Sign in to use this feature.

Years

Between: -

Subjects

remove_circle_outline
remove_circle_outline
remove_circle_outline
remove_circle_outline
remove_circle_outline
remove_circle_outline
remove_circle_outline
remove_circle_outline
remove_circle_outline

Journals

Article Types

Countries / Regions

Search Results (135)

Search Parameters:
Keywords = flame spread rate

Order results
Result details
Results per page
Select all
Export citation of selected articles as:
20 pages, 3444 KB  
Article
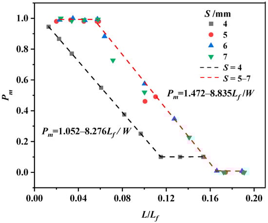
Effect of Fuel Spacing on Horizontal Flame Spread and Merging in Discrete Fuel Arrays with Dual Fire Sources
by Yang Zhou, Yixing Liu, Fengge Yang and Zhengyang Wang
Fire 2026, 9(4), 169; https://doi.org/10.3390/fire9040169 - 15 Apr 2026
Viewed by 326
Abstract
This study focuses on flame spread and merging in discrete fuel arrays composed of birch rods under dual fire source conditions. Tests were performed with five fuel spacings (nL/W = 1, 2, 3, 4, single source) and eight array spacings [...] Read more.
This study focuses on flame spread and merging in discrete fuel arrays composed of birch rods under dual fire source conditions. Tests were performed with five fuel spacings (nL/W = 1, 2, 3, 4, single source) and eight array spacings (S = 2 mm to 9 mm) to quantitatively evaluate the influence of these parameters on the flame merging behavior and key spread characteristics. The results indicate that the probability of flame merging decreases with increasing fuel spacing and is strongly affected by array spacing. Both the inter-fire temperature and dimensionless temperature rise were found to follow distinct power-law relationships with spacing. Flame height is governed by both spacing parameters. In contrast, the flame spread rate responded to array spacing but exhibited minimal sensitivity to fuel spacing. In this study, heat flux between the two arrays is demonstrated to be dominated by thermal radiation. A predictive model was formulated for the merged flame height, demonstrating close agreement with the experimental results. Full article
Show Figures

Figure 1

30 pages, 2132 KB  
Review
Critical Review on Photovoltaic Fire Safety in Buildings from Ignition to Smoke Control and Intervention
by Fouad Fatoom, Răzvan Calotă, Ilinca Năstase and Florin Bode
Fire 2026, 9(4), 163; https://doi.org/10.3390/fire9040163 - 13 Apr 2026
Viewed by 830
Abstract
Photovoltaic (PV) systems are important for sustainable energy infrastructure, but their rapid deployment introduces complex fire dynamics that current regulations fail to address adequately. While existing standards focus on the electrical safety of individual components, they often neglect the risks arising from the [...] Read more.
Photovoltaic (PV) systems are important for sustainable energy infrastructure, but their rapid deployment introduces complex fire dynamics that current regulations fail to address adequately. While existing standards focus on the electrical safety of individual components, they often neglect the risks arising from the interaction between the PV array and the building envelope. This review synthesizes current research on ignition mechanisms, thermal behavior, and the aerodynamic propagation of smoke to evaluate these overlooked hazards. A primary finding is that the interstitial space between the panel and the roof functions as a “heat trap,” significantly altering airflow patterns and accelerating flame spread even across fire-rated materials. The analysis further highlights that standard testing protocols do not sufficiently account for the urban dispersion of toxic combustion byproducts, such as hydrogen fluoride and volatile organic compounds. By evaluating recent advancements in Computational Fluid Dynamics (CFD) and helium-based surrogate testing, this paper demonstrates that accurate prediction of pollutant transport requires coupled modeling of wind effects and thermal buoyancy. The study concludes that ensuring urban fire resilience demands an evolution from component certification to integrated system assessments that include installation geometry, ventilation strategies, and environmental impact. Full article
Show Figures

Figure 1

26 pages, 6248 KB  
Article
Slope–Wind Coupling Effects on Fire Behavior and Emission Dynamics During Prescribed Burning in Mountainous Yunnan Pine Forests
by Tengteng Long, Yun Liu, Xiaohui Pu, Zhi Li, Shun Li, Qiuhua Wang, Li Han, Ning Lu, Leiguang Wang and Weiheng Xu
Fire 2026, 9(4), 155; https://doi.org/10.3390/fire9040155 - 9 Apr 2026
Viewed by 552
Abstract
Prescribed burning is important for reducing wildfire risk and regulating fuel loads, but its implementation in mountainous forests is strongly influenced by the coupled effects of the wind field and topography, making it difficult to control. This study focuses on Yunnan pine ( [...] Read more.
Prescribed burning is important for reducing wildfire risk and regulating fuel loads, but its implementation in mountainous forests is strongly influenced by the coupled effects of the wind field and topography, making it difficult to control. This study focuses on Yunnan pine (Pinus yunnanensis) forests in southwestern China. A three-dimensional Fire Dynamics Simulator (FDS) combined with measured fuel characteristics was used to simulate 21 slope (0–35°) and wind speed (0–2 m s−1) combinations to quantitatively analyze the fire spread, flame structure, and gaseous emission characteristics during downslope prescribed burning. The local fire spread rate (ROS), evaluated along three lateral lines (Y = 2.5, 5.0, and 7.5 m), exhibits a non-monotonic dependence on slope over the tested range, with a minimum near 30° and a modest rebound at 35°. A downslope wind of 1 m s−1 promotes near-surface heating and accelerates spread, whereas a stronger wind of 2 m s−1 lifts flames away from the fuel bed and suppresses combustion. Thermal field analysis reveals that peak temperature decreases with increasing slope and that a late-stage secondary heating episode occurs at 35°. CO2 emissions are significantly positively correlated with fuel consumption, reaching a peak of 717.5 kg under a 35° slope and no-wind conditions. CO emissions, as an indicator of combustion efficiency, reach their highest value of 2.23 kg at a 35° slope and a wind speed of 1 m s−1, indicating that their trend is not entirely consistent with the ROS and temperature and that there is a certain degree of decoupling. The interaction between slope and wind speed transforms fire behavior from a cooperative to a competitive mechanism, and the topography–wind field coupling provides differentiated control over the combustion intensity and completeness. This study provides a scientific basis for the safe implementation of mountain burning programs and for regional carbon emission assessments. Full article
Show Figures

Figure 1

18 pages, 1986 KB  
Article
Influence of the Smoke-Layer Height and Temperature on Fire Spread Along a Single Cable Tray in a Compartment
by Ju-Yeol Park, Sun-Yeo Mun, Jae-Min Kim and Cheol-Hong Hwang
Fire 2026, 9(3), 123; https://doi.org/10.3390/fire9030123 - 12 Mar 2026
Viewed by 532
Abstract
An experimental study was conducted to quantitatively assess the separate effects of smoke-layer height and temperature on fire spread along a cable tray in a compartment. Smoke-layer height was controlled by varying the opening height (h) using side-wall configurations (SW0%, SW25%, and SW50%), [...] Read more.
An experimental study was conducted to quantitatively assess the separate effects of smoke-layer height and temperature on fire spread along a cable tray in a compartment. Smoke-layer height was controlled by varying the opening height (h) using side-wall configurations (SW0%, SW25%, and SW50%), while smoke-layer temperature was adjusted by changing the heat release rate (HRR) of an LPG burner (10, 14, and 18 kW). Fire spread was quantified using flame imaging and measurements of HRR, fire growth and spread rates, incident heat flux at tray height, and gas temperature and O2 concentration above and below the tray. At 10 kW, self-extinction occurred before the flame reached the tray end for all side-wall configurations. At 14 and 18 kW, fire spread to the tray end occurred under SW25% and SW50%. For a given HRR, SW50% produced higher heat flux and temperature near the tray but lower oxygen concentration, especially below the tray. These findings indicate that cable tray fire spread is governed by the combined effects of smoke-layer height and temperature through thermal feedback and local oxygen availability. Fire spread was promoted by stronger thermal feedback, but could be limited under a deeper smoke layer when oxygen availability near the tray was reduced. Full article
(This article belongs to the Special Issue Advances in Fire Science and Fire Protection Engineering)
Show Figures

Figure 1

22 pages, 5127 KB  
Article
Wind-Driven Structure-to-Structure Fire Spread: Validating a Physics-Based Model for Outdoor Built Environments
by Mahmoud S. Waly, Guan Heng Yeoh and Maryam Ghodrat
Fire 2026, 9(3), 119; https://doi.org/10.3390/fire9030119 - 6 Mar 2026
Viewed by 828
Abstract
Recently, numerous countries have experienced devastating wildfires, leading to significant destruction and loss of life. These catastrophic events highlight the shortcomings in current building regulations and testing methods. There is a pressing need for a more profound understanding of the characteristics and behaviour [...] Read more.
Recently, numerous countries have experienced devastating wildfires, leading to significant destruction and loss of life. These catastrophic events highlight the shortcomings in current building regulations and testing methods. There is a pressing need for a more profound understanding of the characteristics and behaviour of large outdoor fires to address these inadequacies effectively. Wildfires can spread to structures located at the wildland–urban interface, leading to further fire propagation from one building to another. In this study, the Fire Dynamics Simulator (FDS) model was validated using experimental data from the National Institute of Standards and Technology (NIST). The experiment consisted of a target wall and a small wooden shed containing six wooden cribs as fuel, with a separation distance of 3 m. Both FDS and the experiment proved that 3 m is the safe separation distance. Different shed materials, such as steel, were used, which reduced the total heat release rate by 40% and the flame height by 20%. The effects of wind speed and direction were investigated using two wooden sheds in FDS to observe fire spread between them. The safe separation distance was 3 m for both wind speeds (2 and 5 m/s) in all directions, where the critical temperature was not reached to cause self-ignition of the second shed, except in the north direction (inward) at a speed of 5 m/s. When the separation distance increased to 3.5 m, the average heat flux at the other shed reduced to 3.18 kW/m2, which did not cause self-ignition. Therefore, the safe separation distance between two structures for a wind speed of 5 m/s should be 3.5 m to mitigate the spread of fire based on the shed dimensions and the fire source load. Full article
(This article belongs to the Special Issue Fire Safety in the Built Environment)
Show Figures

Figure 1

10 pages, 968 KB  
Article
The Influence of Particle Surface Area-to-Mass Ratio on Flame Residence Time and Mass Loss Rate of Forest Fuel Beds
by Carlos G. Rossa, David A. Davim and Paulo M. Fernandes
Fire 2026, 9(3), 94; https://doi.org/10.3390/fire9030094 - 24 Feb 2026
Viewed by 826
Abstract
Combustion duration is a fire behaviour feature relevant for both the effects and management of fire. We burned small-scale laboratory fuel beds (n = 135) of eight fuel types and developed empirical models to describe variation in flame residence and burn-out times, [...] Read more.
Combustion duration is a fire behaviour feature relevant for both the effects and management of fire. We burned small-scale laboratory fuel beds (n = 135) of eight fuel types and developed empirical models to describe variation in flame residence and burn-out times, and fuel mass fraction loss rates during flaming and non-flaming combustion; each fuel sample was ignited at once and burned as a pile. Surface area-to-mass ratio of the fuel particles, by itself, allowed accurate prediction of all combustion properties with better performance than surface area-to-volume ratio. Fuel bed structure was also shown to have an influence, fuel load being the variable that further improved all predictions. This work provides evidence that surface area-to-mass ratio is an adequate descriptor of the combustion characteristics of forest fuel beds. Our expectation is that this approach will assist future modelling efforts to obtain simple empirical models to predict the combustion features of free-spreading fires in a wide range of vegetation types. Full article
Show Figures

Figure 1

19 pages, 7242 KB  
Article
Numerical Investigation on the Flame Propagation Rate in the High-Speed Train Carriages
by Jing Wang, Haiquan Bi, Yuanlong Zhou, Bo Lei and Zhicheng Mu
Fire 2026, 9(2), 69; https://doi.org/10.3390/fire9020069 - 5 Feb 2026
Viewed by 565
Abstract
Modern high-speed train compartments contain intricate internal configurations. In the event of a fire emergency, the propagation velocity of flames through the passenger cabin is determined by multiple factors, including compartment design, ignition source characteristics, and airflow conditions. This study employed computational fluid [...] Read more.
Modern high-speed train compartments contain intricate internal configurations. In the event of a fire emergency, the propagation velocity of flames through the passenger cabin is determined by multiple factors, including compartment design, ignition source characteristics, and airflow conditions. This study employed computational fluid dynamics (CFD) and large eddy simulation (LES) to investigate the effects of fire source power, fire source location, and longitudinal ventilation velocity on the rate of flame progression. Unlike simplified homogeneous fuel models, this study incorporates the specific heterogeneous material layout of the CR400AF to capture realistic flame spread dynamics. The simulation results reveal that, under forward ventilation conditions, the magnitude of fire power has a minimal influence on flame propagation speed. However, stronger fire sources lead to earlier initiation of flame spread along the carriage. Central positioning of the ignition source results in bidirectional flame movement toward both ends of the carriage, with faster propagation rates than those of fires originating at the extremities. Longitudinal airflow patterns significantly influence the fire dynamics. When the airflow speed within the tunnel remains below 3 m/s, the impact of longitudinal ventilation on fire propagation speed in the train is minimal under forward ventilation conditions. Conversely, in reverse-ventilation scenarios, the rate of flame advancement shows a positive correlation with increasing ventilation speed. Nevertheless, once tunnel ventilation velocities exceed 3 m/s, combustion propagation within high-speed rail carriages becomes impossible due to intact windows, which create oxygen-deficient conditions that prevent the development of fire. This paper investigates the heat release rate and spread process of vehicle fires. It comprehensively considers the effects of fire source power, fire source location, and longitudinal ventilation rate on the rate of spread. The research results provide data support for the fire-resistant design of rail transit vehicles and for the formulation of emergency evacuation strategies for different fire scenarios, which are vital for enhancing rail vehicle fire safety and ensuring personnel evacuation safety. Full article
Show Figures

Figure 1

18 pages, 6615 KB  
Article
Experimental Investigation of Thermal Response of Single-Glass Photovoltaic Modules with Different Inclination Angles
by Jinlong Zhao, Shuai Zhang, Xinjiang Li, Xin Kong, Lihong Zhao and Jun Shen
Fire 2026, 9(2), 62; https://doi.org/10.3390/fire9020062 - 29 Jan 2026
Viewed by 880
Abstract
In order to achieve the goal of carbon neutrality, the installed capacity of photovoltaic (PV) modules has been increasing rapidly. In particular, single-glass PV modules are widely deployed in both utility-scale and distributed PV power generation systems. However, single-glass modules are highly susceptible [...] Read more.
In order to achieve the goal of carbon neutrality, the installed capacity of photovoltaic (PV) modules has been increasing rapidly. In particular, single-glass PV modules are widely deployed in both utility-scale and distributed PV power generation systems. However, single-glass modules are highly susceptible to internal faults (e.g., direct current arc faults and hotspot faults) and external fire sources (e.g., wildland fires and rooftop fires), which may lead to simultaneous burning of the modules and adjacent combustibles, thereby promoting large-scale fire spread and causing severe economic losses. In this study, a dedicated experimental platform was developed to systematically investigate the fire behavior of single-glass PV modules under exposure to a pool fire. Systematic fire experiments were conducted to investigate the influence of module inclination angle and tempered glass integrity on the burning process, molten dripping flame behavior, and temperature-rise characteristics of single-glass PV modules. The results show that the integrity of the front glass has a pronounced effect on the burning behavior. At the same inclination angle, cracked modules exhibit significantly faster fire growth and higher temperature-rise rates than intact modules, while also being more susceptible to rapid burn-through by the external fire, accompanied by the generation of numerous molten dripping flames. In addition, the module inclination angle has a significant influence on the fire behavior of PV modules. As the inclination angle increases, the fire development rate, temperature-rise rate, and average burning duration of dripping flames all display a non-monotonic trend of first increasing and then decreasing, reaching their maxima at an inclination angle of 15°. These findings provide a theoretical basis for the fire protection design and fire risk assessment of PV power generation systems and are of practical significance for enhancing their operational safety. Full article
(This article belongs to the Special Issue Photovoltaic and Electrical Fires: 2nd Edition)
Show Figures

Figure 1

17 pages, 6634 KB  
Article
Understanding the Effects of Discrete Fuel Distribution on Flame Spread Under Natural Convection and Ambient Wind
by Xiaonan Zhang, Shihan Lan, Ye Xiang, Tianyang Chu, Yang Zhou and Zhengyang Wang
Fire 2026, 9(2), 54; https://doi.org/10.3390/fire9020054 - 24 Jan 2026
Viewed by 717
Abstract
In this study, small-scale experiments were performed to examine fuel distribution effects on discrete flame spread behavior under natural convection and ambient wind. To this end, birch rod arrays with regularly varying column number (n) and array spacing (S) [...] Read more.
In this study, small-scale experiments were performed to examine fuel distribution effects on discrete flame spread behavior under natural convection and ambient wind. To this end, birch rod arrays with regularly varying column number (n) and array spacing (S) were designed. The results indicate that fuel distribution exerts a comparable influence on flame spread under both natural convection and ambient wind conditions. The flame spread rate (Vf), flame length (Lf), and mass loss rate (MLR) are insensitive to changes in S but have an exponential relationship with n. Based on the mass conservation law, prediction correlations for the mass loss rate based on S and n in the stable flame spread stage are proposed. We discovered that nondimensional mass loss has a power law dependence on the fuel coverage rate. In addition, radiative heat transfer dominates the flame spread process for the discrete array. Horizontal flame spread across discrete rod arrays exhibits critical spacing under natural convection. Finally, we established a comprehensive heat transfer model for flame spread under natural convection conditions and obtained a derivation of a critical sustainability criterion for the discrete flame spread process, which considers radiative and convective heat transfer. Full article
Show Figures

Figure 1

13 pages, 2152 KB  
Article
Cone Calorimeter Reveals Flammability Dynamics of Tree Litter and Mixed Fuels in Central Yunnan
by Xilong Zhu, Shiying Xu, Weike Li, Sazal Ahmed, Junwen Liu, Mingxing Liu, Xiangxiang Yan, Weili Kou, Qiuyang Du, Shaobin Yang and Qiuhua Wang
Fire 2026, 9(1), 36; https://doi.org/10.3390/fire9010036 - 13 Jan 2026
Viewed by 693
Abstract
The characteristics of litter combustion have a significant impact on the spread of surface fires in the central Yunnan Province, a high-risk forest fire zone. The burning behavior of individual and mixed-species litter samples from five dominant tree species (Pinus yunnanensis Franch., [...] Read more.
The characteristics of litter combustion have a significant impact on the spread of surface fires in the central Yunnan Province, a high-risk forest fire zone. The burning behavior of individual and mixed-species litter samples from five dominant tree species (Pinus yunnanensis Franch., Keteleeria evelyniana Mast., Quercus variabilis Blume., Quercus aliena var. acutiserrata, and Alnus nepalensis D. Don.) was assessed in this study using cone calorimeter tests. Fern fronds and fine branches were included in additional tests to evaluate their effects on specific combustion parameters, such as Fire Performance Index (FPI), Flame Duration (FD), Time to Ignition (TTI), Mass Loss Rate (MLR), Residual Mass Fraction (RMF), Peak Heat Release Rate (PHRR), and Total Heat Release (THR). There were remarkable differences in the burning properties of the three types of litter (broadleaf, pine needles, and short pine needles). The THR and PHRR values of P. yunnanensis were the highest, whereas the PHRR of the other species varied very little. Short pine needle litter showed incomplete combustion and a long flame duration. When measured against pure pine needle litter, mixtures of P. yunnanensis and broadleaf litter showed lower PHRR. When set side by side to pure pine needle litter, P. yunnanensis and broadleaf litter showed lower PHRR. THR rose when fine branches were included, underlining the significance of fine woody fuels in fire behavior. The insertion of ferns increases the percentage of unburned biomass, prolongs TTI, and dramatically reduces PHRR. Full article
Show Figures

Figure 1

14 pages, 2725 KB  
Article
Flame Spread and Extinction over Electrical Wire Under Transverse Acoustic Waves
by Yong Lu, Mingyu Yu, Baojian Sun and Linxiang Li
Fire 2026, 9(1), 3; https://doi.org/10.3390/fire9010003 - 20 Dec 2025
Viewed by 710
Abstract
Acoustic fire suppression is a novel and environmentally friendly fire-extinguishing method. Electrical wires, as an important material in electrical systems, are a major cause of fires when short-circuited. In this study, we conducted experimental research on the flame spread and extinguishing characteristics of [...] Read more.
Acoustic fire suppression is a novel and environmentally friendly fire-extinguishing method. Electrical wires, as an important material in electrical systems, are a major cause of fires when short-circuited. In this study, we conducted experimental research on the flame spread and extinguishing characteristics of polyethylene-insulated electrical wires under the action of transverse acoustic waves within a frequency range of 50–70 Hz. The study systematically investigated the changes in flame morphology during the spreading process under different acoustic wave conditions. It was found that the flame spread rate first decreases and then increases with the increase in sound pressure, and the higher the acoustic frequency, the higher the spread rate. This study focused on the effect of acoustic frequency and wire inclination angle (0°, 30°, 60°) on the critical sound pressure for flame extinction. The experimental results showed that the critical sound pressure for flame extinction increases with the increase in frequency and inclination angle, with measured values ranging from 0.11 to 0.36 Pa for horizontal wires. An empirical model for predicting the critical sound pressure of flame extinguishment of inclined wires under acoustic waves was established based on an analysis of the strain rate. Full article
(This article belongs to the Special Issue Advanced Fire Suppression Technologies)
Show Figures

Figure 1

24 pages, 3838 KB  
Article
Fire Behaviour of Building-Integrated Photovoltaic Claddings Under Different Cavity Conditions: Glass Failure to Ignition
by Yoon Ko, Dana Duong, Reidar Stølen and Janne Siren Fjærestad
Solar 2026, 6(1), 1; https://doi.org/10.3390/solar6010001 - 19 Dec 2025
Cited by 1 | Viewed by 798
Abstract
This study investigates the fire behaviour of building-integrated photovoltaic (PV) claddings, focusing on the progression from glass failure to ignition under different cavity conditions. Experimental tests were conducted on two common PV cladding types: bifacial dual-glass (GG) and monofacial glass–plastic (GP) modules. Results [...] Read more.
This study investigates the fire behaviour of building-integrated photovoltaic (PV) claddings, focusing on the progression from glass failure to ignition under different cavity conditions. Experimental tests were conducted on two common PV cladding types: bifacial dual-glass (GG) and monofacial glass–plastic (GP) modules. Results revealed that GP modules exhibited faster burning and higher peak heat release rates (HRR), reaching up to 600 kW, while GG modules burned more slowly with peak HRR between 50 and 100 kW. Cavity conditions, including depth, ventilation, and operational energization, were found to be vital in determining glass breakage, occurring between 400 and 550 °C, and cavity ignition and subsequent flame spread. The relationship between cavity fire dynamics and glass breakage suggests the importance of system design, particularly regarding cavity ventilation and flame barriers, for mitigating upward fire propagation. These results establish a basis for advancing numerical fire models through integration of critical parameters such as material properties, glass breakage, cavity ignition, and cavity configuration. This approach supports comprehensive real-scale analysis to guide the development of effective design recommendations, ultimately improving fire safety in PV-integrated construction. Full article
Show Figures

Figure 1

14 pages, 7399 KB  
Article
Quantification of Forest Sub-Surface Fire Suppression Risk Factors and Their Influencing Elements in Boreal Forest of China
by Lili Cao, Tongtong Wang, Xiang Chen, Wenjun Xie, Shilong Feng, Qianle Tang, Xiangyu Liu, Chang Xu, Miaoxin Yu, Sainan Yin and Yanlong Shan
Fire 2025, 8(12), 457; https://doi.org/10.3390/fire8120457 - 26 Nov 2025
Viewed by 929
Abstract
Forest sub-surface fires represent a challenging combustion phenomenon to control, and the process of smoldering is often overlooked in wildfire incidents. Traditional forest fire research has prioritized flaming combustion over smoldering dynamics, despite its critical risk factors including sustained high temperature and ground [...] Read more.
Forest sub-surface fires represent a challenging combustion phenomenon to control, and the process of smoldering is often overlooked in wildfire incidents. Traditional forest fire research has prioritized flaming combustion over smoldering dynamics, despite its critical risk factors including sustained high temperature and ground surface collapse that significantly endanger firefighter safety. This study focuses on The Daxing’an Mountains, a prime sub-surface fire-prone region in China, employing field investigations and controlled smoldering experiments to quantify the key risk factors for sub-surface fires suppression while elucidating moisture content’s regulatory effects. The results demonstrate that sub-surface smoldering fires maintain elevated temperatures with the surface peak temperature reaching 600.24 °C and sub-surface peak temperature up to 710.70 °C. The spread rate is relatively slow (maximum 27.00 cm/h), yet exhibits pronounced fluctuations along the vertical profile, creating a critical predisposition to overhanging collapse. The moisture content has extremely significant effects (p < 0.01) on key risk factors including surface temperature, sub-surface temperature, collapse time and ignition duration. Lower moisture content prompted earlier surface collapses, whereas higher moisture content displays delayed collapse but resulted in dangerously elevated temperatures at collapse points, presenting extreme suppression risks. Full article
Show Figures

Figure 1

13 pages, 14796 KB  
Article
Thermal Runaway Propagation in Pouch-Type Lithium-Ion Battery Modules: Effects of State of Charge and Initiation Location
by So-Jin Kim, Yeong-Seok Yu, Chan-Seok Jeong, Sang-Bum Lee and Yong-Un Na
Batteries 2025, 11(11), 398; https://doi.org/10.3390/batteries11110398 - 28 Oct 2025
Cited by 2 | Viewed by 2407
Abstract
The widespread adoption of lithium-ion batteries (LIBs) in electric vehicles (EVs) and energy-storage systems (ESSs) has raised growing concern about fire hazards caused by thermal runaway (TR). While many studies have examined cell-level TR mechanisms, investigations at the module level remain limited despite [...] Read more.
The widespread adoption of lithium-ion batteries (LIBs) in electric vehicles (EVs) and energy-storage systems (ESSs) has raised growing concern about fire hazards caused by thermal runaway (TR). While many studies have examined cell-level TR mechanisms, investigations at the module level remain limited despite their importance for safety design. In this study, TR propagation was experimentally analyzed in a 12-cell (2p6s) pouch-type LIB module with EV-grade cells. The state of charge (SOC) and initiation location were the main variables. TR was initiated by a surface-mounted Kapton heating film, with power increased stepwise from 63 W to 141 W at 5-min intervals. Temperature, voltage, and heat release rate (HRR) were continuously monitored. Results showed that higher SOC led to earlier TR onset, shorter vent-to-ignition delay, and stronger combustion with jet flames. Center initiation produced rapid bidirectional propagation with a peak heat release rate (PHRR) of 590 kW and a propagation time of 107 s, whereas edge initiation caused slower unidirectional spread with a PHRR of 105 kW and a propagation time of 338 s. These results demonstrate that both SOC and initiation location critically control TR severity and propagation, providing essential data for EV fire safety evaluation and module design. Full article
(This article belongs to the Special Issue Advanced Battery Safety Technologies: From Materials to Systems)
Show Figures

Figure 1

19 pages, 6095 KB  
Article
Comparative Analysis of Potential Fire Behavior Among Three Typical Tree Species Fuel Loads in Central Yunnan Region
by Mingxing Liu, Yuanbing Yu, Weiming Chen, Ming Zhou, Jiaming Zhao, Biao Ye, Xilong Zhu, Shiying Xu, Chunyi He, Weili Kou and Qiuhua Wang
Forests 2025, 16(10), 1509; https://doi.org/10.3390/f16101509 - 24 Sep 2025
Viewed by 725
Abstract
Potential fire behavior varied significantly among tree species, directly influencing forest fire intensity and spread. To quantify these differences and evaluate species-specific fuel traits for fire management applications, this study conducted field surveys and sample collection in the Jin Dian Yuanbaoshan Forest Area, [...] Read more.
Potential fire behavior varied significantly among tree species, directly influencing forest fire intensity and spread. To quantify these differences and evaluate species-specific fuel traits for fire management applications, this study conducted field surveys and sample collection in the Jin Dian Yuanbaoshan Forest Area, Kunming, Yunnan Province. Using a combustion bed experiment, we simulated the burning behavior of Acacia dealbata, Alnus nepalensis, and Pinus armandii under windless conditions, recording ignition time, extinction time, flame height, spread rate, and calculating fire intensity. Comparative analysis revealed: (1) Fire intensity ranking: P. armandii needles > A. dealbata leaves > P. armandii branches > A. nepalensis leaves > P. armandii bark > A. dealbata branches > A. nepalensis branches > A. dealbata bark > A. nepalensis bark; (2) The biological firebreaks composed of A. nepalensis and A. dealbata in Yuanbaoshan exhibited effective flame-retardant performance; (3) Coarse woody fuels negatively affected prescribed burning intensity and effectiveness. By quantifying fire behavior differences among these species, this study provides scientific support for fuel management and fire-resistant species selection in central Yunnan, while offering practical guidance for prescribed burning strategies in the Jin Dian Yuanbaoshan Forest Area. Full article
(This article belongs to the Special Issue Fire Ecology and Management in Forest—2nd Edition)
Show Figures

Figure 1

Back to TopTop