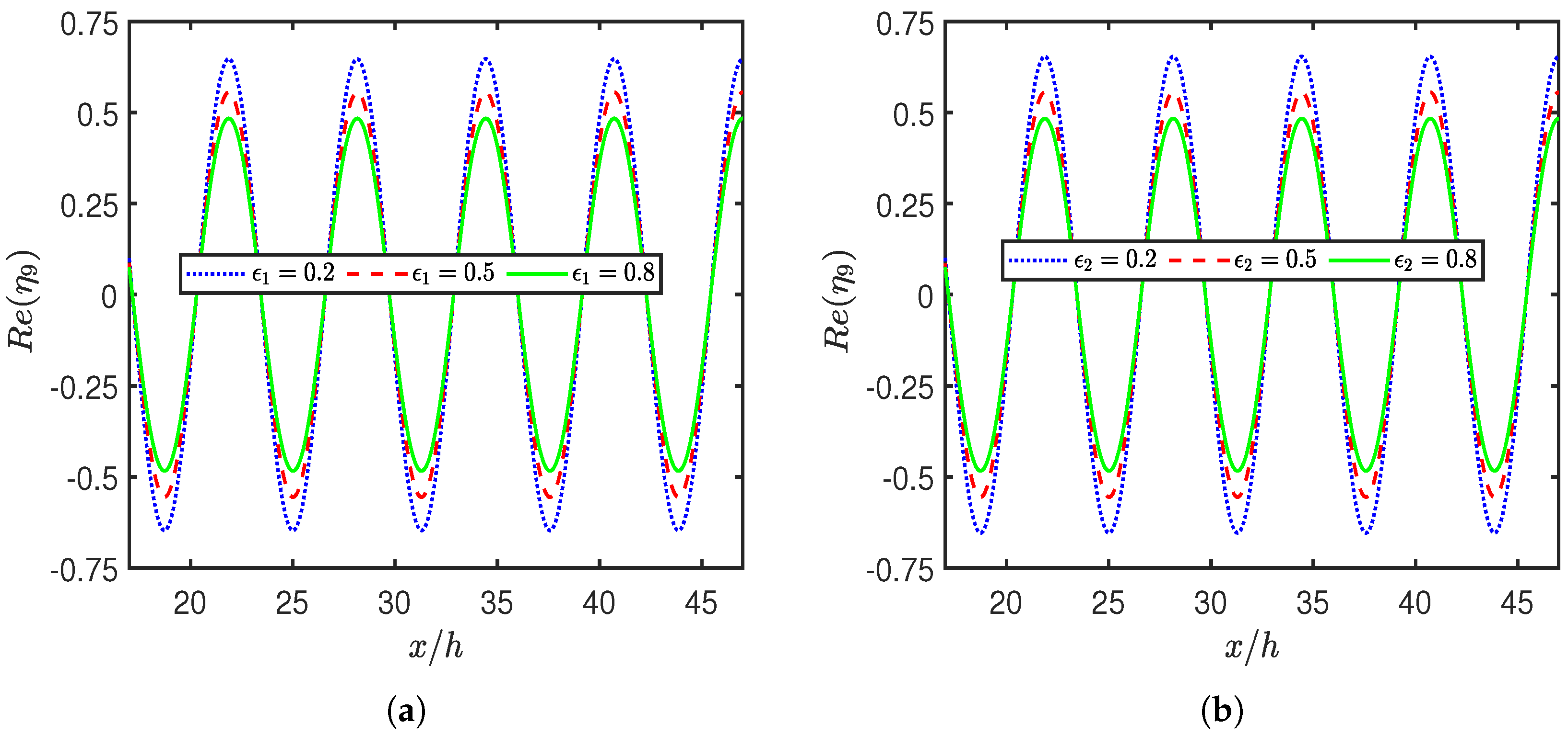
- Free Surface Elevation in Region 9:
4. Results and Discussion
4.1. Validation of the Numerical Model
4.2. Effect of System Parameters on Hydrodynamic Coefficients
5. Conclusions
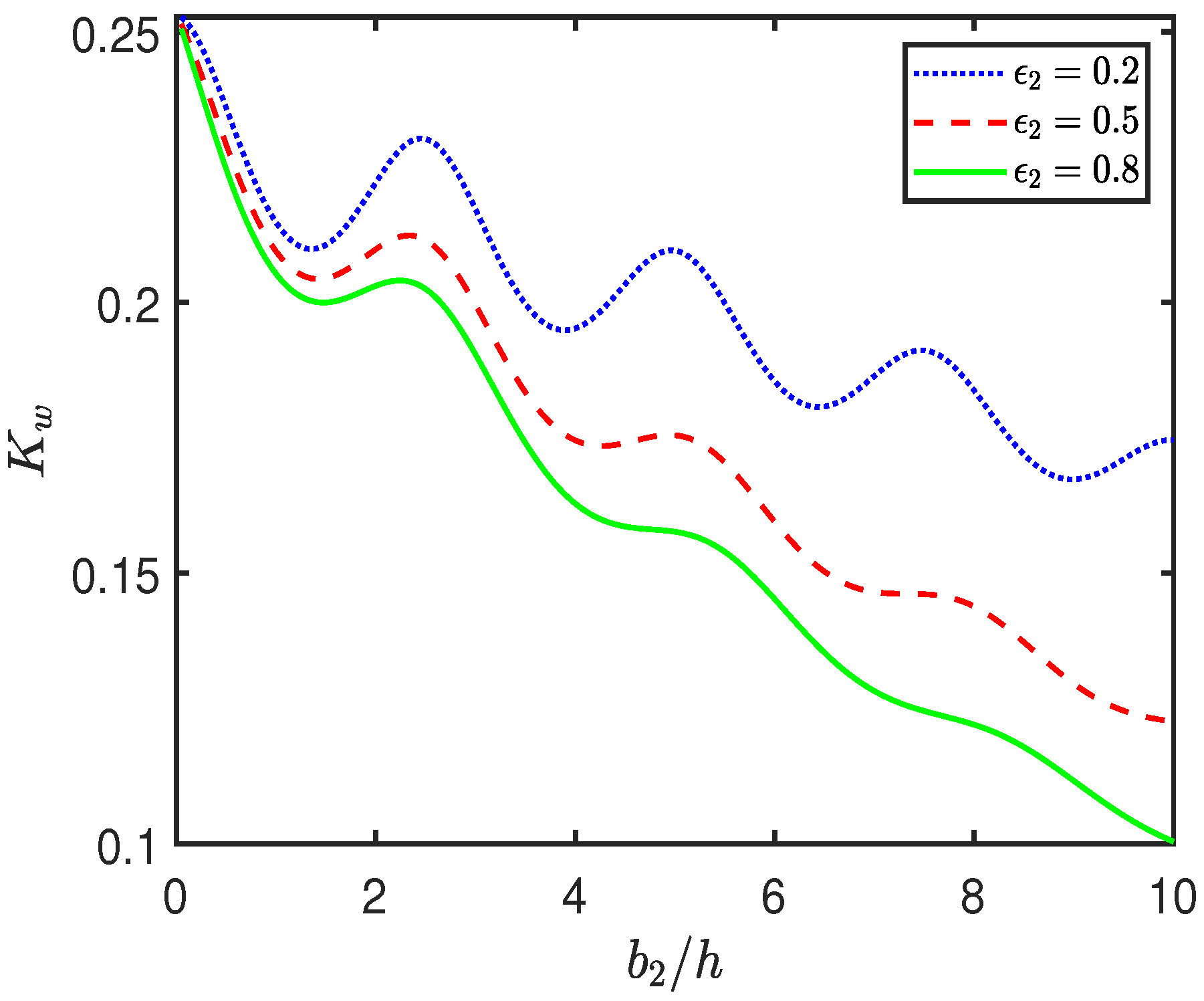
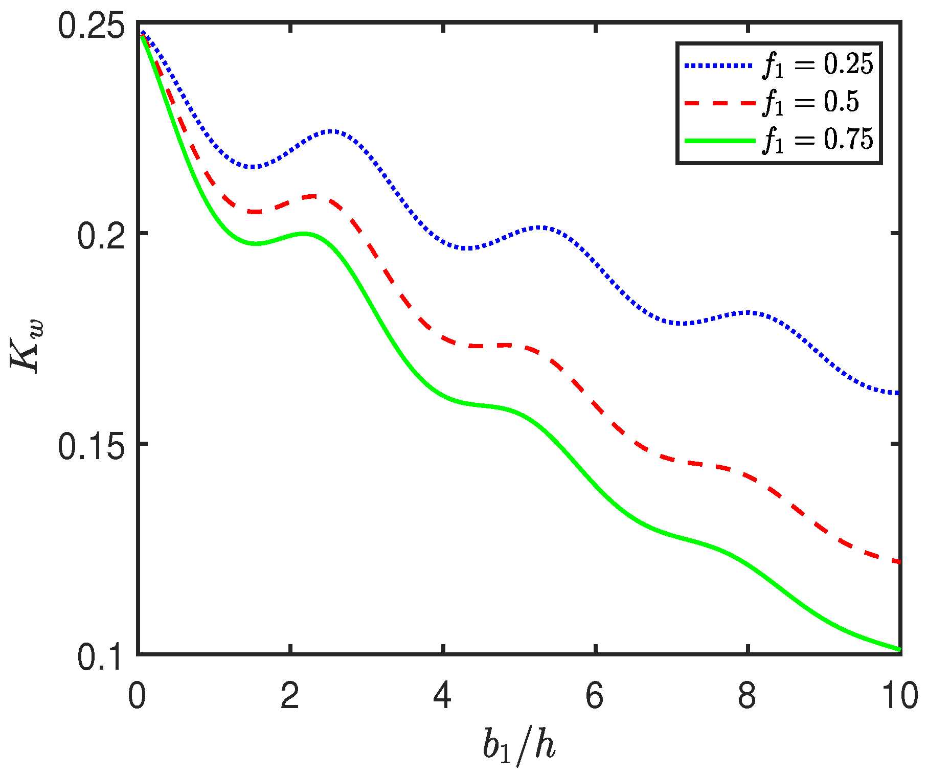
- The geometry and material properties of the BSPs significantly influence wave behavior, with increased frictional coefficient and porosity enhancing wave energy dissipation. Enhanced dissipation effectively reduces the wave force on the seawall and lowers the free surface elevation between the plate and the wall.
- The influence of the wavenumber is also evident in the oscillatory patterns observed in reflection and dissipation coefficients, indicating resonant wave structure interactions and constructive or destructive interference within the system.
- The double BSP arrangement proves to be more effective than a single BSP in reducing the wave force on the seawall and the free surface elevation in the area between the plate and the wall, even when the total volume of porous material is kept constant.
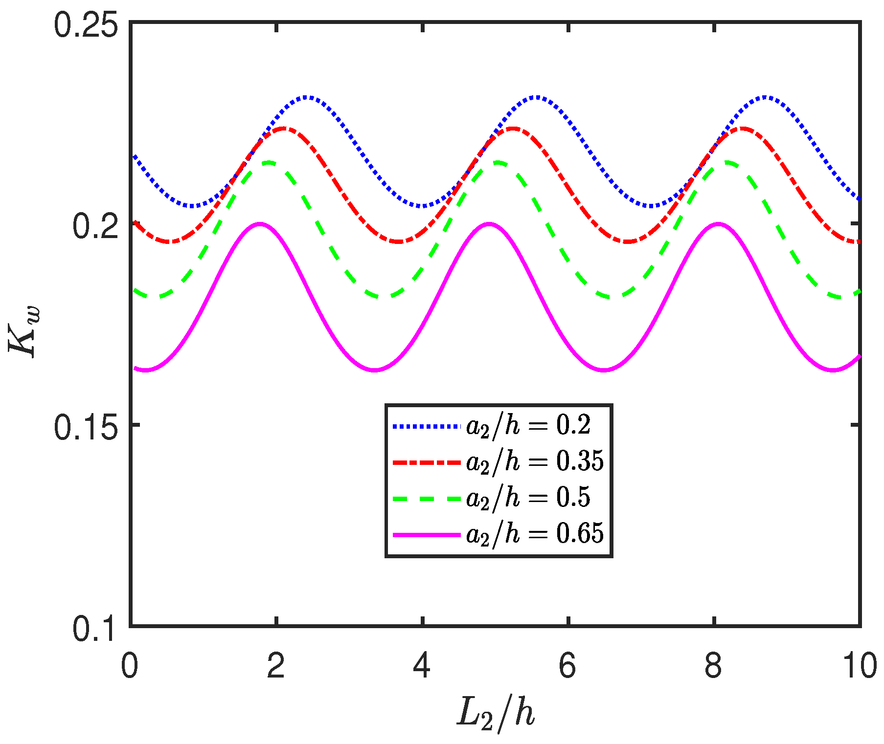
- The relative height and spacing of the BSPs, as well as the distance from the seawall, are shown to influence wave interactions through resonant and interference phenomena.
- Taller BSPs and optimal gap placements result in pronounced reductions in wave reflection and force, promoting effective energy dissipation and coastal protection.
Author Contributions
Funding
Data Availability Statement
Conflicts of Interest
References
- Hsu, H.H.; Wu, Y.C. The hydrodynamic coefficients for an oscillating rectangular structure on a free surface with sidewall. Ocean. Eng. 1997, 24, 177–199. [Google Scholar] [CrossRef]
- Zheng, Y.; Shen, Y.; You, Y.; Wu, B.; Jie, D. On the radiation and diffraction of water waves by a rectangular structure with a sidewall. Ocean. Eng. 2004, 31, 2087–2104. [Google Scholar] [CrossRef]
- Evans, D.V.; Porter, R. Hydrodynamic characteristics of an oscillating water column device. Appl. Ocean. Res. 1995, 17, 155–164. [Google Scholar] [CrossRef]
- Sahoo, T.; Lee, M.; Chwang, A. Trapping and generation of waves by vertical porous structures. J. Eng. Mech. 2000, 126, 1074–1082. [Google Scholar] [CrossRef]
- Yip, T.L.; Sahoo, T.; Chwang, A.T. Trapping of surface waves by porous and flexible structures. Wave Motion 2002, 35, 41–54. [Google Scholar] [CrossRef]
- Kaligatla, R.; Koley, S.; Sahoo, T. Trapping of surface gravity waves by a vertical flexible porous plate near a wall. Z. Für Angew. Math. Und Phys. 2015, 66, 2677–2702. [Google Scholar] [CrossRef]
- Bhattacharjee, J.; Soares, C.G. Oblique wave interaction with a floating structure near a wall with stepped bottom. Ocean. Eng. 2011, 38, 1528–1544. [Google Scholar] [CrossRef]
- Behera, H.; Kaligatla, R.; Sahoo, T. Wave trapping by porous barrier in the presence of step type bottom. Wave Motion 2015, 57, 219–230. [Google Scholar] [CrossRef]
- Kaligatla, R.; Manisha; Sahoo, T. Wave trapping by dual porous barriers near a wall in the presence of bottom undulation. J. Mar. Sci. Appl. 2017, 16, 286–297. [Google Scholar] [CrossRef]
- Wu, J.; Wan, Z.; Fang, Y. Wave reflection by a vertical wall with a horizontal submerged porous plate. Ocean. Eng. 1998, 25, 767–779. [Google Scholar] [CrossRef]
- Liu, Y.; Li, Y.; Teng, B. Wave interaction with a new type perforated breakwater. Acta Mech. Sin. 2007, 23, 351–358. [Google Scholar] [CrossRef]
- Sollitt, C.K.; Cross, R.H. Wave transmission through permeable breakwaters. In Proceedings of the Thirteenth Conference on Coastal Engineering, Vancouver, BC, Canada, 10–14 July 1972; pp. 1827–1846. [Google Scholar] [CrossRef]
- Dalrymple, R.A.; Losada, M.A.; Martin, P. Reflection and transmission from porous structures under oblique wave attack. J. Fluid Mech. 1991, 224, 625–644. [Google Scholar] [CrossRef]
- Losada, I.; Silva, R.; Losada, M. 3-D non-breaking regular wave interaction with submerged breakwaters. Coast. Eng. 1996, 28, 229–248. [Google Scholar] [CrossRef]
- Koley, S.; Behera, H.; Sahoo, T. Oblique wave trapping by porous structures near a wall. J. Eng. Mech. 2015, 141, 04014122. [Google Scholar] [CrossRef]
- Behera, H.; Khan, M.B. Numerical modeling for wave attenuation in double trapezoidal porous structures. Ocean. Eng. 2019, 184, 91–106. [Google Scholar] [CrossRef]
- Tseng, I.F.; You, C.S.; Tsai, C.C. Bragg reflections of oblique water waves by periodic surface-piercing and submerged breakwaters. J. Mar. Sci. Eng. 2020, 8, 522. [Google Scholar] [CrossRef]
- Tsai, C.C.; Chang, Y.H.; Hsu, T.W. Step approximation on oblique water wave scattering and breaking by variable porous breakwaters over uneven bottoms. Ocean. Eng. 2022, 253, 111325. [Google Scholar] [CrossRef]
- Ni, Y.L.; Teng, B. Bragg resonant reflection of water waves by a Bragg breakwater with porous rectangular bars on a sloping permeable seabed. Ocean. Eng. 2021, 235, 109333. [Google Scholar] [CrossRef]
- Ni, Y.l.; Teng, B. Bragg resonant reflection of water waves by a Bragg breakwater with porous trapezoidal bars on a sloping permeable seabed. Appl. Ocean. Res. 2021, 114, 102770. [Google Scholar] [CrossRef]
- Sahoo, T.; Yip, T.L.; Chwang, A.T. Scattering of surface waves by a semi-infinite floating elastic plate. Phys. Fluids 2001, 13, 3215–3222. [Google Scholar] [CrossRef]
- Chen, X.J.; Wu, Y.S.; Cui, W.C.; Jensen, J.J. Review of hydroelasticity theories for global response of marine structures. Ocean. Eng. 2006, 33, 439–457. [Google Scholar] [CrossRef]
- Kyoung, J.H.; Hong, S.Y.; Kim, B.W.; Cho, S.K. Hydroelastic response of a very large floating structure over a variable bottom topography. Ocean. Eng. 2005, 32, 2040–2052. [Google Scholar] [CrossRef]
- Kaur, A.; Martha, S. Interaction of surface water waves with an elastic plate over an arbitrary bottom topography. Arch. Appl. Mech. 2022, 92, 3361–3379. [Google Scholar] [CrossRef]
- Behera, H.; Ng, C.O.; Sahoo, T. Oblique wave scattering by a floating elastic plate over a porous bed in single and two-layer fluid systems. Ocean. Eng. 2018, 159, 280–294. [Google Scholar] [CrossRef]
- Bhattacharjee, J.; Sahoo, T. Flexural gravity wave problems in two-layer fluids. Wave Motion 2008, 45, 133–153. [Google Scholar] [CrossRef]
- Xu, F.; Lu, D. Wave scattering by a thin elastic plate floating on a two-layer fluid. Int. J. Eng. Sci. 2010, 48, 809–819. [Google Scholar] [CrossRef]
- Lin, Q.; Lu, D. Hydroelastic interaction between obliquely incident waves and a semi-infinite elastic plate on a two-layer fluid. Appl. Ocean. Res. 2013, 43, 71–79. [Google Scholar] [CrossRef]
- Sahoo, G.; Singla, S.; Martha, S. Scattering of oblique water waves by thick porous structure and thin elastic plate. Ocean. Eng. 2022, 248, 110526. [Google Scholar] [CrossRef]
- Kumar, U.V.; Saha, S.; Koley, S. A comparative study of wave scattering by non-porous and porous flexible plates in the presence of a submerged porous structure. Meccanica 2023, 58, 1329–1346. [Google Scholar] [CrossRef]
- Sahoo, G.; Singla, S.; Martha, S.C. Mitigation of wave impact on sea wall by a floating elastic plate and a porous structure. J. Offshore Mech. Arct. Eng. 2023, 145, 051202. [Google Scholar] [CrossRef]
- Sahoo, G.; Singla, S.; Martha, S. Interaction of surface water waves with partial porous structure and floating elastic plate in the presence of sea wall. Ships Offshore Struct. 2025, 20, 441–458. [Google Scholar] [CrossRef]
- Dean, R.G.; Dalrymple, R.A. Water Wave Mechanics for Engineers and Scientists; World Scientific Publishing Company: Singapore, 1991; Volume 2. [Google Scholar] [CrossRef]
- Sahoo, G.; Venkateswarlu, V.; Martha, S. Mitigation of structural response on a floating elastic plate in the presence of multiple porous structures. Appl. Ocean. Res. 2025, 154, 104412. [Google Scholar] [CrossRef]
Disclaimer/Publisher’s Note: The statements, opinions and data contained in all publications are solely those of the individual author(s) and contributor(s) and not of MDPI and/or the editor(s). MDPI and/or the editor(s) disclaim responsibility for any injury to people or property resulting from any ideas, methods, instructions or products referred to in the content. |
© 2025 by the authors. Licensee MDPI, Basel, Switzerland. This article is an open access article distributed under the terms and conditions of the Creative Commons Attribution (CC BY) license (https://creativecommons.org/licenses/by/4.0/).
Share and Cite
Sahoo, G.; Behera, H.; Hsu, T.-W. Wave Load Reduction and Tranquility Zone Formation Using an Elastic Plate and Double Porous Structures for Seawall Protection. Mathematics 2025, 13, 2733. https://doi.org/10.3390/math13172733
Sahoo G, Behera H, Hsu T-W. Wave Load Reduction and Tranquility Zone Formation Using an Elastic Plate and Double Porous Structures for Seawall Protection. Mathematics. 2025; 13(17):2733. https://doi.org/10.3390/math13172733
Chicago/Turabian StyleSahoo, Gagan, Harekrushna Behera, and Tai-Wen Hsu. 2025. "Wave Load Reduction and Tranquility Zone Formation Using an Elastic Plate and Double Porous Structures for Seawall Protection" Mathematics 13, no. 17: 2733. https://doi.org/10.3390/math13172733
APA StyleSahoo, G., Behera, H., & Hsu, T.-W. (2025). Wave Load Reduction and Tranquility Zone Formation Using an Elastic Plate and Double Porous Structures for Seawall Protection. Mathematics, 13(17), 2733. https://doi.org/10.3390/math13172733