Developing 3D River Channel Modeling with UAV-Based Point Cloud Data
Highlights
- K-nearest neighbor local regression (KLR) reconstructs UAV-based 3D river channels more accurately than LOWESS, with lower errors and better shape preservation across tests and field sites.
- KLR handles uneven point density and missing data well, keeping small bed features without over-smoothing.
- Cross-section delineation and hydraulic modeling for flood risk assessment can be done more accurately.
- Digital-twin river models built from UAV point clouds can be developed more reliably.
Abstract
1. Introduction
2. Mathematical Description
2.1. Multiple Linear Regression
2.2. KNN-Based Local Linear Regression (KLR)
2.3. Locally Weighted Scatterplot Smoothing (LOWESS)
3. Simulation Study with Synthetic Channels
3.1. Shape of Synthetic Channels
3.1.1. Trapezoidal Channel
3.1.2. Triangular Channel
3.1.3. U-Shaped Channel
3.2. Simulation Methodology
3.3. Simulation Results
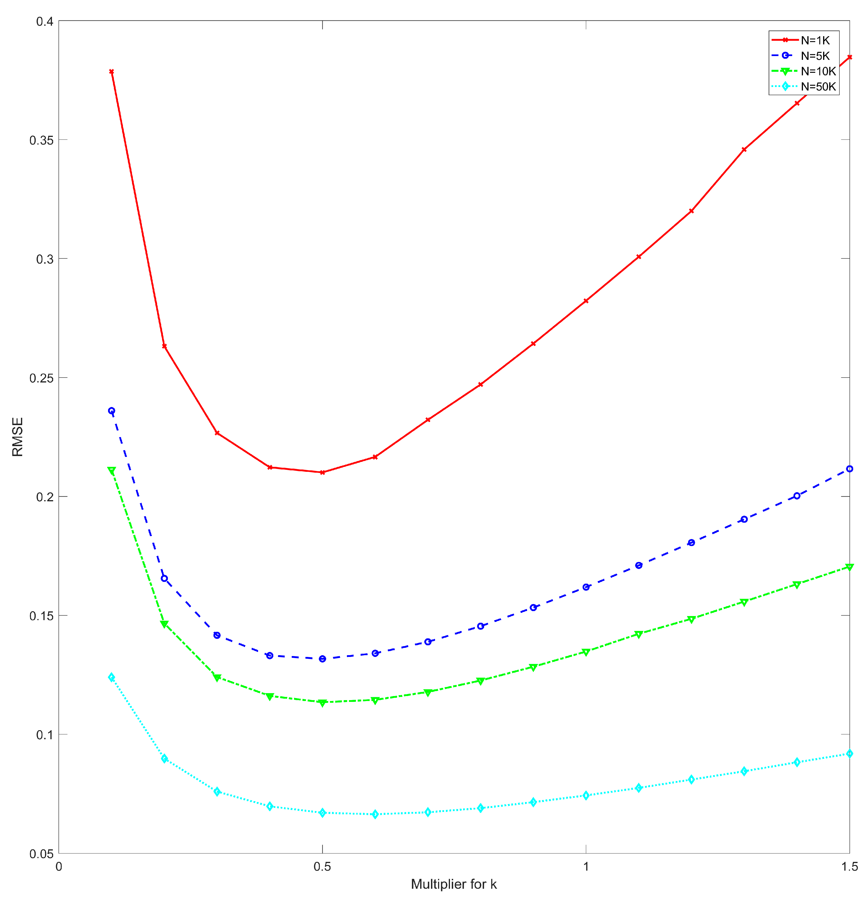
3.3.1. Selecting the Multiplier
3.3.2. Results of the Synthetic Channels
4. Case Study of Field Sites
4.1. Data Acquisition
4.1.1. Specification of Employed UAV
4.1.2. Ground Survey and Post-Processing
4.2. Scarce Data Area in Migok-Cheon
4.2.1. Study Area
4.2.2. Result
4.3. Dense Data Site in Ogsan Bridge
4.3.1. Study Area
4.3.2. Result of Ogsan Bridge
5. Discussion
6. Summary and Conclusions
Author Contributions
Funding
Data Availability Statement
Acknowledgments
Conflicts of Interest
References
- Lane, S.N.; Richards, K.S.; Chandler, J.H. Morphological estimation of the time-integrated bed load transport rate. J. Hydrol. 1999, 210, 256–281. [Google Scholar] [CrossRef]
- Merwade, V.; Cook, A.; Coonrod, J. GIS techniques for creating river terrain models for hydrodynamic modeling and flood inundation mapping. Environ. Model. Softw. 2008, 23, 1300–1311. [Google Scholar] [CrossRef]
- Neal, J.; Schumann, G.; Bates, P. A subgrid channel model for simulating river hydraulics and floodplain inundation over large and data sparse areas. Water Resour. Res. 2015, 51, 2833–2856. [Google Scholar] [CrossRef]
- Marcus, W.A.; Fonstad, M.A. Optical remote mapping of rivers at sub-meter resolutions and watershed extents. Earth Surf. Process. Landf. 2008, 33, 4–24. [Google Scholar] [CrossRef]
- Smith, M.W.; Vericat, D. From experimental plots to experimental landscapes: Topography, erosion and deposition in sub-humid badlands from Structure-from-Motion photogrammetry. Earth Surf. Process. Landf. 2015, 40, 1656–1671. [Google Scholar] [CrossRef]
- Fonstad, M.A.; Dietrich, J.T.; Courville, B.C.; Jensen, J.L.; Carbonneau, P.E. Topographic structure from motion: A new development in photogrammetric measurement. Earth Surf. Process. Landf. 2013, 38, 421–430. [Google Scholar] [CrossRef]
- James, M.R.; Robson, S. Straightforward reconstruction of 3D surfaces and topography with a camera: Accuracy and geoscience application. J. Geophys. Res. Earth Surf. 2012, 117, F03017. [Google Scholar] [CrossRef]
- Javernick, L.; Brasington, J.; Caruso, B. Modeling the topography of shallow braided rivers using Structure-from-Motion photogrammetry. Geomorphology 2014, 213, 166–182. [Google Scholar] [CrossRef]
- Westoby, M.J.; Brasington, J.; Glasser, N.F.; Hambrey, M.J.; Reynolds, J.M. ‘Structure-from-Motion’ photogrammetry: A low-cost, effective tool for geoscience applications. Geomorphology 2012, 179, 300–314. [Google Scholar] [CrossRef]
- Cook, K.L. An evaluation of the effectiveness of low-cost UAVs and structure from motion for geomorphic change detection. Geomorphology 2017, 278, 195–208. [Google Scholar] [CrossRef]
- Micheletti, N.; Chandler, J.H.; Lane, S.N. Structure-from-Motion photogrammetry for alpine research. Geomorphology 2015, 231, 530–548. [Google Scholar] [CrossRef]
- Acharya, B.S.; Bhandari, M.; Bandini, F.; Pizarro, A.; Perks, M.; Joshi, D.R.; Wang, S.; Dogwiler, T.; Ray, R.L.; Kharel, G. Unmanned aerial vehicles in hydrology and water management: Applications, challenges, and perspectives. Water Resour. Res. 2021, 57, e2021WR029925. [Google Scholar] [CrossRef]
- Schumann, G.J.-P.; Muhlhausen, J.; Andreadis, K.M. Rapid mapping of small-scale river-floodplain environments using UAV SfM supports classical theory. Remote Sens. 2019, 11, 982. [Google Scholar] [CrossRef]
- Duró, G.; Crosato, A.; Kleinhans, M.; Uijttewaal, W. Bank erosion processes measured with UAV-SfM along complex banklines of a straight mid-sized river reach. Earth Surf. Dyn. 2018, 6, 933–953. [Google Scholar] [CrossRef]
- Brasington, J.; Vericat, D.; Rychkov, I. Modeling river bed morphology, roughness, and surface sedimentology using high-resolution terrestrial laser scanning. Water Resour. Res. 2012, 48, W11519. [Google Scholar] [CrossRef]
- Eltner, A.; Kaiser, A.; Castillo, C.; Rock, G.; Neugirg, F.; Abellán, A. Image-based surface reconstruction in geomorphometry—Merits, limits and developments. Earth Surf. Dyn. 2016, 4, 359–389. [Google Scholar] [CrossRef]
- Siebring, M.; Frankl, A.; Nyssen, J. UAV-based photogrammetry for monitoring geomorphic processes in mountain streams. Geomorphology 2019, 335, 1–15. [Google Scholar]
- Ali, A.M.; Moradkhani, H.; Kalyanapu, A. Effects of cross-section spacing on 1D hydraulic models. Hydrol. Sci. J. 2015, 60, 2060–2079. [Google Scholar] [CrossRef]
- Domeneghetti, A.; Castellarin, A.; Brath, A. Assessing rating-curve uncertainty and its effects on hydraulic model calibration. Hydrol. Earth Syst. Sci. 2012, 16, 1191–1202. [Google Scholar] [CrossRef]
- Hodgson, M.E.; Bresnahan, P. Accuracy of airborne LIDAR-derived elevation: Empirical assessment and error budget. Photogramm. Eng. Remote Sens. 2004, 70, 331–339. [Google Scholar] [CrossRef]
- Chow, V.T. Open-Channel Hydraulics; McGraw-Hill: New York, NY, USA, 1959. [Google Scholar]
- Maidment, D.R. Handbook of Hydrology; McGraw-Hill: New York, NY, USA, 1993. [Google Scholar]
- Cleveland, W.S. Robust locally weighted regression and smoothing scatterplots. J. Am. Stat. Assoc. 1979, 74, 829–836. [Google Scholar] [CrossRef]
- Cleveland, W.S.; Devlin, S.J. Locally weighted regression: An approach to regression analysis by local fitting. J. Am. Stat. Assoc. 1988, 83, 596–610. [Google Scholar] [CrossRef]
- Lee, T.; Ouarda, T.B.M.J.; Yoon, S. KNN-based local linear regression for the analysis and simulation of low flow extremes under climatic influence. Clim. Dyn. 2017, 49, 3493–3511. [Google Scholar] [CrossRef]
- Lall, U.; Sharma, A. A nearest neighbor bootstrap for resampling hydrologic time series. Water Resour. Res. 1996, 32, 679–693. [Google Scholar] [CrossRef]
- Lee, T.; Ouarda, T.B.M.J.; Lee, C. Stochastic simulation of annual maximum flows using K-nearest neighbor resampling. J. Hydrol. 2010, 380, 385–396. [Google Scholar] [CrossRef]
- Rajagopalan, B.; Lall, U. A k-nearest-neighbor simulator for daily precipitation and other weather variables. Water Resour. Res. 1999, 35, 3089–3101. [Google Scholar] [CrossRef]
- Salas, J.D.; Lee, T. Nonparametric simulation of single-site seasonal streamflows. J. Hydrol. Eng. 2010, 15, 284–296. [Google Scholar] [CrossRef]
- Sharma, A.; Tarboton, D.G.; Lall, U. Streamflow simulation: A nonparametric approach. Water Resour. Res. 1997, 33, 291–308. [Google Scholar] [CrossRef]
- Chen, J.; Brissette, F.P. Stochastic weather generators: Flexible design and evaluation. Clim. Dyn. 2017, 49, 2683–2696. [Google Scholar]
- Ganguli, P.; Reddy, M.J. Probabilistic assessment of drought characteristics using a nonparametric bootstrap resampling technique. J. Hydrol. 2012, 410, 132–145. [Google Scholar] [CrossRef]
- Lee, T.; Salas, J.D.; Heo, J.H. Regional frequency analysis with a K-nearest neighbor resampling. J. Hydrol. 2018, 556, 535–546. [Google Scholar] [CrossRef]
- Savage, J.T.S.; Bates, P.; Neal, J. Impact of river bathymetry and roughness representation on flood model performance. J. Hydrol. 2016, 540, 503–522. [Google Scholar] [CrossRef]
- Horritt, M.S.; Bates, P.D. Evaluation of 1D and 2D numerical models for predicting river flood inundation. J. Hydrol. 2002, 268, 87–99. [Google Scholar] [CrossRef]
- Liu, K.; Schumann, G.J.P.; Fewtrell, T.J.; Budimir, M.; Bates, P.D. Recent developments in high-resolution flood modelling. J. Hydrol. 2021, 603, 126846. [Google Scholar] [CrossRef]
- Gitundu, D.T.; Mwangi, H.M.; Mutua, F. Hydraulic analysis of a flash flood event using UAV-derived topography. J. Hydrol. Reg. Stud. 2023, 49, 101320. [Google Scholar]
- Mazzoleni, M.; Alfonso, L.; Chacon-Hurtado, J.; Solomatine, D. Assimilating uncertain, crowdsourced observations for flood forecasting: The potential of citizen science. Water Resour. Res. 2020, 56, e2019WR026606. [Google Scholar] [CrossRef]
- Lee, T.; Hwang, S.; Singh, V.P. KNN Local Linear Regression for Demarcating River Cross-Sections with Point Cloud Data from UAV Photogrammetry URiver-X. Remote Sens. 2024, 16, 1820. [Google Scholar] [CrossRef]
- Lee, T.; Ouarda, T.B.M.J. Identification of model order and number of neighbors for k-nearest neighbor resampling. J. Hydrol. 2011, 404, 136–145. [Google Scholar] [CrossRef]
- Lee, T.; Salas, J.D.; Prairie, J. An Enhanced Nonparametric Streamflow Disaggregation Model with Genetic Algorithm. Water Resour. Res. 2010, 46, W08545. [Google Scholar] [CrossRef]
- Liu, K.; Song, C.; Wang, J.; Ke, L.; Zhu, Y.; Zhu, J.; Ma, R.; Luo, Z. Remote Sensing-Based Modeling of the Bathymetry and Water Storage for Channel-Type Reservoirs Worldwide. Water Resour. Res. 2020, 56, e2020WR027147. [Google Scholar] [CrossRef]
- Neal, J.C.; Odoni, N.A.; Trigg, M.A.; Freer, J.E.; Garcia-Pintado, J.; Mason, D.C.; Wood, M.; Bates, P.D. Efficient incorporation of channel cross-section geometry uncertainty into regional and global scale flood inundation models. J. Hydrol. 2015, 529, 169–183. [Google Scholar] [CrossRef]
- Siebring, J.; Valente, J.; Domingues Franceschini, M.H.; Kamp, J.; Kooistra, L. Object-Based Image Analysis Applied to Low Altitude Aerial Imagery for Potato Plant Trait Retrieval and Pathogen Detection. Sensors 2019, 19, 5477. [Google Scholar] [CrossRef]
- Kim, T.; Park, J.; Hwang, S.; Lee, T. Whole Watershed-based Estimation of FEWS Installation Site Using UAV Photogrammetry. J. Korean Soc. Hazard Mitig. 2023, 23, 233–241. [Google Scholar] [CrossRef]
- Seong, K.; Lee, S.O.; Jung, H.J.; Lee, T. Safety first? Lessons from the Hapcheon Dam flood in 2020. Sustainability 2022, 14, 2975. [Google Scholar] [CrossRef]















| RMSE | MAE | R2 | ||||
|---|---|---|---|---|---|---|
| KLR | LOWESS | KLR | LOWESS | KLR | LOWESS | |
| Trapezoid | 0.02766 | 1.23205 | 0.00810 | 1.01219 | 0.99998 | 0.96580 |
| Triangle | 0.02710 | 1.12136 | 0.00648 | 0.84962 | 0.99998 | 0.97416 |
| U-shaped | 0.05118 | 0.93679 | 0.02786 | 0.80662 | 0.99966 | 0.88507 |
Disclaimer/Publisher’s Note: The statements, opinions and data contained in all publications are solely those of the individual author(s) and contributor(s) and not of MDPI and/or the editor(s). MDPI and/or the editor(s) disclaim responsibility for any injury to people or property resulting from any ideas, methods, instructions or products referred to in the content. |
© 2026 by the authors. Licensee MDPI, Basel, Switzerland. This article is an open access article distributed under the terms and conditions of the Creative Commons Attribution (CC BY) license.
Share and Cite
Lee, T.; Kong, Y. Developing 3D River Channel Modeling with UAV-Based Point Cloud Data. Remote Sens. 2026, 18, 495. https://doi.org/10.3390/rs18030495
Lee T, Kong Y. Developing 3D River Channel Modeling with UAV-Based Point Cloud Data. Remote Sensing. 2026; 18(3):495. https://doi.org/10.3390/rs18030495
Chicago/Turabian StyleLee, Taesam, and Yejin Kong. 2026. "Developing 3D River Channel Modeling with UAV-Based Point Cloud Data" Remote Sensing 18, no. 3: 495. https://doi.org/10.3390/rs18030495
APA StyleLee, T., & Kong, Y. (2026). Developing 3D River Channel Modeling with UAV-Based Point Cloud Data. Remote Sensing, 18(3), 495. https://doi.org/10.3390/rs18030495

