Sign in to use this feature.

Years

Between: -

Subjects

remove_circle_outline
remove_circle_outline
remove_circle_outline
remove_circle_outline
remove_circle_outline
remove_circle_outline
remove_circle_outline
remove_circle_outline
remove_circle_outline

Journals

remove_circle_outline
remove_circle_outline
remove_circle_outline
remove_circle_outline
remove_circle_outline
remove_circle_outline
remove_circle_outline
remove_circle_outline

Article Types

Countries / Regions

remove_circle_outline
remove_circle_outline
remove_circle_outline
remove_circle_outline
remove_circle_outline
remove_circle_outline
remove_circle_outline

Search Results (1,788)

Search Parameters:
Keywords = foraging effect

Order results
Result details
Results per page
Select all
Export citation of selected articles as:
18 pages, 1192 KB  
Article
Do Protein Supplementation Levels Influence the Performance of Male Nellore Calves Under a Grazing System at Pre-Weaning?
by Marcos Rocha Manso, Luciana Navajas Rennó, Edenio Detmann, Mário Fonseca Paulino, Sidnei Antônio Lopes, Nicole Stephane de Abreu Lima, Deilen Paff Sotelo Moreno and Román Maza Ortega
Animals 2025, 15(19), 2913; https://doi.org/10.3390/ani15192913 - 7 Oct 2025
Viewed by 207
Abstract
This study aimed to evaluate the effects of sequential supplementation with different crude protein levels and periods on performance, nutritional and metabolic characteristics, and efficiency of nitrogenous compounds use in grazing male Nellore calves at pre-weaning. Fifty male Nellore calves during pre-weaning were [...] Read more.
This study aimed to evaluate the effects of sequential supplementation with different crude protein levels and periods on performance, nutritional and metabolic characteristics, and efficiency of nitrogenous compounds use in grazing male Nellore calves at pre-weaning. Fifty male Nellore calves during pre-weaning were distributed in a completely randomized design in a 2 × 2 factorial arrangement. The strategies were as follows: Supplementation period in the initial pre-weaning was 1–78th experimental day and in the final pre-weaning was 79–156th experimental day. The Low and high protein levels in the supplement were 150 g CP/kg) and 300 g CP/kg, respectively. All animals received 6 g/kg BW of supplement. Protein levels in the supplement did not affect intake of forage DM, and neutral detergent fiber in the animals. However, a higher CP intake and the CP to DOM ratio (p-value < 0.05) was evidence for the high calves compared with low calves. Supplementation strategies did not affect the blood concentrations of IGF-1, glucose, and total protein. Likewise, protein levels in the supplement did not affect the ADG and number and diameter of muscle fibers. In conclusion, the decrease in protein levels in the supplement from 300 to 150 g CP/kg DM does not detrimentally affect performance and nutritional and metabolic characteristics in male beef calves under a grazing system at pre-weaning. Full article
(This article belongs to the Section Animal Nutrition)
Show Figures

Figure 1

14 pages, 1012 KB  
Article
Productivity and Forage Quality of Alfalfa Response to Potassium Fertilizer: A Field Study in Inner Mongolian Plateau
by Yuntao Wang, Lele Cui, Shenghao Liu, Wenxuan Li, Zhenyi Li, Wenxing Ye and Linqing Yu
Agronomy 2025, 15(10), 2328; https://doi.org/10.3390/agronomy15102328 - 1 Oct 2025
Viewed by 307
Abstract
The Inner Mongolian Plateau is a critical region for the development of herbivorous animal husbandry in China. However, its harsh climate and poor soil quality have constrained the sustainable growth of the alfalfa industry. This 3-year field study investigated the effects of potassium [...] Read more.
The Inner Mongolian Plateau is a critical region for the development of herbivorous animal husbandry in China. However, its harsh climate and poor soil quality have constrained the sustainable growth of the alfalfa industry. This 3-year field study investigated the effects of potassium (K) fertilizer on the productivity and forage quality of alfalfa (Medicago sativa L. cv. ‘WL168’) in such specific conditions of the region. Five rates of K fertilizer (0 (CK), 100, 200, 300, and 400 kg ha−1 of K2O) were applied in three split applications. Forage harvests occurred three times annually in 2023 and 2024, and yield, yield components, and forage quality were determined. The results showed that the forage yield of alfalfa increased initially and then decreased with the rising K application rates, which paralleled the changes in the plant density, and plant height, especially the mass shoot−1; forage yield was mainly correlated with mass shoot−1. Appropriate K fertilizer improved forage quality, especially in 2024. With increasing application, crude protein (CP) and total digestible nutrients (TDNs) first rose then declined, whereas neutral detergent fiber (NDF) and acid detergent fiber (ADF) decreased steadily, leading to a consistent rise in the relative feeding value (RFV). Comprehensively considering both yield and quality under such condition, a K fertilizer application rate of 273.2 kg ha−1 of K2O is suggested as a reference for this region. Full article
(This article belongs to the Special Issue Fertility Management for Higher Crop Productivity)
Show Figures

Figure 1

21 pages, 2417 KB  
Article
TrailMap: Pheromone-Based Adaptive Peer Matching for Sustainable Online Support Communities
by Harold Ngabo-Woods, Larisa Dunai, Isabel Seguí Verdú and Dinu Turcanu
Biomimetics 2025, 10(10), 658; https://doi.org/10.3390/biomimetics10100658 - 1 Oct 2025
Viewed by 263
Abstract
Online peer support platforms are vital, scalable resources for mental health, yet their effectiveness is frequently undermined by inefficient user matching, severe participation inequality, and subsequent “super-helper” burnout. This study introduces TrailMap, a novel peer-matching algorithm inspired by the decentralised foraging strategies of [...] Read more.
Online peer support platforms are vital, scalable resources for mental health, yet their effectiveness is frequently undermined by inefficient user matching, severe participation inequality, and subsequent “super-helper” burnout. This study introduces TrailMap, a novel peer-matching algorithm inspired by the decentralised foraging strategies of ant colonies. By treating user interactions as paths that gain or lose “pheromone” based on helpfulness ratings, the system enables the community to collectively and adaptively identify its most effective helpers. A two-phase validation study was conducted. First, an agent-based simulation demonstrated that TrailMap reduced the mean time to a helpful response by over 70% and improved workload equity compared to random routing. Second, a four-week randomised controlled pilot study with human participants confirmed these gains, showing a 76% reduction in median wait time and significantly higher perceived helpfulness ratings. The findings suggest that by balancing the workload, TrailMap enhances not only the efficiency but also the socio-technical sustainability of online support communities. TrailMap provides a practical, nature-inspired method for building more resilient and equitable online support communities, enhancing access to effective mental health support. Full article
Show Figures

Figure 1

14 pages, 310 KB  
Article
In Vitro Evaluation of Cattle Diets with the Inclusion of a Pelletized Concentrate Containing Acacia farnesiana
by Emmely Pamela Dimas Villalobos, Diana Sofía Torres Velázquez, Efren Delgado, Elia Esther Araiza Rosales, Hiram Medrano Roldán, Jorge Iñaki Gamero Barraza, Gerardo Antonio Pámanes Carrasco, Jesús Bernardo Páez Lerma, María Inés Guerra Rosas and Damián Reyes Jáquez
Ruminants 2025, 5(4), 47; https://doi.org/10.3390/ruminants5040047 - 1 Oct 2025
Viewed by 175
Abstract
Livestock production raises significant environmental concerns, necessitating the development of sustainable feeding strategies based on non-conventional forages, such as locally available vegetation. This study evaluated the effects of a pelleted concentrate containing 10% Acacia farnesiana leaves as a dietary supplement on in vitro [...] Read more.
Livestock production raises significant environmental concerns, necessitating the development of sustainable feeding strategies based on non-conventional forages, such as locally available vegetation. This study evaluated the effects of a pelleted concentrate containing 10% Acacia farnesiana leaves as a dietary supplement on in vitro ruminal fermentation. Four experimental diets were formulated with increasing levels of the concentrate (0%, 25%, 50%, and 75%). Analyses were performed in triplicate and included chemical composition, in vitro gas and methane production, fermentation kinetics, ammonia nitrogen concentration (N–NH3), in vitro dry matter digestibility (IVDMD), and metabolizable energy (ME) estimation. The results revealed no significant differences (p > 0.05) in most gas production kinetic parameters, overall fermentation patterns, or metabolizable energy. In contrast, a significant increase (p < 0.05) in secondary metabolite concentrations was detected. While methane production remained unaltered (p > 0.05), a significant linear reduction was observed for IVDMD, the lag phase (L), and N–NH3 concentration (p = 0.0064, p = 0.0036, and p < 0.0001, respectively). These findings suggest that A. farnesiana can be incorporated into ruminant concentrates without increasing methane emissions. However, in vivo trials and mechanistic studies are required to validate and further elucidate these results. Full article
Show Figures

Graphical abstract

21 pages, 2281 KB  
Article
Path Optimization for Cluster Order Picking in Warehouse Robotics Using Hybrid Symbolic Control and Bio-Inspired Metaheuristic Approaches
by Mete Özbaltan, Serkan Çaşka, Merve Yıldırım, Cihat Şeker, Faruk Emre Aysal, Hazal Su Bıçakcı Yeşilkaya, Murat Demir and Emrah Kuzu
Biomimetics 2025, 10(10), 657; https://doi.org/10.3390/biomimetics10100657 - 1 Oct 2025
Viewed by 286
Abstract
In this study, we propose an architectural model for path optimization in cluster order picking within warehouse robotics, utilizing a hybrid approach that combines symbolic control and metaheuristic techniques. Among the optimization strategies, we incorporate bio-inspired metaheuristic algorithms such as the Walrus Optimization [...] Read more.
In this study, we propose an architectural model for path optimization in cluster order picking within warehouse robotics, utilizing a hybrid approach that combines symbolic control and metaheuristic techniques. Among the optimization strategies, we incorporate bio-inspired metaheuristic algorithms such as the Walrus Optimization Algorithm (WOA), Puma Optimization Algorithm (POA), and Flying Foxes Algorithm (FFA), which are grounded in behavioral models observed in nature. We consider large-scale warehouse robotic systems, partitioned into clusters. To manage shared resources between clusters, the set of clusters is first formulated as a symbolic control design task within a discrete synthesis framework. Subsequently, the desired control goals are integrated into the model, encoded using parallel synchronous dataflow languages; the resulting controller, derived using our safety-focused and optimization-based synthesis approach, serves as the manager for the cluster. Safety objectives address the rigid system behaviors, while optimization objectives focus on minimizing the traveled path of the warehouse robots through the constructed cost function. The metaheuristic algorithms contribute at this stage, drawing inspiration from real-world animal behaviors, such as walruses’ cooperative movement and foraging, pumas’ territorial hunting strategies, and flying foxes’ echolocation-based navigation. These nature-inspired processes allow for effective solution space exploration and contribute to improving the quality of cluster-level path optimization. Our hybrid approach, integrating symbolic control and metaheuristic techniques, demonstrates significantly higher performance advantage over existing solutions, with experimental data verifying the practical effectiveness of our approach. Our proposed algorithm achieves up to 3.01% shorter intra-cluster paths compared to the metaheuristic algorithms, with an average improvement of 1.2%. For the entire warehouse, it provides up to 2.05% shorter paths on average, and even in the worst case, outperforms competing metaheuristic methods by 0.28%, demonstrating its consistent effectiveness in path optimization. Full article
(This article belongs to the Special Issue Bio-Inspired Robotics and Applications 2025)
Show Figures

Figure 1

19 pages, 2295 KB  
Article
Effect of Winter Cropping Forage on Soil Aggregate Distribution and Stability
by Yao Xiang, Chuting Zhang, Mengyan Cao, Shuangqi Jiang, Chuntao He and Guorong Xin
Agriculture 2025, 15(19), 2039; https://doi.org/10.3390/agriculture15192039 - 29 Sep 2025
Viewed by 264
Abstract
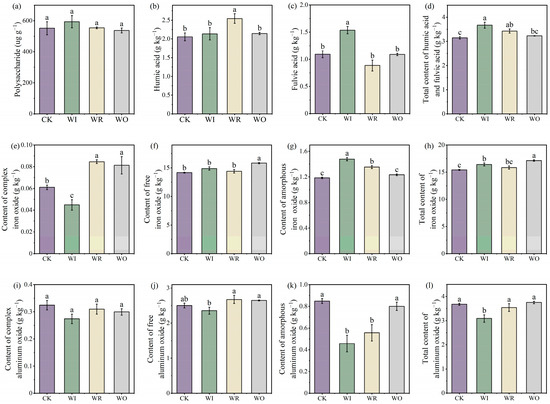
Soil structure is crucial for maintaining soil health and can be improved through winter cropping. This study evaluated the effects of winter cropping Italian ryegrass (WI), rye (WR), oat (WO), and winter fallow (CK) on soil aggregate structure and explored the role of [...] Read more.
Soil structure is crucial for maintaining soil health and can be improved through winter cropping. This study evaluated the effects of winter cropping Italian ryegrass (WI), rye (WR), oat (WO), and winter fallow (CK) on soil aggregate structure and explored the role of soil-cementing materials and arbuscular mycorrhizal fungi (AMF) communities in regulating soil aggregate distribution and stability. Compared to CK, the WI and WR treatments increased the proportion of water-stable large macroaggregates (>2 mm diameter) by 45.7% and 41.5%, respectively. Both WI and WR treatments enhanced the mean weight diameter and geometric mean diameter of soil aggregates, while soil porosity increased by 15.7% and 21.7%, respectively. The contents of amorphous iron oxide, humic acid, and fulvic acid were significantly higher in the WI and WR treatments. The WR treatment improved the Shannon index of AMF communities by 14.6%, and the relative abundances of Claroideoglomus increased by 55.3%, 51.3%, and 43.5% in the WI, WR, and WO treatments, compared to CK, respectively. Dominant AMF genera had a substantial impact on soil aggregate distribution. The partial least squares path model indicated that distinct AMF communities contributed to variations in soil aggregate distribution following winter cropping forages. Both Italian ryegrass and rye showed the greatest potential for enhancing soil structure and are recommended for winter cropping in Southern China. These findings suggest that winter cropping forages can improve soil aggregate structure primarily by enhancing AMF communities, providing a promising strategy for improving soil health. Full article
(This article belongs to the Section Agricultural Soils)
Show Figures

Graphical abstract

14 pages, 1991 KB  
Article
Recovery of Degraded Urochloa Pasture: Effects of Polyhalite on Dry Mass Accumulation and Macronutrient Dynamics
by Fabiano Martins de Almeida, Reges Heinrichs, Flavia Rodrigues Martinez, Maurício Bruno Prado da Silva, Paulo Humberto Pagliari and Cecilio Viega Soares-Filho
Agronomy 2025, 15(10), 2300; https://doi.org/10.3390/agronomy15102300 - 29 Sep 2025
Viewed by 512
Abstract
Grasslands cover more than 25% of the Earth’s surface and play essential ecological roles, such as forage production, supporting pollinators, and carbon sequestration. This study aimed to evaluate the recovery of a degraded pasture of Urochloa decumbens cv. Basilisk through aerial dry mass [...] Read more.
Grasslands cover more than 25% of the Earth’s surface and play essential ecological roles, such as forage production, supporting pollinators, and carbon sequestration. This study aimed to evaluate the recovery of a degraded pasture of Urochloa decumbens cv. Basilisk through aerial dry mass production, plant height, and foliar macronutrients concentration and uptake after fertilization with polyhalite. The experiment was carried out at the Teaching, Research, and Extension Farm of the School of Agrarian and Technological Sciences, UNESP—Dracena Campus, in a dystrophic red–yellow latosol soil. A randomized block design with four replications was used. The treatments included the following: (T1) control, (T2) N + P + liming, (T3) T2 + 30 kg ha−1 K2O (polyhalite), (T4) T2 + 60 kg ha−1 K2O (polyhalite), (T5) T2 + 60 (30 + 30) kg ha−1 K2O (polyhalite), and (T6) 60 kg ha−1 K2O (polyhalite). The treatment with N + P + liming + 60 kg ha−1 K2O (polyhalite) resulted in 93% more dry mass production when compared with the control treatment. This treatment was most effective for grassland recovery, whereas polyhalite alone was ineffective. Tissue N and S concentrations increased as a result of the addition of N + P + liming + 60 kg ha−1 K2O (polyhalite). Full article
(This article belongs to the Section Grassland and Pasture Science)
Show Figures

Figure 1

16 pages, 1791 KB  
Article
Pediococcus pentosaceus OL77 Enhances Oat (Avena sativa) Silage Fermentation Under Cold Conditions
by Xin Liu, Guiqin Zhao, Jie Bai, Xinyi Qu, Jikuan Chai and Doudou Lin
Microorganisms 2025, 13(10), 2248; https://doi.org/10.3390/microorganisms13102248 - 25 Sep 2025
Viewed by 218
Abstract
Ensiling forage under low-temperature conditions often leads to poor fermentation and nutrient losses. This study evaluated the effects of a cold-tolerant Pediococcus pentosaceus OL77 strain on oat silage. Silages were prepared with or without Pediococcus pentosaceus inoculation (1 × 105 cfu/g FM). [...] Read more.
Ensiling forage under low-temperature conditions often leads to poor fermentation and nutrient losses. This study evaluated the effects of a cold-tolerant Pediococcus pentosaceus OL77 strain on oat silage. Silages were prepared with or without Pediococcus pentosaceus inoculation (1 × 105 cfu/g FM). After 90 days, OL77-treated silage showed markedly higher lactic acid (45.83 vs. 30.51 g/kg DM), lower pH (3.88 vs. 4.443), and better preservation of WSC (64.68 vs. 47.60 g/kg DM) and crude protein (89.26 vs. 65.52 g/kg DM) than the control. Microbial analysis revealed accelerated colonization by Pediococcus, reduced bacterial diversity, and faster stabilization of the fermentation process. Functional predictions indicated enhanced carbohydrate and energy metabolism. These findings demonstrate that OL77 can effectively improve fermentation quality and nutrient preservation of oat silage under low-temperature conditions, offering a practical inoculant option for cold regions. Full article
(This article belongs to the Special Issue Microorganisms in Silage)
Show Figures

Figure 1

16 pages, 1490 KB  
Article
Forage Quality Improves but Ecosystem Multifunctionality Declines Under Drought and Frequent Cutting in Dry Grassland Mesocosms
by Joana Rosado, Irene Mandrini, Lucia Muggia, Cristina Cruz and Teresa Dias
Resources 2025, 14(10), 149; https://doi.org/10.3390/resources14100149 - 24 Sep 2025
Viewed by 355
Abstract
Dry grasslands are vast, socioeconomically and ecologically important environments, which are increasingly threatened by multiple stressors. We tested whether plant cover composition could mitigate ecosystem services loss under multiple stressors in dry grassland mesocosms by growing the grass sorghum (Sorghum bicolor) [...] Read more.
Dry grasslands are vast, socioeconomically and ecologically important environments, which are increasingly threatened by multiple stressors. We tested whether plant cover composition could mitigate ecosystem services loss under multiple stressors in dry grassland mesocosms by growing the grass sorghum (Sorghum bicolor) alone (Grass cover) or together with the legume serradella (Ornithopus sativus) (Mixed cover) under frequent cutting and/or increasing water stress. We assessed erosion control, carbon sequestration, forage quantity and quality, and soil fertility, individually and simultaneously (i.e., multifunctionality). Contrary to our hypothesis, the Mixed cover did not improve ecosystem services compared to the Grass cover, except for forage quality, which improved by 30%. In general, the stressors had negative effects: cutting reduced erosion control by 20%, forage quantity by 50%, soil fertility by 40% and multifunctionality by 20%, and severe water stress decreased carbon sequestration by 40%, forage quantity by 30%, soil fertility by 10%, and multifunctionality by 10%. Water stress caused 100% serradella mortality, underscoring this legume’s vulnerability to increasing aridity. Combined stressors yielded the lowest service provision. Forage quality was the only service that improved under stress: cutting improved it by 40% and severe water stress by 60%. Our results suggest that while systems combining grasses and legumes may enhance forage quality, grass-dominated systems appear more resilient to multiple stressors in drylands, largely due to their superior efficiency in accessing and conserving limited water and nutrient resources. Given the ongoing trends of aridification and land-use intensification, future research should explore adaptive management strategies that prioritize resource-efficient plant species, foster belowground resource retention, and optimize grazing regimes to sustain resilience and multifunctionality in dry grasslands. Full article
Show Figures

Figure 1

20 pages, 2284 KB  
Review
The Role of Microbes in Ensiling
by Olli H. Tuovinen, Seppo I. Niemelä and Päivi J. Rajala-Schultz
Microorganisms 2025, 13(10), 2237; https://doi.org/10.3390/microorganisms13102237 - 24 Sep 2025
Viewed by 394
Abstract
Ensiling is the microbial processing of forage, based on the fermentation of plant sap that acidifies the silage to pH < 5. This acidity threshold prevents microbial activity that could otherwise produce inhibitory, toxic, malodorous or otherwise undesired metabolites. Anaerobic conditions are key [...] Read more.
Ensiling is the microbial processing of forage, based on the fermentation of plant sap that acidifies the silage to pH < 5. This acidity threshold prevents microbial activity that could otherwise produce inhibitory, toxic, malodorous or otherwise undesired metabolites. Anaerobic conditions are key to silage production and storage in silos because aerobic exposure would change the microbiota to counterproductive metabolism. This review outlines the principal microbial groups involved in the open ensiling process and discusses some additive effects with externally added compounds that have been used in this industry to enhance anaerobiosis, lactic acid fermentation, preservation, and safe storage. The ensiling process and the type of forage in the silage may impact methanogenesis in ruminants, and additional effects on ruminal digestion have also been reported. Full article
Show Figures

Figure 1

23 pages, 1633 KB  
Article
Physiological and Behavioral Responses of Stabled Horses (Equus caballus) to Three Types of Environmental Enrichment
by Miranda Brauns, Ahmed Ali, Jeannine Berger and Amy McLean
Animals 2025, 15(19), 2779; https://doi.org/10.3390/ani15192779 - 23 Sep 2025
Viewed by 670
Abstract
Small stalls and regulated feedings restrict horses’ natural foraging and locomotion, increasing risks to welfare. Environmental enrichment may promote more naturalistic behavioral time budgets, yet little is known about how enrichment type or timing affects physiology and behavior. This study examined nine stabled [...] Read more.
Small stalls and regulated feedings restrict horses’ natural foraging and locomotion, increasing risks to welfare. Environmental enrichment may promote more naturalistic behavioral time budgets, yet little is known about how enrichment type or timing affects physiology and behavior. This study examined nine stabled Quarter Horses provided with hay feeders, activity balls, or mirrors across randomized trials. Each trial included 30 min observations, four times per day, with enrichment removed between sessions and 5-day washouts between trials. Nightwatch® Smart Halters™ recorded heart and respiration rates, while behaviors were video-scored using instantaneous scan sampling. Observers were not blind to the treatments. Enrichment effects, item type, time of day, and possible interactions for each variable were tested using a GLMM; Tukey’s HSD multiple comparison procedure was used for post hoc comparisons (at p ≤ 0.05). Enrichment significantly increased heart rate compared with the control (p = 0.03), indicating heightened arousal, with hay feeders producing the strongest effects. Respiration rate was unaffected. Mirrors reduced evening heart rates compared with other times (p = 0.02). Across treatments, enrichment increased foraging (p = 0.01) and locomotion (p = 0.03), while reducing frustration behaviors (p = 0.03). Hay feeders produced time budgets most similar to wild horses, suggesting greater effectiveness at meeting behavioral needs. Effects were most pronounced at 12:00 h and 16:00 h, outside routine meals. Overall, enrichment may improve physiological and behavioral outcomes, supporting its role in promoting welfare for stabled horses. Larger studies are needed to assess item-specific and long-term impacts. Full article
(This article belongs to the Special Issue Recent Advances in Equine Behavior and Welfare)
Show Figures

Figure A1

25 pages, 918 KB  
Review
Roots to Riches: Unearthing the Synergy of Intercropping, Microbial Interactions, and Symbiotic Systems for Sustainable Agriculture: A Review
by Priyal Sisodia, Agata Gryta, Shamina Imran Pathan, Giacomo Pietramellara and Magdalena Frąc
Agronomy 2025, 15(9), 2243; https://doi.org/10.3390/agronomy15092243 - 22 Sep 2025
Viewed by 804
Abstract
Intercropping, especially legume-cereal systems, is a mixed farming approach that can improve agricultural resilience by addressing challenges such as soil degradation, biodiversity loss, and global change, all while promoting the sustainable production of protein-rich and nutritious food. However, its adoption in industrialized countries [...] Read more.
Intercropping, especially legume-cereal systems, is a mixed farming approach that can improve agricultural resilience by addressing challenges such as soil degradation, biodiversity loss, and global change, all while promoting the sustainable production of protein-rich and nutritious food. However, its adoption in industrialized countries remains limited due to economic and technical challenges, as well as a fragmented understanding of soil–plant-microbe interactions, which hinders its complete optimization. This article provides an overview of the current situation and future perspectives on the importance of legume–cereal intercropping, with examples such as common bean–maize, soybean–maize, alfalfa–corn–rye, and legumes–pulses–little millet systems. These combinations highlight how intercropping can improve nutrient cycling, increase root growth, forage and grain yield, suppress soil-borne diseases, and promote soil microbial population and enzymatic activity. While it offers environmental benefits, practical challenges such as system design, management complexity, and cost-effectiveness must be addressed to encourage wider adoption. In preparing this review, we synthesized studies published between 2000 and 2025, with a particular emphasis on recent research from China and Southeast Asia. We also considered broader intercropping contexts, including energy crops, agroforestry systems, rice paddy co-cultures, and phytoremediation approaches. The review also highlights legume–cereal as a solution to sustainable soil management, ecosystem health, and the potential for increased nutritional food production in developed countries. Full article
(This article belongs to the Special Issue The Rhizobium-Legume Symbiosis in Crops Production)
Show Figures

Graphical abstract

17 pages, 2447 KB  
Article
Faba Bean–Oat Mixtures Modify Rhizosphere Microbiota and Nutrient–Biomass Regulation on the Qinghai–Tibetan Plateau
by Huilin Yan, Xin Jin, Panda Ye, Changcai Teng and Yujiao Liu
Agronomy 2025, 15(9), 2236; https://doi.org/10.3390/agronomy15092236 - 22 Sep 2025
Viewed by 399
Abstract
Grass–legume mixtures are increasingly recognized for their potential to enhance soil health and forage productivity through belowground biotic interactions. In this study, we evaluated the effects of Vicia faba L. (faba bean 4060)–Avena sativa L. (oat ‘Baylor II’) mixtures on biomass, soil [...] Read more.
Grass–legume mixtures are increasingly recognized for their potential to enhance soil health and forage productivity through belowground biotic interactions. In this study, we evaluated the effects of Vicia faba L. (faba bean 4060)–Avena sativa L. (oat ‘Baylor II’) mixtures on biomass, soil properties, and bacterial community dynamics. Results showed that mixtures significantly reduced the fresh weight of faba bean (6.2 kg/m2) compared to monoculture (8.8 kg/m2, p < 0.001), while oat biomass increased under mixtures (3.2 kg m−2 vs. 2.8 kg m−2, p < 0.01). Available phosphorus (AP) and available potassium (AK) significantly decreased in the rhizosphere of both mixtures, whereas alkali-hydrolyzable nitrogen (AN) significantly increased, particularly in oat. Mixtures significantly enhanced bacterial richness, evenness, and Shannon diversity in faba bean (p < 0.01) but had no significant effect on oat diversity metrics. NMDS indicated distinct shifts in bacterial community structures under mixtures. Acidobacteriota and Vicinamibacteraceae were enriched in faba bean mixtures, whereas Actinobacteriota decreased in both forages under mixtures. Source Tracker analysis suggested substantial microbial exchange between species, with over 40% of the bacterial community in mixed roots originating from the partner monoculture. Although microbial community stability tended to decline under mixtures, differences were not significant. Niche breadth was significantly expanded in faba bean mixtures. Community assembly processes remained predominantly stochastic; however, mixtures slightly shifted the balance toward deterministic processes. Structural equation model revealed that soil physicochemical properties had a significant negative effect on diversity (β = −0.371, p = 0.007), and diversity had a significant negative effect on freshweight (β = −0.770, p < 0.001), suggesting that bacterial diversity may play a mediating role in the relationship between soil properties and plant fresh weight (β = 0.285, p = 0.011). These findings demonstrate that mixture-induced changes in soil nutrient status and microbial community characteristics collaboratively mediate plant performance through altered community assembly and diversity–function relationships. Full article
(This article belongs to the Section Innovative Cropping Systems)
Show Figures

Figure 1

16 pages, 4816 KB  
Article
Demographic Differences in Behavior, Movement, and Habitat Use in the Toad-Headed Agama (Phrynocephalus versicolor) of the Gobi Desert (Dornogovi, Mongolia)
by Kaera Utsumi, Alicia Pham, Batdelger Erdenetsetseg, Maria Eifler and Douglas Eifler
Diversity 2025, 17(9), 659; https://doi.org/10.3390/d17090659 - 20 Sep 2025
Viewed by 394
Abstract
Demographic constraints can have a profound effect on behavioral ecology. Yet examinations of intraspecific variation considering both sex and age are rare. We assess age and sex-specific habitat use, movement, and behavior in variegated toad-headed agamas (Phrynocephalus versicolor) in the Gobi [...] Read more.
Demographic constraints can have a profound effect on behavioral ecology. Yet examinations of intraspecific variation considering both sex and age are rare. We assess age and sex-specific habitat use, movement, and behavior in variegated toad-headed agamas (Phrynocephalus versicolor) in the Gobi Desert, Mongolia. We predicted that juveniles would move and forage more than either adult sex and would engage in more random movement paths (i.e., higher entropy) than adults. We conducted 15 min focal observations, marking locations every 30 s to delineate the movement path of individuals. We recorded foraging and tail displays throughout the observation and habitat data at each marker. We found no sex-specific variation in behavior, number of moves, or entropy, but did record sex-specific variation in habitat use and movement paths. Age-specific variation in behavior, movement, entropy, and habitat use was prevalent and nuanced. Juveniles ate, dug, moved, and tail displayed more than adults, and they had movement paths with higher entropy than either adult sex. Sex and age-based variation in behavior, movement, and habitat use could arise from differential body size, experience, or reproductive status. Future work is needed to understand the function of tail displays and the relationship of entropy in movement paths to behavioral ecology. Full article
(This article belongs to the Special Issue Biogeography, Ecology and Conservation of Reptiles)
Show Figures

Figure 1

22 pages, 351 KB  
Article
Effect of a Corn Silage-Based Finishing Diet on Growth, Carcass Composition, Meat Quality, Methane Emissions and Carbon Footprint of Crossbred Angus Young Bulls
by Diana M. Soares, Sílvia Bernardino, Nuno Rodrigues, Ivo Gama, João M. Almeida, Ricardo F. M. Teixeira, José Santos-Silva, Susana P. Alves, Tiago Domingos, Cecile Martin, Gonçalo M. Marques and Rui J. B. Bessa
Sustainability 2025, 17(18), 8417; https://doi.org/10.3390/su17188417 - 19 Sep 2025
Viewed by 821
Abstract
Using locally produced forage and agro-industrial by-products can reduce dependence on imported feed and competition for human food sources, while improving meat quality. However, the overall effect of this feeding strategy on global greenhouse gas emissions must be evaluated to provide a comprehensive [...] Read more.
Using locally produced forage and agro-industrial by-products can reduce dependence on imported feed and competition for human food sources, while improving meat quality. However, the overall effect of this feeding strategy on global greenhouse gas emissions must be evaluated to provide a comprehensive assessment of sustainability. This study aimed to test whether replacing the conventional concentrate finishing diet with a total mixed ration (TMR) diet based on maize silage and brewer’s spent grains (BSG) would improve meat quality without compromising productive performance, carcass composition, and the carbon footprint (CFp) of finishing beef cattle. Twenty crossbred young bulls were randomly distributed among 4 pens and randomly allocated to 2 treatments: Control—a conventional diet based on commercial concentrate and wheat straw or TMR—a maize silage-based diet with BSG, concentrate, and straw. Dry matter intake and average daily gain were 13% and 15%, respectively, lower in the TMR treatment than in the Control treatment. Daily methane emissions were 59% higher in the TMR treatment. However, life cycle assessment results revealed no differences in the CFp, and the beef from TMR treatment achieved higher meat quality. In conclusion, a maize silage-based diet offers a cost-effective alternative to conventional diets, with a lower environmental impact and improved beef quality. Full article
(This article belongs to the Section Sustainable Agriculture)
Back to TopTop