Numerical Simulation Study of Multi-Component Discontinuous Chemical Flooding
Abstract
1. Introduction
2. Mathematical Model
2.1. Model Assumptions
- (1)
- Temperature changes are not considered.
- (2)
- The oil component exists solely in the oil phase, and the water component exists solely in the water phase. No mass exchange occurs between the oil and water components. The gas component can exist in both the gas and oil phases (as free gas and dissolved gas, respectively), and no mass exchange occurs between the gas and water components.
- (3)
- The pre-discontinuous phase acts similarly to a tracer, neglecting the permeability or water viscosity of the pre-discontinuous phase.
- (4)
- The discontinuous phase component exists only in the water phase.
2.2. Characterization of Discontinuous Phase Flow Mechanisms
- (1)
- Hydration swelling of the discontinuous phase
- (2)
- Enhanced plugging in high-permeability zones
- (3)
- Migration–Entrapment–Remigration discontinuous flow behavior
- (4)
- Viscosity of the Discontinuous Phase Solution
- (5)
- Adsorption of the Discontinuous Phase
- (6)
- Permeability Reduction Factor of the Discontinuous Phase
2.3. Continuity Equations
3. Numerical Solution and Validation
3.1. Discrete Flow Equations
- where T is the inter-grid transmissibility, m2·m; λo, λw, λg are the mobility of oil, water and gas phase; and δSw, δSg, δPo, δCpd and δCd are the solution variables.
3.2. Simulator Development
3.3. Validation
4. Sensitivity Analysis and Field Application
4.1. Sensitivity Analysis
- 1.
- Impact of chemical reaction half-life
- 2.
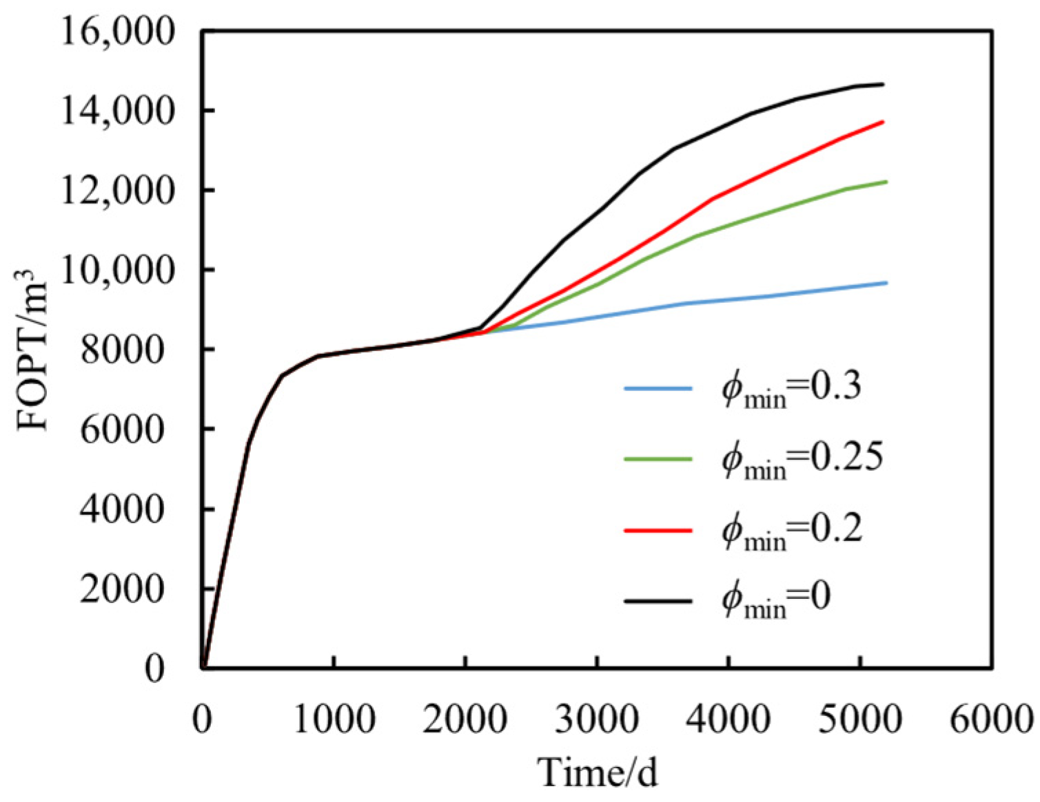
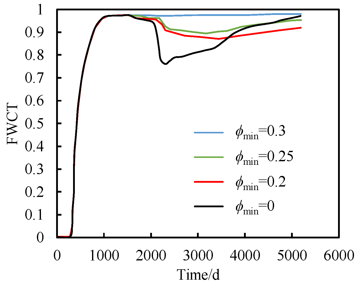
- Impact of minimum reaction porosity
- 3.
- Influence of porosity exponent
- 4.
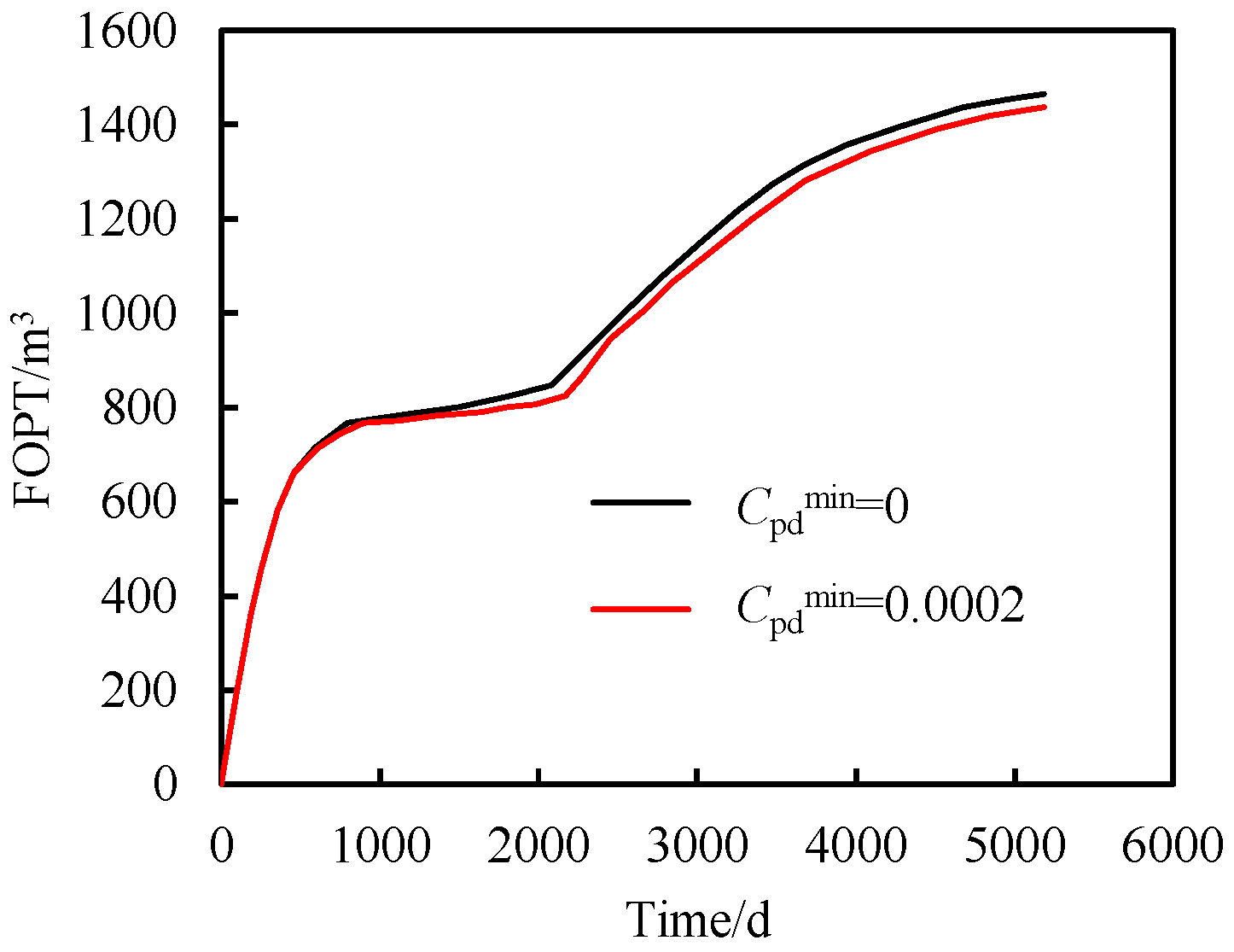
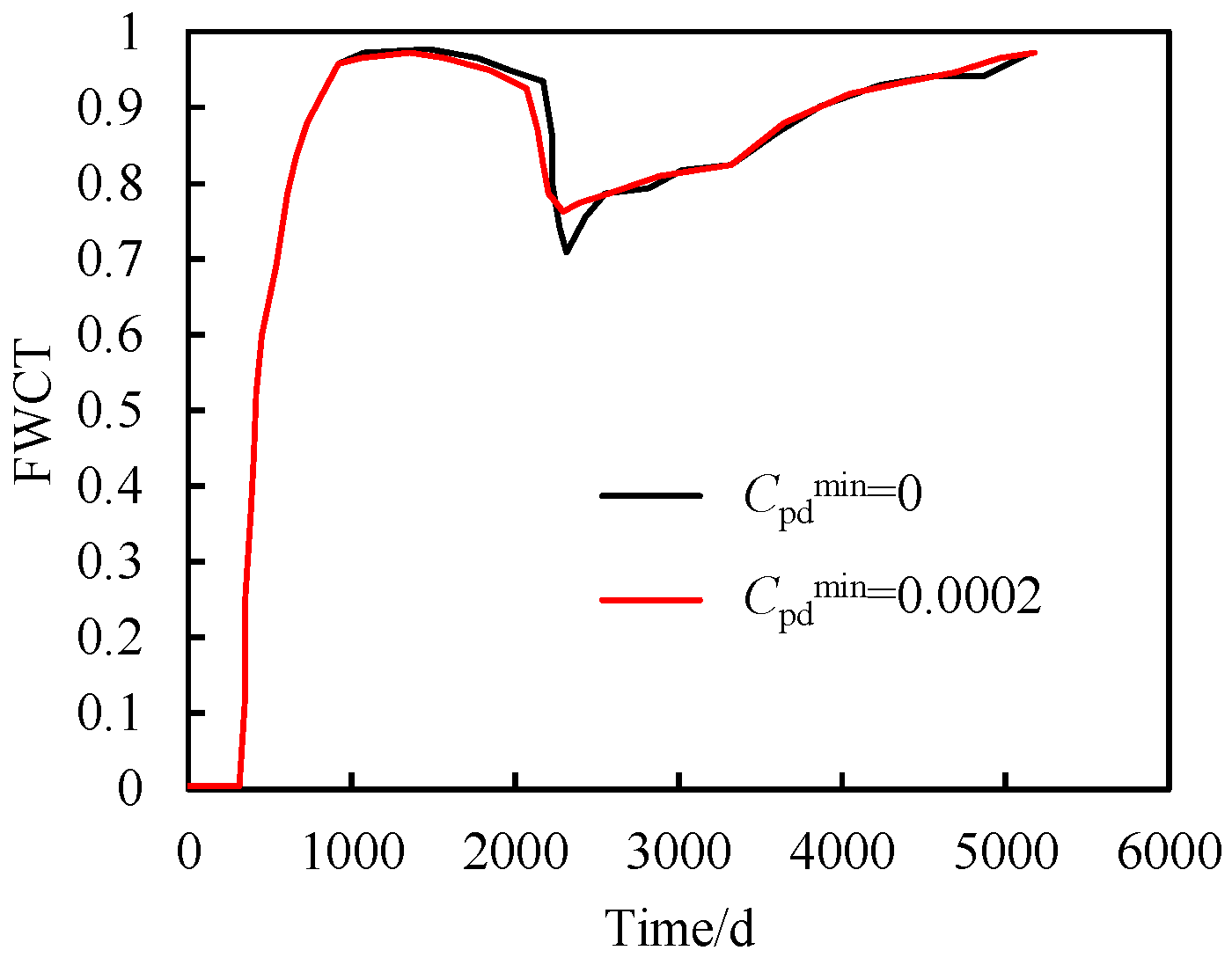
- Effect of minimum reaction concentration
- 5.
- Effect of discontinuous phase viscosity
4.2. Field Application
5. Conclusions
- By modifying the reaction process, the simulation captures the discontinuous phase’s deep reservoir profile control and enhanced high-permeability zone plugging. During flooding, this phase predominantly forms in mid-reservoir regions and high-permeability layers. As the chemical reaction intensifies, the enhanced oil recovery effect contributed by the discontinuous phase increases.
- Introducing a threshold pressure enabled the numerical simulation to effectively characterize the discontinuous “migration–entrapment–remigration” flow behavior. During displacement, injection pressure showed distinct oscillations that align closely with experimental observations, directly validating the proposed method.
- Using the numerical simulation approach developed in this study, a discontinuous phase flooding strategy was designed for a typical offshore block, achieving a notable reduction in water cut. The model presented here holds significant application value.
- The multi-component reaction model and numerical simulation method offer valuable insights for other chemical flooding techniques. However, significant uncertainties in the model’s parameters challenge its application across diverse reservoirs. In addition, the effects of particle size distribution have not been considered. Further research is therefore critical to bridge these gaps and enhance practical applicability.
Author Contributions
Funding
Data Availability Statement
Conflicts of Interest
References
- Dai, Q.; Zhang, L.; Wang, P.; Zhang, K.; Chen, G.; Chen, Z.; Xue, X.; Wang, J.; Liu, C.; Yan, X.; et al. Adaptive constraint-guided surrogate enhanced evolutionary algorithm for horizontal well placement optimization in oil reservoir. Comput. Geosci. 2025, 194, 105740. [Google Scholar] [CrossRef]
- Cui, Y.; Zhou, W.; Liu, C. Integrated Modeling of Time-Varying Permeability and Non-Darcy Flow in Heavy Oil Reservoirs: Numerical Simulator Development and Case Study. Processes 2025, 13, 1683. [Google Scholar] [CrossRef]
- Yuan, S.; Han, H.; Wang, H.; Luo, J.; Wang, Q.; Lei, Z.; Xi, C.; Li, J. Research progress and potential of new enhanced oil recovery methods in oilfield development. Pet. Explor. Dev. 2024, 51, 963–980. [Google Scholar] [CrossRef]
- Zhang, J.; Li, Y.; Li, X.; Guan, C.; Chen, X.; Liang, D. Mechanism of enhanced oil recovery by discontinuous chemical flooding in Bohai oilfield. Shiyou Xuebao/Acta Pet. Sin. 2024, 45, 988–998. [Google Scholar]
- Farhadinia, M.A.; Mohanty, K.K. Heavy oil recovery using hot polymer flooding: Simulation studies on mechanisms and injection patterns. Fuel 2026, 405, 136435. [Google Scholar] [CrossRef]
- Wei, Z.; Cui, Y.; Su, Y.; Zhou, W. Fast History Matching and Flow Channel Identification for Polymer Flooding Reservoir with a Physics-Based Data-Driven Model. Processes 2025, 13, 2610. [Google Scholar] [CrossRef]
- Li, X.; Zhang, J.; Zhang, Y.; Guan, C.; Liu, Z.; Hu, K.; Xian, R.; Li, Y. Experimental Study on the Application of Polymer Agents in Offshore Oil Fields: Optimization Design for Enhanced Oil Recovery. Polymers 2025, 17, 244. [Google Scholar] [CrossRef]
- Dai, C.; Liu, J.; Li, L.; Liu, Y.; Xu, Z.; Sun, N.; Ding, F.; Sun, Y. Characteristics and action mechanism of self-growing hydrogel particle fracture control system. Shiyou Xuebao/Acta Pet. Sin. 2022, 43, 840–848. [Google Scholar]
- Jiang, H.; Yang, H.; Zhang, X.; Kang, W.; Wang, R.; Li, H.; Zhang, S.; Chen, X.; Peng, L.; Shi, H.; et al. Advances of polymer microsphere and its application in porous media for enhanced oil recovery. Adv. Colloid Interface Sci. 2025, 346, 103687. [Google Scholar] [CrossRef] [PubMed]
- Bai, B.; Leng, J.; Wei, M. A comprehensive review of in-situ polymer gel simulation for conformance control. Pet. Sci. 2022, 19, 189–202. [Google Scholar] [CrossRef]
- Sun, Z.; Lu, X.G.; Sun, W. The profile control and displacement mechanism of continuous and discontinuous phase flooding agent. J. Dispers. Sci. Technol. 2017, 38, 1403–1409. [Google Scholar] [CrossRef]
- Sun, Z.; Wu, X.; Kang, X.; Lu, X.; Li, Q.; Jiang, W.; Zhang, J. Comparison of oil displacement mechanisms and performances between continuous and dispersed phase flooding agents. Shiyou Kantan Yu Kaifa/Pet. Explor. Dev. 2019, 46, 116–124. [Google Scholar] [CrossRef]
- Yang, N.; Wang, Z.; Li, Z.; Si, S.; Liu, Y.; Dai, C.; Zhao, G. Comprehensive Displacement System Utilizing Dispersed Particle Gels Coupling Viscosity Reduction and Breakthrough Channel Control for Heavy Oil Cold Production. Energy Fuels 2025, 39, 12449–12461. [Google Scholar] [CrossRef]
- Cheng, T.; Ding, J.; Yang, Z.; Qu, M.; Bai, M.; Liu, Z.; Gong, X.; Ren, Y. Synergistic profile control and oil-displacement method for efficient development of heterogeneous reservoirs. Geoenergy Sci. Eng. 2026, 257, 214245. [Google Scholar] [CrossRef]
- Leng, J.; Wei, M.; Bai, B. Review of transport mechanisms and numerical simulation studies of preformed particle gel for conformance control. J. Pet. Sci. Eng. 2021, 206, 109051. [Google Scholar] [CrossRef]
- Hou, J.; Wu, D.; Wei, B.; Zhou, K.; Gong, L.; Cao, X.; Guo, L. Percolation characteristics of discontinuous phase and mechanisms of improving oil displacement efficiency in heterogeneous composite flooding. Zhongguo Shiyou Daxue Xuebao (Ziran Kexue Ban)/J. China Univ. Pet. (Ed. Nat. Sci.) 2019, 43, 128–135. [Google Scholar]
- Cao, W.; Dai, T.; Yu, J.; Lu, T.; Cheng, A.; Xi, K. A numerical simulation method of heterogeneous combination flooding. Oil Gas Geol. 2016, 37, 606–611. [Google Scholar]
- Hou, J.; Liu, Y.; Wei, B.; Cao, X.; Sun, J.; DU, Q.; Song, K.; Yuan, F.; Sun, P.; Ji, Y.; et al. Capsule polymer flooding for enhanced oil recovery. Pet. Explor. Dev. 2024, 51, 1092–1100. [Google Scholar] [CrossRef]
- Dong, X. Numerical Simulation Study on Crosslinked Polymer Profile Control. Master’s Thesis, China University of Petroleum (East China), Qingdao, China, 2018. [Google Scholar]
- Yang, X.; Shen, W.; Li, X.; Xie, K.; Chen, J.; Li, N.; Wang, H. Numerical simulation study on parameter optimization of crosslinked polymer flooding for enhanced oil recovery in heavy oil reservoirs. J. Petrol. Explor. Prod. Technol. 2025, 15, 189. [Google Scholar] [CrossRef]
- Leng, J.; Wei, M.; Bai, B. Impact of Polymer Rheology on Gel Treatment Performance of Horizontal Wells with Severe Channeling. SPE J. 2022, 27, 1017–1035. [Google Scholar] [CrossRef]
- Zhao, Y.; Bai, B. Laboratory Evaluation of Placement Behavior of Microgels for Conformance Control in Reservoirs Containing Superpermeable Channels. Energy Fuels 2022, 36, 1374–1387. [Google Scholar] [CrossRef]



















| Research | Chemical Flooding | Discontinuous Seepage Behavior | High-Permeability Comfortable Control | Deep Reservoir Area Comfortable Control |
|---|---|---|---|---|
| Cao Weidong (2016) [17] | Heterogeneous combination flooding | √ | ||
| Dong Xiang (2018) [19] | Cross-linked polymer flooding | √ | ||
| Zhao et al. (2022) [22] | Particle gel | √ | √ |
| Parameter | Value | Parameter | Value |
|---|---|---|---|
| Grid number | 50 × 1 × 50 | Grid size | 20 × 10 × 10 ft |
| Permeability of high-permeability region | 700 | Rock compressibility | 44 × 10−6 |
| Permeability of low-permeability region | 5 | Porosity of high-permeability region | 0.3 |
| Initial water saturation | 0.22 | Porosity of low-permeability region | 0.2 |
| Oil viscosity | 1.1700 | Initial oil saturation | 0.78 |
| Oil formation volume factor | 1.11 | Water viscosity | 0.96 |
| Parameters | Model 1 | Model 2 | Model 3 | Model 4 |
|---|---|---|---|---|
| Minimum Reaction Porosity | 0.3 | 0.25 | 0.2 | 0 |
| Discontinuous Phase Concentration | Water Phase Viscosity Multiplier | |
|---|---|---|
| Model 1 | Model 2 | |
| 0.0 | 1.0 | 1.0 |
| 3.5 | 25.0 | 15.0 |
| 7.0 | 30.0 | 20.0 |
Disclaimer/Publisher’s Note: The statements, opinions and data contained in all publications are solely those of the individual author(s) and contributor(s) and not of MDPI and/or the editor(s). MDPI and/or the editor(s) disclaim responsibility for any injury to people or property resulting from any ideas, methods, instructions or products referred to in the content. |
© 2026 by the authors. Licensee MDPI, Basel, Switzerland. This article is an open access article distributed under the terms and conditions of the Creative Commons Attribution (CC BY) license.
Share and Cite
Wei, Z.; Cui, Y.; Su, Y.; Zhang, J.; Zhou, W. Numerical Simulation Study of Multi-Component Discontinuous Chemical Flooding. Energies 2026, 19, 750. https://doi.org/10.3390/en19030750
Wei Z, Cui Y, Su Y, Zhang J, Zhou W. Numerical Simulation Study of Multi-Component Discontinuous Chemical Flooding. Energies. 2026; 19(3):750. https://doi.org/10.3390/en19030750
Chicago/Turabian StyleWei, Zhijie, Yongzheng Cui, Yanchun Su, Jian Zhang, and Wensheng Zhou. 2026. "Numerical Simulation Study of Multi-Component Discontinuous Chemical Flooding" Energies 19, no. 3: 750. https://doi.org/10.3390/en19030750
APA StyleWei, Z., Cui, Y., Su, Y., Zhang, J., & Zhou, W. (2026). Numerical Simulation Study of Multi-Component Discontinuous Chemical Flooding. Energies, 19(3), 750. https://doi.org/10.3390/en19030750
