Next Article in Journal
Centrifuge Modelling of Composite Bucket Foundation Breakwater in Clay under Monotonic and Cyclic Loads
Previous Article in Journal
Sample Augmentation Method for Side-Scan Sonar Underwater Target Images Based on CBL-sinGAN
 
 
Font Type:
Arial Georgia Verdana
Font Size:
Aa Aa Aa
Line Spacing:
Column Width:
Background:
Article

Time Domain Vibration Analysis of an Ice Shelf

by
Rehab Aljabri
1,2 and
Michael H. Meylan
1,*
1
School of Information and Physical Sciences, The University of Newcastle, Callaghan, NSW 2308, Australia
2
Department of Mathematics, Faculty of Science, University of Hafr Al Batin, Hafar Al Batin 31991, Saudi Arabia
*
Author to whom correspondence should be addressed.
J. Mar. Sci. Eng. 2024, 12(3), 468; https://doi.org/10.3390/jmse12030468
Submission received: 7 February 2024 / Revised: 1 March 2024 / Accepted: 6 March 2024 / Published: 8 March 2024
(This article belongs to the Section Physical Oceanography)

Abstract

A method is presented to calculate the vibrations of an ice shelf floating in shallow water under different boundary conditions. One condition is that there is no flux, which reduces all calculations and the other is that there is no pressure at the seaward end of the ice shelf. The effect of these boundary conditions is investigated in detail, and the modes of vibration are also determined. Motion simulations of the system are presented for the potential velocity of the water and the vertical displacement of the ice shelf. These are found through a numerical method, which reduces all calculations to matrix multiplication. The underlying motion is shown to be very complex and difficult to interpret from single-point response measurements. The motion of more realistic ice shelves can be expected to be even more complicated.

1. Introduction

Ice shelves are floating sheets of ice permanently attached to an ice sheet or glaciers. They can exist along the Antarctic coastline and in Arctic regions, covering an area greater than 1.561 million km 2 and occupying 75 % of the Antarctic coastline [1]. Various climate projections indicate the rapid melting of ice shelves around Antarctica, and there is evidence that the melting of Antarctic ice shelves has increased dramatically in recent years [1,2]. The collapse of the West Antarctic ice sheet alone could result in a global rise in sea level of up to 3 m [3]. Observation using a satellite radar altimeter for 18 years has shown that losses in the West Antarctic increased by approximately 70 % in the past decade [4]. Strong evidence suggests that ocean waves contribute to the calving process of the ice shelf [5,6,7,8]. Seismic instruments have measured the impact of ocean swells on the Ross Ice Shelf in Antarctica, which causes it to vibrate [2,9,10,11]. Furthermore, a tsunami in the Northern Hemisphere has been linked to an Antarctic ice shelf that calved more than 13,000 km away [12]. Improving our understanding of the interactions between ice shelves and the ocean is essential to predict the effects of climate change on coastlines and develop strategies to mitigate them. Studies conducted by Macayeal [13] and Sergienko [14] have revealed that ocean waves can cause significant ice shelf bending, stretching, and compression. Scambos [15] used theory and data to demonstrate that a better understanding of the interactions between ice shelves and waves can help predict the reaction of an ice shelf to a changing environment more accurately.
The most straightforward way to look at an ice shelf is to assume that it is floating on the surface of the sea and oscillating with the same amplitude and period of the incoming waves. The vibration of the ice shelf was first mathematically studied by [16], who proposed that the ice vibrates due to the ocean swell and that this causes the icebergs to calve from the ice shelves. The standard mathematical model of ice shelves is that of a beam or plate floating on an incompressible fluid. This method is used to find stresses and deflections and is based on the early work of Holdsworth and Glenn and Reeh [16,17]. Many subsequent investigations of this vibration have been conducted, and these may be broadly categorized as solving for the modes of vibration or for the wave-induced response. The solution for vibration modes was found in [18,19], assuming a simplified model, and for more complicated cases, by using the finite element method [20,21]. The solution to wave incident forcing was found using the finite element method [22,23,24]. A discussion of the underlying mathematical theory can be found in [25], as well as a numerical solution. More complex cases involving defects in the ice shelf are considered in [26]. Recently, the simplified model for the change in depth was investigated, and simulations were performed in the time domain [27]. We note that the emphasis here is on the time-dependent results, but our methods use the frequency domain results. These frequency domain results could be used to obtain information about the response.
In this paper, we will present the modal vibration of an ice shelf floating, assuming shallow-water approximation. We investigate two boundary conditions at the seaward end, which correspond to no flux and no pressure, which were discussed in detail in [28]. We investigate, in detail, the effect of these boundary conditions and also determine the modes of vibration. We use these modes to simulate the time-dependent motion of the ice shelf. The assumptions underlying our ice shelf model are strong, but this is the first step to simulating ice shelf dynamics in the time domain.

2. Mathematical Model

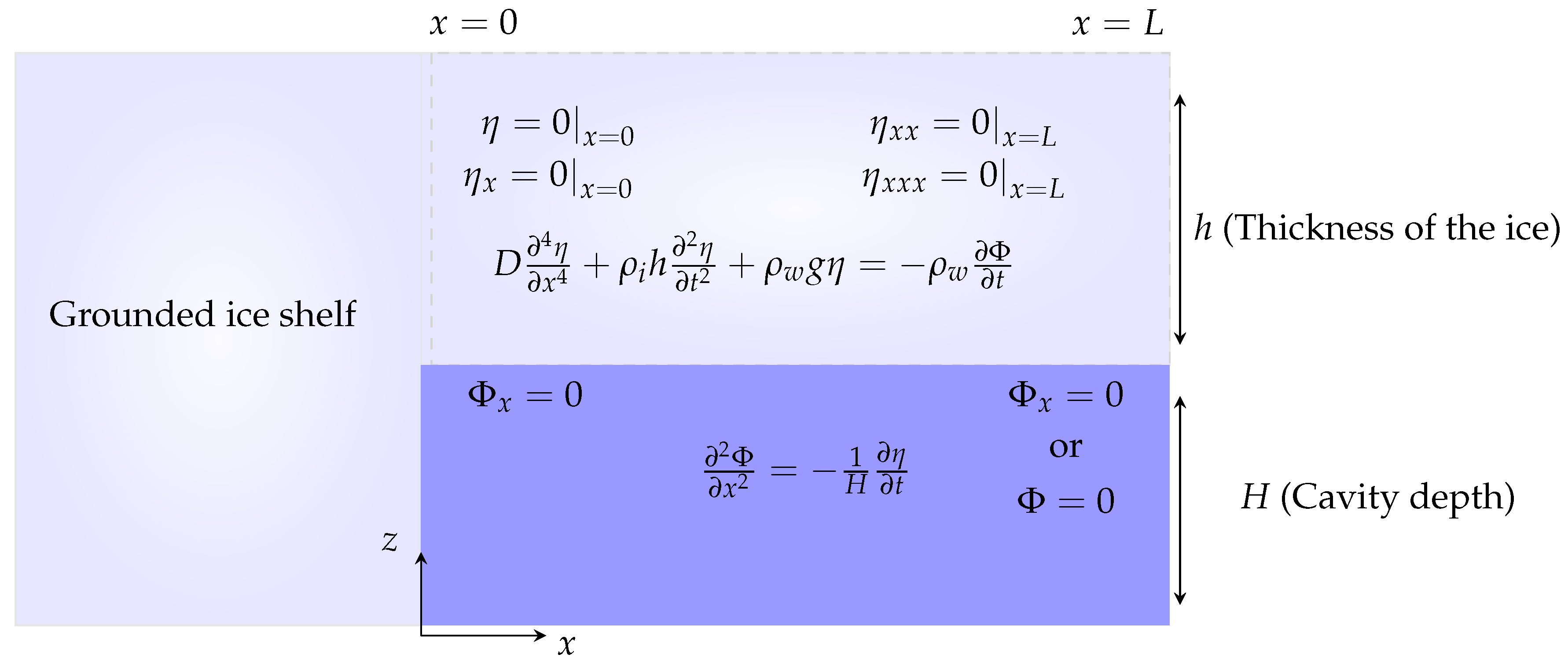
We begin with the model for the vibration of an ice shelf. We follow the work of [18,19] and assume that we can use the shallow water assumption. This assumption is highly dependent on the frequencies of motion. For ice shelves, the modes of vibration are long periods, and this assumption becomes applicable. We note that it is less applicable to a model of wave forcing, especially for swell waves for which the period, at least compared to the periods of vibration of an ice shelf, is small.
We assume that the ice shelf is free at the open water end and clamped at the landward end, again following the work in [18,19]. The ice shelf is supposed to be of length L, and the shelf and water remain in contact at all points, x [ 0 , L ] , where x is the horizontal co-ordinate. x = 0 is the landward end, and x = L is the seaward end.
We assume that the motion of the fluid can be described by a potential function, Φ , that satisfies the linear shallow water equation [29]:
2 Φ x 2 = 1 H η t .
where H is the uniform depth of water below the ice shelf, and η is the displacement of the ice shelf. The standard assumption [18,19] is that there are no-flux conditions at the ends of the cavity, which means that
Φ x = 0 , at x = 0 , L .
In what follows, we will also consider what may be a more realistic assumption that the pressure at the seaward end is zero, following the work in [28], that is,
Φ x = 0 , at x = 0 , Φ = 0 , at x = L .
The thin plate approximation is used to model the displacement and flexure of the ice shelf:
D 4 η x 4 + ρ i h 2 η t 2 + ρ w g η = ρ w Φ t ,
where g is the acceleration of gravity g 9.81 ms 2 ; the length of the ice shelf here is L = 40 km, the density of the ice is ρ i = 917 kg m 3 , the density of the water is ρ w = 1024 kg m 3 , and D = E h 3 12 ( 1 ν 2 ) is the flexural rigidity of the shelf, where E = 11 GPa is its effective Young’s modulus and ν 0.33 its Poisson’s ratio. The boundary conditions for the vertical displacement η are given as
η = 0 , and η x = 0 , at x = 0 , 2 η x 2 = 0 , and 3 η x 3 = 0 , at x = L .
The conditions when x = 0 at the landward end represent no deflection and no slope, and when x = L at the seaward end, the bending moment and shear force will vanish. The equations and a schematic are shown in Figure 1.
The variable η can be eliminated by taking the derivative with respect to t in Equation (4) and substituting Equation (1) to obtain an equation containing only Φ :
D H 6 Φ x 6 + ρ i h H 4 Φ t 2 x 2 + ρ w g H 2 Φ x 2 ρ w 2 Φ t 2 = 0 .
Non-dimensional variables are now introduced following the work in [19,30]
x ^ = x L c , t ^ = t t c ,
where
L c = D ρ w g 4 , t c = ρ w L c 6 D H .
For clarity, the hats will be dropped from now on.
In the nondimensional variables, Equation (6) becomes
6 Φ x 6 + M 4 Φ t 2 x 2 + 2 Φ x 2 2 Φ t 2 = 0 .
Equation (9) depends on the single nondimensional parameter
M = ρ i h H ρ w L c 2 .
Note that, for most practical cases, M 1 . The derivation of M is discussed in detail in [19,30]. If we assume M, we have a nondimensional equation that is independent of any parameters, i.e., it would apply to any ice shelf (obviously, under our assumptions).
Our goal is to find the modes of vibration and use these to simulate the motion of the ice shelf. We begin by determining the time-harmonic solution of Equation (9), expressed as follows:
Φ ( x , t ) = Re { X ( x ) e i ω t } .
Therefore, Equation (9) can be reduced to one involving X ( x ) only:
6 X x 6 + ( 1 M ω 2 ) 2 X x 2 + ω 2 X = 0 ,
Thus, the general solution has the form of
X ( x ) = m = 1 6 c m e k m x ,
where k m ( m = 1 , , 6 ) are the roots of k of the characteristic polynomial:
k 6 + ( 1 M ω 2 ) k 2 + ω 2 = 0 .
We now have a typical eigenvalue problem to solve, in which we have six unknowns and six homogeneous boundary conditions, and we must find the values of ω for which there are nontrivial solutions. The conditions are as follows:
X x = 0 , 2 X x 2 = 0 and 3 X x 3 = 0 at x = 0 ,
4 X x 4 = 0 and 5 X x 5 = 0 at x = L .
and either
X x = 0 , x = L ,
for the no-flux or
X = 0 , x = L ,
for the no-pressure condition. The no-flux condition assumes that the fluid cannot flow out from the seaward end of the ice shelf. The no-pressure condition assumes that the fluid can flow out but that the pressure remains constant.

3. No-Flux Solution

We begin with the no–flux condition. Enforcing the boundary conditions (14), (15), and (16) at the ends of the ice shelf leads to the system of six linear equations A ( ω ) c = 0 :
k 1 k 2 k 3 k 4 k 5 k 6 k 1 2 k 2 2 k 3 2 k 4 2 k 5 2 k 6 2 k 1 3 k 2 3 k 3 3 k 4 3 k 5 3 k 6 3 k 1 e k 1 L k 2 e k 2 L k 3 e k 3 L k 4 e k 4 L k 5 e k 5 L k 6 e k 6 L k 1 4 e k 1 L k 2 4 e k 2 L k 3 4 e k 3 L k 4 4 e k 4 L k 5 4 e k 5 L k 6 4 e k 6 L k 1 5 e k 1 L k 2 5 e k 2 L k 3 5 e k 3 L k 4 5 e k 4 L k 5 5 e k 5 L k 6 5 e k 6 L A c 1 c 2 c 3 c 4 c 5 c 6 c = 0
Here, in order to avoid the trivial solution, we require the value of ω to be chosen so that A ( ω ) is singular. We solve numerically using the minimum of the absolute value of the eigenvalues of A , min | ( eig ( A ) ) | , and searching for the values of ω that make this function zero. Once we locate the angular frequency ω n for which A ( ω n ) is singular, we find the coefficients c m ( m = 1 , , 6 ) from the eigenvector associated with the zero eigenvalue.
In the numerical examples that follow, we choose the length of the ice shelf to be L = 40 km, the thickness of the ice is h = 300 m, and the depth of the cavity is H = 100 m following the work in [19]. This leads to a value of M = 0.0162 and a nondimensional length of L ¯ = 31.0199 . Figure 2 shows the function min | ( eig ( A ) ) | , with the zeros clearly visible. Table 1 shows the nondimensional angular frequencies ω n and the dimensional periods T n . These values match those previously found in [19]. We also investigate the significance of the term M. When M = 0.0162 , the longest period occurs when T 1 = 0.67697 h with ω 1 = 0.10614 . Furthermore, the longest period when M = 0 occurs at T 1 = 0.67691 h with ω 1 = 0.10615 . As the mode number increases, the periods for M = 0.0162 and M = 0 decrease significantly while the angular frequencies increase. We can only see a slight difference between M = 0.0162 and M = 0 for the lowest frequencies. The effect of non-zero M increases with frequency as expected due to the ω 2 term in Equation (13).
The associated mode shape for the potential is given from the zero eigenvector c as
X n ( x ) = m = 1 6 c m e k m x .
Figure 3 shows the first five mode shapes of X n ( x ) . For the vertical displacement, the time-harmonic solution is given as
η ( x , t ) = R e { V ( x ) e i ω t } .
To find the mode shape in displacement, we use Equation (1) to construct the vertical displacement of the potential velocity. We have
η = H i ω Φ x x .
So, the mode shape equation for the vertical displacement is given as
V n ( x ) = H i ω n m = 1 6 c m k m 2 e k m x .
Figure 3 shows the shapes of the first five modes of X n ( x ) and V n ( x ) in nondimensional units. We believe that these eigenvectors belong to a generalization of Sturm-Liouville theory, and they can be seen to share many properties. In particular, the number of nodes increases by one each time the mode number increases.

4. No-Pressure Solution

Here, we apply the no-pressure condition at the free end, whereas the clamped end still has the no-flux condition, similar to the work in [28]. Note that although this boundary condition was not considered by [18,19], the results of [28] indicate that it more closely matches the open water boundary. Enforcing the boundary conditions (14), (15), and (17) at the ends of the ice shelf leads to the system of six linear equations A ( ω ) c = 0 as follows:
k 1 k 2 k 3 k 4 k 5 k 6 k 1 2 k 2 2 k 3 2 k 4 2 k 5 2 k 6 2 k 1 3 k 2 3 k 3 3 k 4 3 k 5 3 k 6 3 e k 1 L e k 2 L e k 3 L e k 4 L e k 5 L e k 6 L k 1 4 e k 1 L k 2 4 e k 2 L k 3 4 e k 3 L k 4 4 e k 4 L k 5 4 e k 5 L k 6 4 e k 6 L k 1 5 e k 1 L k 2 5 e k 2 L k 3 5 e k 3 L k 4 5 e k 4 L k 5 5 e k 5 L k 6 5 e k 6 L A c 1 c 2 c 3 c 4 c 5 c 6 c = 0 .
As was the case before, we require A to be singular to avoid the trivial solution. We find the coefficients c m ( m = 1 , , 6 ) from the corresponding zero eigenvector. Figure 4 shows, again, how we search for the critical values of ω , as we did previously.
Table 2 shows the dimensional periods, T n , associated with nondimensional angular frequencies, ω n , for the same case considered in Table 1, except for the no-pressure case. When comparing Table 1 and Table 2, we see that the periods are significantly lower for the no-pressure case compared to the no-flux case. This is further shown in Figure 5 and Figure 6, which compare the 20 longest periods for the two cases. We can see that the periods and frequencies seem to lie between each other.
Figure 7 shows the first five mode shapes of X n ( x ) and V n ( x ) for the no-pressure case. Note that they are calculated using Equations (19) and (22), as before.

Missing Mode for the No-Flux Case

We can see from Figure 7 that the lowest mode for the no-pressure case has no nodes. In contrast, the lowest mode for the no-flux case (Figure 3) has one node. This indicates that there is a missing mode for the no-flux case. This missing mode is the nontrivial solution for ω 0 = 0 , with the corresponding mode X 0 = 1 .

5. Simulating Ice Shelf Vibrations

The main aim of the present work is to use the modes to simulate vibration in the time domain. The potential, Φ ( x , t ) , is expanded in terms of the modes as
Φ ( x , t ) = n = 0 or 1 b n X n ( x ) cos ( ω n t ) + n = 1 d n ω n X n ( x ) sin ( ω n t ) ,
where b n depends on the initial value of Φ at time t = 0 , and d n depends on the initial time derivative of Φ . Note that for the case of no-flux, the sum of the first term begins at zero.
For the vertical displacement, the general solution is given as
η ( x , t ) = n = 1 G n V n ( x ) cos ( ω n t ) + n = 1 S n ω n V n ( x ) sin ( ω n t ) ,
where G n depends on the initial position at time t = 0 , and S n depends on the initial velocity.
Note that the sum begins at one for the displacement in both cases. This means that the initial value of the displacement is restricted. Equation (1) must be satisfied so that
0 L 1 H η t d x = 0 L 2 Φ x 2 d x = ( Φ x ( L ) ) ( Φ x ( 0 ) ) .
Thus, in the case of the no-flux condition, the right-hand side of Equation (26) will vanish. Since this equation applies to each mode, it follows that
0 L V n ( x ) d x = 0 .
Note that this is not the case for the no-pressure condition. This issue is linked to the ω 0 = 0 solution for the potential in the no-flux case. The associated mode, V 0 = 0 , cannot be used in the calculation. There is a physical explanation for this: the total fluid under the ice shelf must be conserved (since it is incompressible and cannot flow out) under the no-flux condition. Therefore, when choosing the initial value for displacement for the no-flux conditions, η must satisfy the condition
0 L η ( x , 0 ) d x = 0 .
In the case of no pressure, there is no such restriction. A similar argument shows that the initial condition for the time-derivative of pressure under the ice shelf must also satisfy a similar condition, as does the time-derivative of displacement for the no-flux case. This point was mentioned in [20] in the context of very large floating structures in an enclosed basin.

Find the Coefficient in the Expansion

Consider the case where we want to determine b n so that Equation (24) satisfies the initial conditions Φ ( x , 0 ) = f ( x ) and Φ t ( x , 0 ) = 0 . This implies that
n = 0 b n X n = f ( x ) .
By multiplying both sides of Equation (29) by X m and then integrating the result, we obtain
0 L f ( x ) X m d x = n = 0 b n 0 L X n X m d x .
We note here that the modes X n are not orthogonal with respect to the standard inner product. It may be possible to find a function space in which they are orthogonal, but we were not able to do this. For this reason, we use a numerical method. We approximate the integrals by numerical quadrature as
i = 1 N f ( x i ) X m ( x i ) w i = n = 0 b n i = 1 N X n ( x i ) X m ( x i ) w i ,
where x i are N-evenly spaced points between 0 and L (note that more complex spacing could be used), and w i is the associated weight function for the quadrature (we use the trapezoidal rule). We then introduce the following matrix:
X = [ X m ( x n ) ]
and vectors f = [ f ( x n ) ] , w = [ w n ] , and b = [ b n ] . Then Equation (31) becomes
X diag ( w i ) X T b = X diag ( w i ) f ,
where diag means the diagonal matrix formed from the vector and the superscript T is the matrix transpose.
We can then write the solution for potential (Equation (24)) in the same discrete form (that is, at the points x i ) as
Φ ( x , t ) = X T diag [ cos ( ω n t ) ] b ,
which gives a very efficient method to calculate the time-dependent motion once the modes have been calculated.
The same method works when calculating the solution for a non-zero initial time derivative of the potential or for the displacement.

6. Results

We present simulations of the ice shelf motion in the time domain. These are best viewed in the movies provided in the Supplementary Materials. We begin by simulating the potential velocity, Φ . Figure 8 shows the simulation of the solution for Equation (24) when we apply the initial conditions Φ ( x , 0 ) = f ( x ) and Φ t ( x , 0 ) = 0 . We can see the case of no-flux (blue) and no-pressure (cyan), as well as the initial f ( x ) function (red). Here, we take a Gaussian function:
f ( x ) = exp ( ( x 15 ) 2 / 10 ) .
Figure 9 shows the simulation of the solution for Equation (24) when we apply the initial conditions Φ ( x , 0 ) = 0 and Φ t ( x , 0 ) = g ( x ) . Where
g ( x ) = exp ( ( x 17.5 ) 2 / 10 ) exp ( ( x 12.5 ) 2 / 10 ) .
It can be seen in Figure 8 and Figure 9 that the solution matches the boundary conditions for the case of no pressure (cyan).
On the other hand, Figure 10 shows the solution for Equation (25) when we apply the initial conditions η ( x , 0 ) = f ( x ) and η t ( x , 0 ) = 0 . The vertical displacement, η , for the case of no-flux (blue), the case of no-pressure (cyan), and the initial function f ( x ) (red) are shown. Note that f ( x ) was carefully chosen here to satisfy Equation (28):
f ( x ) = exp ( ( x 17.5 ) 2 / 10 ) exp ( ( x 12.5 ) 2 / 10 ) .
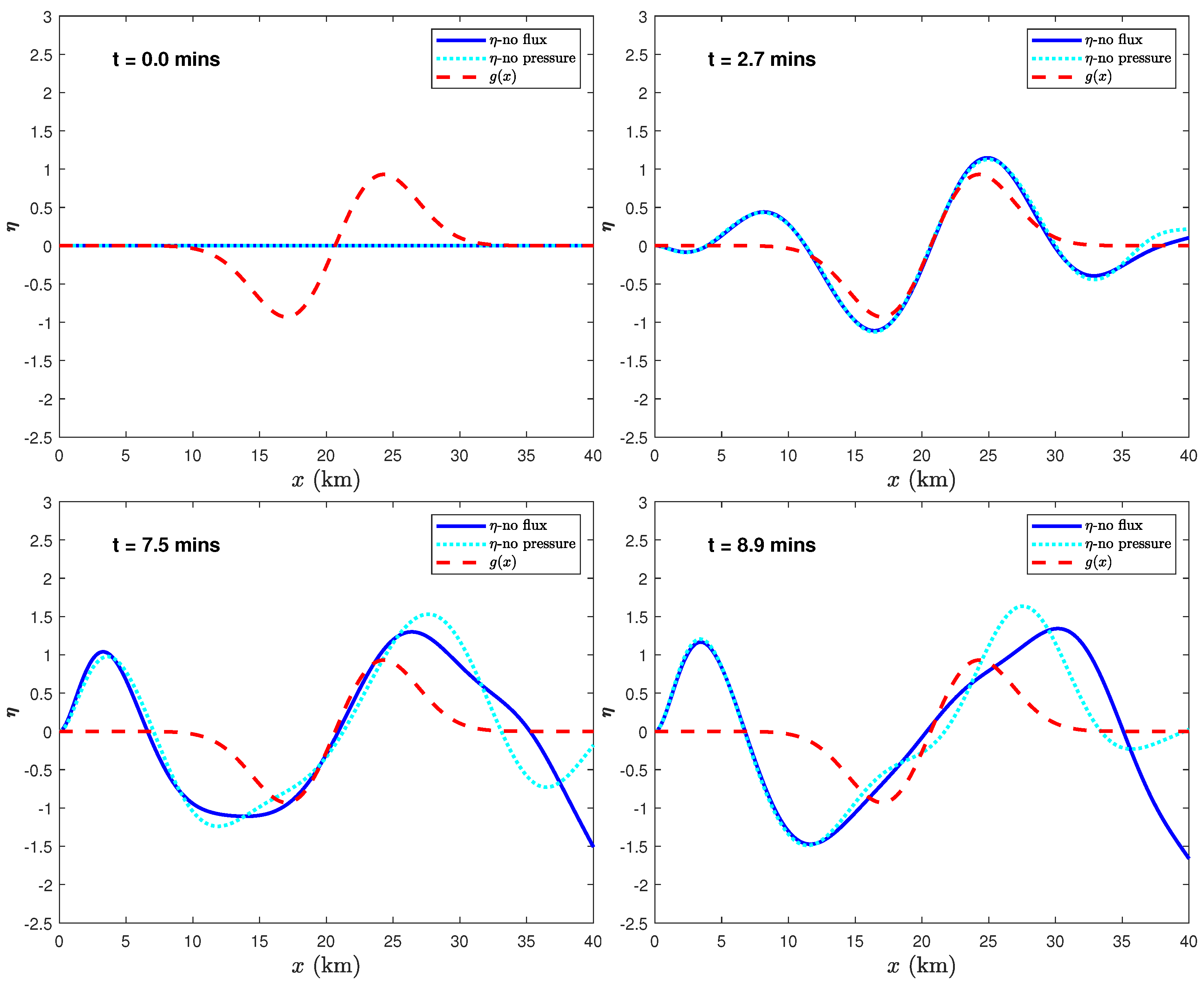
In addition, Figure 11 shows the solution for the vertical displacement when we apply the initial conditions η ( x , 0 ) = 0 and η t ( x , 0 ) = g ( x ) . Here, we take the difference of a Gaussian so that the integral of the function vanishes:
g ( x ) = exp ( ( x 17.5 ) 2 / 10 ) exp ( ( x 12.5 ) 2 / 10 ) .
We can see from Figure 10 and Figure 11 that the simulations of the solution match the boundary conditions (5).
The figures of motion and, more particularly, the accompanying animations of the ice shelf simulations show a complexity that appears to be similar to random processes but is actually based on deterministic principles. The sixth-order equations that model this motion introduce a great deal of complexity in the ice shelf dynamics. Moreover, in reality, our model is a simplified version of a real ice shelf, and we can anticipate it to display even more intricate motion. The intricate deterministic nature of the governing equations implies that a single measurement may not provide a thorough understanding of the wider dynamics. This has implications for the interpretation of point measurements of ice shelf motion.

7. Conclusions

We have explored the time-dependent oscillations of an ice shelf. The solution was constructed by expanding the motion in the mode shapes, which are the eigenfunctions of the system, each of which is associated with an eigenfrequency. In the literature, two energy-conserving boundary conditions have been considered: no-flux, which is more prominent, and no-pressure. The two solutions qualitatively give the same motion, although the no-flux condition can only be used to simulate initial conditions with an integral of zero. We presented time–domain simulations of the solutions for both no-flux and no-pressure cases. The corresponding motion is very complicated, and while deterministic, it has somewhat random or unpredictable behavior due to the sixth-order nature of the equations. This complex motion, arising here in a very idealized model, indicates that actual ice shelf motions will be extremely complex and difficult to interpret from single spatial point measurements of the response. Future work will look to extend this model to three dimensions and include the effect of cracks or other sources of non-uniformity.

Supplementary Materials

The following supporting information can be downloaded at: https://www.mdpi.com/article/10.3390/jmse12030468/s1, Movie S1 to Movie S4.

Author Contributions

Conceptualization, M.H.M. and R.A.; methodology, M.H.M. and R.A.; software, R.A.; validation, R.A.; writing—original draft preparation, R.A.; writing—review and editing, M.H.M.; visualization, R.A.; supervision, M.H.M. All authors have read and agreed to the published version of the manuscript.

Funding

This research received no external funding.

Data Availability Statement

Computer code used to create the figures is available from the authors by request.

Conflicts of Interest

The authors declare no conflicts of interest.

References

  1. Rignot, E.; Jacobs, S.; Mouginot, J.; Scheuchl, B. Ice-Shelf Melting Around Antarctica. Science 2013, 341, 266–270. [Google Scholar] [CrossRef]
  2. Cathles, L.M.; Okal, E.A.; MacAyeal, D.R. Seismic observations of sea swell on the floating Ross Ice Shelf and Antarctica. J. Geophys. Res. Earth Surf. 2009, 114, F02015. [Google Scholar] [CrossRef]
  3. DeConto, R.M.; Pollard, D. Contribution of Antarctica to past and future sea-level rise. Nature 2016, 531, 591–597. [Google Scholar] [CrossRef]
  4. Paolo, F.S.; Fricker, H.A.; Padman, L. Volume loss from Antarctic ice shelves is accelerating. Science 2015, 348, 327–331. [Google Scholar] [CrossRef]
  5. Kristensen, M. Iceberg calving and deterioration in Antarctica. Prog. Phys. Geogr. Earth Environ. 1983, 7, 313–328. [Google Scholar] [CrossRef]
  6. Scambos, T.A.; Bohlander, J.A.; Shuman, C.A.; Skvarca, P. Glacier acceleration and thinning after ice shelf collapse in the Larsen B embayment, Antarctica. Geophys. Res. Lett. 2004, 31, L18402. [Google Scholar] [CrossRef]
  7. Massom, R.A.; Scambos, T.A.; Bennetts, L.G.; Reid, P.; Squire, V.A.; Stammerjohn, S.E. Antarctic ice shelf disintegration triggered by sea ice loss and ocean swell. Nature 2018, 558, 383–389. [Google Scholar] [CrossRef]
  8. Bennetts, L.; Liang, J.; Pitt, J. Modeling Ocean Wave Transfer to Ross Ice Shelf Flexure. Geophys. Res. Lett. 2022, 49, e2022GL100868. [Google Scholar] [CrossRef]
  9. Bromirski, P.; Stephen, R. Response of the Ross Ice Shelf and Antarctica and to ocean gravity-wave forcing. Ann. Glaciol. 2012, 53, 163–172. [Google Scholar] [CrossRef]
  10. Bromirski, P.D.; Diez, A.; Gerstoft, P.; Stephen, R.A.; Bolmer, T.; Wiens, D.A.; Aster, R.C.; Nyblade, A. Ross ice shelf vibrations. Geophys. Res. Lett. 2015, 42, 7589–7597. [Google Scholar] [CrossRef]
  11. Bromirski, P.D.; Chen, Z.; Stephen, R.A.; Gerstoft, P.; Arcas, D.; Diez, A.; Aster, R.C.; Wiens, D.A.; Nyblade, A. Tsunami and infragravity waves impacting Antarctic ice shelves. J. Geophys. Res. Oceans 2017, 122, 5786–5801. [Google Scholar] [CrossRef]
  12. Brunt, K.M.; Okal, E.A.; MacAyeal, D.R. Antarctic ice-shelf calving triggered by the Honshu (Japan) earthquake and tsunami, March 2011. J. Glaciol. 2011, 57, 785–788. [Google Scholar] [CrossRef]
  13. MacAyeal, D.R.; Okal, E.A.; Aster, R.C.; Bassis, J.N.; Brunt, K.M.; Cathles, L.M.; Drucker, R.; Fricker, H.A.; Kim, Y.J.; Martin, S.; et al. Transoceanic wave propagation links iceberg calving margins of Antarctica with storms in tropics and Northern Hemisphere. Geophys. Res. Lett. 2006, 33, L17502. [Google Scholar] [CrossRef]
  14. Sergienko, O.V. Elastic response of floating glacier ice to impact of long-period ocean waves. J. Geophys. Res. Earth Surf. 2010, 115, F04028. [Google Scholar] [CrossRef]
  15. Scambos, T.; Fricker, H.A.; Liu, H.C.C.; Bohlander, J.; Fastook, J.; Sargent, A.; Massom, R.; Wu, A.M. Ice shelf disintegration by plate bending and hydro-fracture: Satellite observations and model results of the 2008 Wilkins ice shelf break-ups. Earth Planet. Sci. Lett. 2009, 280, 51–60. [Google Scholar] [CrossRef]
  16. Holdsworth, G.; Glynn, J. Iceberg calving from floating glaciers by a vibrating mechanism. Nature 1978, 274, 464–466. [Google Scholar] [CrossRef]
  17. Reeh, N. On The Calving of Ice From Floating Glaciers and Ice Shelves. J. Glaciol. 1968, 7, 215–232. [Google Scholar] [CrossRef]
  18. Sergienko, O.V. Normal modes of a coupled ice-shelf/sub-ice-shelf cavity system. J. Glaciol. 2013, 59, 76–80. [Google Scholar] [CrossRef]
  19. Meylan, M.; Bennetts, L.; Hosking, R.; Catt, E. On the calculation of normal modes of a coupled ice-shelf/sub-ice-shelf cavity system. J. Glaciol. 2017, 63, 751–754. [Google Scholar] [CrossRef]
  20. Papathanasiou, T.; Belibassakis, K. Resonances of enclosed shallow water basins with slender floating elastic bodies. J. Fluids Struct. 2018, 82, 538–558. [Google Scholar] [CrossRef]
  21. Papathanasiou, T.; Belibassakis, K. A nonconforming hydroelastic triangle for ice shelf modal analysis. J. Fluids Struct. 2019, 91, 102741. [Google Scholar] [CrossRef]
  22. Papathanasiou, T.K.; Karperaki, A.E.; Theotokoglou, E.E.; Belibassakis, K.A. Hydroelastic analysis of ice shelves under long wave excitation. Nat. Hazards Earth Syst. Sci. 2015, 15, 1851–1857. [Google Scholar] [CrossRef]
  23. Kalyanaraman, B.; Meylan, M.H.; Bennetts, L.G.; Lamichhane, B.P. A coupled fluid-elasticity model for the wave forcing of an ice-shelf. J. Fluids Struct. 2020, 97, 103074. [Google Scholar] [CrossRef]
  24. Meylan, M.H.; Ilyas, M.; Lamichhane, B.P.; Bennetts, L.G. Swell-induced flexural vibrations of a thickening ice shelf over a shoaling seabed. Proc. R. Soc. A 2021, 477, 20210173. [Google Scholar] [CrossRef]
  25. Bennetts, L.G.; Meylan, M.H. Complex resonant ice shelf vibrations. SIAM J. Appl. Math. 2021, 81, 1483–1502. [Google Scholar] [CrossRef]
  26. Konovalov, Y.V. Abatement of Ocean-Wave Impact by Crevasses in an Ice Shelf. J. Mar. Sci. Eng. 2021, 9, 46. [Google Scholar] [CrossRef]
  27. McNeil, S.; Meylan, M.H. Time-Dependent Modelling of the Wave-Induced Vibration of Ice Shelves. J. Mar. Sci. Eng. 2023, 11, 1191. [Google Scholar] [CrossRef]
  28. Papathanasiou, T.K.; Karperaki, A.E.; Belibassakis, K.A. On the resonant hydroelastic behaviour of ice shelves. Ocean. Model. 2019, 133, 11–26. [Google Scholar] [CrossRef]
  29. Stoker, J.J. Water Waves: The Mathematical Theory with Applications; Pure and Applied Mathematics; Interscience: New York, NY, USA, 1957; Volume 4. [Google Scholar]
  30. Fox, C. A Scaling Law for the Flexural Motion of Floating Ice. In IUTAM Symposium on Scaling Laws in Ice Mechanics and Ice Dynamics; Solid Mechanics and Its Applications; Springer: Dordrecht, The Netherland, 2001; pp. 135–148. [Google Scholar]
Figure 1. Schematic of the ice shelf and associated equations.
Figure 1. Schematic of the ice shelf and associated equations.
Jmse 12 00468 g001
Figure 2. Minimum absolute value of the eigenvalues of A as a function of the nondimensional angular frequency ω n for the no-flux case. The dimensional length of the ice shelf is 40 km, the thickness of the ice is h = 300 m, and the depth of the cavity is H = 100 m. In the nondimensional units, M = 0.0162 and L ¯ = 31.0199 . The kinks are a product of plotting the absolute value of the minimum eigenvalue.
Figure 2. Minimum absolute value of the eigenvalues of A as a function of the nondimensional angular frequency ω n for the no-flux case. The dimensional length of the ice shelf is 40 km, the thickness of the ice is h = 300 m, and the depth of the cavity is H = 100 m. In the nondimensional units, M = 0.0162 and L ¯ = 31.0199 . The kinks are a product of plotting the absolute value of the minimum eigenvalue.
Jmse 12 00468 g002
Figure 3. Plots of the first five mode shapes for the potential velocity and the vertical displacement, where the length of the ice shelf is L = 40 km, the thickness of the ice is h = 300 m, and the depth of the cavity is H = 100 m. In the nondimensional units, M = 0.0162 and b a r L = 31.0199 . Note that the x scale is in nondimensional units.
Figure 3. Plots of the first five mode shapes for the potential velocity and the vertical displacement, where the length of the ice shelf is L = 40 km, the thickness of the ice is h = 300 m, and the depth of the cavity is H = 100 m. In the nondimensional units, M = 0.0162 and b a r L = 31.0199 . Note that the x scale is in nondimensional units.
Jmse 12 00468 g003
Figure 4. As per Figure 2, except we consider the no-pressure case.
Figure 4. As per Figure 2, except we consider the no-pressure case.
Jmse 12 00468 g004
Figure 5. A plot that compares the 20 dimensional time periods, T n , of the modes in hours; (x) shows the results for no-flux conditions; (o) represents the results for no-pressure condition, where the length of the ice shelf is L = 40 km, the thickness of the ice is h = 300 m, and the depth of the cavity is H = 100 m, and M = 0.0162 .
Figure 5. A plot that compares the 20 dimensional time periods, T n , of the modes in hours; (x) shows the results for no-flux conditions; (o) represents the results for no-pressure condition, where the length of the ice shelf is L = 40 km, the thickness of the ice is h = 300 m, and the depth of the cavity is H = 100 m, and M = 0.0162 .
Jmse 12 00468 g005
Figure 6. A plot that compares the 20 nondimensional angular frequencies, ω n ; (x) shows the results for the no-flux conditions; (o) represents the results for the no-pressure condition, where the length of the ice shelf is L = 40 km, the thickness of the ice is h = 300 m, and the depth of the cavity is H = 100 m, and M = 0.0162 .
Figure 6. A plot that compares the 20 nondimensional angular frequencies, ω n ; (x) shows the results for the no-flux conditions; (o) represents the results for the no-pressure condition, where the length of the ice shelf is L = 40 km, the thickness of the ice is h = 300 m, and the depth of the cavity is H = 100 m, and M = 0.0162 .
Jmse 12 00468 g006
Figure 7. As per Figure 3, except we consider the no-pressure case.
Figure 7. As per Figure 3, except we consider the no-pressure case.
Jmse 12 00468 g007
Figure 8. The evolution of the potential velocity Φ ( x , t ) for the times shown. The initial conditions Φ ( x , 0 ) = f ( x ) are given by Equation (32) and Φ t ( x , 0 ) = 0 for the case of no-flux (blue), no-pressure (cyan), and the initial function (red) for an ice shelf length of L = 40 km; the modes are calculated using N = 50 modes at different times. The thickness of the ice is h = 300 m, the depth of the cavity is H = 100 m, and M = 0.0162 . The full solution is provided in the Supplementary Material, Movie S1.
Figure 8. The evolution of the potential velocity Φ ( x , t ) for the times shown. The initial conditions Φ ( x , 0 ) = f ( x ) are given by Equation (32) and Φ t ( x , 0 ) = 0 for the case of no-flux (blue), no-pressure (cyan), and the initial function (red) for an ice shelf length of L = 40 km; the modes are calculated using N = 50 modes at different times. The thickness of the ice is h = 300 m, the depth of the cavity is H = 100 m, and M = 0.0162 . The full solution is provided in the Supplementary Material, Movie S1.
Jmse 12 00468 g008
Figure 9. The evolution of the potential velocity Φ ( x , t ) for the times shown. The initial conditions Φ ( x , 0 ) = 0 and Φ t ( x , 0 ) = g ( x ) are given by Equation (33) for the case of no-flux (blue), the case of no-pressure (cyan), and the initial velocity function (red) for an ice shelf length of L = 40 km; the modes are calculated using N = 50 modes at different times. The thickness of the ice is h = 300 m, the depth of the cavity is H = 100 m, and M = 0.0162 . The complete solution is provided in the Supplementary Material, Movie S2.
Figure 9. The evolution of the potential velocity Φ ( x , t ) for the times shown. The initial conditions Φ ( x , 0 ) = 0 and Φ t ( x , 0 ) = g ( x ) are given by Equation (33) for the case of no-flux (blue), the case of no-pressure (cyan), and the initial velocity function (red) for an ice shelf length of L = 40 km; the modes are calculated using N = 50 modes at different times. The thickness of the ice is h = 300 m, the depth of the cavity is H = 100 m, and M = 0.0162 . The complete solution is provided in the Supplementary Material, Movie S2.
Jmse 12 00468 g009
Figure 10. The evolution of vertical displacement η ( x , t ) for the times shown. The initial conditions η ( x , 0 ) = f ( x ) are given by Equation (34) η t ( x , 0 ) = 0 for the no-flux case (blue), the no-pressure case (cyan), and the initial function f ( x ) (red) for an ice shelf length of L = 40 km, where the modes are calculated using N = 50 modes at different times. The thickness of the ice is h = 300 m, the depth of the cavity is H = 100 m, and M = 0.0162 . The full solution is provided in the Supplementary Material, Movie S3.
Figure 10. The evolution of vertical displacement η ( x , t ) for the times shown. The initial conditions η ( x , 0 ) = f ( x ) are given by Equation (34) η t ( x , 0 ) = 0 for the no-flux case (blue), the no-pressure case (cyan), and the initial function f ( x ) (red) for an ice shelf length of L = 40 km, where the modes are calculated using N = 50 modes at different times. The thickness of the ice is h = 300 m, the depth of the cavity is H = 100 m, and M = 0.0162 . The full solution is provided in the Supplementary Material, Movie S3.
Jmse 12 00468 g010
Figure 11. The evolution of vertical displacement η ( x , t ) for the times shown. The initial conditions η ( x , 0 ) = 0 and η t ( x , 0 ) = g ( x ) are given by Equation (35) for the no-flux case (blue), the no-pressure case (cyan), and the initial velocity function (red) for an ice shelf of length of L = 40 km; the modes are calculated using N = 50 modes at different times. The thickness of the ice is h = 300 m, the depth of the cavity is H = 100 m, and M = 0.0162 . The full solution is provided in the Supplementary Material, Movie S4.
Figure 11. The evolution of vertical displacement η ( x , t ) for the times shown. The initial conditions η ( x , 0 ) = 0 and η t ( x , 0 ) = g ( x ) are given by Equation (35) for the no-flux case (blue), the no-pressure case (cyan), and the initial velocity function (red) for an ice shelf of length of L = 40 km; the modes are calculated using N = 50 modes at different times. The thickness of the ice is h = 300 m, the depth of the cavity is H = 100 m, and M = 0.0162 . The full solution is provided in the Supplementary Material, Movie S4.
Jmse 12 00468 g011
Table 1. Non-dimensional angular frequencies, ω n , and dimensional periods, T n , of modes for no-flux case, where the dimensional length of the ice shelf is L = 40 km when M = 0.0162 and M = 0 .
Table 1. Non-dimensional angular frequencies, ω n , and dimensional periods, T n , of modes for no-flux case, where the dimensional length of the ice shelf is L = 40 km when M = 0.0162 and M = 0 .
M = 0.0162 M = 0
n ω n T n ω n T n
10.106140.67697 h0.106150.67691 h
20.212600.33799 h0.212680.33787 h
30.320350.22430 h0.320610.22412 h
40.431690.16645 h0.432310.16622 h
50.550720.13047 h0.551960.13018 h
101.53493168.530 s1.54835167.069 s
153.9753365.0718 s4.0516463.8462 s
208.6795229.8037 s8.9707928.8360 s
2516.242315.9264 s17.081815.1437 s
3027.16129.52392 s29.15448.87282 s
Table 2. As per Table 1, except we consider the no-pressure case.
Table 2. As per Table 1, except we consider the no-pressure case.
M = 0.0162 M = 0
n ω n T n ω n T n
10.053061.35423 h0.053061.35420 h
20.159300.45107 h0.159330.45098 h
30.266270.26986 h0.266420.26971 h
40.375670.19127 h0.376080.19107 h
50.490880.14638 h0.491770.14612 h
101.37544188.071 s1.38724186.472 s
153.4720474.5041 s3.5428373.0156 s
207.7127633.5394 s7.9806432.4136 s
2514.717817.5761 s15.495116.6944 s
3024.987110.3526 s26.84779.63515 s
Disclaimer/Publisher’s Note: The statements, opinions and data contained in all publications are solely those of the individual author(s) and contributor(s) and not of MDPI and/or the editor(s). MDPI and/or the editor(s) disclaim responsibility for any injury to people or property resulting from any ideas, methods, instructions or products referred to in the content.

Share and Cite

MDPI and ACS Style

Aljabri, R.; Meylan, M.H. Time Domain Vibration Analysis of an Ice Shelf. J. Mar. Sci. Eng. 2024, 12, 468. https://doi.org/10.3390/jmse12030468

AMA Style

Aljabri R, Meylan MH. Time Domain Vibration Analysis of an Ice Shelf. Journal of Marine Science and Engineering. 2024; 12(3):468. https://doi.org/10.3390/jmse12030468

Chicago/Turabian Style

Aljabri, Rehab, and Michael H. Meylan. 2024. "Time Domain Vibration Analysis of an Ice Shelf" Journal of Marine Science and Engineering 12, no. 3: 468. https://doi.org/10.3390/jmse12030468

APA Style

Aljabri, R., & Meylan, M. H. (2024). Time Domain Vibration Analysis of an Ice Shelf. Journal of Marine Science and Engineering, 12(3), 468. https://doi.org/10.3390/jmse12030468

Note that from the first issue of 2016, this journal uses article numbers instead of page numbers. See further details here.

Article Metrics

Back to TopTop