Modeling and Experimental Analysis of Low-Viscosity/High-Permeability Sealant Penetration Dynamics in Oil-Filled Submarine Cables
Abstract
1. Introduction
- (1)
- Leak detection: Systems utilizing methods like laser-induced fluorescence sensors identified leakage through characteristic insulating oil spectral signatures [3].
- (2)
- (3)
2. Materials and Methods
2.1. Low-Viscosity/High-Permeability Sealant Selection
2.2. Sealant Plugging Repair Experimental Device
- (1)
- Flange: Configured as separable upper and lower units for assembly efficiency and compression of sealing rings.
- (2)
- Sealing sleeve: Employed separable upper and lower halves for ease of installation.
- (3)
- Guide sleeve: Provided rigid support in the middle of the two sealing rings.
- (4)
- Sealing rings: Two rings were utilized. Their primary function was to seal the radial gaps between the outer surface of the armor layer and the inner surface of the sealing sleeves, thereby defining the boundaries of the sealing cavity.
2.3. Sealant Plugging Repair Mechanism
- (1)
- Low-viscosity/high-permeability sealant penetrationA low-viscosity/high-permeability sealant was then injected under pressure to achieve comprehensive penetration into (Figure 3):
- (i)
- The armored copper strip gaps between adjacent copper strips stranded in the armor layer.
- (ii)
- The radial gaps between the outer surface of the armor layer and the inner surface of the sealing sleeves.
This dual-path infiltration ensured the complete filling of all potential leakage pathways at the microscopic level. - (2)
- High-viscosity/low-permeability sealant replacement and pressurizationThe final stage involved the displacement of the low-viscosity/high-permeability sealant by a high-viscosity/low-permeability sealant. During the pressurized application, the high-viscosity/low-permeability sealant:
- (i)
- It fully occupied the annular sealing cavities.
- (ii)
- Generated a uniform circumferential sealing pressure.
- (iii)
- Established a permanent barrier against insulting oil leakage.
The viscosity gradient design enabled sequential filling from micro-gaps to macro-cavities, and the pressure pressurization characteristics ensured hermetic sealing under operational conditions. - (3)
- Sealant plugging repair plugging efficacy verificationInsulating oil at 0.6 MPa was injected through the insulating oil injection port to verify the sealant plugging repair plugging efficacy.An insulation oil pressure of 0.6 MPa represents the maximum operating oil pressure under normal conditions in an oil-filled submarine cable. It is used to verify that the cured sealant must withstand this maximum oil pressure in order to ensure effective sealing against insulation oil leakage. If no insulating oil leakage is observed along the armored copper strip gaps and the radial gaps on either side of the sealed section, and pressure decayed monitoring <0.01 MPa/24 h; it confirms the effectiveness of the sealant plugging repair technique.

3. Computational Modeling of Sealant Permeation Dynamics
3.1. Theoretical Model
- (1)
- The liquid phase was incompressible.
- (2)
- The liquid and gas phases within the computational domain were immiscible.
3.2. Sealant Permeation Fluid Domain and Boundary Conditions
- (1)
- Inlet: The sealant injection port, located at the lower end of the sealing sleeve, was modeled as a pressure inlet boundary condition (0.1 MPa–0.5 MPa).
- (2)
- Outlet 1: Positioned at the upper end of the sealing sleeve to allow air displaced by the sealant to escape, was modeled as a pressure outlet (atmospheric pressure).
- (3)
- Outlet 2: Represented the radial gaps, and this outlet ensured that sealant could permeate into the armored copper strip gaps, which were modeled as a pressure outlet (atmospheric pressure).
- (4)
- Walls: All other surfaces, including the armor layer and sealing sleeve walls, were defined as no-slip wall boundary conditions.
- (1)
- Both the sealant inlet and outlet 1 were cylinders with a diameter of 20 mm, located 14.65 mm from the armor layer.
- (2)
- The sealing cavity has an inner diameter of 130.7 mm, an outer diameter of 150 mm (corresponding to the inner diameter of the plugging device), and a width of 40 mm.
- (3)
- Outlet 2 has an inner diameter of 130.7 mm, an outer diameter of 131 mm, and a width of 15 mm.
3.3. Mesh Subdivision and Independence Analysis
- (1)
- Local grid refinement was applied at both the inlet and outlet 1 regions.
- (2)
- The thickness of the sealing cavity was 9.5 mm, which was divided into five layers, and the hexahedral mesh size was 1.9 mm. Special attention was paid to the radial gaps (Outlet 2), which had a thickness of 0.15 mm. To accurately resolve the flow within thin gaps, the mesh size at the radial gaps was set to 0.03 mm (Figure 5).
4. Results and Discussion
4.1. Sealant Volume Fraction in the Sealing Cavity
- (1)
- Initial penetration phase (0–0.5 s):
- (i)
- All pressure conditions exhibited rapid initial sealant filling;
- (ii)
- Higher pressures (0.4–0.5 MPa) achieved >90% the sealing cavity filling within 0.3 s;
- (iii)
- Lower pressures (0.1–0.2 MPa) required approximately 0.5 s to reach 60% filling.
- (2)
- Transition phase (0.5–1.5 s):
- (i)
- Penetration rates decreased as the sealing cavity approached full occupancy;
- (ii)
- 0.4 MPa showed a balanced performance with 98.5% filling at 1.2 s;
- (iii)
- 0.5 MPa exhibited a minor overshoot (101.5%) due to potential compression effects.
- (3)
- Stabilization phase (>1.5 s):
- (i)
- All systems reached equilibrium (99.2 ± 0.8% filling);
- (ii)
- Higher pressures demonstrate slightly reduced final volumes (0.5 MPa: 98.7%) versus lower pressures (0.2 MPa: 99.5%).
- (1)
- Sealant volume fraction distribution (scalar field): Color gradients (0–1) quantitatively represented filling completeness, with red colors indicating fully filled regions (Φ = 1.0) and blue colors showing unfilled/air-entrapped zones.
- (2)
- Unfilled/air-entrapped zones (phase interface): Sharp transitions in volume fraction reveal air-entrapped fronts, with bubble-like residuals visible at low-pressure conditions.
- (1)
- Low pressure (0.1–0.2 MPa):
- (i)
- Irregular penetration fronts with significant air entrapment (local Φ drop < 0.5);
- (ii)
- Incomplete filling (terminal axial Φ < 0.8).
- (2)
- Suitable pressure (0.3–0.4 MPa):
- (i)
- Smooth advancement with complete air expulsion (no Φ discontinuity);
- (ii)
- Uniform filling (mean Φ > 0.95).
- (3)
- Excessive pressure (0.5 MPa):
- (i)
- Potential over-penetration artifacts (Φ > 1.0 at boundaries);
- (ii)
- Vortex-induced air entrainment (annular low-Φ regions).
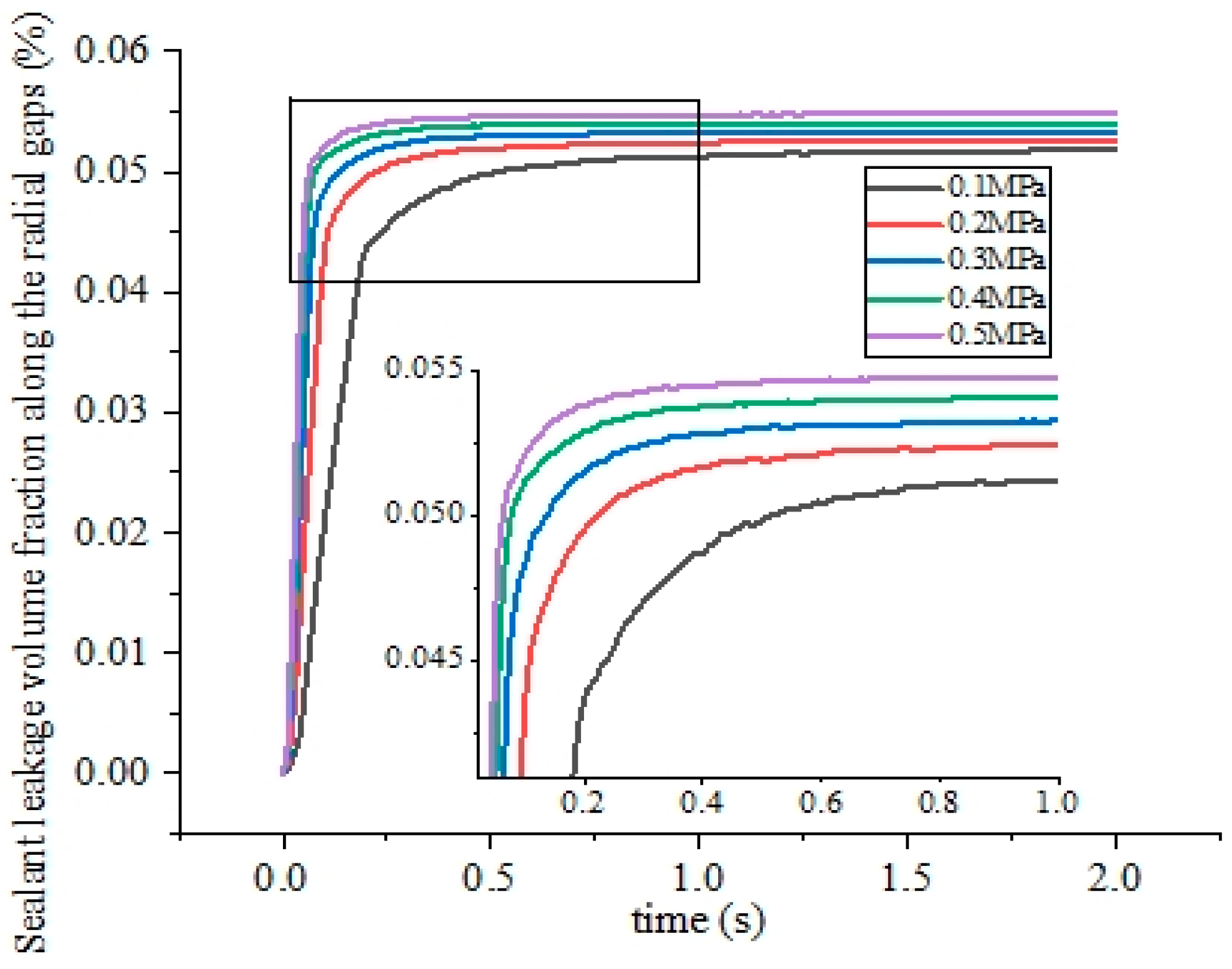
4.2. Sealant Leakage Volume Fraction Along the Radial Gaps
- (1)
- All pressures showed rapid initial leakage (t < 0.2 s) followed by stabilization;
- (2)
- 0.1 MPa: minimal leakage (<1%) but incomplete sealing;
- (3)
- 0.4 MPa: balance leakage (2.8%) with completed sealing cavity filling;
- (4)
- 0.5 MPa: excessive leakage (5.5%) due to over-penetration.
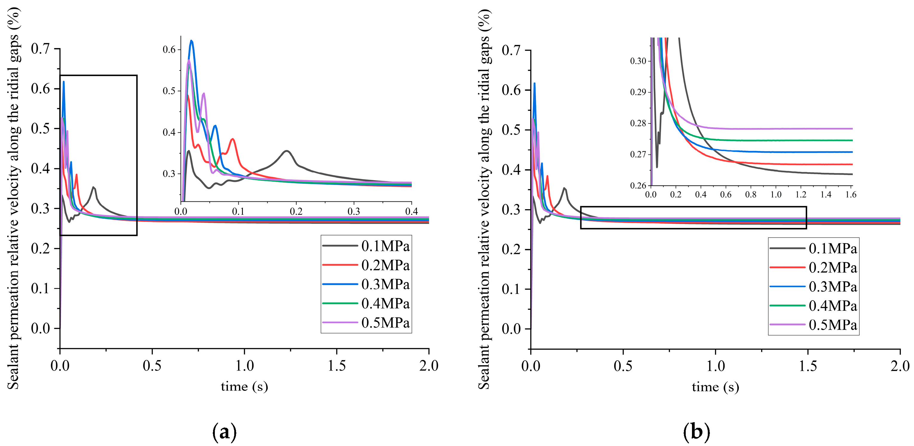
4.3. Sealant Permeation Relative Velocity Along the Radial Gaps
- (1)
- Initial phase (t < 0.05 s):
- (i)
- 0.5 MPa achieved peak velocity (0.65 m/s), 300% faster than 0.1 MPa.
- (2)
- Stabilization phase (t > 0.2 s):
- (i)
- 0.4 MPa maintained a steady velocity (0.28 ± 0.03 m/s);
- (ii)
- 0.5 MPa exhibited strong oscillations (± 15%).
- (3)
- Fluctuation analysis (0.5 MPa):
- (i)
- Revealed flow instabilities at t = 0.12–0.18 s for injection pressure ≥ 0.4 MPa;
- (ii)
- Correlated with vortex formation in filling patterns.
4.4. Determination of Suitable Sealant Injection Pressure
- (1)
- Pressures below 0.3 MPa led to inadequate sealing the cavity filling, significant unfilled/air-entrapped zones.
- (2)
- Pressures at 0.4 MPa and 0.5 MPa ensured rapid sealing of the cavity filling, effective air purging, and fast stabilization. They also promoted complete penetration into the armored copper strip gaps and the radial gaps.
- (3)
- However, the 0.5 MPa pressure resulted in the highest sealant leakage volume fraction along the radial gaps, indicating excessive flow through the radial gaps before the sealing cavity saturation, representing inefficient sealant utilization.
- (4)
- Recommended pressure (0.4 MPa): this pressure achieved the balance.
- (i)
- Effective air purging: completed displacement of air from the sealing cavity.
- (ii)
- Complete permeation: ensured sealant fully penetrated the armored copper strip gaps and the radial gaps.
- (iii)
- Minimized waste: avoided the excessive sealant leakage flow observed at 0.5 MPa, promoting efficient sealant usage.
- (iv)
- Rapid process: short time to reach permeation and leakage steady state.
5. Sealant Penetration Experiment
5.1. Experimental Setup and Parameters
- (1)
- Environmental Conditions
- (2)
- Test Specimen
- (3)
- Sealant Preparation
5.2. Experimental Procedure and Observations
- (1)
- Initial injection (t = 0 s): Sealant injection commenced at 0.4 MPa with simultaneous timing initiation.
- (2)
- Radial permeation onset (t = 0.02 s): Sealant permeation was observed at the radial gaps interface.
- (3)
- Outlet flow initiation (t = 0.5 s): Sealant discharge was noted at the sealing sleeve outlet, prompting partial closure of the ball valve to modulate flow.
- (4)
- Uniform permeation (t = 2.1 s): Homogeneous sealant distribution was achieved throughout the armored copper strip and the radial gaps. The ball valves were subsequently closed to initiate the curing process within the gaps.
5.3. Validation of Results and Error Analysis
6. Conclusions
- (1)
- The repair mechanism involved two key operational phases: low-viscosity/high-permeability sealant permeation and high-viscosity/low-permeability sealant replacement and pressurization.
- (2)
- Through comprehensive evaluation of sealant behavior—including (1) sealant volume fraction in the sealing cavity; (2) sealant leakage volume fraction along the radial gaps at outlet 2; and (3) relative velocity of the permeating sealant along the radial gaps at outlet 2, the study identified 0.4 MPa as the recommended injection pressure. This parameter achieves performance benchmarks:
- (i)
- 0.4 MPa achieved 98.5% cavity filling within 1.2 s;
- (ii)
- Leakage was limited to 2.8% at 0.4 MPa, compared to 5.5% at 0.5 MPa;
- (iii)
- Steady-state velocity stabilized at 0.28 ± 0.03 m/s.
- (3)
- Experimental validation showed complete gap filling with a process time of 2.1 ± 0.15 s. The experimental permeation dynamics demonstrated close alignment with simulation predictions under 0.4 MPa injection pressure. Post-curing inspection revealed complete filling of both the armored copper strip gaps and the radial gaps interstices with solidified sealant.
Author Contributions
Funding
Institutional Review Board Statement
Informed Consent Statement
Data Availability Statement
Conflicts of Interest
Abbreviations
| VOF | Volume of fluid |
| CFD | Computational fluid dynamics |
Appendix A
| Concentric Layer | Material | Density (kg/m3) | Specific Heat Capacity (J/(kg•K)) | Thermal Conductivity (W/(m•K)) |
|---|---|---|---|---|
| Armor layer | Flat copper wire | 8940 | 385 | 385 |
| Antiboring layer | Ribbon copper | 8940 | 385 | 385 |
| Anticorrosive layer | Polyethylene sheath | 930–960 | 2300 | 0.33–0.52 |
| Liners | Bronze belt | 8700 | 380 | 50 |
| Lead sheath | Lead alloy sleeve | 11340 | 130 | 35 |
| Insulating layer | Impregnated paper tape | / | / | / |
| Conductor | Copper | 8940 | 385 | 395 (Pure 20 °C) |
References
- Liao, J.; Chu, J.; Gao, F.; Chen, Y.; Zhang, C.; Yu, S.; Li, H.; Zhong, L. Research progress on Performance of Alkylbenzene Insulating Oil for Submarine cable. Insul. Mater. 2021, 54, 20–25. [Google Scholar] [CrossRef]
- Wang, Z.; Tang, Y.; Jia, L. Electric-thermal coupling and ampacity of 500 kV DC submarine cable under the action of vertical ocean currents. Electr. Power Eng. Technol. 2024, 43, 140–149. [Google Scholar] [CrossRef]
- Li, Y.; Liu, Y.; Xie, M.; Zhang, Z. A Buoy-Type Submarine Cable Insulation Medium Leakage Monitoring System. Liaoning Province. CN202210605348.8, 6 September 2022. [Google Scholar]
- Liao, J.; Hou, M.; Liu, Z.; Li, Y.; Xiao, L.; Liao, Z. Location Method, Device and System of Insulating Oil Leakage Point of Submarine Cable. Guangdong Province. CN202311169026.4, 14 November 2023. [Google Scholar]
- Huang, X.; Zhang, Y.; Feng, B.; Jiang, D.; Lu, Z.; Fu, M.; Wu, C.; Hou, S.; Guo, Q.; Hui, B.; et al. A Leak Detection Method, Device and Equipment for Submarine Oil-Filled Cables. Hainan Province. CN202311208575.8, 15 December 2023. [Google Scholar]
- Jiang, D.; Feng, B.; Chen, Y.; Huang, X.; Hou, S.; Hui, B.; Li, X.; Zhu, W.; Zhou, X.; Zhan, Y.; et al. A Method and System for Locating Leaks and Identifying the Extent of Leaks in Submarine Oil-Filled Cables. Hainan Province. CN202410207824.X, 7 May 2024. [Google Scholar]
- Wu, Q.; Guo, Q.; Wang, J.; Cen, Z.; Zhang, W.; Chen, H.; Zhao, D.; Zhu, D.; Huang, X.; Chen, Y.; et al. Insulating Oil Recovery Devices and Methods. Hainan Province. CN202310893729.5, 1 September 2023. [Google Scholar]
- Zhu, D.; Li, X.; Zhang, S.; Zhao, D.; Pang, T.; Huang, X.; Zhang, Y.; Guo, Q.; Cen, Z.; Wang, J.; et al. A Suitable for Oil-Filled Submarine Cable Insulation Medium Recovery Oil Guide Device. Hainan Province. CN202311508960.4, 19 March 2024. [Google Scholar]
- McLaurin, D.; Aston, A.; Brand, J. Prevention of offshore wind power cable incidents by employing offshore oil/gas common practices. In Proceedings of the International Conference on Offshore Mechanics and Arctic Engineering, Online, 16–18 February 2021; American Society of Mechanical Engineers: New York, NY, USA, 2021; Volume 84768, p. V001T02A002. [Google Scholar]
- Agarwal, M.S. Enhancing Capacity-of and Capabilities-In repair of submarine Communication Cables through International Cooperation. In Viewing Maritime Activities Through A Legal Lens; National Maritime Foundation: New Delhi, India, 2024; pp. 116–131. [Google Scholar]
- Lv, T.; Cen, Z.; Huang, X.; Cai, C.; Zeng, K.; Zhang, Y.; Chen, Z.; Tang, X. Review of Data-Driven Condition Monitoring and Fault Diagnosis Technologies for Submarine Cable; Frontier Academic Forum of Electrical Engineering; Springer: Singapore, 2025; pp. 597–610. [Google Scholar]
- Cai, C.; Huang, X.; Zeng, K.; Hu, Y.; Lv, T.; Cen, Z.; Chen, H.; Wang, J. The Optimization Design and Performance Analysis of the Accumulator Lifting System for 500kV Oil-Filled Submarine Cable Pumping Station. In Proceedings of the 2024 IEEE 8th Conference on Energy Internet and Energy System Integration (EI2), Shanghai, China, 25–28 October 2024; IEEE: Piscataway, NJ, USA, 2024; pp. 2803–2807. [Google Scholar]
- Al-Ruzouq, R.; Gibril, M.B.A.; Shanableh, A.; Kais, A.; Hamed, O.; Al-Mansoori, S.; Khalil, M.A. Sensors, features, and machine learning for oil spill detection and monitoring: A review. Remote Sens. 2020, 12, 3338. [Google Scholar] [CrossRef]
- Kostyuk, A.; Tumanov, A.; Tumanov, V.; Zybina, O. Improving Emergency Response Systems in the Oil and Gas Industry to Reduce Environmental Damage. E3S Web Conf. 2020, 221, 01008. [Google Scholar] [CrossRef]
- Chen, Y.H.; Shen, S.C.; Wu, Y.K.; Lee, C.Y.; Chen, Y.J. Design and testing of real-time sensing system used in predicting the leakage of subsea pipeline. Sensors 2022, 22, 6846. [Google Scholar] [CrossRef]
- Keramea, P.; Spanoudaki, K.; Zodiatis, G.; Gikas, G.; Sylaios, G. Oil spill modeling: A critical review on current trends, perspectives, and challenges. J. Mar. Sci. Eng. 2021, 9, 181. [Google Scholar] [CrossRef]
- Sun, Z.; He, W.; Han, J.; Bo, H. Comparative Investigation of Eulerian and VOF Models in Gas-Liquid Two-Phase Flow Simulation. In Proceedings of the International Conference on Nuclear Engineering, American Society of Mechanical Engineers. Prague, Czech Republic, 4–8 August 2024; Volume 88261, p. V006T07A059. [Google Scholar]
- Mirjalili, S.; Jain, S.S.; Dodd, M. Interface-capturing methods for two-phase flows: An overview and recent developments. Cent. Turbul. Res. Annu. Res. Briefs 2017, 2017, 13. [Google Scholar]
- Liu, X.; Liu, S.; Zheng, T.; Zhu, C.; Jeng, D.S. Numerical Study on the Migration of Leaked Oil in Submarine Sediment Caused by Pipeline Leakage Using Two-phase Flow Model. J. Mar. Environ. Eng. 2023, 11, 41–56. [Google Scholar] [CrossRef]
- Sun, Y.; Zhu, X.; Cao, X.; Sun, S.; Bian, J. Numerical analysis of dispersion characteristics of underwater gas-oil two-phase leakage process. Mar. Pollut. Bull. 2023, 197, 115766. [Google Scholar] [CrossRef]
- Wen, F.; Wang, L.; Li, S.; Guo, H.; Liu, B. Preparation and properties of rGO@Al2O3 filled thermal conductive silicon gel. J. Mater. Eng. 2024, 52, 139–145. [Google Scholar] [CrossRef]
- Yang, D.; Wang, Z.; Ye, N.; Li, J.; Lu, Y. Preparation and Properties of Low Migration Thermal Conductive Silicone Gel. Polym. Bull. 2023, 36, 329–337. [Google Scholar] [CrossRef]
- Liu, H.; Chen, X.; Xiao, Y.; Xing, Z.; Ju, M.; Xu, L. Preparation and Properties of Two-Component Silicone Gel cured at Room Temperature. J. East China Univ. Sci. Technol. 2017, 43, 66–69+148. [Google Scholar] [CrossRef]
- Duan, Y.; Xu, Y.; Hong, F.; Liu, C.; Yan, X.; Ke, X.; Jiang, X.; You, F. Progress in Research of Preparation, Structure and Properties of Porous Polyurethane Sound-Absorbing Materials. Polym. Mater. Sci. Eng. 2024, 40, 137–147. [Google Scholar] [CrossRef]
- Du, H.; Yu, C.; Li, Y.; Zhang, J.; Wang, Y.; Dong, B.; Cao, H. Study on a Two-Component High Strength Polyurethane Sealant. Eng. Plast. Appl. 2014, 42, 38–41. [Google Scholar] [CrossRef]
- Lu, P.; Zu, H.; An, J.; Su, J. Aging properties of polyurethane elastomers under different environmental conditions. Acta Mater. Compos. Sin. 2025, 42, 2557–2566. [Google Scholar] [CrossRef]
- Li, W.; An, Q.; Qin, P. Preparation and properties of hydrophobic fluorosilicone rubber. New Chem. Mater. 2019, 47, 99–102+106. [Google Scholar]
- Yu, C.; Wen, Q.; Zhu, J.; Yu, H.; Wang, X. Aging in Sea Water and in Hot Air and Service Life Prediction of Neoprene. Polym. Mater. Sci. Eng. 2011, 27, 37–39. [Google Scholar] [CrossRef]
- Yao, M.; Jiang, X.; Yang, Z.; Li, K.; Shen, M.; Tong, Y.; Zhang, B.; Li, X. Research on high temperature and thermal aging insulation properties of silicon gel materials for high voltage IGBT packaging. Insul. Mater. 2023, 56, 1–8. [Google Scholar] [CrossRef]
- Zhu, W.; Xie, Q. Life prediction model of silicone rubber for cable accessories based on Arrhenius formula. Insul. Mater. 2023, 56, 107–111. [Google Scholar] [CrossRef]
- Macdowell, L.G. Surface tension of bulky colloids, capillarity under gravity, and the microscopic origin of the Kardar-Parisi-Zhang equation. Phys. Rev. E 2023, 108, L022801. [Google Scholar] [CrossRef]
- Tran, V.T.; Nguyen, D.K.; Dang, N.T.; Le, K.N.M.; Duong, Y.H.P.; Le, T.M. Numerical Simulation of Gas Flow in a Tunnel Drying Kiln System. In Proceedings of the IOP Conference Series: Earth and Environmental Science; IOP Publishing: Bristol, UK, 2023; Volume 1226, p. 012019. [Google Scholar]
- Fleury, M.; Minnig, C.; Gisiger, J.; Espie, T. A silicate based sealant to plug seepage behind the casing. In Proceedings of the 15th Greenhouse Gas Control Technologies Conference, Online, 15–18 March 2021; pp. 15–18. [Google Scholar]
- Alizadeh Fard, M.; Baruah, A.; Barkdoll, B.D. CFD modeling of stagnation reduction in drinking water storage tanks through internal piping. Urban Water J. 2021, 18, 608–616. [Google Scholar] [CrossRef]
- Paz-Paredes, I.; Jiménez, F.; Muñoz, J.A.D.; Trejo, F.; Ancheyta, J. Computational Fluid Dynamics for Modeling of Hydrotreating Fixed-Bed Reactors: A Review. Processes 2025, 13, 894. [Google Scholar] [CrossRef]
- Tran, N.T.; Gehde, M. Modelling of rheological and thermal properties for thermoset injection molding simulation process. AIP Conf. Proc. 2023, 2884, 110001. [Google Scholar] [CrossRef]










| Parameters | Fluor-Silicone |
|---|---|
| Appearance | Transparent or translucent liquid |
| A viscosity | 0.18 (Pa·s) |
| B viscosity | 0.068 (Pa·s) |
| Max viscosity | 0.1 (Pa·s) |
| Use ratio | A:B = 1:1 |
| Operating time | 25 °C, the allowable operation times were 12 min. |
| Curing time | The curing time in the interlayer was less than 60 min. |
| Mixing Density | 960 (kg/m3) |
| Concentric Layer | Inner Diameter/mm | Outer Diameter/mm | Material |
|---|---|---|---|
| Armor layer | 125.9 | 130.7 | Flat copper wire |
| Antiboring layer | 125.4 | 125.9 | Ribbon copper |
| Anticorrosive layer | 115.4 | 125.4 | Polyethylene sheath |
| Liners | 113.4 | 115.4 | Bronze belt |
| Lead sheath | 104.5 | 113.4 | Lead alloy sleeve |
| Insulating layer | 44.6 | 104.5 | Impregnated paper tape |
| Conductor | 30 | 44.6 | Copper |
| Insulating oil channel | / | 30 | / |
Disclaimer/Publisher’s Note: The statements, opinions and data contained in all publications are solely those of the individual author(s) and contributor(s) and not of MDPI and/or the editor(s). MDPI and/or the editor(s) disclaim responsibility for any injury to people or property resulting from any ideas, methods, instructions or products referred to in the content. |
© 2026 by the authors. Licensee MDPI, Basel, Switzerland. This article is an open access article distributed under the terms and conditions of the Creative Commons Attribution (CC BY) license.
Share and Cite
Zhang, Z.; Fu, M.; Cai, C.; Zhao, L.; Jia, L.; Hui, B.; Hou, S.; Zhang, M. Modeling and Experimental Analysis of Low-Viscosity/High-Permeability Sealant Penetration Dynamics in Oil-Filled Submarine Cables. Fluids 2026, 11, 16. https://doi.org/10.3390/fluids11010016
Zhang Z, Fu M, Cai C, Zhao L, Jia L, Hui B, Hou S, Zhang M. Modeling and Experimental Analysis of Low-Viscosity/High-Permeability Sealant Penetration Dynamics in Oil-Filled Submarine Cables. Fluids. 2026; 11(1):16. https://doi.org/10.3390/fluids11010016
Chicago/Turabian StyleZhang, Zhao, Mingli Fu, Chang Cai, Linjie Zhao, Lei Jia, Baojun Hui, Shuai Hou, and Ming Zhang. 2026. "Modeling and Experimental Analysis of Low-Viscosity/High-Permeability Sealant Penetration Dynamics in Oil-Filled Submarine Cables" Fluids 11, no. 1: 16. https://doi.org/10.3390/fluids11010016
APA StyleZhang, Z., Fu, M., Cai, C., Zhao, L., Jia, L., Hui, B., Hou, S., & Zhang, M. (2026). Modeling and Experimental Analysis of Low-Viscosity/High-Permeability Sealant Penetration Dynamics in Oil-Filled Submarine Cables. Fluids, 11(1), 16. https://doi.org/10.3390/fluids11010016
