Sign in to use this feature.

Years

Between: -

Subjects

remove_circle_outline
remove_circle_outline
remove_circle_outline
remove_circle_outline
remove_circle_outline
remove_circle_outline
remove_circle_outline
remove_circle_outline
remove_circle_outline

Journals

Article Types

Countries / Regions

Search Results (27)

Search Parameters:
Keywords = floating ice condition

Order results
Result details
Results per page
Select all
Export citation of selected articles as:
30 pages, 15347 KB  
Article
Research on Optimization Design of Ice-Class Ship Form Based on Actual Sea Conditions
by Yu Lu, Xuan Cao, Jiafeng Wu, Xiaoxuan Peng, Lin An and Shizhe Liu
J. Mar. Sci. Eng. 2025, 13(7), 1320; https://doi.org/10.3390/jmse13071320 - 9 Jul 2025
Viewed by 1057
Abstract
With the natural evolution of the Arctic route and advancements in related technologies, the development of new green ice-class ships is becoming a key technological breakthrough for the global shipbuilding industry. As a special vessel form that must perform icebreaking operations and undertake [...] Read more.
With the natural evolution of the Arctic route and advancements in related technologies, the development of new green ice-class ships is becoming a key technological breakthrough for the global shipbuilding industry. As a special vessel form that must perform icebreaking operations and undertake long-distance ocean voyages, an ice-class ship requires sufficient icebreaking capacity to navigate ice-covered water areas. However, since such ships operate for most of their time under open water conditions, it is also crucial to consider their resistance characteristics in these environments. Firstly, this paper employs linear interpolation to extract wind, wave, and sea ice data along the route and calculates the proportion of ice-covered and open water area in the overall voyage. This provides data support for hull form optimization based on real sea state conditions. Then, a resistance optimization platform for ice-class ships is established by integrating hull surface mixed deformation control within a scenario analysis framework. Based on the optimization results, comparative analysis is conducted between the parent hull and the optimized hull under various environmental resistance scenarios. Finally, the optimization results are evaluated in terms of energy consumption using a fuel consumption model of the ship’s main engine. The optimized hull achieves a 16.921% reduction in total resistance, with calm water resistance and wave-added resistance reduced by 5.92% and 27.6%, respectively. Additionally, the optimized hull shows significant resistance reductions under multiple wave and floating ice conditions. At the design speed, calm water power and hourly fuel consumption are reduced by 7.1% and 7.02%, respectively. The experimental results show that the hull form optimization process in this paper can take into account both ice-region navigation and ice-free navigation. The design ideas and solution methods can provide a reference for the design of ice-class ships. Full article
Show Figures

Figure 1

20 pages, 1145 KB  
Article
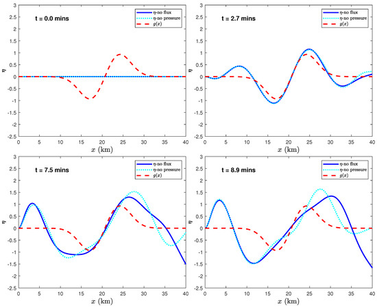
Time Domain Vibration Analysis of Cracked Ice Shelf
by Alyah Alshammari and Michael H. Meylan
Glacies 2025, 2(2), 5; https://doi.org/10.3390/glacies2020005 - 2 Apr 2025
Viewed by 1043
Abstract
Understanding the effect of cracks on ice shelf vibrations is crucial for assessing their structural integrity, predicting possible breakup events, and understanding their interactions with the surrounding environment. In this work, a novel approach to modelling the simulation of cracked ice shelf vibrations [...] Read more.
Understanding the effect of cracks on ice shelf vibrations is crucial for assessing their structural integrity, predicting possible breakup events, and understanding their interactions with the surrounding environment. In this work, a novel approach to modelling the simulation of cracked ice shelf vibrations using thin beam approximation along with cracked beam boundary conditions is proposed. A simplified model was used in which the ice shelf was modelled as a thin elastic plate floating on water of a constant depth. The crack was modelled as a connected spring condition, a model which is standard in other fields but which has not been applied to ice shelves. The boundary conditions assumed that there was no flow of energy into the open water, and two possible boundary conditions were considered: no pressure and no flux. The focus of this work is to show how we can simulate the motion of an ice shelf with a crack, and this is the first step towards modelling the effect of crack and crack propagation on ice shelf breakup. Full article
Show Figures

Figure 1

30 pages, 30669 KB  
Article
Machine Learning-Based Damage Diagnosis in Floating Wind Turbines Using Vibration Signals: A Lab-Scale Study Under Different Wind Speeds and Directions
by John S. Korolis, Dimitrios M. Bourdalos and John S. Sakellariou
Sensors 2025, 25(4), 1170; https://doi.org/10.3390/s25041170 - 14 Feb 2025
Cited by 1 | Viewed by 991
Abstract
Floating wind turbines (FWTs) operate in offshore environments under harsh and varying operating conditions, making frequent in situ monitoring dangerous for maintenance teams and costly for operators. Remote and automated diagnosis, including the stages of detection, identification, and severity characterization of early stage [...] Read more.
Floating wind turbines (FWTs) operate in offshore environments under harsh and varying operating conditions, making frequent in situ monitoring dangerous for maintenance teams and costly for operators. Remote and automated diagnosis, including the stages of detection, identification, and severity characterization of early stage damages in FWTs through advanced vibration-based structural health monitoring (SHM) methods of the machine learning (ML) type, is evidently critical for timely repairs, extending their operational lifecycle, reducing maintenance costs, and enhancing safety. This study investigates, for the first time, the complete (all stages) damage diagnosis problem by employing well-established ML SHM methods and conducting hundreds of experiments on a lab-scale FWT model operating under different wind speeds and directions, both in healthy and damaged states. The latter include two distinct blade cracks of limited length, two added masses attached to the blade edge simulating possible accumulation of ice, and connection degradation at the mounting of the main tower with the floater. The results indicate that the proper training of advanced ML methods using damage-sensitive feature vectors that represent the structural dynamics within the entire frequency bandwidth of measurements may achieve flawless damage diagnosis, reaching 100% success at all diagnosis stages, even when only a minimal number of vibration signals from a limited number of sensors (a single sensor in this study) are used. Full article
(This article belongs to the Special Issue Feature Papers in Fault Diagnosis & Sensors 2024)
Show Figures

Figure 1

22 pages, 6869 KB  
Article
Study on the Spatiotemporal Evolution Pattern of Frazil Ice Based on CFD-DEM Coupled Method
by Fang Liu, Hongyi Li, Xin Zhao and Yunfei Chen
Water 2024, 16(23), 3367; https://doi.org/10.3390/w16233367 - 23 Nov 2024
Cited by 2 | Viewed by 920
Abstract
Frazil ice is the foundation for all other ice phenomena, and its spatiotemporal evolution is critical for regulating ice conditions in rivers and channels, as well as for preventing and controlling ice damage. This paper investigates the dynamic transport pattern of frazil ice [...] Read more.
Frazil ice is the foundation for all other ice phenomena, and its spatiotemporal evolution is critical for regulating ice conditions in rivers and channels, as well as for preventing and controlling ice damage. This paper investigates the dynamic transport pattern of frazil ice during the early stages of winter freezing in water conveyance channels based on a CFD-DEM coupled numerical model, and derives predictive formulae for the spatiotemporal evolution of frazil ice and floating ice. First, static repose angle simulations and slope sliding simulations were used to calibrate the contact parameters between frazil ice particles and between frazil ice and the channel bed, ensuring the accurate calculation of contact forces in the model. On this basis, the processes of frazil ice transport, aggregation, and upward movement in water transfer channels were simulated, and the influence of contact parameters on simulation results was analyzed, showing a significant effect when the ice concentration was high. Numerical results indicate that the amount of suspended frazil ice is positively correlated with the frazil ice generation rate and water depth, with minimal influence from the flow velocity; the amount of floating ice increases linearly along the channel, with growth positively correlated with the frazil ice generation rate and water depth, and negatively correlated with the flow velocity. Predictive formulae correlating frazil ice and floating ice amounts with the flow velocity, water depth, and other factors were proposed based on numerical results. There is good agreement between the predictive and numerical results: the maximum APE between the predicted and simulated values of suspended frazil ice is 13.24%, and the MAPE is 6.32%; the maximum APE between the predicted and simulated values of floating ice increment is 7.80%, and the MAPE is 2.89%. The proposed prediction formulae can provide a theoretical basis for accurately predicting ice conditions during the early stages of winter freezing in rivers and channels. Full article
Show Figures

Figure 1

23 pages, 6775 KB  
Article
Evaluation of a Coupled CFD and Multi-Body Motion Model for Ice-Structure Interaction Simulation
by Hanif Pourshahbaz, Tadros Ghobrial and Ahmad Shakibaeinia
Water 2024, 16(17), 2454; https://doi.org/10.3390/w16172454 - 29 Aug 2024
Viewed by 1780
Abstract
The interaction of water flow, ice, and structures is common in fluvial ice processes, particularly around Ice Control Structures (ICSs) that are used to manage and prevent ice jam floods. To evaluate the effectiveness of ICSs, it is essential to understand the complex [...] Read more.
The interaction of water flow, ice, and structures is common in fluvial ice processes, particularly around Ice Control Structures (ICSs) that are used to manage and prevent ice jam floods. To evaluate the effectiveness of ICSs, it is essential to understand the complex interaction between water flow, ice and the structure. Numerical modeling is a valuable tool that can facilitate such understanding. Until now, classical Eulerian mesh-based methods have not been evaluated for the simulation of ice interaction with ICS. In this paper we evaluate the capability, accuracy, and efficiency of a coupled Computational Fluid Dynamic (CFD) and multi-body motion numerical model, based on the mesh-based FLOW-3D V.2023 R1 software for simulation of ice-structure interactions in several benchmark cases. The model’s performance was compared with results from meshless-based models (performed by others) for the same laboratory test cases that were used as a reference for the comparison. To this end, simulation results from a range of dam break laboratory experiments were analyzed, encompassing varying numbers of floating objects with distinct characteristics, both in the presence and absence of ICS, and under different downstream water levels. The results show that the overall accuracy of the FLOW-3D model under various experimental conditions resulted in a RMSE of 0.0534 as opposed to an overall RMSE of 0.0599 for the meshless methods. Instabilities were observed in the FLOW-3D model for more complex phenomena that involve open boundaries and a larger number of blocks. Although the FLOW-3D model exhibited a similar computational time to the GPU-accelerated meshless-based models, constraints on the processors speed and the number of cores available for use by the processors could limit the computational time. Full article
(This article belongs to the Special Issue Cold Region Hydrology and Hydraulics)
Show Figures

Figure 1

19 pages, 9406 KB  
Article
Underwater Acoustic Scattering from Multiple Ice Balls at the Ice–Water Interface
by Siwei Hu, Wenjian Chen, Hui Sun, Shunbo Zhou and Jingwei Yin
Remote Sens. 2024, 16(17), 3113; https://doi.org/10.3390/rs16173113 - 23 Aug 2024
Viewed by 1479
Abstract
We investigate the underwater acoustic scattering from various distributed “ice balls” floating on the water, aiming to understand acoustic scattering in the marginal ice zone (MIZ). The MIZ, including a wide range of heterogeneous ice cover, significantly impacts acoustic propagation. We use acoustic [...] Read more.
We investigate the underwater acoustic scattering from various distributed “ice balls” floating on the water, aiming to understand acoustic scattering in the marginal ice zone (MIZ). The MIZ, including a wide range of heterogeneous ice cover, significantly impacts acoustic propagation. We use acoustic modelling, simulation, and laboratory experiments to understand the acoustic scattering from various distributed ice balls. The acoustic scattering fields from a single sound source (90 kHz) in water are analyzed based on selected principal scattering waves between the surfaces of ice and water. The target strengths are calculated using the plate element method and physical acoustic methods, which are validated with water tank experimental data. The methodology is then extended to multiple ice ball cases, specifically considering a single ice ball, equally spaced ice balls of the same size, and randomly distributed ice balls of various sizes. Additionally, experimental measurements under similar conditions are conducted in a laboratory water tank. The scattering intensities at different receiving positions are simulated and compared with lab experiments. The results show good agreement between experimental and numerical results, with an absolute error of less than 3 dB. Scattering intensity is positively correlated with water surface reflection when the receiving angle is close to the mirror reflection angle of the incident wave. Our approach sets the groundwork for further research to address more complex ice–water interfaces with various ice covers in the MIZ. Full article
Show Figures

Figure 1

32 pages, 23042 KB  
Article
On Statistical Features of Ice Loads on Fixed and Floating Offshore Structures
by Chana Sinsabvarodom, Bernt J. Leira, Knut V. Høyland, Arvid Næss, Ilija Samardžija, Wei Chai, Siramas Komonjinda, Chatchawan Chaichana and Sheng Xu
J. Mar. Sci. Eng. 2024, 12(8), 1458; https://doi.org/10.3390/jmse12081458 - 22 Aug 2024
Cited by 4 | Viewed by 2004
Abstract
Apart from the mechanisms of ice structure interactions under various scenarios of sea ice conditions and structural configurations, the selection of probabilistic models is crucial in order to cope with the loading uncertainty. Sea ice is the primary contributor to design loads in [...] Read more.
Apart from the mechanisms of ice structure interactions under various scenarios of sea ice conditions and structural configurations, the selection of probabilistic models is crucial in order to cope with the loading uncertainty. Sea ice is the primary contributor to design loads in cold regions. In many cases, ice loads present the highest magnitude. In recent years, the probabilistic study of ice thickness, ice strength coefficient, flexural strength, ice drift speed, etc., has significantly increased, corresponding to the increasing activity of offshore operations in cold regions as well as the development of instrument technology for sea ice observation. This paper reviews existing probabilistic modes of sea ice, which are used to estimate the uncertainty of ice loading with various types of offshore structures, including vertical structures, sloping structures, and stations with floating vessels. The ISO 19906 standard is employed for the probabilistic assessment of vertical and sloping structures. The interactions between ice and structures on sloping structures are considered in both the upward and downward directions. The ice resistance method is applied for station-keeping floating vessels in ice. The key parameters of sea ice properties to estimate the design loads are studied. The effect of correlation between the key parameters of ice loads is investigated. This review shows that most existing probabilistic models are proposed for the estimation of ice loading on the various types of offshore structures. Full article
(This article belongs to the Special Issue Design of Marine Structures against Ice Actions)
Show Figures

Figure 1

16 pages, 1230 KB  
Article
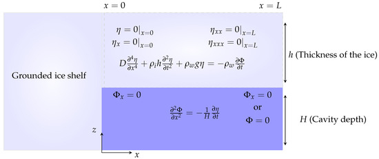
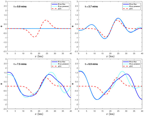
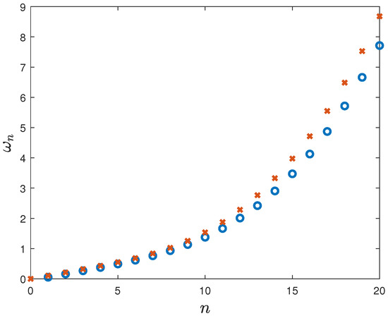
Time Domain Vibration Analysis of an Ice Shelf
by Rehab Aljabri and Michael H. Meylan
J. Mar. Sci. Eng. 2024, 12(3), 468; https://doi.org/10.3390/jmse12030468 - 8 Mar 2024
Cited by 3 | Viewed by 2035
Abstract
A method is presented to calculate the vibrations of an ice shelf floating in shallow water under different boundary conditions. One condition is that there is no flux, which reduces all calculations and the other is that there is no pressure at the [...] Read more.
A method is presented to calculate the vibrations of an ice shelf floating in shallow water under different boundary conditions. One condition is that there is no flux, which reduces all calculations and the other is that there is no pressure at the seaward end of the ice shelf. The effect of these boundary conditions is investigated in detail, and the modes of vibration are also determined. Motion simulations of the system are presented for the potential velocity of the water and the vertical displacement of the ice shelf. These are found through a numerical method, which reduces all calculations to matrix multiplication. The underlying motion is shown to be very complex and difficult to interpret from single-point response measurements. The motion of more realistic ice shelves can be expected to be even more complicated. Full article
(This article belongs to the Section Physical Oceanography)
Show Figures

Figure 1

25 pages, 19856 KB  
Article
Two-Dimensional Wave Interaction with a Rigid Body Floating near the Marginal Ice Zone
by Bingbing Wan, Yuyun Shi and Zhifu Li
J. Mar. Sci. Eng. 2024, 12(2), 272; https://doi.org/10.3390/jmse12020272 - 1 Feb 2024
Cited by 1 | Viewed by 1355
Abstract
The interaction problem of waves with a body floating near the marginal ice zone is studied, where the marginal ice zone is modeled as an array of multiple uniformly sized floating ice sheets. The linear velocity potential theory is applied for fluid flow, [...] Read more.
The interaction problem of waves with a body floating near the marginal ice zone is studied, where the marginal ice zone is modeled as an array of multiple uniformly sized floating ice sheets. The linear velocity potential theory is applied for fluid flow, and the thin elastic plate mode is utilized to describe the ice sheet deflection. A hybrid method is used to solve the disturbed velocity potential; i.e., around the floating body, a boundary integral equation is established, while in the domain covered by ice sheets, the velocity potential is expanded into an eigenfunction series, and in the far-field with a free surface, a similar eigenfunction expansion is used to satisfy the radiation condition. The boundary integral equation and the coefficients of the eigenfunction expansions are solved together based on the continuous conditions of pressure and velocity on the interface between the sub-domains. Extensive results for the equivalent Young’s modulus of the ice sheet array and hydrodynamic force on the body are provided, and the effect of individual ice sheet length as well as wave parameters are investigated in detail. Full article
(This article belongs to the Section Ocean Engineering)
Show Figures

Figure 1

15 pages, 1040 KB  
Article
Wave Resistance Caused by a Point Load Steadily Moving on the Surface of a Floating Viscoelastic Plate
by Zi Qi Wang and Dong Qiang Lu
J. Mar. Sci. Eng. 2023, 11(9), 1681; https://doi.org/10.3390/jmse11091681 - 25 Aug 2023
Cited by 5 | Viewed by 1564
Abstract
The wave resistance caused by a point load steadily moving on an infinitely extended viscoelastic plate floating on an inviscid fluid is analytically studied, which can be used to describe the response due to the motion of amphibious air-cushion vehicles on the continuous [...] Read more.
The wave resistance caused by a point load steadily moving on an infinitely extended viscoelastic plate floating on an inviscid fluid is analytically studied, which can be used to describe the response due to the motion of amphibious air-cushion vehicles on the continuous ice sheet on the ocean. The action of concentrated and distributed point loads are both considered. Under the assumptions that the fluid is incompressible and homogeneous and the motion of the fluid is irrotational, the Laplace equation is taken as the governing equation. For the floating plate, the Kelvin–Voigt viscoelastic model is employed. At the plate–fluid interface, linearized boundary conditions are used when the wave amplitude generated is less than its wavelength. The Fourier integral transform is performed to achieve the formal solution. The residue theorem is applied to derive the response of flexural–gravity wave resistance. It is indicated that for a point load with a uniform rectilinear motion, the wave resistance shows a sharp decrease with the increase in the moving speed when the load velocity is greater than the minimum phase velocity. There is no steady wave resistance when the load velocity is smaller than the minimum phase velocity. The effects of different parameters are obtained. Wave resistance decreases with the increasing plate thickness, viscoelastic parameter, and Poisson’s ratio, especially for a small value of viscoelastic parameter. Full article
(This article belongs to the Special Issue Hydroelastic Behaviour of Floating Offshore Structures)
Show Figures

Figure 1

21 pages, 8820 KB  
Article
Dynamic Response Analysis of Submarines Based on FEM-ALE Coupling Method in Floating Ice Conditions
by Zhongyu Chen, Weidong Zhao, Zhanyang Chen, Guoqing Feng, Huilong Ren and Hongbin Gui
J. Mar. Sci. Eng. 2023, 11(8), 1560; https://doi.org/10.3390/jmse11081560 - 7 Aug 2023
Cited by 5 | Viewed by 1941
Abstract
To address global challenges, research on the safety of polar navigation is indispensable. However, most of studies focus on traditional surface vessels, with few research studies on submarine. The dynamic response of submarine during surface navigation in floating ice channels under special conditions [...] Read more.
To address global challenges, research on the safety of polar navigation is indispensable. However, most of studies focus on traditional surface vessels, with few research studies on submarine. The dynamic response of submarine during surface navigation in floating ice channels under special conditions is studied in this work. Firstly, a model of the submarine incorporating an intact internal frame was established. Subsequently, the FEM-ALE coupled method was employed to simulate the structure-ice interaction, and the obtained results was verified by the Colbourne method. Then, the parametric study (navigation speed, ice thickness, and floating ice size) were analyzed from the perspectives of ice resistance, stress and plastic strain. Finally, an empirical equation suitable for the interaction between submarine and floating ice during surface navigation is improved based on the Colbourne method. Full article
(This article belongs to the Special Issue Advanced Analysis of Marine Structures)
Show Figures

Figure 1

18 pages, 7948 KB  
Article
Monitoring Glacier Lake Outburst Flood (GLOF) of Lake Merzbacher Using Dense Chinese High-Resolution Satellite Images
by Changjun Gu, Suju Li, Ming Liu, Kailong Hu and Ping Wang
Remote Sens. 2023, 15(7), 1941; https://doi.org/10.3390/rs15071941 - 5 Apr 2023
Cited by 14 | Viewed by 7034
Abstract
Establishing an effective real-time monitoring and early warning system for glacier lake outburst floods (GLOFs) requires a full understanding of their occurrence mechanism. However, the harsh conditions and hard-to-reach locations of these glacial lakes limit detailed fieldwork, making satellite imagery a critical tool [...] Read more.
Establishing an effective real-time monitoring and early warning system for glacier lake outburst floods (GLOFs) requires a full understanding of their occurrence mechanism. However, the harsh conditions and hard-to-reach locations of these glacial lakes limit detailed fieldwork, making satellite imagery a critical tool for monitoring. Lake Mercbacher, an ice-dammed lake in the central Tian Shan mountain range, poses a significant threat downstream due to its relatively high frequency of outbursts. In this study, we first monitored the daily changes in the lake area before the 2022 Lake Mercbacher outburst. Additionally, based on historical satellite images from 2014 to 2021, we calculated the maximum lake area (MLA) and its changes before the outburst. Furthermore, we extracted the proportion of floating ice and water area during the period. The results show that the lake area of Lake Mercbacher would first increase at a relatively low speed (0.01 km2/day) for about one month, followed by a relatively high-speed increase (0.04 km2/day) until reaching the maximum, which would last for about twenty days. Then, the lake area would decrease slowly until the outburst, which would last five days and is significant for early warning. Moreover, the floating ice and water proportion provides more information about the outburst signals. In 2022, we found that the floating ice area increased rapidly during the early warning stage, especially one day before the outburst, accounting for about 50% of the total lake area. Historical evidence indicates that the MLA shows a decreasing trend, and combining it with the outburst date and climate data, we found that the outburst date shows an obvious advance trend (6 days per decade) since 1902, caused by climate warming. Earlier melting results in an earlier outburst. This study provides essential references for monitoring Lake Mercbacher GLOFs and building an effective early warning system. Full article
Show Figures

Figure 1

11 pages, 2211 KB  
Article
PLGA-Lipid Hybrid Nanoparticles for Overcoming Paclitaxel Tolerance in Anoikis-Resistant Lung Cancer Cells
by Sasivimon Pramual, Kriengsak Lirdprapamongkol, Korakot Atjanasuppat, Papada Chaisuriya, Nuttawee Niamsiri and Jisnuson Svasti
Molecules 2022, 27(23), 8295; https://doi.org/10.3390/molecules27238295 - 28 Nov 2022
Cited by 18 | Viewed by 3369
Abstract
Drug resistance and metastasis are two major obstacles to cancer chemotherapy. During metastasis, cancer cells can survive as floating cells in the blood or lymphatic circulatory system, due to the acquisition of resistance to anoikis—a programmed cell death activated by loss of extracellular [...] Read more.
Drug resistance and metastasis are two major obstacles to cancer chemotherapy. During metastasis, cancer cells can survive as floating cells in the blood or lymphatic circulatory system, due to the acquisition of resistance to anoikis—a programmed cell death activated by loss of extracellular matrix attachment. The anoikis-resistant lung cancer cells also develop drug resistance. In this study, paclitaxel-encapsulated PLGA-lipid hybrid nanoparticles (PLHNPs) were formulated by nanoprecipitation combined with self-assembly. The paclitaxel-PLHNPs had an average particle size of 103.0 ± 1.6 nm and a zeta potential value of −52.9 mV with the monodisperse distribution. Cytotoxicity of the nanoparticles was evaluated in A549 human lung cancer cells cultivated as floating cells under non-adherent conditions, compared with A549 attached cells. The floating cells exhibited anoikis resistance as shown by a lack of caspase-3 activation, in contrast to floating normal epithelial cells. Paclitaxel tolerance was evident in floating cells which had an IC50 value of 418.56 nM, compared to an IC50 value of 7.88 nM for attached cells. Paclitaxel-PLHNPs significantly reduced the IC50 values in both attached cells (IC50 value of 0.11 nM, 71.6-fold decrease) and floating cells (IC50 value of 1.13 nM, 370.4-fold decrease). This report demonstrated the potential of PLHNPs to improve the efficacy of the chemotherapeutic drug paclitaxel, for eradicating anoikis-resistant lung cancer cells during metastasis. Full article
(This article belongs to the Special Issue Polylactide-Based Materials: Synthesis and Biomedical Applications)
Show Figures

Graphical abstract

22 pages, 25930 KB  
Article
Fault Detection in Offshore Structures: Influence of Sensor Number, Placement and Quality
by Andreas Tockner, Jixiang Lei and Katrin Ellermann
Appl. Mech. 2022, 3(3), 757-778; https://doi.org/10.3390/applmech3030045 - 27 Jun 2022
Cited by 1 | Viewed by 2343
Abstract
Within the Space@Sea project floating offshore islands, designed as an assembly of platforms, are used to create space in offshore environments. Offshore structures are exposed to harsh environment conditions. High wind speeds, heavy rainfall, ice and wave forces lead to highly stressed structures. [...] Read more.
Within the Space@Sea project floating offshore islands, designed as an assembly of platforms, are used to create space in offshore environments. Offshore structures are exposed to harsh environment conditions. High wind speeds, heavy rainfall, ice and wave forces lead to highly stressed structures. The platforms at the Space@Sea project are connected by ropes and fenders. There exists the risk of a rope failing which is therefore investigated subsequently. To ensure the safety of the structure, the rope parameters are monitored by the Extended Kalman Filter (EKF). For platform arrangements, a large number of sensors is required for accurate fault diagnosis of these ropes, leading to high investment costs. This paper presents a strategy to optimize the number and placement of acceleration sensors attached to the floating platforms. There are also high demands on the sensors due to the harsh offshore conditions. Material deterioration and overloading may lead to decayed sensor performance or sensor defects. Maintenance of offshore sensors is difficult, expensive and often not feasible within a short time. Therefore, sensor measurement deviations must not affect reliable structure fault detection. The influence of defect sensors on the rope fault detection is examined in this study: Types, intensities, number, place of occurrence of defect sensors and the distance between defect sensors and rope faults are varied. Full article
Show Figures

Figure 1

27 pages, 17741 KB  
Article
Research on Mooring System Design for Kulluk Platform in Arctic Region
by Aobo Zhang, Zhenju Chuang, Shewen Liu, Xin Chang, Lixun Hou, Zhen He and Shiqi Liu
Water 2022, 14(11), 1762; https://doi.org/10.3390/w14111762 - 30 May 2022
Cited by 3 | Viewed by 2836
Abstract
Mooring system design of a floating offshore structure in the arctic region is considered to be extremely important. This paper aims at investigating an optimal mooring system for the Kulluk platform operating in the Beaufort Sea, which has ice-free and ice-covered conditions during [...] Read more.
Mooring system design of a floating offshore structure in the arctic region is considered to be extremely important. This paper aims at investigating an optimal mooring system for the Kulluk platform operating in the Beaufort Sea, which has ice-free and ice-covered conditions during the whole year time. In order to complete the layout design of the mooring system to satisfy the year-round operation, both the effect of wave loads and ice loads should be considered. The research establishes a coupled numerical production system composed of the Kulluk platform and mooring system. Wave load is solved by potential flow theory. The slender finite element method is used to compute the tension of the mooring system. The nonlinear finite element method, discrete element method, and empirical formula are compared to analyze ice load. Finally, the discrete element method is selected for the analysis of the Kulluk, and the simulated results are compared reasonably with the field data. When studying the mooring line configurations, quantitative time-domain analysis is carried out, including tension of mooring lines and the motions of the platform under different working conditions. The research work in this paper will provide a reference for the optimal design of the mooring system of the platform operating in the Arctic Sea. Full article
(This article belongs to the Special Issue Sea, River, Lake Ice Properties and Their Applications in Practices)
Show Figures

Figure 1

Back to TopTop