Sign in to use this feature.

Years

Between: -

Subjects

remove_circle_outline
remove_circle_outline
remove_circle_outline
remove_circle_outline

Journals

Article Types

Countries / Regions

Search Results (142)

Search Parameters:
Keywords = folfirinox

Order results
Result details
Results per page
Select all
Export citation of selected articles as:
21 pages, 2837 KB  
Article
Comparative Proteomic Profiling of Responses to Standard Systemic Treatment Regimens in Pancreatic Cancer
by Amirsalar Mansouri, Olivia Hart, Sina Aslanabadi, Conner Hartupee, Dicle Yalcin, Garima Sinha, Chiswili Yves Chabu, Aleksandra Cios, Zetao Cheng, Sudhakar Ammanamanchi, Jovanny Zabaleta, John H. Stewart, John T. West, Mitesh J. Borad, Bolni Marius Nagalo, Jiri Adamec and Omeed Moaven
Cells 2026, 15(6), 531; https://doi.org/10.3390/cells15060531 - 17 Mar 2026
Abstract
Pancreatic ductal adenocarcinoma (PDAC) is an aggressive malignancy with a 5-year survival rate of 13.3%. First-line treatment relies on two chemotherapy regimens, FOLFIRINOX (FOLFNX) or gemcitabine plus nab-paclitaxel (GEMPAC). However, direct clinical comparisons between these regimens have yielded inconsistent results across survival and [...] Read more.
Pancreatic ductal adenocarcinoma (PDAC) is an aggressive malignancy with a 5-year survival rate of 13.3%. First-line treatment relies on two chemotherapy regimens, FOLFIRINOX (FOLFNX) or gemcitabine plus nab-paclitaxel (GEMPAC). However, direct clinical comparisons between these regimens have yielded inconsistent results across survival and toxicity endpoints, and the molecular basis of heterogeneous treatment responses remains poorly defined. To investigate regimen-specific tumor-cell-intrinsic mechanisms, we performed quantitative proteomic profiling of a primary PDAC-derived MIA PaCa-2 cell line following treatment with FOLFNX or GEMPAC. Differentially expressed proteins were analyzed using Gene Ontology, KEGG, and Ingenuity Pathway Analysis to define pathway-level alterations, and findings were contextualized using TCGA transcriptomic data. Proteomic analyses revealed that FOLFNX and GEMPAC engage in distinct cytotoxic programs. FOLFNX predominantly suppressed ribosome biogenesis and mitochondrial translation, consistent with sustained metabolic and biosynthetic stress, whereas GEMPAC preferentially disrupted mitotic cytokinesis and phosphatidylinositol phosphate biosynthesis, consistent with mitotic failure. Integration with TCGA data showed that FOLFNX-altered proteins aligned with favorable prognostic expression signatures, whereas GEMPAC-associated proteins were enriched among adverse profiles, reflecting engagement of distinct tumor-intrinsic programs. Together, these findings provide mechanistic insight into differential chemotherapy responses and establish a foundation for proteomics-based biomarkers to guide personalized chemotherapy selection in PDAC. Full article
Show Figures

Graphical abstract

18 pages, 3588 KB  
Systematic Review
Chemotherapy for Older Adults with Locally Advanced or Metastatic Pancreatic Ductal Adenocarcinoma: A Systematic Review and Meta-Analysis
by Dong Woo Shin, Ji Su Ahn, Hyunjoo Song, Sung-Hoon Moon and Jong-chan Lee
J. Clin. Med. 2026, 15(6), 2254; https://doi.org/10.3390/jcm15062254 - 16 Mar 2026
Abstract
Background: Treatment decisions for older adults with locally advanced or metastatic pancreatic ductal adenocarcinoma (PDAC) often rely on heterogeneous observational evidence and clinical judgment regarding survival benefits, regimen intensity, and tolerability. Methods: We systematically searched Embase, PubMed, and Scopus from inception to 30 [...] Read more.
Background: Treatment decisions for older adults with locally advanced or metastatic pancreatic ductal adenocarcinoma (PDAC) often rely on heterogeneous observational evidence and clinical judgment regarding survival benefits, regimen intensity, and tolerability. Methods: We systematically searched Embase, PubMed, and Scopus from inception to 30 March 2025, for studies reporting overall survival (OS) and/or progression-free survival (PFS) in older adults with advanced PDAC receiving systemic chemotherapy, as well as age-stratified outcomes among chemotherapy-treated patients. Hazard ratios (HRs) with 95% confidence intervals (CIs) were primarily extracted from multivariable-adjusted analyses. In cases without reported HRs, estimates were derived from summary statistics or Kaplan–Meier curves. The review protocol was registered in PROSPERO (CRD420261292913). Results: A total of 40 predominantly retrospective studies were included. Chemotherapy was associated with improved OS compared to best supportive care in older adults (9 studies; HR 0.46, 95% CI 0.39–0.54; I2 = 18%). Among chemotherapy-treated patients, OS (34 studies; HR 1.00, 95% CI 0.99–1.02; I2 = 23%) and PFS (11 studies; HR 0.96, 95% CI 0.86–1.07; I2 = 10%) did not differ by age. Combination chemotherapy demonstrated superior OS (13 studies; HR 0.66, 95% CI 0.54–0.80; I2 = 86%) with substantial heterogeneity and PFS (7 studies; HR 0.63, 95% CI 0.53–0.74; I2 = 30%) compared to monotherapy. FOLFIRINOX and gemcitabine plus nab-paclitaxel demonstrated comparable OS (8 studies; HR 0.98, 95% CI 0.90–1.05; I2 = 60%) and PFS (2 studies; HR 0.97, 95% CI 0.92–1.02; I2 = 0%). Conclusions: Among carefully selected older adults with advanced PDAC, chemotherapy was associated with improved survival compared to supportive care. Chronological age did not predict outcomes, highlighting the need for geriatric-informed prospective trials. Full article
(This article belongs to the Special Issue New Clinical Advances in Pancreatobiliary Diseases)
Show Figures

Graphical abstract

17 pages, 465 KB  
Article
The Role of a “Conservative” Resection Strategy After Neoadjuvant Treatment for Borderline/Locally Advanced PDAC with Arterial Involvement: A Single-Centre Retrospective Observational Study
by Roberta Vella, Elisa Bannone, Alessandro Giardino, Isabella Frigerio, Martina Guerra, Erica Pizzocaro, Laura Bignotto, Filippo Scopelliti, Paolo Regi, Camillo Aliberti, Guido Martignoni, Roberto Girelli, Marcello Lino, Paolo Pederzoli and Giovanni Butturini
Cancers 2026, 18(5), 830; https://doi.org/10.3390/cancers18050830 - 4 Mar 2026
Viewed by 296
Abstract
Background: Recent advances in multimodal therapies have increased the potential for resectability of borderline resectable and locally advanced pancreatic ductal adenocarcinoma (PDAC). We herein describe the conservative resection strategy adopted at our institution and the oncological outcomes of patients with PDAC and arterial [...] Read more.
Background: Recent advances in multimodal therapies have increased the potential for resectability of borderline resectable and locally advanced pancreatic ductal adenocarcinoma (PDAC). We herein describe the conservative resection strategy adopted at our institution and the oncological outcomes of patients with PDAC and arterial involvement. Methods: This retrospective single-centre study included patients diagnosed with PDAC and radiologic evidence of arterial involvement who underwent surgical exploration between January 2014 and June 2024. All patients received induction chemotherapy (±radiotherapy). Survival outcomes were analyzed using the Kaplan–Meier and Cox proportional hazards models. Logistic regression analyses were used to identify predictors of resectability and recurrence. Results: A total of 76 patients were included: 59 underwent pancreatic resection with arterial divestment (AD) in case of persistent arterial involvement and 17 were deemed unresectable at laparotomy. Neoadjuvant folfirinox was significantly associated with increased odds of resection (HR = 3.23, 95% CI: 1.59–9.90, p = 0.040). Median overall survival from diagnosis was 33 months (29–39) in resected patients and 26 months (16–29) in non-resected patients (p = 0.0176). Surgical resection and Ca 19,9 normalization after induction therapy were associated with reduced mortality risk (HR = 0.38, 95% CI: 0.19–0.75, p = 0.005 and HR = 0.56, 95% CI: 0.35–0.88, p = 0.014, respectively). Conclusions: Despite a limited sample size and retrospective nature, these findings highlight the value of multimodal strategies in managing PDAC with arterial involvement. AD represents a valuable technique associated with acceptable outcomes in selected patients. Future interventional prospective studies are needed to optimize patient selection and validate the prognostic role of extended surgical procedures. Full article
Show Figures

Figure 1

14 pages, 1526 KB  
Article
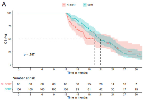
The Value of Stereotactic Radiotherapy After FOLFIRINOX in Patients with Pancreatic Cancer with Vascular Contact—A Nationwide, Retrospective Cohort Study
by Freek R. van ‘t Land, Leonard W. F. Seelen, Maaike Verheij, Thomas F. Stoop, Olivier R. Busch, Marc G. H. Besselink, Lois A. Daamen, Marcel den Dulk, Sebastiaan Festen, Ignace H. J. T. de Hingh, Marjolein Y. V. Homs, Martijn P. W. Intven, Daan J. Lips, Maartje Los, Vincent E. de Meijer, Joost J. Nuyttens, Martijn W. J. Stommel, Roeland F. de Wilde, Johanna W. Wilmink, I. Quintus Molenaar, Hjalmar C. van Santvoort, Bas Groot Koerkamp and Casper H. J. van Eijckadd Show full author list remove Hide full author list
Cancers 2026, 18(4), 700; https://doi.org/10.3390/cancers18040700 - 20 Feb 2026
Viewed by 443
Abstract
Background/Objectives: Stereotactic body radiotherapy (SBRT) aims to prolong overall survival (OS) in patients with pancreatic ductal adenocarcinoma (PDAC) with vascular contact without progression of disease after (m)FOLFIRINOX. The primary objective of this study was to determine the potential value of SBRT. Methods: This [...] Read more.
Background/Objectives: Stereotactic body radiotherapy (SBRT) aims to prolong overall survival (OS) in patients with pancreatic ductal adenocarcinoma (PDAC) with vascular contact without progression of disease after (m)FOLFIRINOX. The primary objective of this study was to determine the potential value of SBRT. Methods: This nationwide, retrospective cohort study included patients with PDAC without progression of disease after at least four cycles of (m)FOLFIRINOX. The study comprised two cohorts, the SBRT and the No SBRT group. A landmark analysis excluded patients with a follow-up or OS time less than 12 months to minimize immortal time bias in the SBRT group. The primary outcome was OS from diagnosis. Secondary outcomes were the histopathological characteristics after resection. Results: Overall, 331 patients were included, of whom 231 were in the landmark analysis. In the overall cohort, the median OS was 20.7 months in the SBRT group versus 15.7 months in the No SBRT group (p = 0.004). In the landmark analysis, the median OS was 23.2 months in the SBRT group compared to 22.3 months in the No SBRT group (p = 0.554). These results indicate the presence of immortal time bias in the overall cohort in favor of the SBRT group. In the subgroup after resection, ypT0-2 (95% versus 76.5% [p = 0.026]), ypN0 (75% versus 37.3% [p < 0.004]), and absence of perineural invasion (50% versus 68.6% [p = 0.015]) were more prevalent in the SBRT group. Conclusions: In a landmark analysis, including only patients who survived at least 12 months after diagnosis, we found no difference in median OS between (m)FOLFIRINOX-only and (m)FOLFIRINOX with consecutive SBRT. Full article
(This article belongs to the Section Cancer Therapy)
Show Figures

Figure 1

18 pages, 1383 KB  
Review
Rare, Yet Targetable: New Perspectives on Ampullary Carcinomas
by James Gutmans, Alex Friedlaender and Hiba Mechahougui
Int. J. Mol. Sci. 2026, 27(3), 1597; https://doi.org/10.3390/ijms27031597 - 6 Feb 2026
Viewed by 531
Abstract
Ampullary carcinoma (AC) is a rare gastrointestinal malignancy with dual intestinal and pancreatobiliary differentiation, complicating diagnosis, staging, and treatment. This review synthesizes current epidemiology, pathology, and multi-omic data to outline a pragmatic care pathway: lineage-first at presentation, mutation-fast at progression. Histology remains the [...] Read more.
Ampullary carcinoma (AC) is a rare gastrointestinal malignancy with dual intestinal and pancreatobiliary differentiation, complicating diagnosis, staging, and treatment. This review synthesizes current epidemiology, pathology, and multi-omic data to outline a pragmatic care pathway: lineage-first at presentation, mutation-fast at progression. Histology remains the primary classifier: the intestinal subtype generally aligns with colorectal regimens, whereas pancreatobiliary and mixed subtypes favor pancreaticobiliary therapy. In selected fit patients, modified FOLFIRINOX may address mixed phenotypes. Next-generation sequencing adds precision by identifying therapeutically relevant alterations, including ERBB2/HER2 amplifications, MSI-high/dMMR, BRAF V600E, and rare NTRK or RET fusions, while KRAS mutations are enriched in pancreatobiliary tumors. We recommend early application of a rapid-core panel (KRAS/BRAF, MSI/dMMR, ERBB2/HER2, RNA-based fusions) to capture high-impact targets, followed by comprehensive profiling at first progression. Liquid biopsy, plasma circulating tumor DNA (ctDNA), or bile-derived DNA may complement tissue and help identify the dominant lineage. Research priorities include ampulla-enriched umbrella trials, explicit AC subcohorts in tissue-agnostic studies, and ctDNA-informed endpoints. This lineage-first, mutation-fast paradigm supports precision care and evidence generation in AC. Full article
(This article belongs to the Special Issue Genomic Research in Carcinogenesis, Cancer Progression and Recurrence)
Show Figures

Figure 1

36 pages, 3123 KB  
Review
Targeting ATR-CHK1 and ATM-CHK2 Axes in Pancreatic Cancer—A Comprehensive Review of Literature
by Mateusz Kciuk, Katarzyna Wanke, Beata Marciniak, Damian Kołat, Marta Aleksandrowicz, Somdutt Mujwar, Tarik Ainane and Renata Kontek
Int. J. Mol. Sci. 2026, 27(3), 1152; https://doi.org/10.3390/ijms27031152 - 23 Jan 2026
Viewed by 708
Abstract
Pancreatic cancer (PC) remains a highly lethal malignancy with limited treatment options and poor survival. Targeting DNA damage response (DDR) pathways has emerged as a promising therapeutic strategy, particularly the ATR-CHK1 and ATM-CHK2 axes. Preclinical studies demonstrate that ATR inhibition disrupts replication stress [...] Read more.
Pancreatic cancer (PC) remains a highly lethal malignancy with limited treatment options and poor survival. Targeting DNA damage response (DDR) pathways has emerged as a promising therapeutic strategy, particularly the ATR-CHK1 and ATM-CHK2 axes. Preclinical studies demonstrate that ATR inhibition disrupts replication stress tolerance, impairs homologous recombination, and disables checkpoint control, enhancing cytotoxicity from standard therapies including gemcitabine, FOLFIRINOX, fluoropyrimidines, and radiotherapy. Synergistic effects have also been observed with other DDR-targeted agents, such as PARP and WEE1 inhibitors. Genomic contexts, including ATM deficiency, ARID1A alterations, and oncogene-driven replication stress, refine therapeutic sensitivity, supporting precision patient stratification. Early-phase clinical trials of ATR inhibitors (ART0380, AZD6738, BBI-355) alone or in combination show promising safety, tolerability, and preliminary efficacy. In this review, we summarize current literature on targeting the ATM-CHK2 and ATR-CHK1 pathways in PC, highlighting preclinical evidence, clinical developments, and strategies for biomarker-driven, precision oncology approaches. Full article
Show Figures

Figure 1

10 pages, 241 KB  
Review
Current Systemic Treatment Options for Advanced Pancreatic Cancer—An Overview Article
by Małgorzata Domagała-Haduch, Anna Długaszek, Anita Gorzelak-Magiera and Iwona Gisterek-Grocholska
Biomedicines 2026, 14(1), 188; https://doi.org/10.3390/biomedicines14010188 - 15 Jan 2026
Viewed by 940
Abstract
Pancreatic adenocarcinoma is one of the most aggressive malignancies, with a steadily increasing incidence rate. Due to the asymptomatic nature of early cancer and frequent late diagnosis, only 10–20% of patients are considered for radical treatment. In approximately 40% of patients, local advancement [...] Read more.
Pancreatic adenocarcinoma is one of the most aggressive malignancies, with a steadily increasing incidence rate. Due to the asymptomatic nature of early cancer and frequent late diagnosis, only 10–20% of patients are considered for radical treatment. In approximately 40% of patients, local advancement precludes primary surgical treatment, and in approximately half of patients, the cancer is diagnosed at the metastatic stage. Treatment of advanced pancreatic cancer is based on systemic therapy, while a growing number of studies are focusing on the potential use of molecularly targeted agents. The median survival time for metastatic patients treated with FOLFIRINOX chemotherapy is 11 months, compared to 8.5 months for patients treated with gemcitabine and nab-paclitaxel-based chemotherapy. Olaparib in the maintenance treatment of patients with advanced pancreatic cancer prolongs the time to progression compared to placebo but does not affect median overall survival. Immunotherapy and targeted therapy have so far been used in a narrow group of patients with a specific molecular profile, but further research on this cancer offers a real opportunity to develop new treatment approaches. This review article is based on the NCCN (National Comprehensive Cancer Network) guidelines and publications available in the PubMed database. Full article
16 pages, 3523 KB  
Article
The Role of Computed Tomography-Determined Total Tumor Volume at Baseline in Predicting Outcomes of Patients with Locally Advanced Unresectable or Metastatic Pancreatic Ductal Adenocarcinoma
by Elissar Moujaes, Jules Dupont, Littisha Lawrance, Fiona Frau, Ghina Jardali, Lama Dawi, Michèle Kind, Caroline Su, Samy Ammari, Nohad Masri, Anamaria Bianca Mihele, Valérie Boige, Thomas Pudlarz, Cristina Smolenschi, Marine Valéry, Geraldine M. Camilleri, Alice Boilève, Michel Ducreux, Nathalie Lassau and Antoine Hollebecque
Cancers 2026, 18(1), 20; https://doi.org/10.3390/cancers18010020 - 20 Dec 2025
Viewed by 489
Abstract
Background: Total tumor volume (TTV), derived from imaging data, has emerged as a potential prognostic biomarker in various cancers. This study aimed to evaluate the impact of TTV on outcomes in advanced pancreatic ductal adenocarcinoma (PDAC) and to validate a survival prediction model [...] Read more.
Background: Total tumor volume (TTV), derived from imaging data, has emerged as a potential prognostic biomarker in various cancers. This study aimed to evaluate the impact of TTV on outcomes in advanced pancreatic ductal adenocarcinoma (PDAC) and to validate a survival prediction model combining TTV with baseline clinico-biological markers. Materials and Methods: We conducted a retrospective analysis of 150 patients with locally advanced or metastatic PDAC treated with first-line FOLFIRINOX from 2010 to 2021. TTV was calculated by manually segmenting all visible lesions on baseline CT scans. Progression-free survival (PFS) and overall survival (OS) were the primary endpoints. A cut-off value for TTV predicting 6-month PFS was determined in 140 patients using AUC and Youden’s Index and then applied to OS analysis. A multivariate Cox regression model incorporating TTV, CA 19-9, and neutrophil-to-lymphocyte ratio (NLR) was developed in 94 patients to establish a survival risk score. Results: 12,028 lesions were annotated. OS was slightly but significantly different between TTV above and below the median value of 69.60 cm3 (12.4 vs. 13.5 months, p = 0.0269). A cut-off of 400 cm3 distinguished two groups: patients with TTV > 400 cm3 had significantly shorter OS (9.4 months) compared to those with TTV ≤ 400 cm3 (13.0 months, p = 0.0056). A similar trend was observed for PFS, though not statistically significant (7.4 months for TTV > 400 cm3 vs. 8.2 months for TTV ≤ 400 cm3, p = 0.0735). The combined model achieved a mean c-index of 0.62 for PFS and 0.64 for OS. Based on the risk score, high-risk patients had significantly worse median PFS (5.5 vs. 9.2 months, p = 0.0008) and median OS (7.2 vs. 13.5 months, p < 0.0001). Conclusions: TTV is a valuable prognostic marker in advanced PDAC. A model integrating TTV with biological markers enhances survival prediction and supports risk stratification in clinical practice. Full article
Show Figures

Figure 1

24 pages, 341 KB  
Review
Neoadjuvant Therapy for Resectable and Borderline Resectable Pancreatic Cancer
by Julia Groszewska, Michał Romaniuk and Ewa Małecka-Wojciesko
Int. J. Transl. Med. 2025, 5(4), 55; https://doi.org/10.3390/ijtm5040055 - 2 Dec 2025
Viewed by 2592
Abstract
Pancreatic ductal adenocarcinoma (PDAC) is one of the most lethal cancers, with poor survival even after surgical resection. Clinical stages include resectable (R-PDAC), borderline resectable (BR-PDAC), locally advanced, and metastatic disease. Neoadjuvant therapy (NAT)—chemotherapy or chemoradiotherapy before surgery—has emerged as a promising strategy [...] Read more.
Pancreatic ductal adenocarcinoma (PDAC) is one of the most lethal cancers, with poor survival even after surgical resection. Clinical stages include resectable (R-PDAC), borderline resectable (BR-PDAC), locally advanced, and metastatic disease. Neoadjuvant therapy (NAT)—chemotherapy or chemoradiotherapy before surgery—has emerged as a promising strategy to improve outcomes by increasing margin-negative resection rates and enhancing overall survival. For R-PDAC, surgery followed by adjuvant chemotherapy remains the standard, but NAT may be considered in high-risk patients, such as those with severe pain, elevated CA 19-9, or large tumors. For BR-PDAC, NAT is the primary approach, significantly increasing R0 resection rates and prolonging survival. Common regimens include mFOLFIRINOX and gemcitabine-based combinations. NAT also carries risks, including disease progression during therapy, loss of resectability, and uncertainty in evaluating response. Current tools, such as imaging and CA 19-9, offer limited predictive value. The role of NAT in R-PDAC remains under debate, while its benefits in BR-PDAC are more established. This review summarizes current evidence and guidelines on NAT in PDAC, with a focus on treatment strategies, patient selection, and emerging approaches. Full article
11 pages, 518 KB  
Article
Individualized Triplet Chemotherapy Decision-Making in Metastatic Colorectal Cancer: A Machine-Learning-Driven Study
by Mehmet Kayaalp, Erman Akkuş, Beliz Bahar Karaoğlan and Güngör Utkan
Cancers 2025, 17(22), 3704; https://doi.org/10.3390/cancers17223704 - 19 Nov 2025
Cited by 1 | Viewed by 728
Abstract
Objective: The optimal patient subgroup that derives substantial benefit from triplet chemotherapy (FOLFOXIRI/FOLFIRINOX) as first-line treatment for metastatic colorectal cancer (mCRC), and the clinical scenarios in which its increased toxicity is justified, remain uncertain. This study employed a machine learning–based approach to develop [...] Read more.
Objective: The optimal patient subgroup that derives substantial benefit from triplet chemotherapy (FOLFOXIRI/FOLFIRINOX) as first-line treatment for metastatic colorectal cancer (mCRC), and the clinical scenarios in which its increased toxicity is justified, remain uncertain. This study employed a machine learning–based approach to develop a predictive biomarker capable of identifying patients most likely to benefit from triplet therapy. Methods: Clinical data from 136 patients in the Ankara University de novo mCRC cohort were retrospectively reviewed. 66 clinical and biochemical variables were analyzed. Consistent with the existing literature, progression-free survival (PFS) ≥ 270 days was selected as the primary outcome. Individual treatment effect (ITE) estimation was performed using the T-Learner method with separate regression models for each treatment arm (μ1 − μ0). Model performance was evaluated using leave-one-out cross-validation (LOOCV). Feature importance was assessed using SHAP analysis, after which a reduced model was constructed using only the most influential variables. Results: The model incorporating all features demonstrated the highest predictive performance, with a ROC AUC of 0.919. SHAP analysis identified the top 10 predictive variables: primary tumor localization, ferritin, CA19-9, CRP, uric acid, TSH, triglycerides, total protein, LDL, and platelet count. The reduced model built using only these 10 features achieved an AUC of 0.869 for predicting PFS ≥270 days. Conclusion: This machine learning–based model presents a promising framework for improving patient selection for triplet chemotherapy in mCRC. Prospective validation in larger cohorts will be essential to support its integration into clinical decision making. Full article
Show Figures

Figure 1

12 pages, 960 KB  
Article
First Spanish Experience with Stereotactic MR-Guided Adaptive Radiotherapy (SMART) in Borderline Resectable and Locally Advanced Pancreatic Cancer: A Prospective Study
by Daniela Gonsalves, Abrahams Ocanto, Eduardo Meilan, Alberto Gomez, Jesus Dominguez, Lisselott Torres, Castalia Fernández, Macarena Teja, Isabel Garrido, Maria Gonzalez, Miren Gaztañaga, Daniel Herrero, Israel J. Thuissard, Cristina Andreu, Tomas Gonzalez, Jose Antonio González, Jon Andreescu Yagüe, Esther Holgado, Diego Alcaraz, Escarlata López, Maia Dzhugashbli, Luis Glaria, Fernando Lopez-Campos, Esther Dominguez, Jesús Rodriguez Pascual, Eva Maria Lozano Martin, David Sanz-Rosa, Michael D. Chuong, Olivier Riou and Felipe Couñagoadd Show full author list remove Hide full author list
Biomedicines 2025, 13(10), 2390; https://doi.org/10.3390/biomedicines13102390 - 29 Sep 2025
Viewed by 1264
Abstract
Background/Objectives: In Spain, pancreatic ductal adenocarcinoma (PDAC) is the seventh leading cause of cancer-related death, with only 20% of patients eligible for surgery at diagnosis. For the remaining majority, prognosis is poor and effective non-surgical strategies are needed. Stereotactic MR-guided adaptive radiotherapy (SMART) [...] Read more.
Background/Objectives: In Spain, pancreatic ductal adenocarcinoma (PDAC) is the seventh leading cause of cancer-related death, with only 20% of patients eligible for surgery at diagnosis. For the remaining majority, prognosis is poor and effective non-surgical strategies are needed. Stereotactic MR-guided adaptive radiotherapy (SMART) may facilitate the delivery of ablative doses of radiation safely with low toxicity. This study reports the first national experience in Spain with SMART for patients with borderline resectable (BRPC) or locally advanced pancreatic cancer and evaluates its feasibility, safety, and early clinical outcomes. Methods: A prospective observational study was conducted including 28 patients with histologically confirmed BRPC or LAPC treated between August 2023 and December 2024. All patients received induction chemotherapy—mainly FOLFIRINOX (57.1%)—followed by SMART delivered in five fractions (40–50 Gy) using a 0.35T MR-guided linear accelerator. Daily online adaptive recontouring and replanning were performed for all 140 treatment fractions. Toxicities were assessed using CTCAE v5.0, and survival outcomes were estimated using Kaplan–Meier analysis. Results: The median patient age was 67 years, and 71.4% of tumors were located in the pancreatic head. At a median follow-up of 7.4 months after SMART (12.25 months from diagnosis), 6-month local progression-free survival (LPFS) was 89.3% from the start of SMART and 82.1% from diagnosis. Distant progression-free survival (DPFS) at 6 and 12 months was 92.9% and 68.2%, respectively. Median progression-free survival (PFS) was 11.5 months, and the median treatment-free interval was 5.7 months. Median overall survival (OS) was not reached; 6- and 12-month OS rates were 89.3% and 74.1%, respectively. Treatment-related toxicity was limited to grade 2 abdominal pain in 14.3% of patients, with no grade ≥3 adverse events attributed to SMART. Conclusions: SMART is a feasible and safe treatment modality for BRPC and LAPC in real-world clinical practice. These encouraging early outcomes support further clinical investigation and broader implementation. Full article
Show Figures

Figure 1

10 pages, 247 KB  
Perspective
Neoadjuvant Therapy in Pancreatic Ductal Adenocarcinoma: Aligning Guideline Recommendations with Real-World Evidence
by Roberto Cammarata, Alberto Catamerò, Vincenzo La Vaccara, Roberto Coppola and Damiano Caputo
Cancers 2025, 17(18), 3085; https://doi.org/10.3390/cancers17183085 - 22 Sep 2025
Cited by 3 | Viewed by 1636
Abstract
Pancreatic ductal adenocarcinoma (PDAC) remains one of the most lethal malignancies, with a 5-year overall survival below 12% and high recurrence rates even after R0 resection. Traditionally managed with a “surgery-first” approach, two consistent observations—the near-universal presence of micrometastatic disease at diagnosis and [...] Read more.
Pancreatic ductal adenocarcinoma (PDAC) remains one of the most lethal malignancies, with a 5-year overall survival below 12% and high recurrence rates even after R0 resection. Traditionally managed with a “surgery-first” approach, two consistent observations—the near-universal presence of micrometastatic disease at diagnosis and the frequent inability to complete adjuvant therapy—have driven the integration of neoadjuvant therapy (NAT) into clinical practice. NAT offers several theoretical and practical advantages: early systemic control of occult disease, improved delivery and completion of multimodal treatment, biological selection of surgical candidates, and increased R0 resection rates. While in borderline resectable PDAC, randomized trials have consistently demonstrated improved margin-negative resection rates and early survival benefits compared with upfront surgery, in resectable PDAC, evidence is more heterogeneous. Real-world studies corroborate trial findings, reporting higher R0 rates and reduced lymph node positivity without increased perioperative risk, but also highlight substantial heterogeneity in regimens, duration, and radiotherapy use. Limitations to universal NAT adoption include reliance on anatomy-based resectability criteria, absence of validated predictive biomarkers, challenges in response assessment, and concerns over disease progression during preoperative treatment. Future developments will focus on integrating molecular profiling, circulating tumor DNA dynamics, and advanced imaging into patient selection and treatment adaptation, supported by biomarker-enriched and adaptive trial designs. NAT is thus evolving from a selective strategy for borderline disease to an innovative framework to optimize multimodal treatment delivery and refine patient selection in PDAC, with the potential to improve surgical outcomes and inform systemic therapy decisions in both resectable and borderline resectable settings Full article
(This article belongs to the Special Issue Management of Pancreatic Cancer)
17 pages, 721 KB  
Article
Real-World Evidence of the Efficacy and Safety of Second-Line Therapy After Gemcitabine and Nab-Paclitaxel for Patients with Metastatic Pancreatic Cancer
by Agata Adamczuk-Nurzyńska, Paweł Nurzyński, Melania Brzozowska, Maciej Jewczak and Andrzej Śliwczyński
Cancers 2025, 17(17), 2821; https://doi.org/10.3390/cancers17172821 - 28 Aug 2025
Viewed by 2832
Abstract
Background: Metastatic pancreatic cancer (mPC) is an aggressive disease with high morbidity and mortality, and long-term survival rates remain poor. New therapeutic options that demonstrate statistically significant improvements in overall survival (OS) and progression-free survival (PFS) are still being sought. Although many first-line [...] Read more.
Background: Metastatic pancreatic cancer (mPC) is an aggressive disease with high morbidity and mortality, and long-term survival rates remain poor. New therapeutic options that demonstrate statistically significant improvements in overall survival (OS) and progression-free survival (PFS) are still being sought. Although many first-line (FL) treatment studies exist in the literature, there are almost no prospective studies on second-line (SL) therapy. Methods: The aim of this clinical study was to retrospectively analyze the medical history of 251 patients diagnosed with mPC, treated first-line (FL) with GEM-NAB between February 2017 and January 2025. After disease progression, 109 patients received SL treatment. We also present a multivariate analysis based on routinely collected data (demographic, clinical, and laboratory parameters) evaluating their impact on OS and PFS. Results: The median age was 66 years (range 37–84 years). The median PFS was 2.33 months (95% CI 1.69–2.97). Specifically, the mPFS was 4.1 months (95% CI 1.31–6.90) for FOLFIRINOX; 2.8 months (95% CI 2.30–3.30) for FOLFIRI; 2.37 months (95% CI 1.66–3.08) for NALIRI; 1.47 months (95% CI 1.18–1.75) for FOLFOX 6; and 0.93 months (95% CI 0.00–2.64) for GEM-cisplatin. The median OS was 5.03 months (95% CI 3.75–6.31). Seven patients achieved a partial response (overall response rate 6%). The most frequent adverse events (AEs) included anemia, fatigue, peripheral neuropathy, neutropenia, and thrombocytopenia. Conclusions: As a result, SL treatments were compared, and some statistically significant difference was found between them in PFS time for chemotherapy FOLFIRINOX and GEM + cisplatin. The most frequent AEs occurred during treatment with FOLFIRINOX chemotherapy. Full article
(This article belongs to the Special Issue Multimodal Treatment for Pancreatic Cancer)
Show Figures

Figure 1

25 pages, 2278 KB  
Article
Synergistic Anti-Tumor Efficacy of Modified FOLFIRINOX and NK Cell Therapy in Pancreatic Ductal Adenocarcinoma
by Hye-Seong Park, Jun Eul Hwang, Je-Jung Lee and Woo Kyun Bae
Cancers 2025, 17(17), 2785; https://doi.org/10.3390/cancers17172785 - 26 Aug 2025
Viewed by 1796
Abstract
Background/Objectives: Pancreatic ductal adenocarcinoma (PDAC) presents a formidable challenge in oncology due to its aggressive progression, propensity for early metastasis, and resistance to conventional therapies. The development of effective and less toxic treatments is crucial for improving the prognosis of PDAC. We aimed [...] Read more.
Background/Objectives: Pancreatic ductal adenocarcinoma (PDAC) presents a formidable challenge in oncology due to its aggressive progression, propensity for early metastasis, and resistance to conventional therapies. The development of effective and less toxic treatments is crucial for improving the prognosis of PDAC. We aimed to investigate the synergistic antitumor potential of modified FOLFIRINOX (mFOLFIRINOX) combined with natural killer (NK) cell therapy in PDAC models. Methods: We evaluated changes in NK-cell-activating ligands and apoptosis-inducing receptor expression after mFOLFIRINOX treatment both in vitro and in vivo. Subsequently, NK cells were administered to mFOLFIRINOX-pre-treated PDAC cells to assess NK cell cytotoxicity, immune responses, and tumor progression both in vitro and in vivo mouse models. Results: Treatment with mFOLFIRINOX led to the significant upregulation of NK-cell-activating ligands and apoptosis-inducing receptors across the PDAC cell lines and tumor cells collected in vivo, thereby enhancing their susceptibility to NK-cell-mediated cytotoxicity. In comparison with either treatment alone, mFOLFIRINOX and NK cell combination therapy resulted in enhanced cytolysis in all cell lines. In vivo studies demonstrated that combination therapy substantially inhibited tumor growth and prolonged survival in a mouse model. Conclusions: mFOLFIRINOX combined with NK cell therapy demonstrates enhanced antitumor activity against PDAC, potentially improving clinical outcomes. These findings highlight the need for continued research to optimize this combination strategy for clinical utility. Full article
(This article belongs to the Special Issue Combination Immunotherapy for Cancer Treatment)
Show Figures

Figure 1

17 pages, 726 KB  
Article
FOLFIRINOX: The Best Adjuvant Treatment for Ampullary Adenocarcinoma? A Multicenter Study by the Turkish Oncology Group (TOG)
by Ali Kalem, Tulay Kus, Taha Koray Sahin, Omer Dizdar, Safa Can Efil, Mehmet Ali Nahit Sendur, Talat Aykut, Murat Araz, Hatice Bolek, Yuksel Urun, Nadiye Sever, Ibrahim Vedat Bayoglu, Eyyup Cavdar, Muhammed Fatih Sagıroglu, Tugce Kubra Gunes, Melike Ozcelik, Nadide Demirel, Bulent Yıldız, Berkan Karabuga, Ulku Yalcıntas Arslan, Savas Gokcek, Ilkay Tugba Unek, Seray Saray, Ferit Aslan, Omer Acar, Atike Pınar Erdogan, Mustafa Seyyar, Gokmen Aktas and Suayib Yalcınadd Show full author list remove Hide full author list
Cancers 2025, 17(17), 2730; https://doi.org/10.3390/cancers17172730 - 22 Aug 2025
Viewed by 2581
Abstract
Background: Ampullary adenocarcinoma is a rare cancer for which there are no standard adjuvant treatment recommendations due to the lack of randomized clinical trials. The primary aim of this analysis is to investigate the efficacy of adjuvant FOLFIRINOX treatment in patients with resected [...] Read more.
Background: Ampullary adenocarcinoma is a rare cancer for which there are no standard adjuvant treatment recommendations due to the lack of randomized clinical trials. The primary aim of this analysis is to investigate the efficacy of adjuvant FOLFIRINOX treatment in patients with resected ampullary adenocarcinoma. Materials and Methods: This multicenter retrospective cohort study was conducted at 15 institutions in Turkey between August 2007 and January 2024, involving 211 patients with resected, non-metastatic ampullary adenocarcinoma receiving adjuvant chemotherapy with various chemotherapy regimens with or without chemoradiation. Clinicopathological and treatment-related parameters were recorded. Disease-free survival (DFS) and overall survival (OS) were analyzed by using Kaplan–Meier estimates. Cox proportional hazards regression was used to identify covariates associated with OS. Results: The median follow-up time was 52 months, and 116 patients (55.2%) were alive at the time of the analysis. The median age was 61 years (32–82). mFOLFIRINOX was administered to 16.6% of the patients (n = 35). The 3-year DFS rate was 79.41% in the FOLFIRINOX-treated arm and 53.9% in the other treatment arm (p = 0.034 for mDFS). The median OS was non-reached in patients receiving mFOLFIRINOX treatment, while it was 51 months in patients receiving other treatments (p = 0.071). While no statistically significant results were reached, a trend toward statistically significant survival times was observed in the FOLFIRINOX arm. After adjustment for other prognostic parameters, mFOLFIRINOX remained an independent statistically significant parameter for better OS (HR; 95% CI: 3.24; 1.02–10.9; p = 0.046). Conclusions: FOLFIRINOX treatment has shown efficacy in the adjuvant treatment of ampullary cancer, independent of histological subtype. The findings should be validated in large prospective trials. Full article
(This article belongs to the Special Issue Novel Therapeutic Approaches for Cancer Treatment)
Show Figures

Figure 1

Back to TopTop