error_outline You can access the new MDPI.com website here. Explore and share your feedback with us.
 
 
Sign in to use this feature.

Years

Between: -

Subjects

remove_circle_outline
remove_circle_outline
remove_circle_outline
remove_circle_outline
remove_circle_outline
remove_circle_outline
remove_circle_outline
remove_circle_outline
remove_circle_outline

Journals

Article Types

Countries / Regions

Search Results (35)

Search Parameters:
Keywords = flowing insulating oil

Order results
Result details
Results per page
Select all
Export citation of selected articles as:
17 pages, 5799 KB  
Article
Modeling and Experimental Analysis of Low-Viscosity/High-Permeability Sealant Penetration Dynamics in Oil-Filled Submarine Cables
by Zhao Zhang, Mingli Fu, Chang Cai, Linjie Zhao, Lei Jia, Baojun Hui, Shuai Hou and Ming Zhang
Fluids 2026, 11(1), 16; https://doi.org/10.3390/fluids11010016 - 5 Jan 2026
Viewed by 92
Abstract
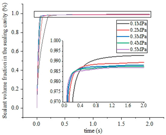
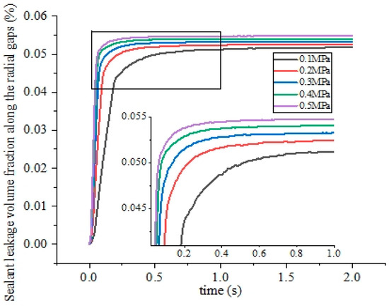
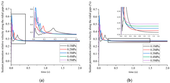
Insulating oil leakage from oil-filled submarine cables compromised operational integrity and posed environmental risks. This study proposed a novel sealant-plugging repair technique that combines low-viscosity/high-permeability sealant permeation and high-viscosity/low-permeability sealant replacement and pressurization. The permeation process of the low-viscosity sealant, from the injection [...] Read more.
Insulating oil leakage from oil-filled submarine cables compromised operational integrity and posed environmental risks. This study proposed a novel sealant-plugging repair technique that combines low-viscosity/high-permeability sealant permeation and high-viscosity/low-permeability sealant replacement and pressurization. The permeation process of the low-viscosity sealant, from the injection port to the outlet, was visualized using the Volume of Fluid (VOF) method. Analysis focused on: (1) sealant volume fraction in the sealing cavity; (2) sealant leakage volume fraction along the radial gaps at outlet 2; and (3) relative velocity of the permeating sealant along the radial gaps at outlet 2. Application of 0.4 MPa of sealant pressure achieved the key balance, characterized by: (i) Completed displacement of air from the sealing cavity; (ii) Full permeation of sealant into the gaps between the armored copper strip gaps and the radial gaps; (iii) Avoidance of the excessive sealant leakage flow observed at 0.5 MPa, promoting efficient sealant usage; (iv) A short time to reach permeation and leakage steady state. This study demonstrated the feasibility of the low-viscosity sealant penetration into both the gaps between the armored copper strips and the radial gaps under 0.4 MPa injection pressure. It provided theoretical and experimental guidance for this process within the sealant plugging repair technique. Full article
Show Figures

Figure 1

23 pages, 2795 KB  
Article
A Bio-Inspired Approach to Sustainable Building Design Optimization: Multi-Objective Flow Direction Algorithm with One-Hot Encoding
by Ahmet Serhan Canbolat and Emre İsa Albak
Biomimetics 2026, 11(1), 31; https://doi.org/10.3390/biomimetics11010031 - 2 Jan 2026
Viewed by 268
Abstract
The urgent need for sustainable building design calls for advanced optimization methods that simultaneously address economic and environmental objectives, particularly those involving mixed discrete-continuous variables such as insulation material, heating source, and insulation thickness. While nature-inspired metaheuristics have shown promise in engineering optimization, [...] Read more.
The urgent need for sustainable building design calls for advanced optimization methods that simultaneously address economic and environmental objectives, particularly those involving mixed discrete-continuous variables such as insulation material, heating source, and insulation thickness. While nature-inspired metaheuristics have shown promise in engineering optimization, their application to building envelope design remains limited, especially in handling discrete choices efficiently within a multi-objective framework. Inspired by the natural process of rainwater runoff and drainage basin dynamics, this study presents a novel hybrid approach integrating the Multi-Purpose Flow Direction Algorithm (MOFDA) with One-Hot Encoding to optimize external wall insulation. This bio-inspired algorithm mimics how water seeks optimal paths across terrain, enabling effective navigation of complex design spaces with both categorical and continuous variables. The model aims to minimize total lifecycle costs and CO2 emissions across Türkiye’s six updated climatic regions. Pareto-optimal solutions are created using MOFDA, after which the Complex Proportional Assessment (COPRAS) method, weighted by Shannon Entropy, selects the most balanced designs. The results reveal significant climate-dependent variations: in the warmest region, the cost-optimal thickness is 3.3 cm (Rock Wool), while the emission-optimal reaches 17.3 cm (Glass Wool). In colder regions, emission-driven scenarios consistently require up to 40 cm insulation, indicating a practical limit of current materials. Under balanced weighting, fuel preferences shift from LPG in milder climates to Fuel Oil in harsher climates. Notably, Shannon Entropy assigned a weight of 88–92% to emissions due to their wider variability across the Pareto front, underscoring the environmental priority in data-driven decisions. This study demonstrates that the bio-inspired MOFDA framework, enhanced with One-Hot Encoding, effectively handles mixed discrete-continuous optimization and provides a robust, climate-aware decision tool for sustainable building design, reinforcing the value of translating natural flow processes into engineering solutions. Full article
(This article belongs to the Section Biological Optimisation and Management)
Show Figures

Graphical abstract

15 pages, 5582 KB  
Article
Design of an Energy-Efficient Pilot-Scale Pyrolysis Reactor Using Low-Cost Insulating Materials
by José Alfredo Torres Tovar, Hermelinda Servín-Campuzano, Mauricio González-Avilés, Hugo Sobral, Francisco Javier Sánchez-Ruiz and Saúl Leonardo Hernández Trujillo
Recycling 2025, 10(6), 199; https://doi.org/10.3390/recycling10060199 - 28 Oct 2025
Viewed by 1780
Abstract
A pilot-scale reactor prototype was designed to produce hydrocarbons through the catalytic pyrolysis process of low-density polyethylene, thereby extending its life cycle and contributing to energy efficiency and sustainability. The reactor consists of a stainless-steel tank encased in a ceramic jacket with refractory [...] Read more.
A pilot-scale reactor prototype was designed to produce hydrocarbons through the catalytic pyrolysis process of low-density polyethylene, thereby extending its life cycle and contributing to energy efficiency and sustainability. The reactor consists of a stainless-steel tank encased in a ceramic jacket with refractory cement and clay bricks. The tank, made of 304 stainless steel, ensures mechanical strength and efficient heat transfer to the reactor core. A spiral condenser was incorporated into a water tank to cool the vapors and recover the liquid oil. The insulating materials, ceramic, refractory cement and clay brick, demonstrated a high combined thermal resistance of 0.159 m2·K/W. Simulations and energy flow calculations demonstrated that heat is efficiently directed to the reactor core, reaching 350 °C with only 3000–3800 W, while the outside of the jacket remained close to 32 °C. These results confirm that the proposed design improves thermal efficiency and optimizes energy use for catalytic pyrolysis. The novelty of this design lies in its energy-efficient configuration, which can be replicated in rural regions worldwide due to the accessibility of its construction materials. This reactor was developed based on a smaller-scale model that previously yielded excellent results. Full article
Show Figures

Figure 1

11 pages, 2986 KB  
Article
Numerical Investigations of Factors Affecting the Heat Energy Productivity of Geothermal Wells Converted from Hydrocarbon Well Pairs
by Boyun Guo and Ekow Edusah
Energies 2025, 18(20), 5487; https://doi.org/10.3390/en18205487 - 17 Oct 2025
Viewed by 384
Abstract
Repurposing end-of-life hydrocarbon wells for geothermal energy generation offers a cost-effective and sustainable strategy to expand low-carbon energy deployment while utilizing existing infrastructure. Fracture-connected horizontal oil and gas well pairs present a promising configuration for enhancing heat transfer in low-permeability reservoirs. Existing modeling [...] Read more.
Repurposing end-of-life hydrocarbon wells for geothermal energy generation offers a cost-effective and sustainable strategy to expand low-carbon energy deployment while utilizing existing infrastructure. Fracture-connected horizontal oil and gas well pairs present a promising configuration for enhancing heat transfer in low-permeability reservoirs. Existing modeling approaches, however, lack the ability to simulate transient heat conduction from rock to fluid in such complex fracture pathways. This work develops a mathematical model that couples time-dependent heat conduction in the reservoir rock with convective heat transport within the fractures. This model enables prediction of heat energy productivity of converted well pairs by accounting for realistic boundary conditions and operational parameters. In applying the model to a representative shale gas field in Louisiana, key factors affecting fluid temperature and thermal power output, including fracture geometry, fluid flow rate, and wellbore insulation, were considered. The results demonstrate the feasibility and sensitivity of converting hydrocarbon wells into geothermal energy production, providing critical insight for optimizing such conversions to support the increased demand for clean, sustainable energy. Full article
Show Figures

Figure 1

17 pages, 3704 KB  
Article
Study on the Charge Characteristics and Migration Characteristics of Amorphous Alloy Core Debris
by Wenxu Yu and Xiangyu Guan
Materials 2025, 18(18), 4415; https://doi.org/10.3390/ma18184415 - 22 Sep 2025
Viewed by 524
Abstract
Compared with a traditional distribution transformer with silicon steel sheet as the core material, the no-load loss of an amorphous alloy transformer is greatly reduced due to its core using iron-based amorphous metal material, which has been applied in many countries. However, due [...] Read more.
Compared with a traditional distribution transformer with silicon steel sheet as the core material, the no-load loss of an amorphous alloy transformer is greatly reduced due to its core using iron-based amorphous metal material, which has been applied in many countries. However, due to the brittleness of its amorphous strip, an amorphous alloy transformer is prone to debris in the process of production, transportation and work. The charge and migration characteristics of these debris will reduce the insulation strength of the transformer oil and endanger the safe operation of the transformer. In this paper, a charge measurement platform of amorphous alloy debris is set up, and the charging characteristics of amorphous alloy core debris under different flow velocities, particle radius and plate electric field strength are obtained. The results show that with an increase in pipeline flow velocity, the charge-to-mass ratio of the debris increases first and then decreases. With an increase in electric field strength, the charge-to-mass ratio of the debris increases; with an increase in the number of debris, the charge-to-mass ratio of the debris decreases; with an increase in debris size, the charge-to-mass ratio of the debris increases. The debris with different charge-to-mass ratios and types obtained from the above experiments are added to the simulation model of an amorphous alloy transformer. The lattice Boltzmann method (LBM) coupled with the discrete element method (DEM) is used to simulate the migration process of metal particles in an amorphous alloy transformer under the combined action of gravity, buoyancy, electric field force and oil flow resistance under electrothermal excitation boundary. The results show that the trajectory of the debris is related to the initial position, electric field strength and oil flow velocity. The LBM–DEM calculation model and charge measurement platform proposed in this paper can provide a reference for studying the charge mechanism and migration characteristics of amorphous alloy core debris in insulating oil. Full article
(This article belongs to the Section Metals and Alloys)
Show Figures

Figure 1

16 pages, 1859 KB  
Article
Simulation of Effect on Charge Accumulation Distribution in Laminar Oil Flow with Bubbles in Oil Passage of Converter Transformer
by Wen Si, Haibo Li, Hongshun Liu and Xiaotian Gu
Energies 2025, 18(15), 3992; https://doi.org/10.3390/en18153992 - 26 Jul 2025
Viewed by 603
Abstract
The converter transformer is subjected to AC/DC composite voltage during operation, and the sealed and time-varying internal state makes its electric field distribution and charge accumulation unable to be monitored in real-time experiments. In this paper, aiming at the influence of bubbles in [...] Read more.
The converter transformer is subjected to AC/DC composite voltage during operation, and the sealed and time-varying internal state makes its electric field distribution and charge accumulation unable to be monitored in real-time experiments. In this paper, aiming at the influence of bubbles in the oil passage of the converter transformer on charge accumulation before discharge, a simulation model in a laminar flow environment is established, and four different calculation conditions are set to simulate the charge accumulation in 1 s. It is found that under laminar flow conditions, the trapped bubbles on the insulation paper wall play an obvious role in intensifying the charge accumulation in transformer oil, and the extreme range of charge density will increase by about 104 times. Bubbles aggravate the electric field distortion, and the insulation strength of bubbles is lower, which becomes the weak link of insulation. In the laminar flow environment, the oil flow will take away part of the accumulated charge in the oil, but in the case of trapped bubbles, the charge accumulation in the insulating paper will increase from the order of 10−2 to 10−1. In the case of no bubbles, the transformer oil layer flow will increase the charge accumulation in the insulation paper by 4–5 orders of magnitude. Therefore, it can be seen that the flow of transformer oil will increase the deterioration level of insulation paper. And when the transformer oil is already in the laminar flow state, the influence of laminar flow velocity on charge accumulation is not obvious. The research results in this paper provide a time-varying simulation reference state for the charge accumulation problem that cannot be measured experimentally under normal charged operation conditions, and we obtain quantitative numerical results, which can provide a valuable reference for the study of transformer operation and insulation discharge characteristics. Full article
Show Figures

Figure 1

17 pages, 10717 KB  
Article
Thermal Management in 500 kV Oil-Immersed Converter Transformers: Synergistic Investigation of Critical Parameters Through Simulation and Experiment
by Zhengqin Zhou, Chuanxian Luo, Fengda Zhang, Jing Zhang, Xu Yang, Peng Yu and Minfu Liao
Energies 2025, 18(9), 2270; https://doi.org/10.3390/en18092270 - 29 Apr 2025
Viewed by 901
Abstract
Aimed at solving the problem of insulation failure caused by the local overheating of the oil-immersed converter transformer, this paper investigates the heat transfer characteristics of the 500 kV converter transformer based on the electromagnetic-flow-heat coupling model. Firstly, this paper used the finite [...] Read more.
Aimed at solving the problem of insulation failure caused by the local overheating of the oil-immersed converter transformer, this paper investigates the heat transfer characteristics of the 500 kV converter transformer based on the electromagnetic-flow-heat coupling model. Firstly, this paper used the finite element method to calculate the core and winding loss. Then, a two-dimensional fluid-heat coupling model was used to investigate the effects of the inlet flow rate and the radius of the oil pipe on the heat transfer characteristics. The results show that the larger the inlet flow rate, the smaller the specific gravity of high-temperature transformer oil at the upper end of the tank. Increasing the pipe radius can reduce the temperature of the heat dissipation of the transformer in relative equilibrium. Still, the pipe radius is too large to lead to the reflux of the transformer oil in the oil outlet. Increasing the central and sub-winding turn distance, the oil flow diffusion area and flow velocity increase. Thus, the temperature near the winding is reduced by about 9%, and the upper and lower wall temperature is also reduced by about 4%. Based on the analysis of the sensitivity weight indicators of the above indicators, it is found that the oil flow rate has the largest share of influence on the hot spot temperature of the transformer. Finally, the surface temperature of the oil tank when the converter transformer is at full load is measured. In the paper, the heat transfer characteristics of the converter transformer are investigated through simulation and measurement, which can provide a certain reference value for the study of the insulation performance of the converter transformer. Full article
(This article belongs to the Section F: Electrical Engineering)
Show Figures

Figure 1

29 pages, 26009 KB  
Article
Numerical and Experimental Study of Heat Transfer Enhancement for Horizontal Blowing Panel-Type Radiators with Multiple Fans
by Guanxun Diao, Wenrong Si, Chenzhao Fu, Heli Ni, Haimin Hu, Peng Yuan, Yuhang Tian and Jian Yang
Machines 2025, 13(4), 296; https://doi.org/10.3390/machines13040296 - 2 Apr 2025
Cited by 1 | Viewed by 1662
Abstract
To improve the thermal performance of air-cooled panel-type radiators for transformers, a multi-fan horizontal blowing method was designed in this paper, and the thermo-hydraulic performance of the oil-side and air-side of the panel-type radiator was investigated with a simplified numerical method and experiments. [...] Read more.
To improve the thermal performance of air-cooled panel-type radiators for transformers, a multi-fan horizontal blowing method was designed in this paper, and the thermo-hydraulic performance of the oil-side and air-side of the panel-type radiator was investigated with a simplified numerical method and experiments. The uniform air distribution and zoned heat dissipation ideas were used for three blowing methods, which can increase the proportion of air supply for the high-temperature area of the radiator and apply multiple fans for zoned heat dissipation of the insulating oil in the radiator. Then, the effect of different insulating oil flow rates on the heat dissipation performance of the panel-type radiator was investigated. It was shown that the computational time for the simplified numerical simulation method used for an air-cooled panel-type radiator could be effectively shortened with a small relative error. Due to a more uniform air supply and prioritized air distribution for the high-temperature areas using the multi-fan horizontal blowing method, the overall heat dissipation efficiency was improved. Among the three blowing methods, the best heat dissipation performance was obtained by using the six-fan horizontal blowing scheme, which can improve the performance by about 10.42% and 15.44% in experimental and numerical studies, respectively, as compared with the traditional blowing method. Full article
(This article belongs to the Section Electromechanical Energy Conversion Systems)
Show Figures

Figure 1

14 pages, 5184 KB  
Article
Thermal Lamination of Electrospun Nanofiber Membrane with Woven Fabric and Yarn Embedding Effect
by Ziyuan Gao, Le Xu, Hongxia Wang, Xin Wei, Kaikai Chen, Wenyu Wang, Suzhen Zhang and Tong Lin
Membranes 2025, 15(3), 95; https://doi.org/10.3390/membranes15030095 - 20 Mar 2025
Viewed by 1924
Abstract
This study investigated the effectiveness of two lamination methods for integrating electrospun nanofiber membranes with woven nylon fabric for personal protective applications. The first method used a thermoplastic urethane (TPU) nonwoven adhesive, while the second method incorporated both the adhesive and a yarn, [...] Read more.
This study investigated the effectiveness of two lamination methods for integrating electrospun nanofiber membranes with woven nylon fabric for personal protective applications. The first method used a thermoplastic urethane (TPU) nonwoven adhesive, while the second method incorporated both the adhesive and a yarn, with the yarn embedding by sewing. Lamination with the TPU nonwoven adhesive slightly improved the adhesion between the nanofiber membrane and the nylon fabric. However, it decreased the air permeability, with the degree of the decrease depending on the areal density of the TPU adhesive. As the areal density of the TPU increased from 10 g/m2 to 30 g/m2, the air permeability decreased from 107.6 mm/s to 43.4 mm/s. The lamination resulted in a slight increase in the filtration efficiency for oil aerosol particles (0.3 µm, PM0.3, at a flow rate of 32 L/min) to 96.4%, with a pressure drop of 83 Pa. Embedding non-fusible yarns in the laminate increased the nanofiber/fabric adhesion and permeability. Still, the filtration efficiency and pressure drop were reduced to 74.4% and 38 Pa, respectively, due to numerous pinholes formed in the nanofiber layer during the sewing process. Conversely, incorporating fusible TPU yarns not only improved the interlayer adhesion by 175% compared to using TPU fabric adhesive alone but also increased the air permeability to 136.1 mm/s. However, the filtration performance (87.7%, 72 Pa) was slightly lower than that of the unlaminated nanofiber/fabric pack because the TPU yarns sealed the pinholes during lamination. Lamination embedded with hot-melt yarns provides a versatile approach for combining nanofiber membranes with conventional fabrics. It can be used to develop nanofiber-functionalized textiles for a wide range of applications, including fire protection, electrical insulation, sound absorption, filtration, marine applications, and more. Full article
(This article belongs to the Section Membrane Fabrication and Characterization)
Show Figures

Figure 1

19 pages, 5784 KB  
Article
Research on Adhesion Characteristic Experiment of Carbon Particles in Transformer Oil on the Surface of Epoxy Resin Under DC Electric Field
by Jiarong Zhong, Zhanlong Zhang, Zijian Dong, Zhixuan Xue, Jiaqi Cheng, Jun Deng and Fan Wang
Appl. Sci. 2025, 15(1), 431; https://doi.org/10.3390/app15010431 - 5 Jan 2025
Viewed by 1214
Abstract
Transformer oil will inevitably be contaminated by impurity particles in the actual operation process; Carbon particles are the most abundant conductive particles in transformer oil. The adhesion behavior on the internal insulating surface will cause electric field distortion, which will pose a serious [...] Read more.
Transformer oil will inevitably be contaminated by impurity particles in the actual operation process; Carbon particles are the most abundant conductive particles in transformer oil. The adhesion behavior on the internal insulating surface will cause electric field distortion, which will pose a serious threat to the safe and stable operation of oil-immersed power equipment. To this end, this paper builds an experimental platform for simulating the adhesion behavior of carbon particles in transformer oil, studies the adhesion characteristics of carbon particles, and analyzes the influence of electric field, particle size, oil flow velocity, and other factors on the adhesion of carbon particles. The results show that: the DC electric field is the main factor driving the adhesion of carbon particles on the surface of epoxy resin (with the increase in electric field strength, the degree of adhesion of carbon particles firstly rises and then decreases); the smaller the size of the carbon particles, the easier it is to adhere, and the corresponding electric field strength is different for different sizes of carbon particles when the degree of adhesion is the largest; the velocity of the transformer oil will have a significant impact on the adhesion behavior of the carbon particles (with the increase in the flow velocity, the degree of adhesion of carbon particles firstly rises and then decreases). The research conclusion of this article is helpful in guiding the evaluation of insulation performance and the optimization of insulation structure design in the converter transformer valve-side bushing considering the phenomenon of particle adhesion. Full article
Show Figures

Figure 1

23 pages, 11785 KB  
Article
A Study on the Motion Behavior of Metallic Contaminant Particles in Transformer Insulation Oil under Multiphysical Fields
by Binbin Wei, Zhijuan Wang, Runze Qi, Xiaolong Wang and Tong Zhao
Sensors 2024, 24(17), 5483; https://doi.org/10.3390/s24175483 - 24 Aug 2024
Cited by 4 | Viewed by 1365
Abstract
When using transformer insulation oil as a liquid dielectric, the oil is easily polluted by the solid particles generated in the operation of the transformer, and these metallic impurity particles have a significant impact on the insulation performance inside the power transformer. The [...] Read more.
When using transformer insulation oil as a liquid dielectric, the oil is easily polluted by the solid particles generated in the operation of the transformer, and these metallic impurity particles have a significant impact on the insulation performance inside the power transformer. The force of the metal particles suspended in the flow insulation oil is multidimensional, which will lead to a change in the movement characteristics of the metal particles. Based on this, this study explored the motion rules of suspended metallic impurity particles in mobile insulating oil in different electric field environments and the influencing factors. A multiphysical field model of the solid–liquid two-phase flow of single-particle metallic impurity particles in mobile insulating oil was constructed using the dynamic analysis method, and the particles’ motion characteristics in the oil in different electric field environments were simulated. The motion characteristics of metallic impurity particles under conditions of different particle sizes, oil flow velocities, and insulation oil qualities and influencing factors were analyzed to provide theoretical support for the detection of impurity particles in transformer insulation oil and enable accurate estimations of the location of equipment faults. Our results show that there are obvious differences in the trajectory of metallic impurity particles under different electric field distributions. The particles will move towards the region of high field intensity under an electric field, and the metallic impurity particles will not collide with the electrode under an AC field. When the electric field intensity and particle size increase, the trajectory of the metallic impurity particles between electrodes becomes denser, and the number of collisions between particles and electrodes and the motion speed both increase. Under the condition of a higher oil flow velocity, the number of collisions between metal particles and electrodes is reduced, which reduces the possibility of particle agglomeration. When the temperature of the insulation oil changes and the quality deteriorates, its dynamic viscosity changes. With a decrease in the dynamic viscosity of the insulation oil, the movement of the metallic impurity particles between the electrodes becomes denser, the collision times between the particles and electrodes increase, and the maximum motion speed of the particles increases. Full article
Show Figures

Figure 1

17 pages, 7586 KB  
Article
Experimental and Simulation Studies on Stable Polarity Reversal in Aged HVDC Mass-Impregnated Cables
by Sun-Jin Kim, Seol Lee, Woo-Sung Choi and Bang-Wook Lee
Energies 2024, 17(10), 2352; https://doi.org/10.3390/en17102352 - 13 May 2024
Cited by 1 | Viewed by 1981
Abstract
Mass-impregnated (MI) cables have been used for many years as cables in high-voltage direct current (HVDC) systems. In line commutated converter (LCC) HVDC systems, polarity reversal for power flow control can induce significant electrical stress on MI cables. Furthermore, the mass oil and [...] Read more.
Mass-impregnated (MI) cables have been used for many years as cables in high-voltage direct current (HVDC) systems. In line commutated converter (LCC) HVDC systems, polarity reversal for power flow control can induce significant electrical stress on MI cables. Furthermore, the mass oil and kraft paper comprising the impregnated insulation have significantly different coefficients of thermal expansion. Load fluctuations in the cable lead to expansion and contraction of the mass, creating pressure within the insulation and causing redistribution of the impregnant. During this process, shrinkage cavities can form within the butt gaps. Since the dielectric strength of the cavities is lower than that of the surrounding impregnation, cavitation phenomena in impregnated paper insulation are considered a factor in degrading insulation performance. Consequently, this study analyzes the electrical conductivity of thermally aged materials and investigates the transient electric field characteristics within the cable. Additionally, it closely analyzes the formation and dissolution of cavities in MI cables during polarity reversal based on a numerical model of pressure behavior in porous media. The conductivity of the impregnated paper indicates that it has excellent resistance to thermal degradation. Simulation results for various load conditions highlight that the interval of load-off time and the magnitude of internal pressure significantly influence the cavitation phenomenon. Lastly, the study proposes stable system operation methods to prevent cavitation in MI cables. Full article
(This article belongs to the Collection Featured Papers in Electrical Power and Energy System)
Show Figures

Figure 1

22 pages, 6454 KB  
Article
Use of Self-Generating Foam Gel Composition with Subsequent Injection of Hydrogel to Limit Gas Inflow in Horizontal Wells of Vostochno-Messoyakhskoye Field
by Aleksey Telin, Dmitriy Karazeev, Sergey Vezhnin, Vladimir Strizhnev, Aleksey Levadsky, Anton Mamykin, Lyubov Lenchenkova, Ravil Yakubov, Alsu Fakhreeva, Alfir Akhmetov, Aleksey Oleynik, Anton Shirobokov, Bulat Minnebaev, Ilyas Mullagalin and Ramil Bakhtizin
Gels 2024, 10(4), 215; https://doi.org/10.3390/gels10040215 - 22 Mar 2024
Cited by 6 | Viewed by 2592
Abstract
Gas inflow control in oil wells is one of the most challenging types of repair and sealing operations, the success rate of which does not exceed, as a rule, 30%. Conventional shutoff methods are often ineffective for this purpose. For instance, cement solutions [...] Read more.
Gas inflow control in oil wells is one of the most challenging types of repair and sealing operations, the success rate of which does not exceed, as a rule, 30%. Conventional shutoff methods are often ineffective for this purpose. For instance, cement solutions cannot be injected into wells in the required volumes, while gel screens can only temporarily block the breakthrough zones, as gas easily seeps through the gel, forming new channels for gas inflow. Technology for the two-stage injection of gas-insulating gel systems for gas control in horizontal wells was developed. At the first stage, a self-generating foam gel composition (FGC), consisting of gel-forming and gas-forming compositions, was used. A foam gel structure with enhanced rheological and flow characteristics was formed over a controlled time as a result of the interaction between the gel-forming and gas-forming compounds. A PAM-based hydrogel crosslinked with an organic crosslinker was added to the FGC at the second stage of treatment. The laboratory experiments substantiated the technology of well gas and water shutoff by the sequential injection of self-generating foam gel composition and hydrogel. Field tests confirmed the correctness of the chosen concept. It is very important to clearly identify the sources of gas inflow for the success of this well intervention and take into account the well design, as well as the reservoir geological structure and characteristics. The gas shutoff operation can be properly designed for each well only by comparing all these factors. The validity of the selected technology was tested through a series of laboratory experiments. Successful laboratory tests allowed for the application of the studied technology in a field setting, where the gas shutoff agent was injected into three horizontal wells. As a result of the field application, the gas inflow was successfully isolated in two wells. However, the application of the technology failed in the third well which gave an opportunity to revisit the technology’s design and to review the sources of gas inflow. Overall, the achieved success rate of 66% demonstrated the high efficiency of the studied technology and supported its wider application in the field. Full article
(This article belongs to the Special Issue Gels for Oil Drilling and Enhanced Recovery (2nd Edition))
Show Figures

Figure 1

31 pages, 6994 KB  
Article
The Extent to Which Hemp Insulation Materials Can Be Used in Canadian Residential Buildings
by Chun Hua Julia Liu, Francesco Pomponi and Bernardino D’Amico
Sustainability 2023, 15(19), 14471; https://doi.org/10.3390/su151914471 - 4 Oct 2023
Cited by 4 | Viewed by 5900
Abstract
The embodied carbon of building materials is a significant contributor to greenhouse gas (GHG) emissions. Hemp is widely acknowledged as the most used vegetal insulation in building and construction due to its comparable thermal properties and better environmental performance than that of mainstream [...] Read more.
The embodied carbon of building materials is a significant contributor to greenhouse gas (GHG) emissions. Hemp is widely acknowledged as the most used vegetal insulation in building and construction due to its comparable thermal properties and better environmental performance than that of mainstream insulation materials (MIMs). However, the application of hemp insulation materials (HIMs) in Canada is still in its infancy. Canada is currently the largest hemp oil and seed producer in the world. Most recent research on hemp in Canada has focused on the impact of legalising marijuana and the popularisation of hemp health products and cannabidiol (CBD). There is a lack of studies addressing the holistic impact of hemp in reducing emissions in Canadian residential buildings. This paper exams the feasibility of large-scale hemp cultivation in Canada and the suitability of HIMs for Canadian private dwellings. Material flow analysis (MFA) and life cycle assessment (LCA) were applied to evaluate different levels of carbon mitigation over time produced by HIM substitution. The results show that Canada has sufficient farmland and perfect geographic location and weather to implement large-scale hemp cultivation. HIM substitution can be accomplished for 81% of Canadian residential buildings. Full HIM substitution fulfilled through 5% hemp fibre insulation (HF) and 95% hempcrete (HC) will mitigate 101% of the GHG emissions caused by existing MIMs and contribute up to a 7.38% reduction in emissions to achieve the net zero emissions target by 2050. Full article
Show Figures

Figure 1

18 pages, 10742 KB  
Article
Discharge Characteristics and Numerical Simulation of the Oil–Gas Surface under DC Voltage
by Yuanxiang Zhou, Xiaojing Yang, Yuhang Li, Guiming Jiang and Jianning Chen
Energies 2023, 16(8), 3558; https://doi.org/10.3390/en16083558 - 20 Apr 2023
Cited by 2 | Viewed by 2140
Abstract
Low insulation strength at the oil–gas surface due to oil leakage and partial discharge of oil-immersed power equipment is a major threat to the safe and reliable operation of power systems. This paper investigates the initiation and development of the oil–gas surface discharge. [...] Read more.
Low insulation strength at the oil–gas surface due to oil leakage and partial discharge of oil-immersed power equipment is a major threat to the safe and reliable operation of power systems. This paper investigates the initiation and development of the oil–gas surface discharge. The oil–gas surface discharge test platform was established, and discharge tests were carried out at different gap distances (1–2.5 mm). By coupling the electric field and flow field, the multi-layer dielectric discharge streamer model was built, and the characteristics of charge and electric field distribution at different gap distances were studied. The test results show that the liquid surface between the electrodes rises during the discharge process. Furthermore, the surface discharge voltage exceeds the air gap discharge voltage. With the simulation analysis, the oil–gas surface discharge is a typical streamer development process. Under 50 kV applied voltage and 2.5 mm gap distance, the average development speed of the streamer is 12.5 km/s. The larger the gap distance is, the greater the average streamer development speed is. The recording and numerical simulation of the discharge process are of great significance for exploring the mechanism of oil–gas surface discharge, optimizing the discharge process, and diagnosing partial discharges. Full article
(This article belongs to the Special Issue Design and Optimization of Power Transformer Diagnostics)
Show Figures

Figure 1

Back to TopTop