Recovery of Degraded Urochloa Pasture: Effects of Polyhalite on Dry Mass Accumulation and Macronutrient Dynamics
Abstract
1. Introduction
2. Materials and Methods
2.1. Experimental Site
2.2. Meteorological Data
2.3. Treatment and Experimental Design
- T1—Control: No fertilization;
- T2—NP + liming: 75 kg ha−1 N + 60 kg ha−1 P2O5 + liming;
- T3—T2 + 30 kg ha−1 K2O (polyhalite) + liming;
- T4—T2 + 60 kg ha−1 K2O (polyhalite) + liming;
- T5—T2 + split application of (30 + 30) kg ha−1 K2O (polyhalite) + liming;
- T6—K-only: 60 kg ha−1 K2O (polyhalite).
2.4. Soil Collection and Analysis
2.5. Sample Harvest
2.6. Statistical Analysis
3. Results
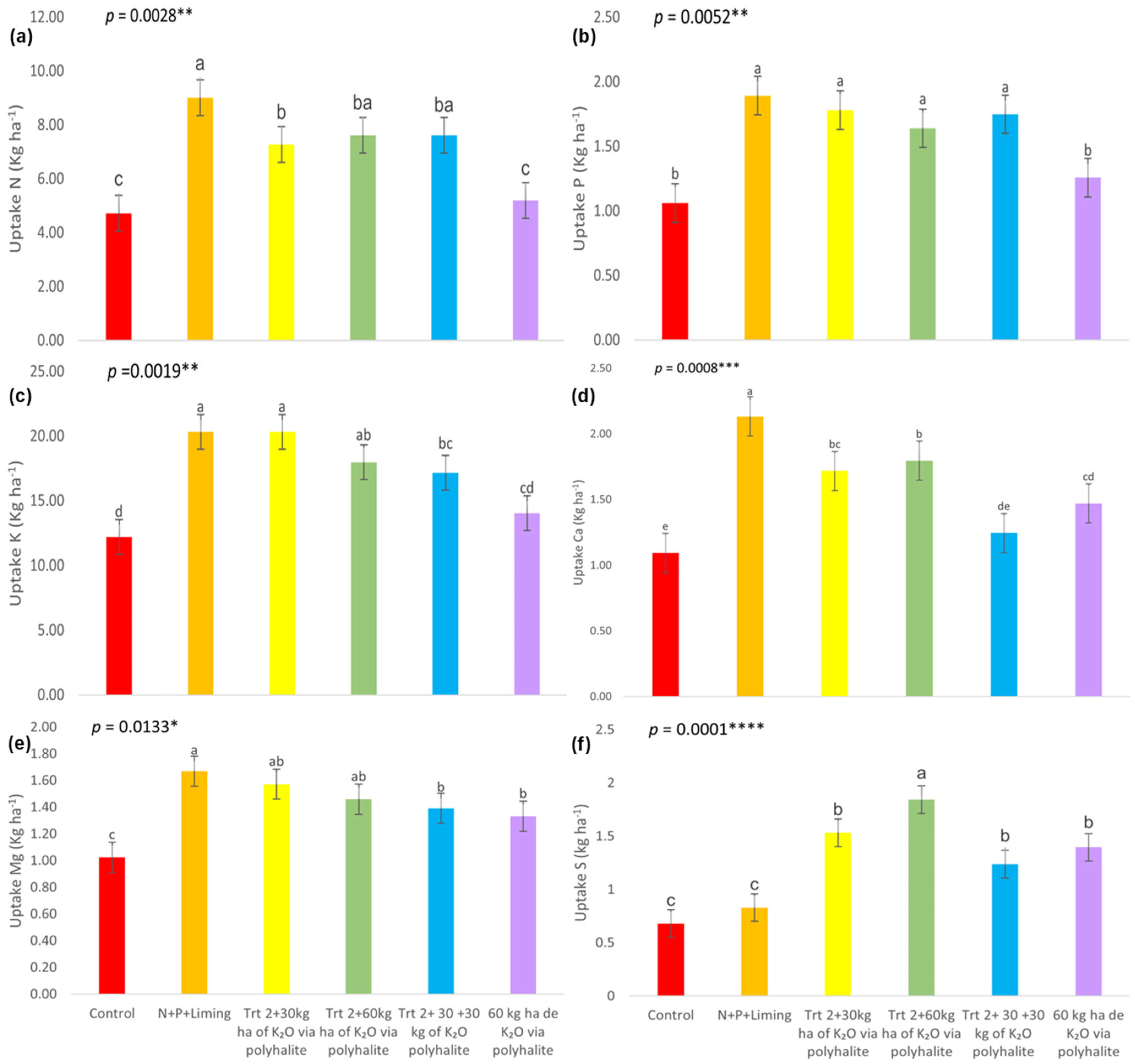
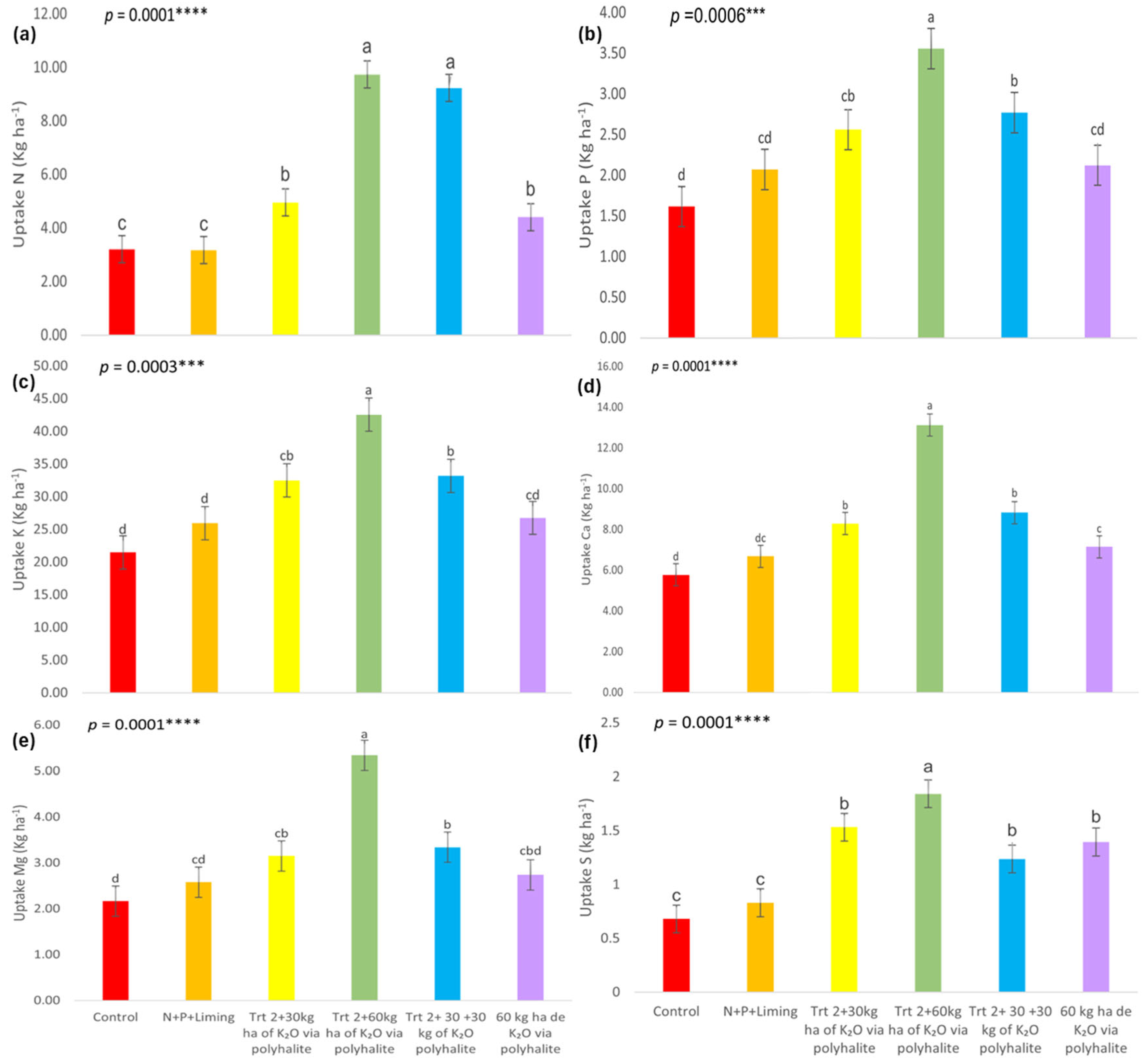
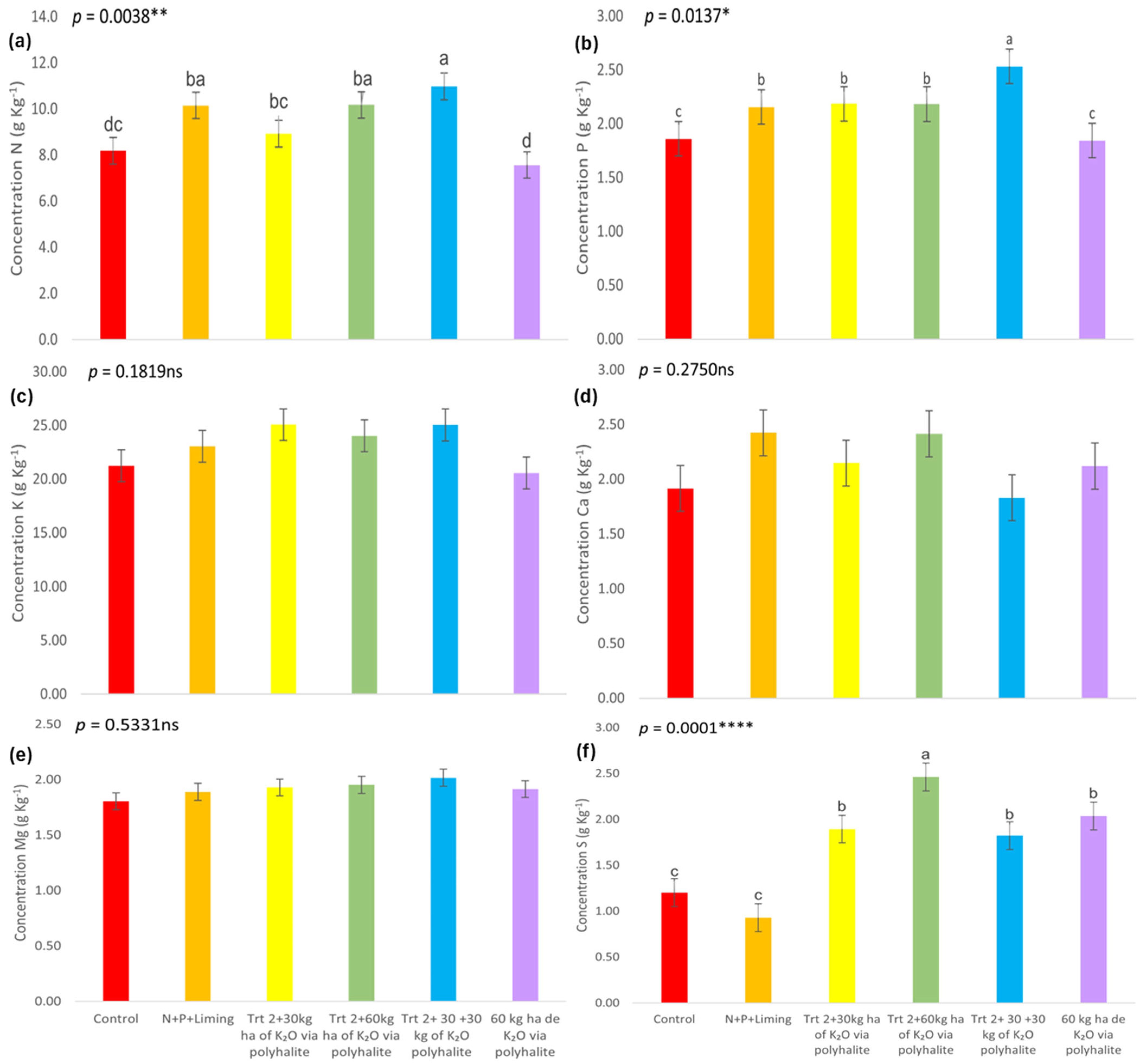
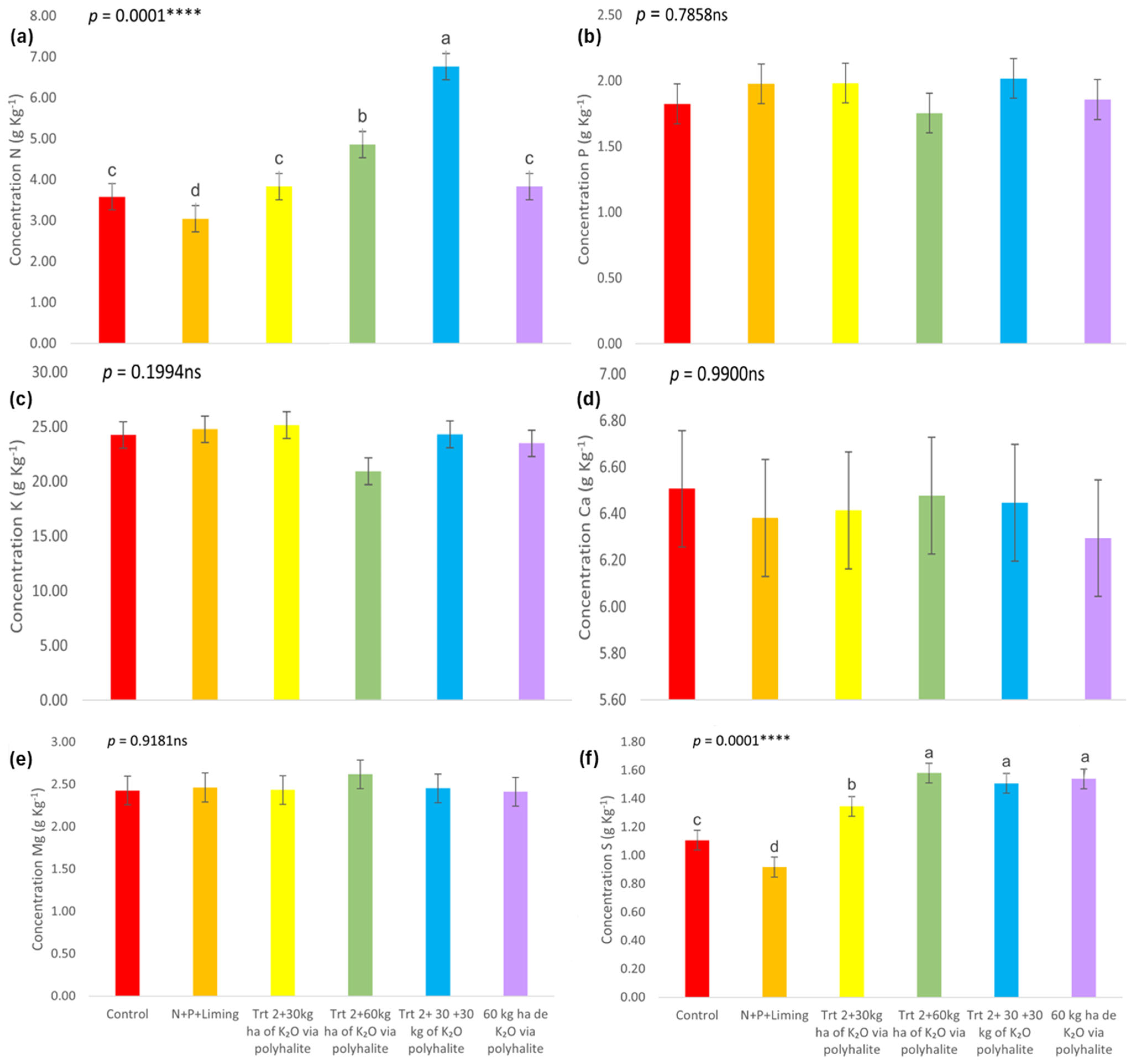
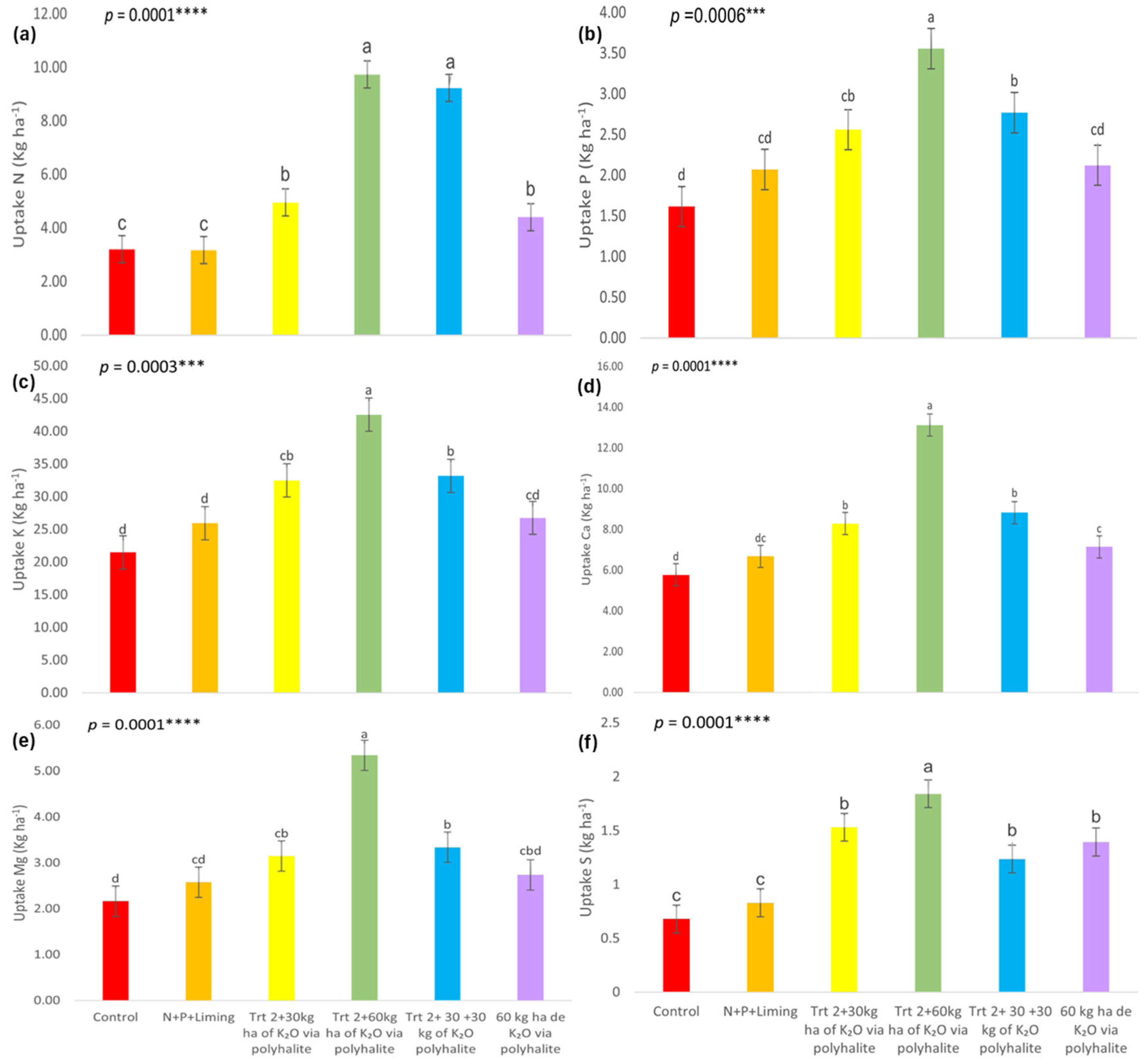
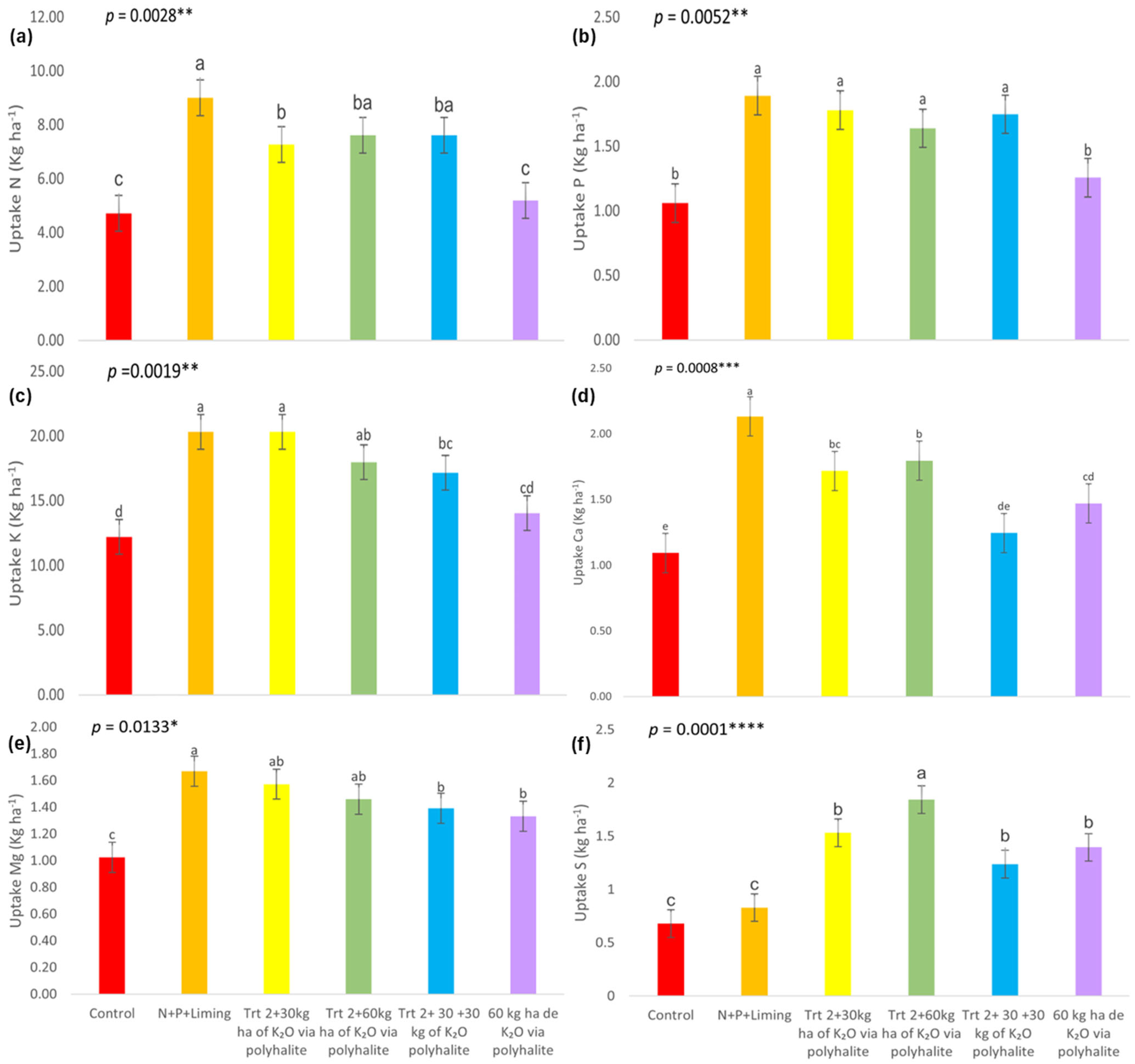
3.1. Nutrient Concentration and Uptake
3.1.1. Macronutrient Concentrations
3.1.2. Macronutrient Uptake
4. Discussion
5. Conclusions
Author Contributions
Funding
Institutional Review Board Statement
Data Availability Statement
Acknowledgments
Conflicts of Interest
References
- Török, P.; Brudvig, L.A.; Kollmann, J.; Price, J.N.; Tóthmérész, B. The Present and Future of Grassland Restoration. Restor. Ecol. 2021, 29, e13378. [Google Scholar] [CrossRef]
- LAPIG—Laboratório de Processamento de Imagens e Geoprocessamento. Atlas das Pastagens Brasileiras; Universidade Federal de Goiás: Goiânia, Brazil, 2024; Available online: https://atlasdaspastagens.ufg.br (accessed on 16 September 2025).
- Oliveira, D.C.; Maia, S.M.F.; Freitas, R.C.; Cerri, C.E.P. Changes in soil carbon and soil carbon sequestration potential under different types of pasture management in Brazil. Reg. Environ. Change 2022, 22, 87. [Google Scholar] [CrossRef]
- Bolfe, É.L.; Sano, E.E.; Massruhá, S.M.F.S.; Victoria, D.C.; Silva, G.B.S.; Oliveira, A.F. Potencial de expansão agrícola em áreas de pastagem degradadas no Brasil. AgroAnalysis 2024, 44, 25–27. [Google Scholar]
- Dias-Filho, M.B. Degradação de Pastagens: Conceitos, Processos e Estratégias de Recuperação e de Prevenção; Self-Published by the Author: Belém, Brazil, 2023; ISBN 978-65-00-73154-5. Available online: https://www.infoteca.cnptia.embrapa.br/infoteca/handle/doc/1173673 (accessed on 16 September 2025).
- Dias-Filho, M.B. Degradação de pastagens Função das plantas daninhas. Doc. Embrapa Amazon. Orient. 2024, 16. [Google Scholar] [CrossRef]
- Boddey, R.M.; Macedo, R.; Tarré, R.M.; Ferreira, E.; De Oliveira, O.C.; De Rezende, C.P.; Cantarutti, R.B.; Pereira, J.M.; Alves, B.J.R.; Urquiaga, S. Nitrogen Cycling in Brachiaria Pastures: The Key to Understanding the Process of Pasture Decline. Agric. Ecosyst. Environ. 2004, 103, 389–403. [Google Scholar] [CrossRef]
- Dias-Filho, M.B. Diagnóstico das Pastagens No Brasil; Documentos 402; Embrapa Amazônia Oriental: Belém, Brazil, 2014; 36p, Available online: https://www.infoteca.cnptia.embrapa.br/bitstream/doc/986147/1/DOC402.pdf (accessed on 11 September 2025).
- Maia, S.M.F.; Ogle, S.M.; Cerri, C.E.P.; Cerri, C.C. Effect of Grassland Management on Soil Carbon Sequestration in Rondônia and Mato Grosso States, Brazil. Geoderma 2009, 149, 84–91. [Google Scholar] [CrossRef]
- Conant, R.T.; Paustian, K.; Elliott, E.T. Grassland Management and Conversion into Grassland: Effects on Soil Carbon. Ecol. Appl. 2001, 11, 343–355. [Google Scholar] [CrossRef]
- Lal, R. Soil Carbon Sequestration to Mitigate Climate Change. Geoderma 2004, 123, 1–22. [Google Scholar] [CrossRef]
- Avelino Cabral, C.E.; Cabral, C.H.A.; Santos, A.R.M.; Motta, A.M.; Mota, L.G. Impactos Técnico-Econômicos da Adubação de Pastos. Nativ. Sinop 2021, 9, 173–181. [Google Scholar] [CrossRef]
- Liao, L.; Wang, X.; Wang, J.; Liu, G.; Zhang, C. Nitrogen Fertilization Increases Fungal Diversity and Abundance of Saprotrophs While Reducing Nitrogen Fixation Potential in a Semiarid Grassland. Plant Soil 2021, 465, 515–532. [Google Scholar] [CrossRef]
- Lillywhite, R.D.; Wiltshire, J.J.J.; Webb, J.; Menadue, H. The Response of Winter Barley (Hordeum vulgare) and Forage Maize (Zea mays) Crops to Polyhalite, a Multi-Nutrient Fertilizer. J. Agric. Sci. 2020, 158, 269–278. [Google Scholar] [CrossRef]
- Mendes, W.D.C.; Alves Júnior, J.; Cunha, P.C.R.D.; Silva, A.R.D.; Evangelista, A.W.P.; Casaroli, D. Potassium Leaching in Different Soils as a Function of Irrigation Depths. Rev. Bras. Eng. Agríc. Ambient. 2016, 20, 972–977. [Google Scholar] [CrossRef]
- Anglo American Woodsmith Ltd. POLY4 Powder Product Specification Sheet; Crop Nutrients, Anglo American Woodsmith Ltd.: Scarborough, UK, 2021; Available online: https://www.poly4.com/site/assets/files/1225/poly4_powder_product_specification_sheet_-_2021_-_english-1.pdf (accessed on 11 September 2025).
- Yermiyahu, U.; Zipori, I.; Faingold, I.; Yusopov, L.; Faust, N.; Bar-Tal, A. Polyhalite as a Multi Nutrient Fertilizer—Potassium, Magnesium, Calcium and Sulfate. Isr. J. Plant Sci. 2017, 64, 145–157. [Google Scholar] [CrossRef]
- Gokul, D.; Karthikeyan, P.K.; Poonkodi, P.; Babu, S.; Imas, P.; Perelman, A.; Sriramachandrasekharan, M.V. Effect of Polyhalite and Muriate of Potash on Quality Attributes of Sugarcane (Saccharum officinarum L.) in Inceptisols. J. Appl. Nat. Sci. 2023, 15, 1326–1331. [Google Scholar] [CrossRef]
- Fried, R.; Tsoglin, E.; Imas, P. Salt Index (SI) of Polyhalite. Res. Find. Int. Potash Inst. (E-Ifc) 2019, 58, 18–22. [Google Scholar]
- Barbier, M. Characterizing Polyhalite Plant Nutritional Properties. Agric. Res. Technol. 2017, 6. [Google Scholar] [CrossRef]
- Lewis, T.D.; Hallett, P.D.; Paton, G.I.; Harrold, L. Retention and Release of Nutrients from Polyhalite to Soil. Soil Use Manag. 2020, 36, 117–122. [Google Scholar] [CrossRef]
- Vale, F.; Girotto, E.S. Fertilization efficiency with polyhalite mineral: A multi-nutrient fertilizer. e-ifc 2022, 66, 12–28. Available online: https://www.ipipotash.org/uploads/e-ifc/pdf/e-ifc-66-mar-2022.pdf (accessed on 11 September 2025).
- Dias-Filho, M.B. Alternativas para recuperação de pastagens degradadas na Amazônia. In Anais do Encontro Internacional da Pecuária da Amazônia; FAEPA, Instituto Frutal, SEBRAE-PA; AMAZONPEC: Belém, Brazil, 2008; Available online: https://www.alice.cnptia.embrapa.br/alice/bitstream/doc/409959/1/s07.pdf (accessed on 11 September 2025).
- Costa, N.d.L.; Magalhães, J.A.; Townsend, C.R.; Pereira, R.G.d.A.; Oliveira, J.R.d.C. Métodos Físicos e Químicos na Recuperação de Pastagens Degradadas; Comunicado Técnico 282; Embrapa Rondônia: Porto Velho, Brazil, 2004; Available online: https://www.infoteca.cnptia.embrapa.br/bitstream/doc/922697/1/cot282pastagensdegradadas.pdf (accessed on 16 September 2025).
- Santos, H.G.D. Sistema Brasileiro de Classificação de Solos, 5th ed.; EMBRAPA: Brasilia, Brazil, 2018. [Google Scholar]
- Raij, B.V.; Andrade, J.C.D.; Cantarella, H.; Quaggio, J.A. Análise Química Para Avaliação Da Fertilidade de Solos Tropicais; Instituto Agronômico: Campinas, Brazil, 2001. [Google Scholar]
- Malavolta, E.; Vitti, G.C.; Oliveira, S.A.D. Avaliação Do Estado Nutricional Das Plantas: Princípios e Aplicações; POTAFOS: Piracicaba, Brazil, 1997. [Google Scholar]
- Pimentel-Gomes, F.; Garcia, C.H. Estatística Aplicada a Experimentação Agronômica e Florestais Exposições Com Exemplos e Orientações Para Uso de Aplicativos; FEALQ: Piracicaba, Brazil, 2002. [Google Scholar]
- Ferreira, D.F. Sisvar: A Computer Statistical Analysis System. Ciênc. Agrotec. 2011, 35, 1039–1042. [Google Scholar] [CrossRef]
- Pagliari, P.; Galindo, F.S.; Strock, J.; Rosen, C. Use of Repeated Measures Data Analysis for Field Trials with Annual and Perennial Crops. Plants 2022, 11, 1783. [Google Scholar] [CrossRef] [PubMed]
- SAS Institute Inc. SAS Software, Enterprise Edition, Version 3.81; SAS Institute Inc.: Cary, NC, USA, 2025.
- Dugast, P. Use of polyhalite as a source of sulfur for oilseed rape and winter wheat in France. E-Ifc (Int. Potash Inst.) 2015, 43, 21–26. Available online: https://www.ipipotash.org/publications/eifc-380 (accessed on 11 September 2025).
- Berg, W.K.; Cunningham, S.M.; Brouder, S.M.; Joern, B.C.; Johnson, K.D.; Santini, J.; Volenec, J.J. Influence of Phosphorus and Potassium on Alfalfa Yield and Yield Components. Crop Sci. 2005, 45, cropsci2005.0297. [Google Scholar] [CrossRef]
- Wang, Z.; Hassan, M.U.; Nadeem, F.; Wu, L.; Zhang, F.; Li, X. Magnesium Fertilization Improves Crop Yield in Most Production Systems: A Meta-Analysis. Front. Plant Sci. 2020, 10, 1727. [Google Scholar] [CrossRef] [PubMed]
- Bhatt, R.; Imas, P.; Perelman, A.; Verma, K.K.; Al-Shuraym, L.A.; Sayed, S.; Gaber, A.; Hossain, A. Polyhalite Improves Growth, Yield, and Quality and Reduces Insect Pest Incidence in Sugarcane (Saccharum officinarum L.) in the Semiarid Tropics. Front. Sustain. Food Syst. 2024, 8, 1388916. [Google Scholar] [CrossRef]
- Jarrell, W.M.; Beverly, R.B. The Dilution Effect in Plant Nutrition Studies. In Advances in Agronomy; Elsevier: Amsterdam, The Netherlands, 1981; Volume 34, pp. 197–224. ISBN 978-0-12-000734-9. [Google Scholar]
- Heinrichs, R.; Grano, F.G.; Bueno, L.G.D.F.; Soares Filho, C.V.; Fagundes, J.L.; Rebonatti, M.D.; Oliveira, K.D. Brachiaria Sp Yield and Nutrient Contents after Nitrogen and Sulphur Fertilization. Rev. Bras. Ciênc. Solo 2013, 37, 997–1003. [Google Scholar] [CrossRef]
- Kumar, V.; Shekhawat, K.; Singh, R.K.; Rathore, S.S.; Upadhyay, P.K.; Kumar, S. Effect of Polyhalite on Growth and Yield of Wheat (Triticum aestivum) in India. Indian J. Agri. Sci. 2023, 93, 325–327. [Google Scholar] [CrossRef]
- Soares Filho, C.V.; Cavazzana, J.F.; Heinrichs, R.; Vendramini, J.M.B.; Lima, G.C.; Moreira, A. The Impact of Organic Biofertilizer Application in Dairy Cattle Manure on the Chemical Properties of the Soil and the Growth and Nutritional Status of Urochroa Grass. Commun. Soil Sci. Plant Anal. 2018, 49, 358–370. [Google Scholar] [CrossRef]







| Treatments | January (1st Cut) | February (2nd Cut) | March (3rd Cut) | June (4th Cut) |
|---|---|---|---|---|
| kg ha−1 | ||||
| T1—Control | 1174 Da | 572 Cc | 579 Dc | 892 Db |
| T2—N + P + Liming | 1679 Ba | 892 Ac | 755 Bd | 1046 Cb |
| T3—T2 + Liming + 30 kg ha−1 K2O via polyhalite | 1837 Aa | 819 Bc | 782 Bd | 1291 Bb |
| T4—T2 + 60 kg ha−1 K2O via polyhalite | 2079 Aa | 748 Cc | 1387 Ab | 2024 Aa |
| T5—T2 + Liming + 60 (30 + 30) kg ha −1 K2O via polyhalite | 1851 Aa | 691 Cc | 1371 Ab | 1366 Bb |
| T6—60 kg/ha −1 K2O via polyhalite | 1182 Ca | 687 Bb | 666 Cb | 1138 Ca |
Disclaimer/Publisher’s Note: The statements, opinions and data contained in all publications are solely those of the individual author(s) and contributor(s) and not of MDPI and/or the editor(s). MDPI and/or the editor(s) disclaim responsibility for any injury to people or property resulting from any ideas, methods, instructions or products referred to in the content. |
© 2025 by the authors. Licensee MDPI, Basel, Switzerland. This article is an open access article distributed under the terms and conditions of the Creative Commons Attribution (CC BY) license (https://creativecommons.org/licenses/by/4.0/).
Share and Cite
Almeida, F.M.d.; Heinrichs, R.; Martinez, F.R.; Silva, M.B.P.d.; Pagliari, P.H.; Soares-Filho, C.V. Recovery of Degraded Urochloa Pasture: Effects of Polyhalite on Dry Mass Accumulation and Macronutrient Dynamics. Agronomy 2025, 15, 2300. https://doi.org/10.3390/agronomy15102300
Almeida FMd, Heinrichs R, Martinez FR, Silva MBPd, Pagliari PH, Soares-Filho CV. Recovery of Degraded Urochloa Pasture: Effects of Polyhalite on Dry Mass Accumulation and Macronutrient Dynamics. Agronomy. 2025; 15(10):2300. https://doi.org/10.3390/agronomy15102300
Chicago/Turabian StyleAlmeida, Fabiano Martins de, Reges Heinrichs, Flavia Rodrigues Martinez, Maurício Bruno Prado da Silva, Paulo Humberto Pagliari, and Cecilio Viega Soares-Filho. 2025. "Recovery of Degraded Urochloa Pasture: Effects of Polyhalite on Dry Mass Accumulation and Macronutrient Dynamics" Agronomy 15, no. 10: 2300. https://doi.org/10.3390/agronomy15102300
APA StyleAlmeida, F. M. d., Heinrichs, R., Martinez, F. R., Silva, M. B. P. d., Pagliari, P. H., & Soares-Filho, C. V. (2025). Recovery of Degraded Urochloa Pasture: Effects of Polyhalite on Dry Mass Accumulation and Macronutrient Dynamics. Agronomy, 15(10), 2300. https://doi.org/10.3390/agronomy15102300

