Next Article in Journal
Simulation Analysis of a Spark-Ignition Engine Fueled with Gasoline and Hydrogen
Previous Article in Journal
Investigating the Impact of Aerial Firefighting on Rate of Wildfire Spread
 
 
Due to scheduled maintenance work on our servers, there may be short service disruptions on this website between 11:00 and 12:00 CEST on March 28th.
Font Type:
Arial Georgia Verdana
Font Size:
Aa Aa Aa
Line Spacing:
Column Width:
Background:
Article

Flame Spread and Extinction over Electrical Wire Under Transverse Acoustic Waves

School of Automotive and Traffic Engineering, Jiangsu University, Zhenjiang 212013, China
*
Author to whom correspondence should be addressed.
Submission received: 15 November 2025 / Revised: 16 December 2025 / Accepted: 18 December 2025 / Published: 20 December 2025
(This article belongs to the Special Issue Advanced Fire Suppression Technologies)

Abstract

Acoustic fire suppression is a novel and environmentally friendly fire-extinguishing method. Electrical wires, as an important material in electrical systems, are a major cause of fires when short-circuited. In this study, we conducted experimental research on the flame spread and extinguishing characteristics of polyethylene-insulated electrical wires under the action of transverse acoustic waves within a frequency range of 50–70 Hz. The study systematically investigated the changes in flame morphology during the spreading process under different acoustic wave conditions. It was found that the flame spread rate first decreases and then increases with the increase in sound pressure, and the higher the acoustic frequency, the higher the spread rate. This study focused on the effect of acoustic frequency and wire inclination angle (0°, 30°, 60°) on the critical sound pressure for flame extinction. The experimental results showed that the critical sound pressure for flame extinction increases with the increase in frequency and inclination angle, with measured values ranging from 0.11 to 0.36 Pa for horizontal wires. An empirical model for predicting the critical sound pressure of flame extinguishment of inclined wires under acoustic waves was established based on an analysis of the strain rate.

1. Introduction

Fire represents one of the most devastating hazards to human life, infrastructure, and natural ecosystems, necessitating continuous innovation in suppression technologies to mitigate its destructive potential [1]. Conventional methods such as water, CO2, and chemical retardants, while effective in specific scenarios, face limitations related to environmental impact, limited reusability, toxicity, and incompatibility with sensitive environments like electronic data centers or spacecraft [1,2]. Sound wave flame extinction has emerged as a promising alternative, leveraging acoustic oscillations to disrupt flame stability through physical mechanisms rather than chemical suppression [3,4]. Recent advances in acoustic manipulation of flames have demonstrated potential for non-invasive fire control, yet the fundamental mechanisms governing flame spread over energized materials like electrical wires remain poorly understood. Understanding how sound waves modulate flame spread and extinction thresholds is essential for developing next-generation fire suppression technologies.
Fundamental studies have identified critical frequency ranges for effective extinction—typically 30–70 Hz under normal gravity conditions, where low-frequency waves create pressure-induced reductions in fuel vaporization and heat release rates [3,5]. This approach is particularly advantageous in contexts where traditional suppressants are impractical, such as in areas rich with electronics or in microgravity environments, where experiments reveal enhanced efficacy due to weaker buoyancy forces amplifying acoustic suppression [5,6]. Preliminary investigations established that acoustic waves directly influence flame kinematics by promoting vortex shedding and heat-release oscillations, leading to flame choking [5,7]; however, the interplay between acoustic modes, fuel types, and flame dynamics necessitates systematic parametric analyses to optimize the extinction efficiency across diverse combustion scenarios [1,3,4,8]. Consequently, researchers have shifted towards integrating experimental insights with numerical simulations to unravel high-frequency thermoacoustic mechanisms and machine learning techniques to classify extinction states, driving innovation in smart firefighting systems capable of early-stage fire intervention [1,9,10].
Progress in this domain spans experimental characterizations, computational modeling of combustion instabilities, environmental adaptability studies, and data-driven artificial intelligence frameworks, collectively advancing sound wave fire extinguishers from laboratory curiosities toward scalable solutions [1,8,11,12,13]. Experimentally, large-scale campaigns using specialized rigs with multiple fuels and flame sizes provide foundational data: for instance, Taspinar et al. [8] demonstrated via 17,442 trials on gasoline, kerosene, thinner, and LPG that rule-based machine learning models such as ANFIS and CN2 rule classifiers achieve high reliability (>94% success) and identify optimal extinction parameters (85–110 dB for decibels, 2.5–17 m/s airflow), emphasizing acoustic frequency-dependent correlations. Similarly, studies under microgravity [5] confirmed heightened suppression ease at frequencies <50 Hz, while examinations with obstacles [12] proved geometric interference modulates required sound pressure levels. Thermoacoustic modeling elucidates how transverse resonant modes facilitate flame responses; notably, large-eddy simulations [7] quantified that high-frequency azimuthal waves induce flame displacements at velocity anti-nodes, producing destabilizing Rayleigh indices via density oscillations or surface deformations, whereas kinematic models [13] predicted nonlinear harmonic responses at varied Strouhal numbers. Furthermore, AI integration revolutionizes predictive control: deep neural networks fused with modulated acoustic waveforms [9] automate fire detection in multi-sensory setups, while stacked classification algorithms enhance real-time decision-making for robotic extinguishers [1]. As emerging smart technologies target large-scale deployment—such as variable acoustic systems [10] addressing fire prevention and intrinsic instability mitigation [14].
Despite progress in acoustic flame control, critical gaps hinder practical applications for electrical fire suppression. First, the flame spread and extinction behaviors of polyethylene-insulated wires under well-defined, transverse acoustic fields within the low-frequency range (e.g., 50–70 Hz) have not been systematically quantified. Second, the combined influence of acoustic parameters (frequency and sound pressure) and wire orientation (inclination angle) on the critical extinction threshold remains unclear, limiting predictive capability. Addressing these gaps is critical for advancing fire safety in electrical infrastructure, where rapid flame spread across wire networks can escalate localized fires into catastrophic events.
This paper investigates the flame spread behavior and critical extinction characteristics of polyethylene-insulated wires under acoustic waves. A systematic study was conducted on the variations in flame morphology and flame spread rate during combustion under different acoustic conditions. The critical sound pressure thresholds for flame extinction were measured for wires at various acoustic frequency and inclination angles, and a predictive model correlating acoustic parameters with the critical sound pressure for flame extinction was established. By elucidating the acoustic-thermal coupling effect in the pyrolysis of solid fuels, this work enhances the theoretical foundation of combustion science. Its practical significance lies in providing a scientific basis for the development of acoustic wave fire suppression systems in high-risk electrical facilities.

2. Experimental

The acoustic flame extinguishing platform comprises a signal generator, power amplifier, loudspeaker, acrylic tube, wires, a sound level meter, a high-definition camera, and a small bracket, as illustrated in Figure 1. In the experiment, a signal generator (JDS6600 15 MHz, Hangzhou Junce Instrument & Meter Co., Ltd., Hangzhou, China) was adjusted to emit a specific sine wave signal. The frequency range employed in the experiment spanned from 50 to 70 Hz, based on a balance between biological safety and extinguishing effectiveness. The lower frequency limit of 50 Hz was established to preclude potential adverse physiological effects associated with very low-frequency acoustic exposure. Furthermore, at frequencies exceeding 70 Hz, the sound pressure required to achieve flame extinction would enter a supra-threshold regime considered hazardous to human auditory health. The 50–70 Hz range was thus identified as an optimal window where effective flame suppression can be achieved with relatively lower, more practical energy expenditure and minimal safety concerns. The signal generator had a peak signal amplitude of 3 V. A power amplifier (VCM-150, Foshan Lingsheng Electronics Co., Ltd., Foshan, China) was used to amplify the sine wave signal. Since flames are more sensitive to lower-frequency sound waves, a speaker (QS-6210, Kasun Audio Equipment Co., Ltd., Guangzhou, China) with a diameter of 650 mm was selected for this experiment. This speaker is capable of converting amplified low-frequency acoustic analog electrical signals into outgoing acoustic waves. A highly transparent acrylic tube with an inner diameter of 170 mm, slightly larger than the speaker’s diameter, was utilized. This configuration enables sound waves to travel more cohesively towards the vicinity of the flame. The loudspeaker was positioned 100 mm from the mouth of the acrylic tube. The opening of the acrylic tube was 5 mm from the center of the flame; the height of the speaker’s center was aligned with the height of the small stand. And this tube guides and shapes the sound waves into a more coherent plane wave front directed at the flame.
In this experiment, the wire core and insulation materials were nickel–chromium alloy (NiCr) and polyethylene (PE), respectively. The wire length was 50 mm, and the wire was fixed to a small bracket that could be tilted at different angles. The outer diameter of the conductor was 1.4 mm, the insulation thickness was 0.3 mm, and the diameter of the nichrome alloy metal was 0.8 mm. The physical property parameters of this wire model are presented in Table 1. The wire insulation was custom-made from pure polyethylene without flame retardant additives. It was ignited at one end by an ignition coil, establishing a stable flame that propagated solely from the ignited end toward the opposite end of the wire. Throughout this process, no electrical current was applied to the wire, and no electrical arc was involved.
The flame spread and extinguishment on the wire were captured by a high-definition digital camera (Sony FDR-AX30, Sony Corporation, Tokyo, Japan) with a frame rate of 50 FPS. Parameters such as acoustic frequency ( f ) and pressure ( p ) (presented in Table 2) were measured using an SM550 online digital sound level meter. The sound pressure values listed in Table 2 represent the effective (root-mean-square, RMS) sound pressure in Pascals (Pa). They were obtained by converting the Sound Pressure Level (SPL in dB) readings from the sound level meter (SM550, Dongguan SanLiang Precision Measuring Instrument Co., Ltd., Dongguan, China) using the standard formula S P L = 20 l o g 10 ( p r m s / p 0 ) , with the reference pressure p 0 = 20   μ P a . This is the standard metric for characterizing the magnitude of a continuous acoustic wave like the sine wave used in our experiments. The angle of inclination of the small bracket holding the wire was varied, including horizontal (0°), 30°, and 60° inclination angle (α). To ensure the rigor of the experiment, each set of conditions was tested in three independent trials. The average of these replicates served as the final data point for analysis, and the error bars presented in the figures were derived from the standard deviation of this repeated experimental data, indicating the measurement variability. The flame front displacement parameters were analyzed using MATLAB software (R2023b) [15,16].

3. Result and Discussion

3.1. Flame Shapes of Spreading and Extinction Under Acoustic Waves

3.1.1. Images of Horizontal Spreading Flame

Figure 2 presented typical images of flame spread over a horizontal wire under different frequencies and sound pressures. From the front view, it was observed that in the absence of acoustic waves or under extremely low sound pressure, the flame exhibited an approximately triangular structure. As sound pressure increased, the flame became increasingly unstable, its regular shape was disrupted, and the flame edge developed serrated or fragmented undulations, showing obvious instability characteristics. Meanwhile, the flame size exhibited a trend of first increasing and then decreasing with the rise in sound pressure.
From the side view, the dynamic behavior of the flame was more diverse. At low sound pressure, the main flame body underwent periodic left-right tilting, and its tilting direction was related to the propagation direction of the acoustic wave, which might be either the same or opposite. With a further increase in sound pressure, the flame was no longer only tilted as a whole but also violently stretched and deformed. Notably, the sound pressure corresponding to such significant flame deformation increased with increasing frequency, lower frequencies rendered the flame more prone to deformation.
Macroscopically, acoustic waves exerted a distinct disturbance on the flame over the wire, similar to a weak wind blowing the flame. Unlike normal wind velocity, however, the disturbance generated by acoustic waves was not unidirectional; the flame might tilt either along or against the direction of the acoustic wave. Both front and side view images demonstrated that the visual size of the flame (e.g., area or height) exhibited a non-monotonic trend of “first increasing and then decreasing” as sound pressure increased.
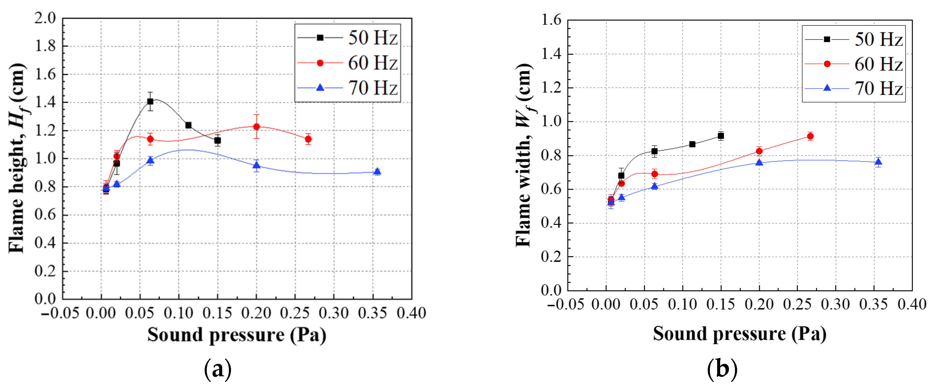
Through quantitative analysis of two key characteristic dimensions, flame height ( H f ) and flame width ( W f ), and Figure 3 shows variation in flame height and width with sound pressure. Experimental results show a frequency-dependent, non-monotonic variation in flame height: under 50 Hz, 60 Hz and 70 Hz acoustic excitation, the height initially increases then decreases with rising sound pressure, indicating a transition from enhancement at low pressures to suppression at higher pressures. Meanwhile, across all tested frequencies, flame width increases monotonically with sound pressure, directly demonstrating lateral stretching induced by acoustic excitation. These morphological changes stem from multi-scale physical mechanisms: macroscopically, acoustic waves alter flame shape and stability through pressure gradients and gas expansion/compression, while acoustically induced flow fields exert continuous stretching effects; microscopically, acoustic disturbances enhance fuel-oxidizer mixing by modifying turbulent vortex structures and may modulate reaction rates through pressure-dependent chemical kinetics. In essence, the acoustic influence on wire flame morphology represents competition and coupling between macroscopic mechanical stretching and microscopic mixing/chemical effects—the monotonic width increase primarily results from acoustic stretching, while the non-monotonic height variation reflects a dynamic balance where mixing enhancement dominates at low sound pressures and stretch-induced suppression prevails at high pressures. The frequency-dependent height variations further confirm complex frequency selectivity and resonant interactions between acoustic parameters and inherent flame characteristics.
Figure 4 illustrates the variation in flame cross-sectional area ( A f ) along the wire direction with increasing sound pressure. The flame area initially expands then contracts as sound pressure rises. This non-monotonic trend confirms that moderate acoustic excitation enhances fuel-oxygen mixing, while excessive acoustic input suppresses combustion. The interaction between acoustic waves and flame represents a complex interdisciplinary domain integrating fluid dynamics, thermodynamics, and acoustics. When acoustic waves propagate through the combustion zone, they generate periodic pressure fluctuations that fundamentally alter the flame’s basic characteristics through multi-scale physical mechanisms.

3.1.2. Images of Flame Extinction

Figure 5 illustrates the temporal–spatial morphological dynamics and luminosity attenuation kinetics of wire flames in the pre-extinction regime (where negative time indices correspond to moments prior to extinction) under acoustic excitation at 50 Hz, 60 Hz, and 70 Hz. At 50 Hz, the flame exhibits a continuous process of spatial constriction and brightness decay from −5 s to −0.1 s, transiting from a relatively robust and luminous flame configuration to a minute, dim flame kernel. The morphological simplification here follows a gradual, quasi-linear temporal progression as extinction ensues. For the 60 Hz condition, while the overarching trend of contraction and luminosity reduction aligns with the 50 Hz scenario, notable temporal heterogeneity emerges in morphological evolution—the flame structure undergoes stepwise simplification with an altered temporal cadence as extinction time approaches. At 70 Hz, the flame sustains a large-scale, high-luminosity morphology until approximately −3 s, after which it undergoes abrupt contraction and dimming. This distinct behavior indicates that elevated acoustic frequencies induce a temporal delay in the initiation of flame contraction, thereby prolonging the persistence of macroscale flame structures in the early pre-extinction phase.
These observations collectively underscore that acoustic frequency serves as a pivotal parameter in modulating the pre-extinction evolution of wire flames, and such modulation stems from the intrinsic interactions between acoustic oscillations and flame dynamic processes. Acoustic waves induce periodic perturbations in the flow field, which in turn affect fuel-oxidizer mixing, heat and mass transfer, and chemical reaction kinetics within the flame. For lower frequencies (e.g., 50 Hz), the longer oscillation period aligns with the flame’s characteristic time scales (e.g., fluid dynamical or chemical reaction times), leading to sustained, gradual perturbations that initiate early flame contraction and luminosity decay. As frequency increases (e.g., 60 Hz, 70 Hz), the shorter oscillation periods introduce more rapid flow fluctuations. At 70 Hz, the relatively high-frequency oscillations may initially lack sufficient temporal overlap with the flame’s intrinsic response times to trigger immediate contraction, thus allowing the flame to maintain a large-scale structure for an extended duration. However, the cumulative effect of high-frequency perturbations eventually intensifies the disruption to flame stability, culminating in a rapid extinction phase. In essence, the differential pre-extinction behaviors across frequencies reflect the disparate coupling efficiencies between acoustic oscillation periods and the flame’s dynamic characteristic times, governing the initiation and progression of flame contraction and extinction.

3.2. Flame Spread Rate over the Horizontal Wire

Figure 6 displays the temporal evolution of the flame leading edge position under typical acoustic excitation. The flame front position along the wire increases linearly with time, exhibiting a correlation coefficient (R2) of 0.99, which confirms a stable flame propagation regime. The slope of this linear fit represents the flame spread rate (FSR). As shown in Figure 7, the FSR at different frequencies demonstrates a consistent non-monotonic trend with increasing sound pressure, characterized by an initial decrease followed by a subsequent increase.
At low sound pressure levels (0 Pa to 0.025 Pa), the flame spread rates at all three frequencies (50 Hz, 60 Hz, and 70 Hz) demonstrated a decreasing trend. As the sound pressure further increased (0.025 Pa to the critical extinction pressure), the flame spread rate showed continuous enhancement. Throughout the entire pressure range from 0 Pa to the critical extinction point, the 70 Hz condition consistently exhibited the highest flame spread rates, while the 50 Hz condition maintained the lowest values. Prior to reaching the critical extinction sound pressure, the maximum flame spread rates recorded for the three frequencies (50 Hz, 60 Hz, and 70 Hz) were 1.79 mm/s, 1.98 mm/s, and 2.07 mm/s, respectively. These peak values represent significant increases of 17.0%, 25.3%, and 28.6% compared to the minimum flame spread rates observed at 0.025 Pa. The experimental results clearly indicate that higher acoustic frequencies substantially accelerate the flame spread rate.
At low sound pressure levels (0–0.025 Pa), low-frequency acoustic waves in the 50–70 Hz range dominate the flame suppression process. Due to their relatively low frequencies (<70 Hz), these acoustic streams generate stronger acoustic streaming velocities, which induce large-scale convective motions and significantly enhance convective cooling through boundary layer disturbances. The acoustic stream entrains surrounding air, stretches the flame boundary layer, and disrupts the thermal feedback loop between the fuel and the flame, thereby reducing the heat input required for fuel pyrolysis. Although the bidirectional pulsations of the low-frequency acoustic stream enhance lateral oxygen supply via a “pumping effect,” the limited intensity of the acoustic stream under low sound pressure conditions results in an oxygen supplementation rate insufficient to counteract the inhibitory effect of convective cooling. Furthermore, the distortion of the flame shape by the acoustic stream reduces the contact area between the unburned fuel and the flame, impeding heat transfer. At this stage, heat loss (convective cooling) dominates the energy balance of the flame, leading to a decreased heat release rate and ultimately a reduction in the flame spread rate.
As the sound pressure increases from 0.025 Pa to the sub-critical extinction level, the dominant influence of acoustic waves shifts toward flame enhancement. With rising sound pressure, the intensity of acoustic streaming strengthens significantly. The low-frequency acoustic streaming enhances the “pumping effect,” efficiently entraining ambient oxygen into the combustion zone and substantially improving oxygen supply. Simultaneously, pressure oscillations induced by higher-frequency acoustic waves (>70 Hz) excite more intense turbulent mixing, which optimizes the diffusion efficiency between fuel vapor and oxygen, thereby shortening the reaction path. Furthermore, high-frequency acoustic disturbances weaken the flame anchoring effect, accelerate fuel evaporation, and increase the amount of fuel vaporized per unit time, providing more fuel sources for pyrolysis. At this stage, the synergistic enhancement of oxygen supply and fuel evaporation leads to a significant increase in the heat release rate—controlled by fuel pyrolysis—whose growth surpasses the heat loss caused by convective cooling. As a result, the system’s energy balance shifts from being dominated by heat loss to being dominated by heat release. Concurrently, turbulent vortices induced by acoustic streaming stretch the flame front, enlarging the surface area of the reaction zone and further promoting the transport of heat and active radical species. Ultimately, the dominant role of the enhanced heat release rate drives a continuous increase in the flame spread rate.
Within the 50–70 Hz low-frequency range, the positive correlation between frequency and flame spread rate arises from a multi-dimensional synergy between acoustic parameters (acoustic frequency and pressure) and combustion dynamics. Specifically, higher frequencies enhance the “pumping effect,” significantly improving oxygen transport efficiency into the reaction zone. Concurrently, increased sound pressure intensifies acoustic streaming, which promotes turbulent mixing and accelerates fuel vaporization. Furthermore, elevated frequencies strengthen flame stretch and broaden the flame reaction zone, collectively optimizing the heat and mass transfer processes. These coupled mechanisms lead to a more pronounced increase in the heat release rate relative to heat loss, thereby accelerating flame spread.

3.3. Characteristic Sound Pressure of Extinction

To determine the required sound pressure for flame extinction over an electrical wire under acoustic excitation, extinction experiments were conducted at various frequencies and sound pressure levels. The extinction criterion was defined as the condition where the flame spread distance was less than 10 cm under acoustic wave [17]. Figure 8 presents a two-dimensional distribution of flame extinction and non-extinction states on a horizontal wire as functions of frequency and acoustic intensity. It can be observed that the critical sound pressure for flame extinction increases with rising frequency. Furthermore, the critical extinction sound pressure for flame spread over the wire is significantly lower than that reported for liquid fuel flames [2].
The wire inclination angle substantially affects the flame spread rate, with steeper angles resulting in faster spread [18]. The critical sound pressure for flame extinction was measured across all tested acoustic frequencies (50, 60, 70, 80, 90 Hz) and wire inclination angles (0°, 30°, 60°). Figure 9 illustrates the variation in the critical extinction sound pressure with frequency at different inclination angles. The critical extinction sound pressure increases with acoustic frequency for all inclination angles, and higher inclination angles require greater critical extinction sound pressures.
The extinction of wire flames under acoustic excitation is primarily governed by the steady fluid motion known as acoustic streaming, which acts as a lateral flow destabilizing the flame. The underlying physical mechanism can be quantitatively described through the interplay between fluid dynamic strain and chemical reaction, encapsulated by the Damköhler number ( D a ). Based on the classical theory of linear acoustics, the acoustic particle velocity ( u a ) is directly related to the sound pressure ( p ) in an ideal plane wave field, and the relationship is given by [19]:
u a = p ρ o c
where ρ o is the ambient density and c is the speed of sound.
The limiting acoustic streaming velocity ( u L ) generated near a boundary is derived from the second-order acoustic forcing and scales as [20]:
u L u a 2 ω
where ω is the angular frequency ( = 2 π f ). And the speed of sound and air density are constant values. This relation shows that the steady streaming velocity is proportional to the square of the sound pressure and inversely proportional to the frequency:
u L p 2 ω
This steady flow establishes a velocity gradient across the flame structure, producing a strain rate ( a ) [21,22] approximated by:
a = u r δ = u L 4 / 3 + ( g β Δ T D ) 2 / 3 4 δ
where u r , u b and δ represent resultant velocity, buoyancy-induced flow velocity and the characteristic length scale, such as wire diameter. The Damköhler number, defined as the ratio of the flow time scale to the chemical time scale, can be expressed in terms of this strain rate:
D a = τ c h e m τ f l o w τ c h e m a
Here, τ c h e m is the chemical time scale intrinsic to the fuel-oxidizer.
Extinction occurs when the flame cannot sustain its energy balance under excessive strain. This is reached at a critical strain rate ( a c r i t i c a l ), which corresponds to a critical Damköhler number ( D a c r i t i c a l ).
D a   D a c
a   a c
It can be derived that the critical extinction sound pressure exhibits the following relationship with the acoustic frequency:
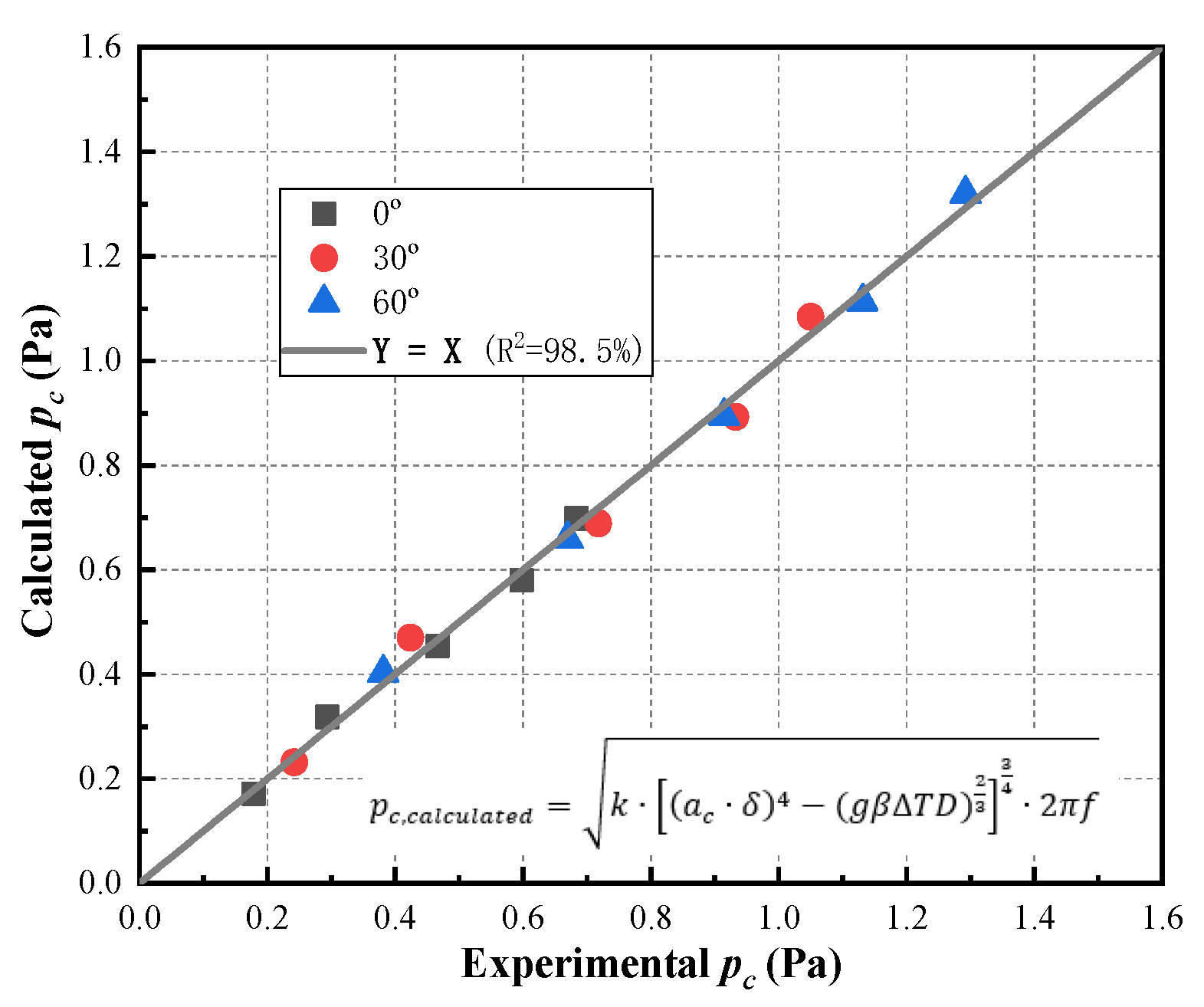
p c = k · a c · δ 4     ( g β Δ T D ) 2 3 3 4 · 2 π f
where k represents a coefficient. To further validate the accuracy of Equation (8), a comparison between the experimental and calculated values of the critical sound pressure is presented in Figure 10, demonstrating a good correlation with R2 = 98.5%. This result confirms that the flame extinction is primarily driven by the mechanism of acoustic streaming.
The acoustically induced flow creates strong forced convection around the flame and the wire, which drastically enhances the heat dissipation rate to the ambient cold air, causing a sharp temperature drop below the sustaining limit. Simultaneously, the high-velocity flow distorts and stretches the flame structure, rapidly removing combustion products and supplying excess oxidizer. This disrupts the local stoichiometry and stabilizes the flame, ultimately leading to blow-off. Thus, the flame extinction on the wire is attributed predominantly to the acoustically induced flow.

4. Conclusions

This study systematically elucidates the flame spread and extinction characteristics of inclined wire flames under acoustic excitation via experimental investigations, and clarifies the regulatory mechanisms governing flame behavior by acoustic parameters (frequency, sound pressure) and wire inclination angle. The key conclusions are summarized as follows:
(1) The flame spread rate exhibits a non-monotonic dependence on sound pressure. In the low sound pressure range (0–0.025 Pa), acoustic waves inhibit flame spread (with a maximum reduction of 28.6%), whereas in the medium-to-high sound pressure range (0.025 Pa to the critical value), they promote flame spread (with a maximum increase of 28.6%). High-frequency acoustic waves (70 Hz) consistently yield a higher spread rate than low-frequency counterparts (50 Hz) by enhancing turbulent mixing and facilitating oxygen entrainment, with the maximum spread rate of 2.07 mm/s (at 70 Hz) observed prior to the critical sound pressure.
(2) An increase in wire inclination angle increases the difficulty of flame extinction. The critical sound pressure for flame extinction increases notably with the increase in inclination angle (e.g., a 60° inclination demands a higher sound pressure than 0°). The elevated inclination angle intensifies buoyancy-driven flow, accelerating fuel pyrolysis and flame spread, thereby requiring a higher sound pressure to disrupt the thermal feedback loop to achieve extinction.
(3) The critical extinction sound pressure of wire flames (0.11–0.36 Pa) is substantially lower than that of liquid fuel flames, demonstrating the high efficiency of acoustic waves in suppressing electrical fires. Analysis based on the Damköhler number ( D a ) reveals that high-frequency acoustic waves necessitate a higher sound pressure to accumulate perturbation effects owing to their reduced period, while low-frequency acoustic flows (<70 Hz) govern the initial fire extinguishing process via intense convective cooling.
This study addresses this gap by systematically quantifying the extinction thresholds for a specific high-hazard fuel—electrical wires—across key variables. The empirical model correlating sound pressure and frequency developed in this study offers a theoretical foundation for the design of acoustic fire suppression systems for electrical facilities.

Author Contributions

Conceptualization, funding acquisition and writing—original draft preparation Y.L.; validation and investigation, M.Y.; software, B.S.; formal analysis, L.L. All authors have read and agreed to the published version of the manuscript.

Funding

This research was supported jointly by the National Natural Science Foundation of China (Grant No. 52306141) and China Postdoctoral Science Foundation (Grant No. 2023M741416).

Institutional Review Board Statement

Not applicable.

Informed Consent Statement

Not applicable.

Data Availability Statement

The data presented in this study are available on request from the corresponding author. The data are not publicly available due to privacy restrictions.

Conflicts of Interest

The authors declare no conflicts of interest.

References

  1. Taspinar, Y.S.; Koklu, M.; Altin, M. Classification of flame extinction based on acoustic oscillations using artificial intelligence methods. Case Stud. Therm. Eng. 2021, 28, 101561. [Google Scholar] [CrossRef]
  2. Friedman, A.N.; Stoliarov, S.I. Acoustic extinction of laminar line-flames. Fire Saf. J. 2017, 93, 102–113. [Google Scholar] [CrossRef]
  3. Fichera, A.; Losenno, C.; Pagano, A. Experimental analysis of thermo-acoustic combustion instability. Appl. Energy 2001, 70, 179–191. [Google Scholar] [CrossRef]
  4. Baillot, F.; Lespinasse, F. Response of a laminar premixed V-flame to a high-frequency transverse acoustic field. Combust. Flame 2014, 161, 1247–1267. [Google Scholar] [CrossRef]
  5. Beisner, E.; Wiggins, N.D.; Yue, K.-B.; Rosales, M.; Penny, J.; Lockridge, J.; Page, R.; Smith, A.; Guerrero, L. Acoustic Flame Suppression Mechanics in a Microgravity Environment. Microgravity Sci. Technol. 2015, 27, 141–144. [Google Scholar] [CrossRef]
  6. O’Connor, J.; Acharya, V.; Lieuwen, T. Transverse combustion instabilities: Acoustic, fluid mechanic, and flame processes. Prog. Energy Combust. Sci. 2015, 49, 1–39. [Google Scholar] [CrossRef]
  7. Sharifi, V.; Kempf, A.M.; Beck, C. Large-Eddy Simulation of Acoustic Flame Response to High-Frequency Transverse Excitations. AIAA J. 2018, 57, 327–340. [Google Scholar] [CrossRef]
  8. Koklu, M.; Taspinar, Y.S. Determining the Extinguishing Status of Fuel Flames with Sound Wave by Machine Learning Methods. IEEE Access 2021, 9, 86207–86216. [Google Scholar] [CrossRef]
  9. Ivanov, S.; Stankov, S.; Wilk-Jakubowski, J.; Stawczyk, P. The Using of Deep Neural Networks and Acoustic Waves Modulated by Triangular Waveform for Extinguishing Fires. In New Approaches for Multidimensional Signal Processing, Proceedings of the International Workshop, NAMSP 2020, Sofia, Bulgaria, 9–11 July 2020; Kountchev, R., Mironov, R., Li, S., Eds.; Springer: Singapore, 2021; pp. 207–218. [Google Scholar]
  10. Angeles, M.R.; Rañada, J.V.; Lopez, D.C.; Apilado, J.R.A.R.; Carlos, M.S.L.; David, F.J.P.; Escario, H.J.R.; Rolloda, A.I.P.; Villanueva, I.C.L. Development of Variable Acoustic Soundwave for Fire Prevention. In Computational Science and Technology, Proceedings of the 6th ICCST 2019, Kota Kinabalu, Malaysia, 29–30 August 2019; Alfred, R., Lim, Y., Haviluddin, H., On, C.K., Eds.; Springer: Singapore, 2020; pp. 331–339. [Google Scholar]
  11. Preetham; Santosh, H.; Lieuwen, T. Dynamics of Laminar Premixed Flames Forced by Harmonic Velocity Disturbances. J. Propuls. Power 2008, 24, 1390–1402. [Google Scholar] [CrossRef]
  12. Niegodajew, P.; Gruszka, K.; Gnatowska, R.; Šofer, M. Application of acoustic oscillations in flame extinction in a presence of obstacle. J. Phys. Conf. Ser. 2018, 1101, 012023. [Google Scholar] [CrossRef]
  13. Fleifil, M.; Annaswamy, A.M.; Ghoneim, Z.A.; Ghoniem, A.F. Response of a laminar premixed flame to flow oscillations: A kinematic model and thermoacoustic instability results. Combust. Flame 1996, 106, 487–510. [Google Scholar] [CrossRef]
  14. Courtine, E.; Selle, L.; Poinsot, T. DNS of Intrinsic ThermoAcoustic modes in laminar premixed flames. Combust. Flame 2015, 162, 4331–4341. [Google Scholar] [CrossRef]
  15. Lu, Y.; Hu, L.; Ma, Y.; Guo, Z.; Wang, Q. An experimental investigation of flames spread interaction over two parallel electrical wires of various separations. Proc. Combust. Inst. 2023, 39, 3813–3821. [Google Scholar] [CrossRef]
  16. Lu, Y.; Sun, B.; Yang, Y.; Huang, Y.; Zhang, X.; Hu, L. Experimental study on the accelerated flame spread behavior over electrical wire under electric currents. Int. Commun. Heat Mass Transf. 2025, 167, 109302. [Google Scholar] [CrossRef]
  17. Takahashi, S.; Ito, H.; Nakamura, Y.; Fujita, O. Extinction limits of spreading flames over wires in microgravity. Combust. Flame 2013, 160, 1900–1902. [Google Scholar] [CrossRef]
  18. Hu, L.; Zhang, Y.; Yoshioka, K.; Izumo, H.; Fujita, O. Flame spread over electric wire with high thermal conductivity metal core at different inclinations. Proc. Combust. Inst. 2015, 35, 2607–2614. [Google Scholar] [CrossRef]
  19. Pierce, A.D. Acoustics: An Introduction to Its Physical Principles and Applications; Springer: Cham, Switzerland, 2019. [Google Scholar]
  20. Nyborg, W.L. Acoustic Streaming near a Boundary. J. Acoust. Soc. Am. 1958, 30, 329–339. [Google Scholar] [CrossRef]
  21. Lu, Y.; Huang, X.; Hu, L.; Fernandez-Pello, C. The interaction between fuel inclination and horizontal wind: Experimental study using thin wire. Proc. Combust. Inst. 2019, 37, 3809–3816. [Google Scholar] [CrossRef]
  22. Ma, Y.; Zhang, X.; Lu, Y.; Lv, J.; Zhu, N.; Hu, L. Effect of transverse flow on flame spread and extinction over polyethylene-insulated wires. Proc. Combust. Inst. 2021, 38, 4727–4735. [Google Scholar] [CrossRef]
Figure 1. Experimental setup for flame spread and extinction over inclined wire under acoustic waves: (a) inclination angle, size and materials of wire; (b) a schematic diagram of the experimental apparatus.
Figure 1. Experimental setup for flame spread and extinction over inclined wire under acoustic waves: (a) inclination angle, size and materials of wire; (b) a schematic diagram of the experimental apparatus.
Fire 09 00003 g001
Figure 2. Typical front and side images of the flame spreading over the wire under acoustic waves.
Figure 2. Typical front and side images of the flame spreading over the wire under acoustic waves.
Fire 09 00003 g002
Figure 3. Variation in flame height (a) and width (b) with sound pressure.
Figure 3. Variation in flame height (a) and width (b) with sound pressure.
Fire 09 00003 g003
Figure 4. The cross-sectional area of the flame from front view changes with sound pressure.
Figure 4. The cross-sectional area of the flame from front view changes with sound pressure.
Fire 09 00003 g004
Figure 5. Side-view images of flame extinction over a horizontal electrical wire under different frequency acoustic wave (“−” denotes pre-extinction state).
Figure 5. Side-view images of flame extinction over a horizontal electrical wire under different frequency acoustic wave (“−” denotes pre-extinction state).
Fire 09 00003 g005
Figure 6. Flame front position changes with time.
Figure 6. Flame front position changes with time.
Fire 09 00003 g006
Figure 7. Flame spread rate changes with sound pressure.
Figure 7. Flame spread rate changes with sound pressure.
Fire 09 00003 g007
Figure 8. Two-dimensional distribution of critical acoustic frequency and pressure for the flame extinction over the horizontal wire.
Figure 8. Two-dimensional distribution of critical acoustic frequency and pressure for the flame extinction over the horizontal wire.
Fire 09 00003 g008
Figure 9. Critical sound pressure for the flame extinction changes with frequency over an inclined wire.
Figure 9. Critical sound pressure for the flame extinction changes with frequency over an inclined wire.
Fire 09 00003 g009
Figure 10. Comparison of experimental and calculated values of critical sound pressure.
Figure 10. Comparison of experimental and calculated values of critical sound pressure.
Fire 09 00003 g010
Table 1. Physical parameters of the wire samples.
Table 1. Physical parameters of the wire samples.
ParametersNiCrPE
Density ( ρ , kg/m3)8000920
Heat conductivity coefficient ( k , W/(m·K))12.50.3
Latent heat ( L v , J/kg) /296
Specific heat ( c , J/(kg·K))4502218
Pyrolysis temperature ( T p , K)/660
Table 2. Experimental Conditions.
Table 2. Experimental Conditions.
Acoustic   Frequency ,   f (Hz) Sound   Pressure ,   p (Pa)
50 0.0063, 0.020, 0.063, 0.11, 0.15
600.0063, 0.020, 0.063, 0.20, 0.27
700.0063, 0.020, 0.063, 0.20, 0.36
Disclaimer/Publisher’s Note: The statements, opinions and data contained in all publications are solely those of the individual author(s) and contributor(s) and not of MDPI and/or the editor(s). MDPI and/or the editor(s) disclaim responsibility for any injury to people or property resulting from any ideas, methods, instructions or products referred to in the content.

Share and Cite

MDPI and ACS Style

Lu, Y.; Yu, M.; Sun, B.; Li, L. Flame Spread and Extinction over Electrical Wire Under Transverse Acoustic Waves. Fire 2026, 9, 3. https://doi.org/10.3390/fire9010003

AMA Style

Lu Y, Yu M, Sun B, Li L. Flame Spread and Extinction over Electrical Wire Under Transverse Acoustic Waves. Fire. 2026; 9(1):3. https://doi.org/10.3390/fire9010003

Chicago/Turabian Style

Lu, Yong, Mingyu Yu, Baojian Sun, and Linxiang Li. 2026. "Flame Spread and Extinction over Electrical Wire Under Transverse Acoustic Waves" Fire 9, no. 1: 3. https://doi.org/10.3390/fire9010003

APA Style

Lu, Y., Yu, M., Sun, B., & Li, L. (2026). Flame Spread and Extinction over Electrical Wire Under Transverse Acoustic Waves. Fire, 9(1), 3. https://doi.org/10.3390/fire9010003

Article Metrics

Back to TopTop