Study on the Spatiotemporal Evolution Pattern of Frazil Ice Based on CFD-DEM Coupled Method
Abstract
1. Introduction
2. Mathematical Model of Frazil Ice Movement
2.1. Governing Equations of Particle System
2.2. Governing Equations of Fluid Phase
2.3. Interactions Between Particles and Fluid
2.4. Validation of Model Accuracy
3. Calculation Settings
3.1. Model Setup
3.2. Arrangement of Simulation Schemes
3.3. Calibration of Contact Parameters
4. Results
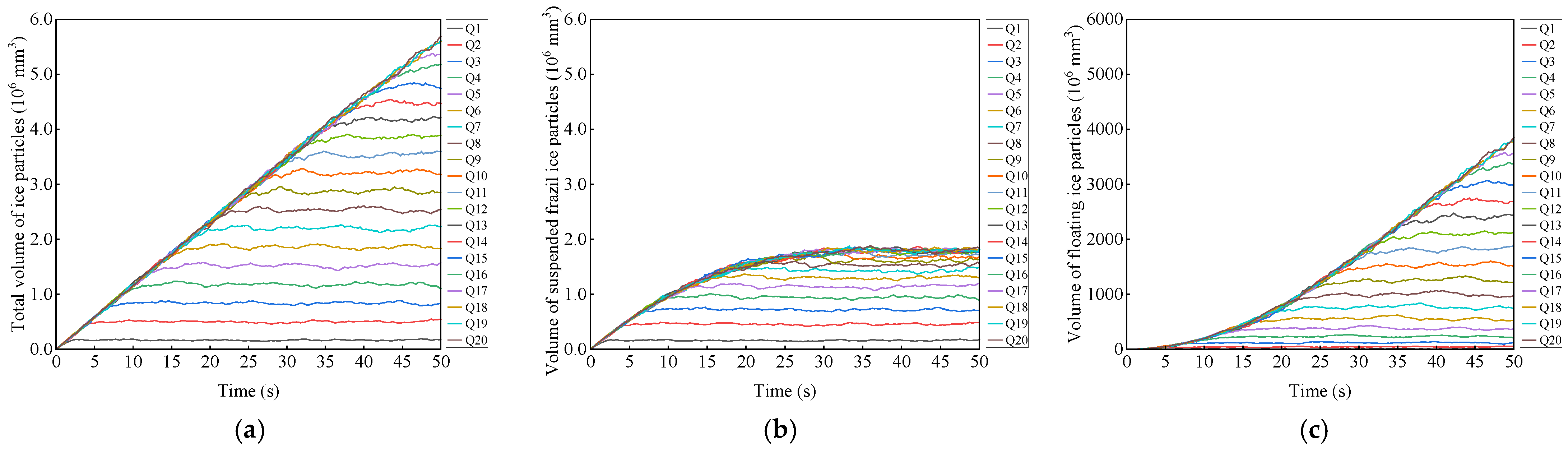
4.1. The Temporal Evolution Characteristics of Frazil Ice
4.2. The Spatial Evolution Characteristics of Frazil Ice
5. Discussions
5.1. The Effect of Contact Parameters
5.2. Analysis of the Evolution Pattern of the Volume of Suspended Frazil Ice
5.3. Analysis of the Evolution Pattern of Total Volume of Ice and the Volume of Floating Ice
6. Conclusions
- (1)
- In conditions characterized by a low ice concentration, such as the transport of frazil ice during the early freezing stages in water conveyance channels, the contact parameters have no significant effect on the simulation results. In contrast, the influence of contact parameters is significant for simulations of ice phenomena with high ice concentrations, such as ice jam formation and breakage.
- (2)
- A prediction formula for the spatiotemporal evolution of the suspended frazil ice amount in water conveyance channels has been proposed. The predicted results closely match the numerical results, with a maximum APE of 13.24%, a MAPE of 6.32%, and 76% of the theoretical solutions falling within the error line of ±10%. The suspended frazil ice amount is positively correlated with the frazil ice generation rate and water depth while negatively correlated with the rise velocity of frazil ice, exhibiting minimal influence from the water flow velocity.
- (3)
- Prediction formulae for the evolution of total ice amount and floating ice amount in water conveyance channels have been proposed. The maximum NMAE for the total ice amount predicted results is 9.931%, and the maximum NMSE is 9.546%. The floating ice amount increases linearly along the channel, with a maximum APE of 7.80% between the predicted and numerical results for the increase in floating ice and an average MAPE of 2.89%. The increase in floating ice is positively correlated with the frazil ice generation rate and water depth while negatively correlated with the water flow velocity.
Author Contributions
Funding
Data Availability Statement
Acknowledgments
Conflicts of Interest
References
- Hicks, F. An overview of river ice problems: CRIPE07 guest editorial. Cold Reg. Sci. Technol. 2009, 55, 175–185. [Google Scholar] [CrossRef]
- Beltaos, S.; Prowse, T.D.; Carter, T. Ice regime of the lower Peace River and ice-jam flooding of the Peace-Athabasca Delta. Hydrol. Process. 2006, 20, 4009–4029. [Google Scholar] [CrossRef]
- Makkonen, L.; Tikanmäki, M. Modelling frazil and anchor ice on submerged objects. Cold Reg. Sci. Technol. 2018, 151, 64–74. [Google Scholar] [CrossRef]
- Schaefer, V.J. The formation of frazil and anchor ice in cold water. Eos Trans. Am. Geophys. Union 1950, 31, 885–893. [Google Scholar] [CrossRef]
- Hanley, T.; Michel, B. Temperature patterns during the formation of border ice and frazil in a laboratory tank. In Proceedings of the 3rd International Symposium on Ice Problems, Hanover, NH, USA, 18–21 August 1975; pp. 18–21. [Google Scholar]
- Hanley, T.O.D.; Michel, B. Laboratory formation of border ice and frazil slush. Can. J. Civ. Eng. 1977, 4, 153–160. [Google Scholar] [CrossRef]
- Clark, S.; Doering, J. Laboratory Experiments on Frazil-Size Characteristics in a Counterrotating Flume. J. Hydraul. Eng. 2006, 132, 94–101. [Google Scholar] [CrossRef]
- Clark, S.; Doering, J. Experimental investigation of the effects of turbulence intensity on frazil ice characteristics. Can. J. Civ. Eng. 2008, 35, 67–79. [Google Scholar] [CrossRef]
- Chen, Y.; Lian, J.; Zhao, X.; Guo, Q.; Yang, D. Advances in Frazil Ice Evolution Mechanisms and Numerical Modelling in Rivers and Channels in Cold Regions. Water 2023, 15, 2582. [Google Scholar] [CrossRef]
- Ghobrial, T.R.; Loewen, M.R.; Hicks, F.E. Characterizing suspended frazil ice in rivers using upward looking sonars. Cold Reg. Sci. Technol. 2013, 86, 113–126. [Google Scholar] [CrossRef]
- Mcfarlane, V.; Loewen, M.; Hicks, F. Measurements of the size distribution of frazil ice particles in three Alberta rivers. Cold Reg. Sci. Technol. 2017, 142, 100–117. [Google Scholar] [CrossRef]
- Mcfarlane, V.; Loewen, M.; Hicks, F. Field measurements of suspended frazil ice. Part II: Observations and analyses of frazil ice properties during the principal and residual supercooling phases. Cold Reg. Sci. Technol. 2019, 165, 102796. [Google Scholar] [CrossRef]
- Wuebben, J.L. The rise pattern and velocity of frazil ice. In Proceedings of the Third Workshop on the Hydraulics of Ice Covered Rivers, Session F, Fredericton, NB, Canada, June 1984; pp. 297–316. [Google Scholar]
- Svensson, U.; Omstedt, A. Simulation of supercooling and size distribution in frazil ice dynamics. Cold Reg. Sci. Technol. 1994, 22, 221–233. [Google Scholar] [CrossRef]
- Shen, H.T.; Wang De, S. Under Cover Transport and Accumulation of Frazil Granules. J. Hydraul. Eng. 1995, 121, 184–195. [Google Scholar] [CrossRef]
- Mcfarlane, V.; Loewen, M.; Hicks, F. Laboratory measurements of the rise velocity of frazil ice particles. Cold Reg. Sci. Technol. 2014, 106–107, 120–130. [Google Scholar] [CrossRef]
- Gosink, J.P.; Osterkamp, T.E. Measurements and Analyses of Velocity Profiles and Frazil Ice-Crystal Rise Velocities During Periods of Frazil-Ice Formation in Rivers. Ann. Glaciol. 1983, 4, 79–84. [Google Scholar] [CrossRef]
- Hammar, L.; Shen, H.T. Frazil evolution in channels. J. Hydraul. Res. 1995, 33, 291–306. [Google Scholar] [CrossRef]
- Wang, S.M.; Doering, J.C. Numerical Simulation of Supercooling Process and Frazil Ice Evolution. J. Hydraul. Eng. 2005, 131, 889–897. [Google Scholar] [CrossRef]
- Wang, S.M.; Doering, J.C. Development of a mathematical model of frazil ice evolution based on laboratory tests using a counter-rotating flume. Can. J. Civ. Eng. 2007, 34, 210–218. [Google Scholar] [CrossRef]
- Abba, A.; Olla, P.; Valdettaro, L. Numerical analysis of frazil ice formation in turbulent convection. In Proceedings of the Progress in Turbulence VI: Proceedings of the iTi Conference on Turbulence 2014, Bertinoro, Italy, 21–25 October 2014; Springer: Cham, Switzerland, 2016; pp. 299–303. [Google Scholar]
- Blackburn, J.; She, Y. A comprehensive public-domain river ice process model and its application to a complex natural river. Cold Reg. Sci. Technol. 2019, 163, 44–58. [Google Scholar] [CrossRef]
- Liou, C.P.; Ferrick, M.G. A model for vertical frazil distribution. Water Resour. Res. 1992, 28, 1329–1337. [Google Scholar] [CrossRef]
- Wang, J.; Li, Q.-G.; Sui, J.-Y. Floating Rate of Frazil ICE Particles in Flowing Water in Bend Channels—A Three-Dimensional Numerical Analysis. J. Hydrodyn. 2010, 22, 19–28. [Google Scholar] [CrossRef]
- Robb, D.M.; Gaskin, S.J.; Marongiu, J.C. SPH-DEM model for free-surface flows containing solids applied to river ice jams. J. Hydraul. Res. 2016, 54, 27–40. [Google Scholar] [CrossRef]
- Amaro Junior, R.; Mellado, A.; Shakibaeinia, A.; Cheng, L.Y. A fully Lagrangian mesh-free numerical model for river ice dynamic. In Proceedings of the 20th Workshop on the Hydraulics of Ice Covered Rivers (CRIPE), Ottawa, ON, Canada, 14–16 May 2019. [Google Scholar]
- Ma, H.; Zhou, L.; Liu, Z.; Chen, M.; Xia, X.; Zhao, Y. A review of recent development for the CFD-DEM investigations of non-spherical particles. Powder Technol. 2022, 412, 117972. [Google Scholar] [CrossRef]
- Cundall, P.A.; Strack, O.D.L. A discrete numerical model for granular assemblies. Géotechnique 1979, 29, 47–65. [Google Scholar] [CrossRef]
- Hertz, H. On the Contact of Elastic Solids. Crelle’s J. 1882, 92, 156–171. [Google Scholar] [CrossRef]
- Mindlin, R.D.; Deresiewicz, H. Elastic Spheres in Contact Under Varying Oblique Forces. J. Appl. Mech. 1953, 20, 327–344. [Google Scholar] [CrossRef]
- Johnson, K.L.; Kendall, K.; Roberts, A.D. Surface energy and the contact of elastic solids. Proc. R. Soc. Lond. A Math. Phys. Sci. 1971, 324, 301–313. [Google Scholar]
- Li, L.; Wang, J.; Feng, L.; Gu, X. Computational fluid dynamics simulation of hydrodynamics in an uncovered unbaffled tank agitated by pitched blade turbines. Korean J. Chem. Eng. 2017, 34, 2811–2822. [Google Scholar] [CrossRef]
- Anderson, T.B.; Jackson, R. Fluid Mechanical Description of Fluidized Beds. Equations of Motion. Ind. Eng. Chem. Fundam. 1967, 6, 527–539. [Google Scholar] [CrossRef]
- Kloss, C.; Goniva, C.; Hager, A.; Amberger, S.; Pirker, S. Models, algorithms and validation for opensource DEM and CFD–DEM. Prog. Comput. Fluid Dyn. Int. J. 2012, 12, 140–152. [Google Scholar] [CrossRef]
- Zhao, J.; Shan, T. Coupled CFD–DEM simulation of fluid–particle interaction in geomechanics. Powder Technol. 2013, 239, 248–258. [Google Scholar] [CrossRef]
- Jing, L.; Kwok, C.Y.; Leung, Y.F.; Sobral, Y.D. Extended CFD–DEM for free-surface flow with multi-size granules. Int. J. Numer. Anal. Methods Geomech. 2015, 40, 62–79. [Google Scholar] [CrossRef]
- Zhu, H.P.; Zhou, Z.Y.; Yang, R.Y.; Yu, A.B. Discrete particle simulation of particulate systems: Theoretical developments. Chem. Eng. Sci. 2007, 62, 3378–3396. [Google Scholar] [CrossRef]
- Mei, R. An approximate expression for the shear lift force on a spherical particle at finite reynolds number. Int. J. Multiph. Flow 1992, 18, 145–147. [Google Scholar] [CrossRef]
- Saffman, P.G. The lift on a small sphere in a slow shear flow. J. Fluid Mech. 1965, 22, 385–400. [Google Scholar] [CrossRef]
- Shi, P.; Rzehak, R. Lift forces on solid spherical particles in unbounded flows. Chem. Eng. Sci. 2019, 208, 115145. [Google Scholar] [CrossRef]
- Ashton, G.D. River and Lake Ice Engineering; Water Resources Publications: Littleton, CO, USA, 1986. [Google Scholar]
- Shen, H.T.; Chiang, L.A. Simulation of Growth and Decay of River Ice Cover. J. Hydraul. Eng. 1984, 110, 958–971. [Google Scholar] [CrossRef]
- Ashton, G.D. Deterioration of Floating Ice Covers. J. Energy Resour. Technol. 1985, 107, 177–182. [Google Scholar] [CrossRef]
- Dugdale, S.J.; Hannah, D.M.; Malcolm, I.A. River temperature modelling: A review of process-based approaches and future directions. Earth-Sci. Rev. 2017, 175, 97–113. [Google Scholar] [CrossRef]
- Shen, H.T. Surface heat loss and frazil ice production in the St. Lawrence river. J. Am. Water Resour. Assoc. 1980, 16, 996–1001. [Google Scholar] [CrossRef]













| NO. | Forces | Equation |
|---|---|---|
| 1 | Drag force | |
| 2 | Buoyancy force [35] | |
| 3 | Pressure gradient force [37] | |
| 4 | Viscous stress force [37] | |
| 5 | Saffman lift force [38,39] | |
| 6 | Magnus lift force [40] |
| Parameters | Value | Parameters | Value |
|---|---|---|---|
| Particle diameter, d (m) | 0.01 | (kg/m3) | 1000 |
| (kg/m3) | 917 | (Pa∙s) | 0.001 |
| (MPa) | Particle Young’s modulus, E (MPa) | ||
| 0.2 | Gravitational acceleration, g (m/s2) | 9.81 | |
| (s) | (s) | ||
| Coefficient of static friction (particle to particle) | 0.42 | Coefficient of static friction (particle to channel bed) | 0.41 |
| Coefficient of rolling friction (particle to particle) | 0.04 | Coefficient of rolling friction (particle to channel bed) | 0.04 |
| Surface energy (particle to particle) | 15.60 | Surface energy (particle to channel bed) | 1.00 |
| No. | Frazil Ice Generation Rate Vf [mm3/(m2·s)] | (m/s) | Water Depth H (m) |
|---|---|---|---|
| 1 | 260 | 0.50 | 3.00 |
| 2 | 520 | 0.60 | 4.00 |
| 3 | 780 | 0.70 | 5.00 |
| 4 | 1050 | 0.80 | 6.00 |
| 5 | 1310 | 0.90 | 7.00 |
| Group | Factors | ||
|---|---|---|---|
| Static Friction Coefficient A | Rolling Friction Coefficient B | Surface Energy C (J/m2) | |
| Particle to particle | 0.2 | 0.01 | 8 |
| 0.3 | 0.02 | 12 | |
| 0.4 | 0.03 | 16 | |
| 0.5 | 0.04 | 20 | |
| Particle to channel bed | 0.2 | 0.02 | 0 |
| 0.3 | 0.03 | 4 | |
| 0.4 | 0.04 | 8 | |
| 0.5 | 0.05 | 12 | |
| 0.6 | 0.06 | 16 | |
| Group | Factors | ||
|---|---|---|---|
| Static Friction Coefficient A | Rolling Friction Coefficient B | Surface Energy C (J/m2) | |
| Particle to particle | 0.42 | 0.04 | 15.60 |
| Particle to channel bed | 0.41 | 0.04 | 1.00 |
| Group | Type | Static Friction Coefficient | Rolling Friction Coefficient | Surface Energy C (J/m2) | Static Repose Angle (°) | Sliding Angle (°) |
|---|---|---|---|---|---|---|
| 1 | particle to particle | 0.052 | 0.010 | 4.061 | 15.15 | — |
| particle to channel bed | 0.271 | 0.043 | 5.568 | — | 9.75 | |
| 2 | particle to particle | 0.420 | 0.040 | 15.600 | 30.21 | — |
| particle to channel bed | 0.410 | 0.040 | 1.000 | — | 19.44 | |
| 3 | particle to particle | 0.210 | 0.038 | 27.960 | 45.45 | — |
| particle to channel bed | 0.545 | 0.040 | 2.088 | — | 29.25 |
Disclaimer/Publisher’s Note: The statements, opinions and data contained in all publications are solely those of the individual author(s) and contributor(s) and not of MDPI and/or the editor(s). MDPI and/or the editor(s) disclaim responsibility for any injury to people or property resulting from any ideas, methods, instructions or products referred to in the content. |
© 2024 by the authors. Licensee MDPI, Basel, Switzerland. This article is an open access article distributed under the terms and conditions of the Creative Commons Attribution (CC BY) license (https://creativecommons.org/licenses/by/4.0/).
Share and Cite
Liu, F.; Li, H.; Zhao, X.; Chen, Y. Study on the Spatiotemporal Evolution Pattern of Frazil Ice Based on CFD-DEM Coupled Method. Water 2024, 16, 3367. https://doi.org/10.3390/w16233367
Liu F, Li H, Zhao X, Chen Y. Study on the Spatiotemporal Evolution Pattern of Frazil Ice Based on CFD-DEM Coupled Method. Water. 2024; 16(23):3367. https://doi.org/10.3390/w16233367
Chicago/Turabian StyleLiu, Fang, Hongyi Li, Xin Zhao, and Yunfei Chen. 2024. "Study on the Spatiotemporal Evolution Pattern of Frazil Ice Based on CFD-DEM Coupled Method" Water 16, no. 23: 3367. https://doi.org/10.3390/w16233367
APA StyleLiu, F., Li, H., Zhao, X., & Chen, Y. (2024). Study on the Spatiotemporal Evolution Pattern of Frazil Ice Based on CFD-DEM Coupled Method. Water, 16(23), 3367. https://doi.org/10.3390/w16233367

