Sign in to use this feature.

Years

Between: -

Subjects

remove_circle_outline
remove_circle_outline
remove_circle_outline
remove_circle_outline
remove_circle_outline
remove_circle_outline
remove_circle_outline
remove_circle_outline
remove_circle_outline

Journals

Article Types

Countries / Regions

remove_circle_outline
remove_circle_outline
remove_circle_outline
remove_circle_outline
remove_circle_outline

Search Results (351)

Search Parameters:
Keywords = flood control value

Order results
Result details
Results per page
Select all
Export citation of selected articles as:
25 pages, 3249 KB  
Article
Model-Based Decision Analysis of Production Strategy for Heavy-Oil Field Development and Management Under Uncertainty: Waterflooding, Polymer Flooding, and Intelligent Wells
by Andrés Peralta, Vinicius Botechia, Antonio Santos, Denis Schiozer, Arne Skauge and Tormod Skauge
Energies 2026, 19(5), 1241; https://doi.org/10.3390/en19051241 - 2 Mar 2026
Viewed by 341
Abstract
The decision-making procedure to develop and manage a production strategy is challenging because it requires a high investment and is performed under uncertainty. Heavy-oil reservoirs present low mobility and a high production of water under waterflooding. However, intelligent wells with ICVs (inflow control [...] Read more.
The decision-making procedure to develop and manage a production strategy is challenging because it requires a high investment and is performed under uncertainty. Heavy-oil reservoirs present low mobility and a high production of water under waterflooding. However, intelligent wells with ICVs (inflow control valves) and polymer flooding can improve the field’s performance. This work proposes a decision analysis to select the best strategy for the development of a heavy-oil field, evaluating and comparing the feasibility of waterflooding, polymers, and ICVs. We complement the nominal optimization accomplished for the base case in previous works by considering a probabilistic procedure with uncertainties, which includes the following: the generation of uncertain scenarios, the initial risk evaluation, the optimization of production strategies, a risk curve analysis, and the selection of the best strategy. A model-based reservoir simulation is used to perform the procedure, with the Expected Monetary Value (EMV) quantifying the economic returns. The case study is a sandstone heavy-oil reservoir (13° API) that represents a real Brazilian offshore field. Based on the EMV, we selected the polymer flooding strategy for this case study. However, since better water management was achieved with small differences to the polymer strategy, the option of using the ICVs in combination with polymer could be attractive depending on the various objectives of an oil field. Full article
(This article belongs to the Special Issue New Progress in Unconventional Oil and Gas Development: 2nd Edition)
Show Figures

Figure 1

26 pages, 3920 KB  
Article
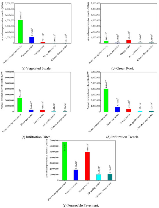
A Benefit-Cost Analysis of Multifunctional Performance: Comparative Assessment of Low-Impact Development Facilities in Seoul, South Korea
by Amjad Khan, Yoonkyung Park, Jongpyo Park and Reeho Kim
Sustainability 2026, 18(5), 2313; https://doi.org/10.3390/su18052313 - 27 Feb 2026
Viewed by 254
Abstract
Conventional centralized drainage systems exacerbate urban flooding, pollution, and water stress. Low-impact development (LID) is a decentralized alternative; however, its multifunctional benefits, which go beyond the control of stormwater, are often undervalued in planning. This study fills this gap by developing an integrated [...] Read more.
Conventional centralized drainage systems exacerbate urban flooding, pollution, and water stress. Low-impact development (LID) is a decentralized alternative; however, its multifunctional benefits, which go beyond the control of stormwater, are often undervalued in planning. This study fills this gap by developing an integrated benefit valuation framework to systematically quantify and estimate the economic value of the co-benefits of five widely implemented LID facilities (vegetated swale, green roof, in-filtration ditch, infiltration trench, and permeable pavement) in Seoul, South Korea. The framework combines annual benefits in four key sectors: water management (runoff reduction), energy savings (building cooling/heating demands), air quality (pollutant deposition and avoided emissions) and climate change (carbon sequestration and mitigation). Applying a transparent, localized spreadsheet model, the results indicate significant multifunctional value for LID systems. While water management provides the primary benefit, there is substantial added value in energy, air quality, and climate co-benefits. In the case of green roofs, such ancillary benefits can exceed hydrological values. The analysis further reveals a consistent scale-benefit relationship and a clear trade-off between the magnitude of benefits and the cost of implementation. This provides evidence of the need for context-sensitive, portfolio-based LID planning. The proposed framework is a practical decision support tool for urban planners and policymakers to consider LID not only as a stormwater solution but also as multifunctional green infrastructure that simultaneously promotes urban water security, energy efficiency, environmental quality, and climate resilience. Full article
(This article belongs to the Section Sustainable Water Management)
Show Figures

Figure 1

28 pages, 2622 KB  
Article
Simulation of Reservoir Group Outflow Using LSTM with a Knowledge-Guided Loss Function Coordinated by the MDUPLEX Algorithm
by Qiaoping Liu, Changlu Qiao and Shuo Cao
Appl. Sci. 2026, 16(4), 2125; https://doi.org/10.3390/app16042125 - 22 Feb 2026
Viewed by 239
Abstract
Global climate change and spatiotemporal heterogeneity in water resources exacerbate supply-demand imbalances. Accurate outflow simulation for joint reservoir group operations thus becomes critical for scientific water resources management. Existing data-driven models like the Long Short-Term Memory (LSTM) lack the robust integration of physical [...] Read more.
Global climate change and spatiotemporal heterogeneity in water resources exacerbate supply-demand imbalances. Accurate outflow simulation for joint reservoir group operations thus becomes critical for scientific water resources management. Existing data-driven models like the Long Short-Term Memory (LSTM) lack the robust integration of physical constraints. Traditional mechanistic methods, by contrast, lack generality and stability under complex hydrological conditions. To address this limitation, we propose MDUPLEX-KG-LSTM—a physically constrained data-driven model for reservoir outflow simulation. The model incorporates multi-round DUPLEX (MDUPLEX) data partitioning, which ensures statistical homogeneity across training, validation, and test datasets. It also features a Knowledge-Guided (KG) loss function that embeds core physical constraints: water balance, dead water level, flood season restricted water level, and inter-reservoir re-regulation mechanisms. Additionally, it adopts an LSTM network optimized via Particle Swarm Optimization (PSO) for enhanced predictive performance. We validate the model using daily hydrological data from 2010 to 2025 for three reservoirs in the Wujiaqu Irrigation District of Xinjiang, China. The model exhibits exceptional stability and predictive accuracy across key evaluation metrics: Nash–Sutcliffe Efficiency (NSE) ≥ 0.82, Pearson correlation coefficient (r) > 0.94, Root Mean Square Error (RMSE) ≤ 1.50 m3/s, and Water Balance Index (WBI) ≤ 0.016. It outperforms conventional data-driven and mechanistic models in extreme flow simulation scenarios. It also eliminates unphysical negative outflow values in all predictive results. The model achieves 100% compliance with flood control standards and an irrigation guarantee rate of no less than 86%. This study advances the development of physically constrained data-driven modeling for water resources engineering. It provides reliable methodological support for the intelligent operation of reservoir groups in smart water conservancy systems. The model also balances training cost and inference efficiency effectively. It demonstrates verified scalability for reservoir groups of varying scales, fully meeting the operational deployment requirements of smart water systems. Full article
Show Figures

Figure 1

26 pages, 10570 KB  
Article
Mechanistic Links Between Suspended Sediment Dynamics and Metal Partitioning Under Tidal Forcing: A Case Study of Quanzhou Bay
by Yanbin Fan, Yunhai Li, Yunpeng Lin, Shangshang Yang, Zhijie Chen, Xiang Cao, Chenyang Wang, Shanshan Zhang, Jinzeng Jiang, Mingyang Jiang and Kaichao Wan
J. Mar. Sci. Eng. 2026, 14(4), 395; https://doi.org/10.3390/jmse14040395 - 21 Feb 2026
Viewed by 333
Abstract
The coupling of physical transport and phase-transfer processes represents a fundamental mechanism governing metal cycling in estuarine systems under tidal oscillations. Taking Quanzhou Bay as a model system, we conducted continuous observations and sample collection at the river channel (Q1), the turbidity maximum [...] Read more.
The coupling of physical transport and phase-transfer processes represents a fundamental mechanism governing metal cycling in estuarine systems under tidal oscillations. Taking Quanzhou Bay as a model system, we conducted continuous observations and sample collection at the river channel (Q1), the turbidity maximum zone (Q2), and the outer bay channel (Q3). The metals (Al, Ti, Ba, Cu, Mn, and Zn) were measured by ICP-MS to systematically investigate the distribution, transport, and inter-media transfer across multiple water layers under varying estuarine processes. Our findings demonstrate that particulate metal concentrations in Quanzhou Bay exhibit strong synchrony with suspended sediment concentrations (SSC) over tidal cycles, displaying a distinct sediment-following pattern controlled by alternating end members. Particulate metal fluxes during flood and ebb-tides generally followed the hierarchy Q1 > Q2 >> Q3. Notably, stations Q1 and Q2 were dominated by flood-tide fluxes with net transport directed landward, whereas Q3 was characterized by ebb tide dominance with net flux directed seaward—revealing a spatial division of labor between “inner bay retention/reallocation” and “outer bay channel export”. In contrast, dissolved metals exhibited marked element-specific responses to tidal forcing: Al and Ti increased during flood tides at stations Q1 and Q2, while Ba and Cu showed opposite trends, and Mn and Zn displayed more conservative behavior. Concurrently, solid/liquid partition coefficient (logKd) values for Al, Ti and Ba, Cu exhibited inverse patterns over tidal cycles, suggesting divergent adsorption–desorption regulation under identical hydrodynamic conditions that drives differential phase-transfer dynamics. These disparities likely reflect intrinsic chemical properties and source variations among the elements. This study elucidates, at the tidal timescale, the coupled processes of “alternating end-member control—estuarine filter modulation—concurrent channelized export and inner bay retention” in Quanzhou Bay, providing critical process-level insights for metal flux quantification and bay pollution remediation initiatives in an ecological restoration project. Full article
(This article belongs to the Section Coastal Engineering)
Show Figures

Figure 1

19 pages, 3114 KB  
Article
An Integrated Explicit Hydrological Routing and Machine Learning Framework for Urban Detention System Design
by Teresa Guarda, Adolfo J. Sotomayor-Cuadrado, Oscar E. Coronado-Hernández, Alfonso Arrieta-Pastrana and Jairo R. Coronado-Hernández
Water 2026, 18(4), 483; https://doi.org/10.3390/w18040483 - 13 Feb 2026
Viewed by 308
Abstract
The rapid expansion of impervious surfaces in urban environments has significantly increased surface runoff and flood risk. Detention basins, implemented as part of Sustainable Urban Drainage Systems (SUDSs), are widely adopted worldwide to control peak discharges and mitigate recurrent flooding. In this study, [...] Read more.
The rapid expansion of impervious surfaces in urban environments has significantly increased surface runoff and flood risk. Detention basins, implemented as part of Sustainable Urban Drainage Systems (SUDSs), are widely adopted worldwide to control peak discharges and mitigate recurrent flooding. In this study, an explicit flood routing model is applied to simulate the hydraulic behaviour of an urban detention reservoir, offering a computationally efficient alternative to traditional implicit numerical schemes by avoiding iterative solution procedures. In parallel, twenty-eight machine learning (ML) models are evaluated to estimate the percentage reduction in peak discharge required to comply with local regulatory constraints. The proposed framework integrates explicit hydrological routing with data-driven modelling to support decision-making during the design of detention systems. The methodology is applied to an urban catchment in Cartagena, Colombia, comparing an uncontrolled inflow hydrograph (without SUDSs) with an attenuated outflow hydrograph produced by the detention basin. The results demonstrate a substantial reduction in peak discharge and a delay in the time to peak, fully complying with Colombian regulations that require a minimum attenuation of 30%. Among the evaluated ML models, Squared Exponential Gaussian Process Regression achieved the best performance, yielding coefficient of determination (R2) values of 0.999 in both the validation and test sets. The findings confirm the potential of machine learning techniques to quantify peak-flow reduction requirements accurately and to support the planning and design of detention reservoirs in urban environments. The proposed approach constitutes a practical, efficient, and replicable tool for sustainable urban drainage design since the results of this research can be used to design detention pond systems employing ML tools. Full article
(This article belongs to the Section Urban Water Management)
Show Figures

Figure 1

36 pages, 31133 KB  
Article
SOBLE-Top5: A Stacking Ensemble Learning-Based Seasonal Downscaling Inversion Framework for Surface Soil Moisture Using Multi-Source Data
by Shengmin Zhu, Haiyang Yu, Bingqian Ji, Qi Liu and Deng Pan
Remote Sens. 2026, 18(4), 585; https://doi.org/10.3390/rs18040585 - 13 Feb 2026
Viewed by 315
Abstract
Surface soil moisture (SSM) serves as a critical indicator for regional water cycles, agricultural management, and drought monitoring. However, existing the SMAP data suffers from limited spatial resolution, making it challenging to meet the demands of large-scale, high-resolution applications. Taking Henan Province, located [...] Read more.
Surface soil moisture (SSM) serves as a critical indicator for regional water cycles, agricultural management, and drought monitoring. However, existing the SMAP data suffers from limited spatial resolution, making it challenging to meet the demands of large-scale, high-resolution applications. Taking Henan Province, located in east-central China with a continental monsoon climate and marked seasonal variability, as the study area, this research integrates multi-source data to develop a seasonal modeling strategy. Based on stacking ensemble learning, the SSM downscaling inversion model (SOBLE-Top5) is constructed. SHAP value attribution analysis is employed to reveal the primary drivers of seasonal dynamics. The results indicate: (1) The SSM exhibits distinct seasonal characteristics. Compared to the all-season modeling, the RMSE and R2 metrics significantly improve during spring and summer. The winter ET and RF models show an approximately 9–14% higher R2 and a 47–50% lower RMSE. (2) The SOBLE-Top5 strategy achieved up to a 4.65% higher R2 and a 21.22% lower RMSE compared to the optimal single base model. (3) Spatial variations in the SSM characteristics reveal stable performance during the winter. The spring saw slight SSM declines in the northern regions due to rising temperatures. The study area reached its annual low (<0.08 m3/m3) in May–June. Driven by flood season precipitation, July–August witnessed local increases exceeding 52%. The autumn exhibited a stable-then-rising trend with pronounced north–south gradient characteristics. (4) The SHAP analysis indicates that the winter SSM is primarily controlled by bulk density and clay content. The spring SSM is most influenced by LST, followed by bulk density. The summer and the autumn SSM are synergistically driven by multiple factors including elevation, temperature, and precipitation, with the summer precipitation exerting the most significant impact on instantaneous SSM variations. Full article
(This article belongs to the Section Remote Sensing in Agriculture and Vegetation)
Show Figures

Figure 1

27 pages, 1703 KB  
Review
Research on Low-Damage CO2 Foam Flooding System: Review and Outlook
by Jierui Liu, Zhen Cui, Shisheng Liang, Xinyuan Zou, Wenli Luo, Wenjuan Wang, Bo Dong and Xiaohu Xue
Molecules 2026, 31(4), 642; https://doi.org/10.3390/molecules31040642 - 12 Feb 2026
Viewed by 385
Abstract
Tight oil reservoirs are widely recognized as a critical successor in global unconventional energy development and are generally characterized by distinct geological features, including fine pore throats, pronounced heterogeneity, and a high concentration of clay minerals (e.g., montmorillonite and mixed-layer illite/smectite). Severe hydration, [...] Read more.
Tight oil reservoirs are widely recognized as a critical successor in global unconventional energy development and are generally characterized by distinct geological features, including fine pore throats, pronounced heterogeneity, and a high concentration of clay minerals (e.g., montmorillonite and mixed-layer illite/smectite). Severe hydration, swelling, and fines migration are readily induced during water injection or conventional water-based fluid operations, thereby resulting in irreversible impairment of reservoir permeability. Despite the excellent injectivity and capacity for viscosity reduction associated with CO2 flooding, sweep efficiency is severely compromised by viscous fingering and gas channeling, which are induced by the inherent low viscosity of the gas. While CO2 foam technology is widely acknowledged as a pivotal solution for addressing mobility control challenges, its implementation is hindered by a primary technical bottleneck: the incompatibility between traditional water-based foam systems and strongly water-sensitive reservoirs. A dual challenge comprising water injectivity constraints and gas channeling is presented by strongly water-sensitive tight oil reservoirs. To address these impediments, three emerging low-damage CO2 foam systems are critically evaluated in this review. First, the synergistic mechanisms of novel quaternary ammonium salts and polymers in inhibiting clay hydration and enhancing foam stability within modified water-based systems are elucidated. Next, the physical isolation strategy of substituting the water phase with a non-aqueous phase (oil/organic solvent) in organic emulsion systems is analyzed, highlighting advantages in wettability alteration and the mitigation of water blocking. Finally, the prospect of waterless operations using CO2-soluble foam systems—wherein supercritical CO2 is utilized as a surfactant carrier to generate foam or viscosify fluids via in situ formation water—is discussed. It is revealed by comparative analysis that: (1) Modified water-based systems are identified as the most economically viable option for reservoirs with moderate water sensitivity, wherein cationic stabilizers are utilized to inhibit hydration; (2) Superior wettability alteration and the elimination of aqueous phase damage are provided by organic emulsion systems, rendering them ideal for ultra-sensitive, high-value reservoirs, despite higher solvent costs; (3) CO2-soluble systems are recognized as the future direction for “waterless” flooding, specifically tailored for ultra-tight formations (<0.1 mD) where injectivity is critical. Current challenges, such as surfactant solubility, high-temperature stability, and cost control, are identified through a comparative analysis of these three systems with respect to structure-activity relationships, rheological properties, damage control capabilities, and economic feasibility. What is more, an outlook is provided on the molecular design of future environmentally sustainable, cost-effective CO2-philic materials and smart injection strategies. Consequently, theoretical foundations and technical support are established for the efficient exploitation of strongly water-sensitive tight oil reservoirs. By bridging the gap between reservoir damage control and mobility enhancement, this study identifies viable strategies for enhanced oil recovery. Crucially, it supports carbon neutrality and sustainable energy targets via CCUS integration. Full article
(This article belongs to the Special Issue Chemistry Applied to Enhanced Oil Recovery)
Show Figures

Figure 1

19 pages, 609 KB  
Article
African Grass Invasion Threatens Tropical Wetland Biodiversity: Experimental Evidence from Echinochloa pyramidalis Invasion in a Mexican Ramsar Site
by Hugo López Rosas and Patricia Moreno-Casasola
Grasses 2026, 5(1), 6; https://doi.org/10.3390/grasses5010006 - 4 Feb 2026
Viewed by 436
Abstract
African grasses deliberately introduced for cattle forage have become among the most destructive invaders of tropical wetlands globally, yet invasion mechanisms and management strategies remain poorly understood. We conducted field experiments examining competition dynamics between the invasive African grass Echinochloa pyramidalis and native [...] Read more.
African grasses deliberately introduced for cattle forage have become among the most destructive invaders of tropical wetlands globally, yet invasion mechanisms and management strategies remain poorly understood. We conducted field experiments examining competition dynamics between the invasive African grass Echinochloa pyramidalis and native wetland species in La Mancha, Mexico—a Ramsar site of international importance. Experiment 1 tested invasion potential within native Sagittaria lancifolia zones using four treatments: control, herbicide removal, E. pyramidalis transplant, and combined removal + transplant. Repeated-measures ANOVA showed significant treatment and time effects on invasion success, with vegetation removal facilitating invasion (relative importance value increasing from 0 to 149.4 ± 26.6 after 18 months) while transplants alone failed to establish (RIV < 7.0). Sagittaria maintained 35–48% biomass across treatments, demonstrating coexistence capacity. Experiment 2 examined natural invasion of the vegetation ecotone over 49 months. Mixed-effects models revealed that E. pyramidalis increased dominance in its zone (β = 9.98, z = 4.77, p < 0.001) but showed minimal expansion into the adjacent Sagittaria habitat, indicating propagule limitation rather than competitive exclusion as the invasion constraint. Sagittaria removal within E. pyramidalis zones significantly reduced invasion temporal increase (β = −6.44, z = −2.18, p = 0.030), suggesting biotic resistance. Results demonstrate that E. pyramidalis possesses invasion potential but requires disturbance to overcome establishment barriers. These findings support prevention-based management prioritizing disturbance limitation in intact wetlands and demonstrate that hydrological management maintaining permanent flooding (>30 cm depth) can effectively control established invasions by exploiting C4 photosynthetic limitations. Conservation implications for Mexican coastal wetlands—which lack legal protection equivalent to mangroves despite comparable ecosystem services—are discussed. These findings inform evidence-based management of African grass invasions in tropical wetlands worldwide. Full article
Show Figures

Figure 1

21 pages, 4568 KB  
Article
How Does Multi-Source Social Media Data Serve in Urban Flood Information Collection, Recognition, and Analysis?
by Jia Wang, Nan Zhang, Yang Liu, Mengmeng Liu, Xiao Wang and Zijun Li
Water 2026, 18(3), 405; https://doi.org/10.3390/w18030405 - 4 Feb 2026
Viewed by 413
Abstract
Urban flood information enables managers to rapidly synthesize comprehensive flood event profiles, serving as critical evidence for flood control decision making. Compared with traditional methods, public data offer unprecedented spatiotemporal granularity due to its high volume, multidimensionality, and real-time nature. In this paper, [...] Read more.
Urban flood information enables managers to rapidly synthesize comprehensive flood event profiles, serving as critical evidence for flood control decision making. Compared with traditional methods, public data offer unprecedented spatiotemporal granularity due to its high volume, multidimensionality, and real-time nature. In this paper, we investigated public data’s usefulness and generalizability of spatial feature differences using multi-source social media data as an entry point. We selected rainstorm events that occurred in three cities located in the North China Plain, the Southeast Coastal Region, and the Western Region of China, with vastly different developmental statuses in 2023. Then, multi-platform data from the events were collected and analyzed through crawling and topic mining. The results indicate that: (1) social media data from different sources are complementary to each other and can collectively extract plenty of neglected waterlogging points to supplement official data, with a supplementary rate reaching 171% on average; and (2) social media data has significant value in spatial characterization, which means that its availability remains constant despite geographical differences and can self-adapt to local geography, inhabitant profiles and social development levels. To address the issues of limited available data and essential information lacking during the analysis process, we propose recommendations for data processing and city managers to enhance the scientific value of social media data utilized in practice. Full article
Show Figures

Graphical abstract

18 pages, 6165 KB  
Article
CO2 Injection for Enhanced Gas Recovery in Tight Gas Reservoirs of the Central Shenfu Area
by Ziliang Liu, Haifeng Zhang, Renbao Zhao, Liang He, Bing Zhang, Yahao Yuan and Kang Zhao
Energies 2026, 19(3), 801; https://doi.org/10.3390/en19030801 - 3 Feb 2026
Viewed by 317
Abstract
The tight gas reservoirs developed in the central Shenfu block are characterized by ultra-low porosity and permeability (typically < 10% porosity, <1 mD permeability), and high irreducible water saturation (40–60%). The frequent water blocking issue sharply reduces gas relative permeability during the production [...] Read more.
The tight gas reservoirs developed in the central Shenfu block are characterized by ultra-low porosity and permeability (typically < 10% porosity, <1 mD permeability), and high irreducible water saturation (40–60%). The frequent water blocking issue sharply reduces gas relative permeability during the production period, severely limiting well productivity. In this study, core flooding experiments using artificial cores were conducted to systematically evaluate the feasibility of CO2 injection for enhanced gas recovery (EGR). The results show that the effectiveness of CO2 EGR is sensitive to many factors, such as injection pressure, injection rate, total injection volume, and core permeability. The higher injection pressure and rate would improve the pressure gradient, CO2 sweep efficiency, and EGR. An optimal total volume with the value (around 2.0 pore volumes, PV) was recommended as the amount of CO2 injection are varied in the range of 0.5–2.5 PV. A higher permeable tight reservoir is prone to a higher nature gas recovery. The experimental findings, within the controlled conditions of this study, suggest that a flowback strategy of “slow startup and controlled depressurization” could be considered. Combining CO2 injection with managed pressure drop of production and optimized fracturing process is proposed as a potential comprehensive strategy focused on “energy supplement, damage mitigation, and water control,” which may provide a useful reference for the efficient development of high-water-saturation tight gas reservoirs. Full article
Show Figures

Figure 1

24 pages, 30102 KB  
Article
Developing 3D River Channel Modeling with UAV-Based Point Cloud Data
by Taesam Lee and Yejin Kong
Remote Sens. 2026, 18(3), 495; https://doi.org/10.3390/rs18030495 - 3 Feb 2026
Viewed by 392
Abstract
Accurate characterization of river channel geometry is essential for hydrological and hydraulic analyses, yet the increasing use of unmanned aerial vehicle (UAV) photogrammetry introduces challenges related to uneven point density, shadow-induced data gaps, and spurious outliers. This study proposed a novel approach for [...] Read more.
Accurate characterization of river channel geometry is essential for hydrological and hydraulic analyses, yet the increasing use of unmanned aerial vehicle (UAV) photogrammetry introduces challenges related to uneven point density, shadow-induced data gaps, and spurious outliers. This study proposed a novel approach for reconstructing 3D river channels from UAV-derived point clouds, emphasizing K-nearest neighbor local regression (KLR), and compared it with the LOWESS model. Method performance was examined through controlled simulations of trapezoidal, triangular, and U-shaped synthetic channels, where KLR consistently preserved morphological fidelity and produced lower RMSE than LOWESS, particularly at channel bends and bed undulations, while a neighborhood selection heuristic approach demonstrated robust results across varying data densities. Synthetic channel experiments show that the proposed K-nearest-neighbor local linear regression (KLR) method achieves RMSE values below 0.06 all tested geometries. In contrast, LOWESS produces substantially larger errors, with RMSE values exceeding 0.9 across all channel shapes. Subsequent application to two South Korean field sites reinforced these findings. In the data-scarce Migok-cheon stream, KLR effectively interpolated missing surfaces while maintaining geomorphic realism, whereas LOWESS generated over-smoothed representations. Within the dense Ogsan Bridge dataset, KLR retained small-scale bed features critical for hydraulic simulations and cross-sectional delineation, while LOWESS obscured local variability. Conclusively, the results demonstrate that KLR provides a more reliable and computationally efficient framework for UAV-based 3D river channel reconstruction, with clear implications for hydraulic modeling, flood risk management, and the advancement of digital-twin systems in operational hydrology. Full article
Show Figures

Figure 1

17 pages, 6303 KB  
Article
Model-Based Instantaneous Optimization of Subsurface Flow Control Valves
by Mohamed Ahmed Elfeel
Processes 2026, 14(3), 515; https://doi.org/10.3390/pr14030515 - 2 Feb 2026
Viewed by 217
Abstract
This paper presents an efficient optimization framework for high-frequency control of active downhole Flow Control Valves (FCVs) under geological uncertainty. Traditional proactive optimization methods for FCVs, while capable of maximizing life-of-field objectives such as Net Present Value (NPV), are computationally prohibitive when frequent [...] Read more.
This paper presents an efficient optimization framework for high-frequency control of active downhole Flow Control Valves (FCVs) under geological uncertainty. Traditional proactive optimization methods for FCVs, while capable of maximizing life-of-field objectives such as Net Present Value (NPV), are computationally prohibitive when frequent updates are required. Conversely, reactive approaches are efficient but often neglect long-term recovery objectives. To address these challenges, we integrate two complementary strategies within a reservoir simulator: a reactive nonlinear programming method to maximize instantaneous cash flow, and a proactive streamline-based Time-of-Flight (TOF) equalization approach to improve sweep efficiency by balancing flood front arrival times. The framework is demonstrated on synthetic and realistic reservoir models, including the Olympus and Almakman references. Results show that, compared to conventional annual control strategies, the proposed approach increases NPV by 15–25% while reducing water handling costs and deferring breakthrough by up to four years. Furthermore, hybrid optimization effectively neutralizes fracture uncertainty, improving both mean recovery and the certainty of outcomes. Three field-scale case studies highlight the practical benefits of FCVs in improving lift performance, maximizing recovery from bypassed hydrocarbons, and reducing the number of wells required to meet production targets. By combining reactive and proactive control within a computationally tractable workflow, this study advances the practical deployment of intelligent completions for closed-loop reservoir management. Full article
Show Figures

Figure 1

15 pages, 3336 KB  
Article
Numerical Simulation Study of Multi-Component Discontinuous Chemical Flooding
by Zhijie Wei, Yongzheng Cui, Yanchun Su, Jian Zhang and Wensheng Zhou
Energies 2026, 19(3), 750; https://doi.org/10.3390/en19030750 - 30 Jan 2026
Viewed by 287
Abstract
Discontinuous phase flooding (such as polymer microspheres) is an important method for enhancing oil recovery. With the hydration swelling and elastic properties, a unique “migration–entrapment–remigration” discontinuous flow behavior is identified during flooding. And a more pronounced conformance control effect is observed in high-permeability [...] Read more.
Discontinuous phase flooding (such as polymer microspheres) is an important method for enhancing oil recovery. With the hydration swelling and elastic properties, a unique “migration–entrapment–remigration” discontinuous flow behavior is identified during flooding. And a more pronounced conformance control effect is observed in high-permeability flow channels and deeper reservoir regions compared to continuous phase flooding. These complex seepage mechanisms pose significant challenges to reservoir numerical simulation. Based upon a chemical reaction framework, a multi-component mathematical model comprising oil, gas, water, pre-discontinuous phase, and discontinuous phase components is developed in this study. The discontinuous phase is generated through chemical reactions involving the pre-discontinuous phase. A minimum reaction porosity is first introduced in the chemical reaction process to enhance the discontinuous phase generation in high-permeability regions. A threshold pressure is incorporated into the discontinuous phase equation for the “migration–entrapment–remigration” discontinuous flow characteristics. The model is subsequently solved using a fully implicit finite volume method. A new numerical simulator implementing this approach is developed in C++. Validation through physical experiments confirms the method’s accuracy. The discontinuous migration process of “migration–entrapment–remigration” is clearly reflected through the injection pressure fluctuations during simulation. Mechanistic models and field-scale simulations both confirm that discontinuous phase flooding significantly enhances oil recovery efficiency, outperforming both water flooding and continuous phase flooding. The novel reaction specification enhances conformance control in high-permeability channels, as demonstrated by the simulation results. The proposed model accurately captures the migration characteristics of the discontinuous phase and holds important practical value for reservoirs with discontinuous phase flooding. Full article
(This article belongs to the Section H1: Petroleum Engineering)
Show Figures

Figure 1

23 pages, 2504 KB  
Article
Enhancing Flood Mitigation and Water Storage Through Ensemble-Based Inflow Prediction and Reservoir Optimization
by Kwan Tun Lee, Jen-Kuo Huang and Pin-Chun Huang
Resources 2026, 15(2), 21; https://doi.org/10.3390/resources15020021 - 29 Jan 2026
Viewed by 442
Abstract
This study presents an integrated decision support system (DSS) designed to optimize real-time reservoir operation during typhoons by balancing flood control and water supply. The system combines ensemble quantitative precipitation forecasts (QPF) from WRF/MM5 models, a physically based rainfall–runoff model (KW-GIUH), and a [...] Read more.
This study presents an integrated decision support system (DSS) designed to optimize real-time reservoir operation during typhoons by balancing flood control and water supply. The system combines ensemble quantitative precipitation forecasts (QPF) from WRF/MM5 models, a physically based rainfall–runoff model (KW-GIUH), and a three-stage optimization algorithm for reservoir release decisions. Eighteen ensemble rainfall members are processed to generate 6 h inflow forecasts, which serve as inputs for determining adaptive outflow strategies that consider both storage requirements and downstream flood risks. The DSS was tested using historical typhoon events—Talim, Saola, Trami, and Kong-rey—at the Tseng-Wen Reservoir in Taiwan. Results show that the KW-GIUH model effectively reproduces hydrograph characteristics, with a coefficient of efficiency around 0.80, while the optimization algorithm successfully maintains reservoir levels near target storage, even under imperfect rainfall forecasts. The mean deviation of reservoir water levels from the recorded to the target values is less than 0.18 m. The system enhances operational flexibility by adjusting release rates according to the proposed outflow index and flood-stage classification. During major storms, the DSS effectively allocates storage space for incoming floods while maximizing water retention during recession periods. Overall, the integrated framework demonstrates strong potential to support real-time reservoir management during extreme weather conditions, thereby improving both flood mitigation and water-supply reliability. Full article
(This article belongs to the Special Issue Advanced Approaches in Sustainable Water Resources Cycle Management)
Show Figures

Figure 1

21 pages, 9055 KB  
Article
Slope Geological Hazard Risk Assessment Using Bayesian-Optimized Random Forest: A Case Study of Linxiang City, China
by Can Wang, Zuohui Qin, Ting Xiao, Longlong Xiang, Renwei Peng, Maosheng Mi and Xiaodong Liu
Appl. Sci. 2026, 16(3), 1309; https://doi.org/10.3390/app16031309 - 28 Jan 2026
Viewed by 279
Abstract
In order to meet the urgent needs of refined geological disaster risk assessment at a county scale, and in view of the shortcomings of existing methods in the aspects of sample dependence, rainfall time-varying differences, and vulnerability quantification, this study takes Linxiang City [...] Read more.
In order to meet the urgent needs of refined geological disaster risk assessment at a county scale, and in view of the shortcomings of existing methods in the aspects of sample dependence, rainfall time-varying differences, and vulnerability quantification, this study takes Linxiang City as an example, integrates multi-source data such as geology, geography, meteorology, remote sensing, and field survey, and explores practical methods. A random forest (RF) model was implemented for geological hazard susceptibility mapping, and its hyper-parameters were tuned using Bayesian optimization. Based on a statistical analysis of the frequency of historical disaster events, a risk classification of rainfall in the flood season and non-flood season was evaluated. A vulnerability simplification method based on the value and exposure of disaster-bearing bodies was proposed. Finally, rapid risk assessment was achieved by matrix superposition. The results showed that the model had high accuracy (AUC = 0.903). The use of field survey risk types effectively enhanced the susceptibility sample set and verified the accuracy of risk assessment. The risk factor in the flood season and non-flood season was significantly different, and the very-high- and high-risk areas in the flood season were mainly distributed in the shallow metamorphic rock mountainous area in the east of Yanglousi Town and the granite residual soil area in the south of Zhanqiao Town, the latter of which was highly consistent with the field survey results. This study demonstrated value in terms of sample enhancement, model optimization, consideration of time-varying rainfall, and vulnerability simplification. The evaluation results can provide direct support for the construction of a “point–area dual control” system for geological disasters in Linxiang City, and the methodological framework can also provide a practical reference for risk evaluation in other counties. Full article
Show Figures

Figure 1

Back to TopTop