Sign in to use this feature.

Years

Between: -

Subjects

remove_circle_outline
remove_circle_outline
remove_circle_outline
remove_circle_outline
remove_circle_outline
remove_circle_outline
remove_circle_outline
remove_circle_outline
remove_circle_outline

Journals

Article Types

Countries / Regions

Search Results (82)

Search Parameters:
Keywords = fishponds

Order results
Result details
Results per page
Select all
Export citation of selected articles as:
22 pages, 5800 KB  
Article
Habitat-Specific Spatiotemporal Patterns of Red Imported Fire Ants in Guangzhou: A Core City of the Guangdong–Hong Kong–Macao Greater Bay Area
by Meng Chen, Yunbo Song, Jingxin Hong, Mingrong Liang, Yuling Liang and Yongyue Lu
Insects 2026, 17(4), 378; https://doi.org/10.3390/insects17040378 - 1 Apr 2026
Viewed by 531
Abstract
Understanding the spatiotemporal dynamics and underlying drivers of invasive species is crucial for moving beyond descriptive monitoring to predictive management. The red imported fire ant (Solenopsis invicta Buren, RIFA) continues to spread globally, yet studies often lack the seasonal and cross-habitat resolution [...] Read more.
Understanding the spatiotemporal dynamics and underlying drivers of invasive species is crucial for moving beyond descriptive monitoring to predictive management. The red imported fire ant (Solenopsis invicta Buren, RIFA) continues to spread globally, yet studies often lack the seasonal and cross-habitat resolution needed to explain the puzzling heterogeneity of infestations within urban landscapes—such as the stark contrast between high-density agricultural zones and low-density urban green spaces. To address this gap, we conducted a four-season, city-wide survey of 129 sites across four dominant habitat types (farmlands, fishponds, orchards, and urban green spaces) in Guangzhou, a core city of the GBA. Using inverse distance weighting interpolation, kernel density estimation, and spatial autocorrelation, we sought to examine not only the spatial patterns of RIFA distribution but also its potential contributing factors. Our analysis points to three key observations. First, the occurrence level of RIFA appears to follow a significant gradient (farmlands > fishponds > orchards > urban green spaces), suggesting that idle agricultural lands may serve as core reservoirs. Second, we observed a pronounced seasonal bimodal pattern, with peak infestation indices in spring and autumn—a dynamic that seems closely associated with agricultural disturbance cycles. Third, spatial analysis (Global Moran’s I = 0.346, p < 0.001) revealed significant clustering, with “high-high” clusters concentrated in peripheral suburban districts. Notably, abandoned or idle farmlands emerged as a potentially important factor, possibly acting as dispersal hubs that help bridge these spatial and temporal peaks and offering one explanation for how local outbreaks may spread across the landscape. Collectively, these findings suggest that RIFA distribution may not be driven solely by static habitat suitability or climate; instead, they point to the importance of considering the dynamic interplay between land-use legacies (such as abandonment), seasonal agricultural practices, and spatial connectivity. By elucidating these drivers, this study refines the theoretical framework of urban invasion biology and provides a replicable, evidence-based control paradigm. We suggest implementing a “zoned, seasonal, and pathway-specific” management strategy that prioritizes suburban farmland complexes during critical seasons and targets abandoned lands for intervention, offering a path towards more sustainable and precise regional RIFA control in the GBA and beyond. Full article
(This article belongs to the Section Insect Pest and Vector Management)
Show Figures

Figure 1

10 pages, 1556 KB  
Article
The Effect of Competition Between Two Swan Species: Nesting Site Selection and Reproductive Success
by Wojciech Szewczuk, Iga Słomkiewicz-Szewczuk and Zbigniew Kasprzykowski
Animals 2026, 16(6), 901; https://doi.org/10.3390/ani16060901 - 13 Mar 2026
Viewed by 377
Abstract
Climate change-driven range expansions are creating novel interspecific interactions that may significantly impact the breeding success of established resident species. This study examines the ecological consequences of competition between Mute Swans (Cygnus olor) and expanding Whooper Swans (Cygnus cygnus) [...] Read more.
Climate change-driven range expansions are creating novel interspecific interactions that may significantly impact the breeding success of established resident species. This study examines the ecological consequences of competition between Mute Swans (Cygnus olor) and expanding Whooper Swans (Cygnus cygnus) in central and eastern Poland. We monitored 80 Mute Swan breeding pairs across fishpond complexes using UAV-based surveys to assess habitat selection and reproductive output in sites with and without Whooper Swan presence. Mute Swans breeding alongside Whooper Swans selected nest sites deeper within reed vegetation and showed altered habitat preferences compared to pairs breeding without competition from a related species. Significantly, reproductive output was reduced in competitive environments, with pairs breeding in areas without Whooper Swans producing considerably more offspring than those coexisting with the expanding species. These results demonstrate that the expansion of a given species’ range can cause immediate costs to local species, both via direct confrontations and through the impact on the quality of the occupied habitat. The substantial reduction in breeding success suggests that interspecific competition may have population-level consequences for established waterbird communities. Full article
(This article belongs to the Section Ecology and Conservation)
Show Figures

Figure 1

25 pages, 1084 KB  
Article
Value Transformation and Revitalization Mechanism of the Mulberry-Dyke Fishpond System
by Jiabei He, Jiayue Wu, Cheng Lu and Wenfang Huang
Sustainability 2026, 18(4), 2098; https://doi.org/10.3390/su18042098 - 20 Feb 2026
Viewed by 473
Abstract
The mulberry-dyke fishpond system represents China’s traditional circular agricultural heritage yet faces challenges of “circularity without economic viability” and preservation under modernization pressures. Taking the Globally Important Agricultural Heritage System site of Digang in Huzhou as a case study, this paper reveals fundamental [...] Read more.
The mulberry-dyke fishpond system represents China’s traditional circular agricultural heritage yet faces challenges of “circularity without economic viability” and preservation under modernization pressures. Taking the Globally Important Agricultural Heritage System site of Digang in Huzhou as a case study, this paper reveals fundamental shifts in its value structure through local research and interviews. Key findings include the following: (1) Significant decline in traditional economic value: Annual income from mulberry-dyke fishpond systems is extremely low, far below the per-mu yield of modern intensive aquaculture in the area. This has led to producer withdrawal and the disintegration of the base-pond structure. (2) Ecological and social values increasingly emerge and partially marketize: The system’s ecological service value is substantial and policy-recognized, with markets responding through a 100% premium on eco-fish prices. Concurrently, heritage-based cultural tourism integration generates significant new value—for instance, Digang village’s 2023 tourism revenue reached 140 million. However, these prominent non-market values still lack stable, adequate realization pathways. The core argument of this study is that the decline in mulberry-dyke fishpond systems stems from an imbalance in value structures rather than the disappearance of value. Their revitalization hinges on institutional innovation that transforms ecological and social value into sustainable market incentives. To this end, this paper proposes a systematic revitalization framework encompassing a concession system (incorporating community interest alignment and risk management clauses), regional brand certification, carbon sink value realization, and mechanisms for deep community participation. This approach aims to provide a Chinese solution for the sustainable development of similar agricultural cultural heritage sites, offering both theoretical insights and practical value. Full article
Show Figures

Figure 1

19 pages, 2329 KB  
Article
Effects of Nitrate Source (Artificial and Fishpond) and UV Radiation on Physiological, Photosynthetic, and Biochemical Parameters of Porphyra dioica for Sustainable Integrated Multitrophic Aquaculture (IMTA)
by Débora Tomazi Pereira, Ignacio Moreu Badia, Julia Vega, Fabian López Palica, David López Paniagua, Nathalie Korbee and Félix L. Figueroa
Nitrogen 2025, 6(4), 108; https://doi.org/10.3390/nitrogen6040108 - 24 Nov 2025
Viewed by 854
Abstract
The red macroalga Porphyra plays a key role in Integrated Multi-Trophic Aquaculture (IMTA) systems, acting both as a biofilter and as a source of bioactive compounds (BACs) with nutritional and photoprotective value. This study evaluated how nitrogen source and concentration influence its physiological, [...] Read more.
The red macroalga Porphyra plays a key role in Integrated Multi-Trophic Aquaculture (IMTA) systems, acting both as a biofilter and as a source of bioactive compounds (BACs) with nutritional and photoprotective value. This study evaluated how nitrogen source and concentration influence its physiological, photosynthetic, and biochemical responses under ultraviolet radiation (UVR). Gametophytes were cultured for four days under two nitrate sources (artificial and fishpond effluents) at 3 and 5 mM concentrations and exposed to PAR (120 µmol·photons·m−2·s−1) and UVR (9 W·m−2 for 6 h·day−1). Morphological responses, photosynthetic performance, and BACs were quantified. Nitrate uptake increased with nitrate concentration, while growth rate remained unaffected. Samples grown with fishpond effluents, particularly at 3 mM, showed darker pigmentation and higher phycoerythrin and mycosporine-like amino acid (MAA) contents, indicating enhanced nitrogen assimilation and photoprotective capacity. Conversely, 3 mM artificial nitrate in the water promoted the highest electron transport rate and lowest non-photochemical quenching, suggesting greater photosynthetic capacity. Polyphenols and antioxidant activity showed no significant differences among treatments, indicating similar stress status. Overall, it is suggested that fishpond effluents acted as a natural biostimulant, enhancing biliprotein and MAA synthesis without compromising physiological stability, reinforcing its potential for sustainable IMTA-based production of high-value photoprotective compounds. Full article
Show Figures

Figure 1

31 pages, 3790 KB  
Systematic Review
Plants Used in Constructed Wetlands for Aquaculture: A Systematic Review
by Erick Arturo Betanzo-Torres, Gastón Ballut-Dajud, Graciano Aguilar-Cortés, Elizabeth Delfín-Portela and Luis Carlos Sandoval Herazo
Sustainability 2025, 17(14), 6298; https://doi.org/10.3390/su17146298 - 9 Jul 2025
Cited by 6 | Viewed by 3790
Abstract
The latest FAO report indicates that aquaculture accounts for 51% of the global production volume of fish and seafood. However, despite the continuous growth of this activity, there is evidence of the excessive use of groundwater in its production processes, as well as [...] Read more.
The latest FAO report indicates that aquaculture accounts for 51% of the global production volume of fish and seafood. However, despite the continuous growth of this activity, there is evidence of the excessive use of groundwater in its production processes, as well as pollution caused by nutrient discharges into surface waters due to the water exchange required to maintain water quality in fishponds. Given this context, the objectives of this study were as follows: (1) to review which emergent and floating plant species are used in constructed wetlands (CWs) for the bioremediation of aquaculture wastewater; (2) to identify the aquaculture species whose wastewater has been treated with CW systems; and (3) to examine the integration of CWs with recirculating aquaculture systems (RASs) for water reuse. A systematic literature review was conducted, selecting 70 scientific articles published between 2003 and 2023. The results show that the most used plant species in CW systems were Phragmites australis, Typha latifolia, Canna indica, Eichhornia crassipes, and Arundo donax, out of a total of 43 identified species. These plants treated wastewater generated by 25 aquaculture species, including Oreochromis niloticus, Litopenaeus vannamei, Ictalurus punctatus, Clarias gariepinus, Tachysurus fulvidraco, and Cyprinus carpio, However, only 40% of the reviewed studies addressed aspects related to the incorporation of RAS elements in their designs. In conclusion, the use of plants for wastewater treatment in CW systems is feasible; however, its application remains largely at the experimental scale. Evidence indicates that there are limited real-scale applications and few studies focused on the reuse of treated water for agricultural purposes. This highlights the need for future research aimed at production systems that integrate circular economy principles in this sector, through RAS–CW systems. Additionally, there is a wide variety of plant species that remain unexplored for these purposes. Full article
Show Figures

Figure 1

31 pages, 6429 KB  
Article
Retrieval of Dissolved Oxygen Concentrations in Fishponds in the Guangdong–Hong Kong–Macao Greater Bay Area Using Satellite Imagery and Machine Learning
by Keming Mao, Dakang Wang, Shirong Cai, Tao Zhou, Wenxin Zhang, Qianqian Yang, Zikang Li, Xiankun Yang and Lorenzo Picco
Remote Sens. 2025, 17(13), 2277; https://doi.org/10.3390/rs17132277 - 3 Jul 2025
Cited by 4 | Viewed by 3184
Abstract
Dissolved oxygen (DO) is a fundamental water quality parameter that directly determines aquaculture productivity. China contributes 57% of the global aquaculture production, with the Guangdong–Hong Kong–Macao Greater Bay Area (GBA) serving as a key contributor. However, this region faces significant environmental challenges due [...] Read more.
Dissolved oxygen (DO) is a fundamental water quality parameter that directly determines aquaculture productivity. China contributes 57% of the global aquaculture production, with the Guangdong–Hong Kong–Macao Greater Bay Area (GBA) serving as a key contributor. However, this region faces significant environmental challenges due to increasing intensive stocking densities and outdated management practices, while also grappling with the systematic monitoring limitations of large-scale operations. To address these challenges, in this study, a random forest-based model was developed for DO concentration retrieval (R2 = 0.82) using Landsat 8/9 OLI imagery. The Lindeman, Merenda, and Gold (LMG) algorithm was applied to field data collected from four cities—Foshan, Hong Kong, Huizhou, and Zhongshan—to identify key environmental drivers to the changes in DO concentration in these cities. This study also employed satellite imagery from multiple periods to analyze the spatiotemporal distribution and trends of DO concentrations over the past decade, aiming to enhance understanding of DO variability. The results indicate that the average DO concentration in fishponds across the GBA was 7.44 mg/L with a statistically insignificant upward trend. Spatially, the DO levels remained slightly lower than those in other waters. The primary environmental factor influencing DO variations was the pH levels, while the relationship between natural factors such as the temperature and DO concentration was significantly hidden by aquaculture management practices. The further analysis of fishpond water quality parameters across land uses revealed that fishponds with lower DO concentrations (7.293 mg/L) are often located in areas with intensive human intervention, particularly in highly urbanized regions. The approach proposed in this study provides an operational method for large-scale DO monitoring in aquaculture systems, enabling the qualification of anthropogenic influences on water quality dynamics. It also offers scalable solutions for the development of adaptive management strategies, thereby supporting the sustainable management of aquaculture environments. Full article
Show Figures

Figure 1

21 pages, 4930 KB  
Article
Seasonal Dynamics of Red Imported Fire Ant (Solenopsis invicta) Colony Structures Across Camellia oleifera Plantations and Fishponds in South China
by Yuling Liang, Jingxin Hong, Yunbo Song, Kuo Yue, Meng Chen, Jiarui Wu, Yangting Ou, Mingrong Liang and Yongyue Lu
Animals 2025, 15(10), 1483; https://doi.org/10.3390/ani15101483 - 20 May 2025
Cited by 3 | Viewed by 2645
Abstract
The red imported fire ant (Solenopsis invicta, RIFA) is a globally invasive species with strong sensitivity to environmental conditions. This study investigated the seasonal dynamics and colony structure of RIFA over the course of one year across two typical habitats in [...] Read more.
The red imported fire ant (Solenopsis invicta, RIFA) is a globally invasive species with strong sensitivity to environmental conditions. This study investigated the seasonal dynamics and colony structure of RIFA over the course of one year across two typical habitats in South China: Camellia oleifera plantations and fishponds. The results revealed clear seasonal patterns in caste composition. Worker abundance peaked during winter (December–January), while reproductive individuals (queens, males, and alates) emerged primarily in spring and early summer (March–May). Colony biomass, worker number, and individual dry weight were significantly higher in C. oleifera plantations, whereas fishpond habitats exhibited greater numbers of larvae and male alates, suggesting different reproductive allocation strategies across habitats. An analysis of caste composition indicated that adult workers were dominant in both habitats, but the proportion of pupae was notably higher in fishpond colonies, especially in spring. Significant correlations were found between colony metrics and nest characteristics, including a negative relationship between worker body length and colony biomass. Environmental factor analysis showed that air pressure positively influenced worker numbers, while temperature was negatively associated with them. Precipitation and humidity played key roles in regulating larval and pupal populations. Overall, RIFA exhibited strong seasonal patterns and ecological plasticity in response to habitat differences and environmental variables. These findings provide insights into the species’ invasion biology and inform habitat-specific monitoring and management strategies. Full article
(This article belongs to the Section Ecology and Conservation)
Show Figures

Figure 1

25 pages, 3676 KB  
Article
Fishponds Are Hotspots of Algal Biodiversity—Organic Carp Farming Reveals Unexpected High Taxa Richness
by Michael Schagerl, Chun-Chieh Yen, Christian Bauer, Luka Gaspar and Johann Waringer
Environments 2025, 12(3), 92; https://doi.org/10.3390/environments12030092 - 15 Mar 2025
Cited by 2 | Viewed by 2510
Abstract
Fishponds are regarded as hypertrophic systems accompanied by low biodiversity. We focused on the phytoplankton diversity of 15 fishponds located in Austria. Of the 15 fishponds, 12 waterbodies are aquaculture ponds stocked with common carp, which converted to organic farming some years ago [...] Read more.
Fishponds are regarded as hypertrophic systems accompanied by low biodiversity. We focused on the phytoplankton diversity of 15 fishponds located in Austria. Of the 15 fishponds, 12 waterbodies are aquaculture ponds stocked with common carp, which converted to organic farming some years ago with grain as supplementary feed, and 3 ponds are used for recreational fishing. The trophic state index increased from 59 to 71 in spring to 80 to 93 in autumn and classified the ponds as mid-eutrophic to hypertrophic. The taxa number was surprisingly high (taxa richness up to 100 taxa per pond). The phytoplankton resource use efficiency was in the upper range of eutrophicated waters and did not show seasonal differences (median Chlorophyll-a/total phosphorus = 1.94, Chlorophyll-a/total nitrogen = 0.12). Linking environmental data with the algal community resulted in a distinct temporal community pattern with a significant seasonal shift from the cooler season dominated by Ochrophyta taxa to green algae as the most abundant group in summer and autumn. Our findings challenge general assumptions regarding low phytoplankton diversity with long-lasting Cyanobacteria blooms and conform to the algal dynamics described in the plankton ecology group (PEG) model for temperate shallow lakes. These man-made systems are an ecological asset, highly connected to terrestrial habitats in their vicinity and significantly contributing to the ecological health and long-term sustainability of the region. Full article
Show Figures

Figure 1

21 pages, 1391 KB  
Article
Identification of Aquatic Plant Species Suitable for Growing in Integrated Multi-Trophic Aquaculture Systems in Southwest Bangladesh
by Alif Layla Bablee, Abul Bashar, Md. Mehedi Alam, Neaz A. Hasan, Mohammad Mahfujul Haque, Lars Hestbjerg Hansen and Niels O. G. Jørgensen
Sustainability 2024, 16(24), 11113; https://doi.org/10.3390/su162411113 - 18 Dec 2024
Cited by 10 | Viewed by 5249
Abstract
Giant freshwater prawn (Macrobrachium rosenbergii) farming in Bangladesh began in the 1970s and has become a significant export industry. Despite its potential, there are concerns about the environmental sustainability of prawn farming due to its high greenhouse gas (GHG) footprint, but [...] Read more.
Giant freshwater prawn (Macrobrachium rosenbergii) farming in Bangladesh began in the 1970s and has become a significant export industry. Despite its potential, there are concerns about the environmental sustainability of prawn farming due to its high greenhouse gas (GHG) footprint, but implementation of integrated multi-trophic aquaculture (IMTA) may help minimize the GHG emission. A key element in IMTA is using plants to take up inorganic nutrients released by the prawns, producing valuable plant products and cleaning the water. Using a quadrat sampling method, we conducted a field study in combined prawn and shrimp ponds, aquaculture fishponds, and non-aquaculture waters in south- west Bangladesh to characterize plant diversity and identify suitable species for IMTA in prawn farms. A total of 38 plant species were identified with densities ranging from 4.5–6.1 plants/m2 in the aquaculture ponds to 11.6–17.1 plants/m2 in the prawn/shrimp and the non-aquaculture ponds. Free-floating plants were the most abundant, followed by emergent, floating anchored, and submerged plants. Most plants have commercial values as food, fodder, fish feed, fertilizer, or medicines to local people. Our results suggest that species within the Oxalis, Ipomoea, Azolla, and Lemna genera are suitable extractive aquatic plants for the implementation of IMTA in prawn farms and may improve the sustainability of prawn production. Full article
(This article belongs to the Section Environmental Sustainability and Applications)
Show Figures

Figure 1

16 pages, 5576 KB  
Article
An Optimal Internet of Things-Driven Intelligent Decision-Making System for Real-Time Fishpond Water Quality Monitoring and Species Survival
by Saima Kanwal, Muhammad Abdullah, Sahil Kumar, Saqib Arshad, Muhammad Shahroz, Dawei Zhang and Dileep Kumar
Sensors 2024, 24(23), 7842; https://doi.org/10.3390/s24237842 - 8 Dec 2024
Cited by 16 | Viewed by 5447
Abstract
Smart fish farming faces critical challenges in achieving comprehensive automation, real-time decision-making, and adaptability to diverse environmental conditions and multi-species aquaculture. This study presents a novel Internet of Things (IoT)-driven intelligent decision-making system that dynamically monitors and optimizes water quality parameters to enhance [...] Read more.
Smart fish farming faces critical challenges in achieving comprehensive automation, real-time decision-making, and adaptability to diverse environmental conditions and multi-species aquaculture. This study presents a novel Internet of Things (IoT)-driven intelligent decision-making system that dynamically monitors and optimizes water quality parameters to enhance fish survival rates across various regions and species setups. The system integrates advanced sensors connected to an ESP32 microcontroller, continuously monitoring key water parameters such as pH, temperature, and turbidity which are increasingly affected by climate-induced variability. A custom-built dataset comprising 43,459 records, covering ten distinct fish species across diverse pond environments, was meticulously curated. The data were stored as a comma-separated values (CSV) file on the IoT cloud platform ThingSpeak and synchronized with Firebase, enabling seamless remote access, control, and real-time updates. Advanced machine learning techniques, with feature transformation and balancing, were applied to preprocess the dataset, which includes water quality metrics and species-specific parameters. Multiple algorithms were trained and evaluated, with the Decision Tree classifier emerging as the optimal model, achieving remarkable performance metrics: 99.8% accuracy, precision, recall, and F1-score, a 99.6% Matthews Correlation Coefficient (MCC), and the highest Area Under the Curve (AUC) score for multi-class classification. Our framework’s capability to manage complex, multi-species fishpond environments was validated across diverse setups, showcasing its potential to transform fish farming practices by ensuring sustainable climate-adaptive management through real-time water quality optimization. This study marks a significant step forward in climate-smart aquaculture, contributing to enhanced fish health, survival, and yield while mitigating the risks posed by climate change on aquatic ecosystems. Full article
(This article belongs to the Special Issue Innovative Applications and Strategies for IoT)
Show Figures

Figure 1

16 pages, 4134 KB  
Article
Impact of Irrigation on Soil Water Balance and Salinity at the Boundaries of Cropland, Wasteland and Fishponds under a Cropland–Wasteland–Fishpond System
by Cuicui Yu, Haibin Shi, Qingfeng Miao, José Manuel Gonçalves, Xu Dou, Zhiyuan Hu, Cong Hou, Yi Zhao and Hua Zhang
Agronomy 2024, 14(9), 2110; https://doi.org/10.3390/agronomy14092110 - 16 Sep 2024
Cited by 1 | Viewed by 2147
Abstract
In order to explore the effect of fishponds on soil water, salt transport and salinization in cropland wasteland, a study on soil water balance and salt distribution pattern in a cropland–wasteland–fishpond system was carried out in 2022–2023 in a typical study area selected [...] Read more.
In order to explore the effect of fishponds on soil water, salt transport and salinization in cropland wasteland, a study on soil water balance and salt distribution pattern in a cropland–wasteland–fishpond system was carried out in 2022–2023 in a typical study area selected from the Yichang Irrigation Area of the Hetao Irrigation District. A water balance model was established for the cropland–wasteland–fishpond system to analyze the effects of irrigation on soil salinity at the boundaries of the cropland, wasteland, and fishpond. The results showed that the lateral recharge from the cropland to the wasteland during spring irrigation in 2022 was 24 mm, the lateral recharge generated by fishponds to wasteland was 18 mm, and the lateral recharge from fishponds to fishpond boundaries was 34 mm. In the fertility period of 2023, the lateral recharge from cropland to wasteland was 15 mm, the lateral recharge from fishponds to wasteland was 9 mm, and the lateral recharge from fishponds to fishpond boundaries was 21 mm. Due to the low salinity content of fishpond water, it diluted the groundwater of the wasteland, and the soil salinity at the boundary between the wasteland and the fishpond was monitored. The data show that the soil salinity at the boundary of the fishpond was smaller than that of the wasteland, which indicates that the migration of fishpond water to the wasteland will not lead to an increase in the soil salinity of the wasteland, but rather to a decrease in the soil salinity of the wasteland. Fishpond regulation has a significant impact on soil and groundwater, and when the topographic conditions of the Hetao irrigation area allow, the model of cropland–wasteland–fishpond can be appropriately adopted to solve land degradation and increase the economic income of farmers; the results of the study provide a contribution for the improvement of the management of land use and soil salinization in the Hetao irrigation area. Full article
(This article belongs to the Special Issue Water Saving in Irrigated Agriculture: Series II)
Show Figures

Figure 1

36 pages, 22375 KB  
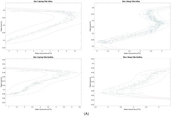
Article
Nuʻupia Ponds’ Water Circulation Characteristics: Exploring Water Exchange and Residence Time for Marine Ecosystem Management
by Paula Möhlenkamp, Erik C. Franklin and Margaret A. McManus
Sustainability 2024, 16(16), 7159; https://doi.org/10.3390/su16167159 - 20 Aug 2024
Viewed by 1340
Abstract
Nuʻupia Ponds, a traditional Hawaiian fishpond system, are located at Marine Corps Base Hawaiʻi (MCBH) and part of the Nuʻupia Ponds Wildlife Management Area, a wetland refuge for native, endangered, and protected birds and Hawaiian green sea turtles, as well as many native [...] Read more.
Nuʻupia Ponds, a traditional Hawaiian fishpond system, are located at Marine Corps Base Hawaiʻi (MCBH) and part of the Nuʻupia Ponds Wildlife Management Area, a wetland refuge for native, endangered, and protected birds and Hawaiian green sea turtles, as well as many native fish species. Currently, there is uncertainty regarding the ecological status and condition of the fishponds following prior modification of wetland habitats in and around the ponds. This study examines circulation dynamics and characterizes water exchange, pond volume, and residence time across the full tidal spectrum at the Nuʻupia fishponds. Our results indicate a general west to east gradient in current flow; with higher flushing rates and lower residence times of fishponds in the western ponds of the Nuʻupia system compared to the eastern ponds. We further found low flushing rates at several sites causing limited water exchange with Kāneʻohe Bay, as well as within the Nuʻupia Pond system. Sufficient water circulation plays a fundamental role in maintaining a healthy balance of fishpond flora and fauna and preserving ecosystem health. The results from this study provide a baseline for current physical water circulation dynamics and implications for ecosystem health, as well as informing science-based conservation and management strategies moving forward. Full article
Show Figures

Figure 1

22 pages, 2754 KB  
Review
From Feed to Fish—Nutrients’ Fate in Aquaculture Systems
by Ana Paula Dalbem Barbosa, Sarian Kosten, Claumir Cesar Muniz and Ernandes Sobreira Oliveira-Junior
Appl. Sci. 2024, 14(14), 6056; https://doi.org/10.3390/app14146056 - 11 Jul 2024
Cited by 20 | Viewed by 6400
Abstract
Aquaculture is increasing globally, providing protein to a growing population, but little is known regarding the nutrient budgets in aquaculture. To obtain insight into how management practices impact nutrient fluxes in freshwater aquaculture earthen ponds worldwide, we conducted a literature review. Our literature [...] Read more.
Aquaculture is increasing globally, providing protein to a growing population, but little is known regarding the nutrient budgets in aquaculture. To obtain insight into how management practices impact nutrient fluxes in freshwater aquaculture earthen ponds worldwide, we conducted a literature review. Our literature search yielded 23 papers in which nutrient budgets were reported. Our results showed that the main nutrient inputs are inlet water, feed, and fertilizers, but they varied according to location and management practices. Overall, feed and fertilizers constituted the predominant nutrient sources, accounting for up to 99% of the total inputs. The most quantified outputs were outlet water, fish, and sedimentation. Our findings indicate that only up to 20% of carbon, 45% of nitrogen, and 60% of phosphorus are assimilated by the fish. In some systems, up to 80% of carbon, 80% of nitrogen, and 60% of phosphorus accumulate in pond bottoms; in other systems, the outflow represents substantial losses of up to 16% of carbon, 76% of nitrogen, and 55% of phosphorus. More insight into nutrients’ fate in fishponds is crucial from a sustainability perspective, as feed and fertilizer use can likely be optimized, reducing operational costs and the potential impact on the surrounding environment and atmospheric greenhouse gas concentrations. Full article
Show Figures

Figure 1

28 pages, 83238 KB  
Article
Non-Invasive Fish Biometrics for Enhancing Precision and Understanding of Aquaculture Farming through Statistical Morphology Analysis and Machine Learning
by Fernando Joaquín Ramírez-Coronel, Oscar Mario Rodríguez-Elías, Edgard Esquer-Miranda, Madaín Pérez-Patricio, Anna Judith Pérez-Báez and Eduardo Antonio Hinojosa-Palafox
Animals 2024, 14(13), 1850; https://doi.org/10.3390/ani14131850 - 21 Jun 2024
Cited by 15 | Viewed by 4539
Abstract
Aquaculture requires precise non-invasive methods for biomass estimation. This research validates a novel computer vision methodology that uses a signature function-based feature extraction algorithm combining statistical morphological analysis of the size and shape of fish and machine learning to improve the accuracy of [...] Read more.
Aquaculture requires precise non-invasive methods for biomass estimation. This research validates a novel computer vision methodology that uses a signature function-based feature extraction algorithm combining statistical morphological analysis of the size and shape of fish and machine learning to improve the accuracy of biomass estimation in fishponds and is specifically applied to tilapia (Oreochromis niloticus). These features that are automatically extracted from images are put to the test against previously manually extracted features by comparing the results when applied to three common machine learning methods under two different lighting conditions. The dataset for this analysis encompasses 129 tilapia samples. The results give promising outcomes since the multilayer perceptron model shows robust performance, consistently demonstrating superior accuracy across different features and lighting conditions. The interpretable nature of the model, rooted in the statistical features of the signature function, could provide insights into the morphological and allometric changes at different developmental stages. A comparative analysis against existing literature underscores the competitiveness of the proposed methodology, pointing to advancements in precision, interpretability, and species versatility. This research contributes significantly to the field, accelerating the quest for non-invasive fish biometrics that can be generalized across various aquaculture species in different stages of development. In combination with detection, tracking, and posture recognition, deep learning methodologies such as the one provided in the latest studies could generate a powerful method for real-time fish morphology development, biomass estimation, and welfare monitoring, which are crucial for the effective management of fish farms. Full article
(This article belongs to the Special Issue Sustainable Aquaculture Production Systems)
Show Figures

Graphical abstract

19 pages, 1380 KB  
Article
Highlighting the Use of UAV to Increase the Resilience of Native Hawaiian Coastal Cultural Heritage
by Kainalu K. Steward, Brianna K. Ninomoto, Haunani H. Kane, John H. R. Burns, Luke Mead, Kamala Anthony, Luka Mossman, Trisha Olayon, Cybil K. Glendon-Baclig and Cherie Kauahi
Remote Sens. 2024, 16(12), 2239; https://doi.org/10.3390/rs16122239 - 20 Jun 2024
Cited by 5 | Viewed by 3785
Abstract
The use of Uncrewed Aerial Vehicles (UAVs) is becoming a preferred method for supporting integrated coastal zone management, including cultural heritage sites. Loko i′a, traditional Hawaiian fishponds located along the coastline, have historically provided sustainable seafood sources. These coastal cultural heritage sites are [...] Read more.
The use of Uncrewed Aerial Vehicles (UAVs) is becoming a preferred method for supporting integrated coastal zone management, including cultural heritage sites. Loko i′a, traditional Hawaiian fishponds located along the coastline, have historically provided sustainable seafood sources. These coastal cultural heritage sites are undergoing revitalization through community-driven restoration efforts. However, sea level rise (SLR) poses a significant climate-induced threat to coastal areas globally. Loko i′a managers seek adaptive strategies to address SLR impacts on flooding, water quality, and the viability of raising native fish species. This study utilizes extreme tidal events, known as King Tides, as a proxy to estimate future SLR scenarios and their impacts on loko i′a along the Keaukaha coastline in Hilo, Hawai′i. In situ water level sensors were deployed at each site to assess flooding by the loko i′a type and location. We also compare inundation modeled from UAV-Structure from Motion (SfM) Digital Elevation Models (DEM) to publicly available Light Detection and Ranging (LiDAR) DEMs, alongside observed flooding documented by UAV imagery in real time. The average water levels (0.64 m and 0.88 m) recorded in this study during the 2023 King Tides are expected to reflect the average sea levels projected for 2060–2080 in Hilo, Hawai′i. Our findings indicate that high-resolution UAV-derived DEMs accurately model observed flooding (with 89% or more agreement), whereas LiDAR-derived flood models significantly overestimate observed flooding (by 2–5 times), outlining a more conservative approach. To understand how UAV datasets can enhance the resilience of coastal cultural heritage sites, we looked into the cost, spatial resolution, accuracy, and time necessary for acquiring LiDAR- and UAV-derived datasets. This study ultimately demonstrates that UAVs are effective tools for monitoring and planning for the future impacts of SLR on coastal cultural heritage sites at a community level. Full article
Show Figures

Figure 1

Back to TopTop