Sign in to use this feature.

Years

Between: -

Subjects

remove_circle_outline
remove_circle_outline
remove_circle_outline
remove_circle_outline
remove_circle_outline
remove_circle_outline
remove_circle_outline
remove_circle_outline
remove_circle_outline

Journals

remove_circle_outline
remove_circle_outline
remove_circle_outline
remove_circle_outline
remove_circle_outline
remove_circle_outline
remove_circle_outline
remove_circle_outline
remove_circle_outline
remove_circle_outline
remove_circle_outline
remove_circle_outline
remove_circle_outline
remove_circle_outline
remove_circle_outline
remove_circle_outline

Article Types

Countries / Regions

remove_circle_outline
remove_circle_outline
remove_circle_outline
remove_circle_outline
remove_circle_outline

Search Results (1,801)

Search Parameters:
Keywords = filter comparison

Order results
Result details
Results per page
Select all
Export citation of selected articles as:
15 pages, 3292 KB  
Article
Enhanced Electro-Dewatering of Sludge Through Inorganic Coagulant Pre-Conditioning
by Xiaoyin Yang, Song Huang, Yusong Zhang, Hanjun Wu, Yabin Ma and Bingdi Cao
Separations 2025, 12(10), 262; https://doi.org/10.3390/separations12100262 - 26 Sep 2025
Abstract
Sludge electro-dewatering technology is an attractive dewatering technology, but its application is limited by high energy consumption and filter cloth clogging caused by the dissolution of extracellular polymeric substances (EPSs). Thus, the addition of inorganic coagulants is expected to enhance the electro-dewatering efficiency [...] Read more.
Sludge electro-dewatering technology is an attractive dewatering technology, but its application is limited by high energy consumption and filter cloth clogging caused by the dissolution of extracellular polymeric substances (EPSs). Thus, the addition of inorganic coagulants is expected to enhance the electro-dewatering efficiency of waste activated sludge (WAS). In this study, we evaluated the effects of the three typical inorganic coagulants (HPAC, PAC, and FeCl3) on sludge electro-dewatering behavior. The results show that the electro-dewatering rate at the cathode was increased with the raising of the inorganic coagulants dosage, and FeCl3 exhibited the best effect on the improvement of sludge electro-dewatering among the three inorganic coagulants. The zeta potential of the sludge flocs and the electro-osmotic effect were raised with the increasing of the inorganic coagulants dosage. The sludge floc conditioned by FeCl3 is more compact than HPAC and PAC. Moreover, the dissolved EPS content reduced in the sludge electro-dewatering process when inorganic coagulant was added. In comparison to increasing ionic strength, the compression of extracellular polymeric substances (EPSs) plays a more critical role in enhancing the electro-dewatering process of sludge. The addition of inorganic coagulants also reduced the energy consumption during water removal in the electro-dewatering process. Full article
Show Figures

Graphical abstract

15 pages, 2966 KB  
Article
Time Delay and Frequency Analysis of Remote Microphones
by Elena Andreatta, Igor Caregnato, Antonio Selmo, Andrea Gulli, Marius George Onofrei and Eva Orzan
Audiol. Res. 2025, 15(5), 123; https://doi.org/10.3390/audiolres15050123 - 25 Sep 2025
Abstract
Background/Objectives: A.BA.CO. is a speech-to-text captioning system developed for school classrooms. The system uses remote microphones to capture the teacher’s speech without background noise. Under this setup, an issue of signal latency arises for students wearing hearing aids (HAs) or cochlear implants (CIs), [...] Read more.
Background/Objectives: A.BA.CO. is a speech-to-text captioning system developed for school classrooms. The system uses remote microphones to capture the teacher’s speech without background noise. Under this setup, an issue of signal latency arises for students wearing hearing aids (HAs) or cochlear implants (CIs), whose latency is different from that of the remote microphones and may require the development of a temporal coupling solution. This study establishes the foundation for such a solution by determining the latency of two RMs (Remote Microphones) compatible with both HA and CI systems. The frequency response of the systems is analyzed independently and combined. Methods: The RMs combined with two Behind-The-Ear HAs, for which transparency was verified, were tested with two different compression ratios in a laboratory specializing in electroacoustic measurements using the comparison method to assess performance. Results: The time measurements revealed that the RMs differ by 10–12 ms (23–24 ms and 33–35 ms) and that the two HAs have time delays that differ by 1–2 ms (6–7 ms and 5–7 ms). The frequency responses showed that when HA and RM have similar gains, they exhibit comb-filter distortions. This effect could alter the acoustic output of devices in the ear canal and vary according to the mix ratio and mutual positions of HA and RM, potentially necessitating greater commitment from the wearer. Conclusions: The communication system will have to foresee different delays based on the model and brand of RM because similar transmission systems do not have the same time delays. RMs were originally designed for HA and are most effective if they represent the only or major acoustic stimulation that reaches the eardrum. These limits must be considered when estimating the effectiveness of A.BA.CO. with RM. Full article
Show Figures

Figure 1

27 pages, 6430 KB  
Article
Bayesian–Geometric Fusion: A Probabilistic Framework for Robust Line Feature Matching
by Chenyang Zhang, Yufan Ge and Shuo Gu
Electronics 2025, 14(19), 3783; https://doi.org/10.3390/electronics14193783 - 24 Sep 2025
Viewed by 29
Abstract
Line feature matching is a fundamental and extensively studied subject in the fields of photogrammetry and computer vision. Traditional methods, which rely on handcrafted descriptors and distance-based filtering outliers, frequently encounter challenges related to robustness and a high incidence of outliers. While some [...] Read more.
Line feature matching is a fundamental and extensively studied subject in the fields of photogrammetry and computer vision. Traditional methods, which rely on handcrafted descriptors and distance-based filtering outliers, frequently encounter challenges related to robustness and a high incidence of outliers. While some approaches leverage point features to assist line feature matching by establishing the invariant geometric constraints between points and lines, this typically results in a considerable computational load. In order to overcome these limitations, we introduce a novel Bayesian posterior probability framework for line matching that incorporates three geometric constraints: the distance between line feature endpoints, midpoint distance, and angular consistency. Our approach initially characterizes inter-image geometric relationships using Fourier representation. Subsequently, we formulate the posterior probability distributions for the distance constraint and the uniform distribution based on the constraint of angular consistency. By calculating the joint probability distribution under three geometric constraints, robust line feature matches are iteratively optimized through the Expectation–Maximization (EM) algorithm. Comprehensive experiments confirm the effectiveness of our approach: (i) it outperforms state-of-the-art (including deep learning-based) algorithms in match count and accuracy across common scenarios; (ii) it exhibits superior robustness to rotation, illumination variation, and motion blur compared to descriptor-based methods; and (iii) it notably reduces computational overhead in comparison to algorithms that involve point-assisted line matching. Full article
(This article belongs to the Section Circuit and Signal Processing)
Show Figures

Figure 1

27 pages, 4269 KB  
Article
Image Processing Algorithms Analysis for Roadside Wild Animal Detection
by Mindaugas Knyva, Darius Gailius, Šarūnas Kilius, Aistė Kukanauskaitė, Pranas Kuzas, Gintautas Balčiūnas, Asta Meškuotienė and Justina Dobilienė
Sensors 2025, 25(18), 5876; https://doi.org/10.3390/s25185876 - 19 Sep 2025
Viewed by 238
Abstract
The study presents a comparative analysis of five distinct image processing methodologies for roadside wild animal detection using thermal imagery, aiming to identify an optimal approach for embedded system implementation to mitigate wildlife–vehicle collisions. The evaluated techniques included the following: bilateral filtering followed [...] Read more.
The study presents a comparative analysis of five distinct image processing methodologies for roadside wild animal detection using thermal imagery, aiming to identify an optimal approach for embedded system implementation to mitigate wildlife–vehicle collisions. The evaluated techniques included the following: bilateral filtering followed by thresholding and SIFT feature matching; Gaussian filtering combined with Canny edge detection and contour analysis; color quantization via the nearest average algorithm followed by contour identification; motion detection based on absolute inter-frame differencing, object dilation, thresholding, and contour comparison; and animal detection based on a YOLOv8n neural network. These algorithms were applied to sequential thermal images captured by a custom roadside surveillance system incorporating a thermal camera and a Raspberry Pi processing unit. Performance evaluation utilized a dataset of consecutive frames, assessing average execution time, sensitivity, specificity, and accuracy. The results revealed performance trade-offs: the motion detection method achieved the highest sensitivity (92.31%) and overall accuracy (87.50%), critical for minimizing missed detections, despite exhibiting the near lowest specificity (66.67%) and a moderate execution time (0.126 s) compared to the fastest bilateral filter approach (0.093 s) and the high-specificity Canny edge method (90.00%). Consequently, considering the paramount importance of detection reliability (sensitivity and accuracy) in this application, the motion-based methodology was selected for further development and implementation within the target embedded system framework. Subsequent testing on diverse datasets validated its general robustness while highlighting potential performance variations depending on dataset characteristics, particularly the duration of animal presence within the monitored frame. Full article
(This article belongs to the Special Issue Energy Harvesting and Machine Learning in IoT Sensors)
Show Figures

Figure 1

23 pages, 5880 KB  
Article
Offline Knowledge Base and Attention-Driven Semantic Communication for Image-Based Applications in ITS Scenarios
by Yan Xiao, Xiumei Fan, Zhixin Xie and Yuanbo Lu
Big Data Cogn. Comput. 2025, 9(9), 240; https://doi.org/10.3390/bdcc9090240 - 18 Sep 2025
Viewed by 210
Abstract
Communications in intelligent transportation systems (ITS) face explosive data growth from applications such as autonomous driving, remote diagnostics, and real-time monitoring, imposing severe challenges on limited spectrum, bandwidth, and latency. Reliable semantic image reconstruction under noisy channel conditions is critical for ITS perception [...] Read more.
Communications in intelligent transportation systems (ITS) face explosive data growth from applications such as autonomous driving, remote diagnostics, and real-time monitoring, imposing severe challenges on limited spectrum, bandwidth, and latency. Reliable semantic image reconstruction under noisy channel conditions is critical for ITS perception tasks, since noise directly impacts the recognition of both static infrastructure and dynamic obstacles. Unlike traditional approaches that aim to transmit all image data with equal fidelity, effective ITS communication requires prioritizing task-relevant dynamic elements such as vehicles and pedestrians while filtering out largely static background features such as buildings, road signs, and vegetation. To address this, we propose an Offline Knowledge Base and Attention-Driven Semantic Communication (OKBASC) framework for image-based applications in ITS scenarios. The proposed framework performs offline semantic segmentation to build a compact knowledge base of semantic masks, focusing on dynamic task-relevant regions such as vehicles, pedestrians, and traffic signals. At runtime, precomputed masks are adaptively fused with input images via sparse attention to generate semantic-aware representations that selectively preserve essential information while suppressing redundant background. Moreover, we introduce a further Bi-Level Routing Attention (BRA) module that hierarchically refines semantic features through global channel selection and local spatial attention, resulting in improved discriminability and compression efficiency. Experiments on the VOC2012 and nuPlan datasets under varying SNR levels show that OKBASC achieves higher semantic reconstruction quality than baseline methods, both quantitatively via the Structural Similarity Index Metric (SSIM) and qualitatively via visual comparisons. These results highlight the value of OKBASC as a communication-layer enabler that provides reliable perceptual inputs for downstream ITS applications, including cooperative perception, real-time traffic safety, and incident detection. Full article
Show Figures

Graphical abstract

42 pages, 12964 KB  
Article
Development of an Optimal Novel Cascaded 1+TDFλ/PIλDμ Controller for Frequency Management in a Triple-Area Power Grid Considering Nonlinearities and PV/Wind Integration
by Abdullah Hameed Alhazmi, Ashraf Ibrahim Megahed, Ali Elrashidi and Kareem M. AboRas
Mathematics 2025, 13(18), 2985; https://doi.org/10.3390/math13182985 - 15 Sep 2025
Viewed by 384
Abstract
Continuous decrease in inertia and sensitivity to load/generation fluctuation are significant challenges for present-day power networks. The primary reason for these issues is the increased penetration capabilities of renewable energy sources. An imbalanced load with significant power output has a substantial impact on [...] Read more.
Continuous decrease in inertia and sensitivity to load/generation fluctuation are significant challenges for present-day power networks. The primary reason for these issues is the increased penetration capabilities of renewable energy sources. An imbalanced load with significant power output has a substantial impact on the frequency and voltage characteristics of electrical networks. Various load frequency control (LFC) technologies are widely used to address these issues. Existing LFC approaches in the literature are inadequate in addressing system uncertainty, parameter fluctuation, structural changes, and disturbance rejection. As a result, the purpose of this work is to suggest a better LFC approach that makes use of a combination of a one plus tilt fractional filtered derivative (1+TDFλ) cascaded controller and a fractional order proportional–integral–derivative (PIλDμ) controller, which is referred to as the recommended 1+TDFλ/PIλDμ controller. Drawing inspiration from the dynamics of religious societies, including the roles of followers, missionaries, and leaders, and the organization into religious and political schools, this paper proposes a new application of the efficient divine religions algorithm (DRA) to improve the design of the 1+TDFλ/PIλDμ controller. A triple-area test system is constructed to analyze a realistic power system, taking into account certain physical restrictions such as nonlinearities as well as the impact of PV and wind energy integration. The effectiveness of the presented 1+TDFλ/PIλDμ controller is evaluated by comparing their frequency responses to those of other current controllers like PID, FOPID, 2DOF-PID, and 2DOF-TIDμ. The integral time absolute error (ITAE) criterion was employed as the objective function in the optimization process. Comparative simulation studies were conducted using the proposed controller, which was fine-tuned by three recent metaheuristic algorithms: the divine religions algorithm (DRA), the artificial rabbits optimizer (ARO), and the wild horse optimizer (WHO). Among these, the DRA demonstrated superior performance, yielding an ITAE value nearly twice as optimal as those obtained by the ARO and WHO. Notably, the implementation of the advanced 1+TDFλ/PIλDμ controller, optimized via the DRA, significantly minimized the objective function to 0.4704×104. This reflects an approximate enhancement of 99.5% over conventional PID, FOPID, and 2DOF-TIDμ controllers, and a 99% improvement relative to the 2DOF-PID controller. The suggested case study takes into account performance comparisons, system modifications, parameter uncertainties, and variations in load/generation profiles. Through the combination of the suggested 1+TDFλ/PIλDμ controller and DRA optimization capabilities, outcomes demonstrated that frequency stability has been significantly improved. Full article
(This article belongs to the Section E: Applied Mathematics)
Show Figures

Figure 1

19 pages, 1715 KB  
Article
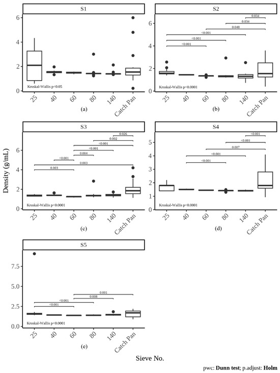
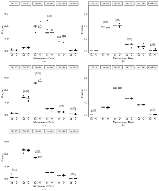
Comparison of Laboratory and Field Methods for Biosand Filter Sand Characterization
by Nora Abbott, Ava Hudson, Sean Brown, Ann Foley and Kristen Jellison
Water 2025, 17(18), 2706; https://doi.org/10.3390/w17182706 - 13 Sep 2025
Viewed by 405
Abstract
The Centre for Affordable Water and Sanitation Technology (CAWST) (2012) recommends size standards for the effective size (ES) and uniformity coefficient (UC) of filtration media in biosand filters (BSFs) to ensure optimal effluent flow rates and contaminant removal. The recommended, laboratory-determined ES and [...] Read more.
The Centre for Affordable Water and Sanitation Technology (CAWST) (2012) recommends size standards for the effective size (ES) and uniformity coefficient (UC) of filtration media in biosand filters (BSFs) to ensure optimal effluent flow rates and contaminant removal. The recommended, laboratory-determined ES and UC ranges are also advised for field use despite differences in mass- versus volume-based protocols and no studies comparing laboratory versus field protocols to date. ES and UC values of five sand samples were compared using mass- versus volume-based measurements and lab versus field protocols. Results suggest that the use of mass- or volume-based measurements generally does not affect the ES or UC of a given method (except in cases where the density of sand grains varies significantly across the size distribution range). Differences between laboratory and field protocols, however, were found to affect ES and UC values by up to 24%. Overall, differences in laboratory and field sand size determination protocols should be further evaluated to ensure standardized field construction of BSFs and to limit potential impacts to filter efficacy and sustained, household filter usage. Full article
(This article belongs to the Section Water Quality and Contamination)
Show Figures

Figure 1

21 pages, 4972 KB  
Article
State of Charge Estimation of Lithium-Ion Batteries Based on Hidden Markov Factor Graphs
by Wei Fang, Zhi-Jian Su, Yu-Tong Shao, Guang-Ping Wu and Peng Liu
Mathematics 2025, 13(18), 2922; https://doi.org/10.3390/math13182922 - 10 Sep 2025
Viewed by 451
Abstract
Lithium-ion batteries serve as critical energy storage devices and are extensively utilized across diverse applications. The accurate estimation of State of Charge (SOC) is critically important for Battery Management Systems. Traditional SOC estimation methods have achieved progress, such as the Extended Kalman Filter [...] Read more.
Lithium-ion batteries serve as critical energy storage devices and are extensively utilized across diverse applications. The accurate estimation of State of Charge (SOC) is critically important for Battery Management Systems. Traditional SOC estimation methods have achieved progress, such as the Extended Kalman Filter (EKF) and particle filter. However, when there exist uncertainties in battery model parameters and the parameters change dynamically with operating conditions, the EKF tends to produce accumulated errors, which leads to a decline in estimation accuracy. This paper proposes a hybrid approach integrating the EKF with a Hidden Markov Factor Graph (HMM-FG). First, this method uses the EKF to achieve a real-time estimation of the SOC. Then, it treats the EKF-estimated value as an observation through the HMM-FG and combines current and voltage measurement data. It also introduces a factor function to describe the temporal correlation of the SOC and the uncertainty of EKF modeling errors, thereby performing Maximum A Posteriori (MAP) estimation correction on the SOC. Different from the traditional EKF, this method can use future observation information to suppress the error accumulation of the EKF under dynamic parameter changes. Experiments were conducted under different temperatures (0 °C, 25 °C, 45 °C), and a variety of different dynamic operating conditions (FUDS, DST), and comparisons were made with the EKF, Extended Kalman Smoother (EKS), and data-driven method based on LSTM. Full article
Show Figures

Figure 1

16 pages, 1932 KB  
Article
Analysis of the Dynamic Properties of the Rogowski Coil to Improve the Accuracy in Power and Electromechanical Systems
by Krzysztof Tomczyk, Maciej Gibas and Marek S. Kozień
Energies 2025, 18(17), 4761; https://doi.org/10.3390/en18174761 - 7 Sep 2025
Viewed by 1333
Abstract
This paper presents an analysis of the dynamic properties of the Rogowski coil, primarily by determining the dynamic errors for several selected test signals and the upper bound of the dynamic error for two quality criteria: the integral-square error and the absolute error. [...] Read more.
This paper presents an analysis of the dynamic properties of the Rogowski coil, primarily by determining the dynamic errors for several selected test signals and the upper bound of the dynamic error for two quality criteria: the integral-square error and the absolute error. A procedure for filtering and reproducing these signals is also presented. The foundation of the presented research is an equivalent circuit model of the Rogowski coil, developed primarily for applications in electrical power and electromechanical systems. Two novel aspects of this work are the determination of dynamic errors for the Rogowski coil and a graphical and quantitative comparison of their values. The research results presented in this paper may serve as a foundation for enhancing the accuracy and dynamic reliability of both the Rogowski coil and other devices (e.g., transformers and current transformers) used in the power industry and mechanical engineering, particularly in the condition monitoring of a broad range of power equipment and in the experimental analysis of electromechanical systems operating under variable load conditions. The findings also highlight the importance of accurate current measurement in modern energy systems, where transient and high-frequency components increasingly affect performance and reliability. Consequently, the presented methodology provides a useful framework for guiding sensor selection and signal processing strategies in advanced monitoring and control applications. Full article
(This article belongs to the Special Issue Digital Measurement Procedures for the Energy Industry)
Show Figures

Figure 1

19 pages, 17187 KB  
Article
Controller Hardware-in-the-Loop Validation of a DSP-Controlled Grid-Tied Inverter Using Impedance and Time-Domain Approaches
by Leonardo Casey Hidalgo Monsivais, Yuniel León Ruiz, Julio Cesar Hernández Ramírez, Nancy Visairo-Cruz, Juan Segundo-Ramírez and Emilio Barocio
Electricity 2025, 6(3), 52; https://doi.org/10.3390/electricity6030052 - 6 Sep 2025
Viewed by 313
Abstract
In this work, a controller hardware-in-the-loop (CHIL) simulation of a grid-connected three-phase inverter equipped with an LCL filter is implemented using a real-time digital simulator (RTDS) as the plant and a digital signal processor (DSP) as the control hardware. This work identifies and [...] Read more.
In this work, a controller hardware-in-the-loop (CHIL) simulation of a grid-connected three-phase inverter equipped with an LCL filter is implemented using a real-time digital simulator (RTDS) as the plant and a digital signal processor (DSP) as the control hardware. This work identifies and discusses the critical aspects of the CHIL implementation process, emphasizing the relevance of the control delays that arise from sampling, computation, and pulse width modulation (PWM), which also adversely affect system stability, accuracy, and performance. Time and frequency domains are used to validate the modeling of the system, either to represent large-signal or small-signal models. This work shows multiple representations of the system under study: the fundamental frequency model, the switched model, and the switched model controlled by the DSP, are used to validate the nonlinear model, whereas the impedance-based modeling is followed to validate the linear representation. The results demonstrate a strong correlation among the models, confirming that the delay effects are accurately captured in the different simulation approaches. This comparison provides valuable insights into configuration practices that improve the fidelity of CHIL-based validation and supports impedance-based stability analysis in power electronic systems. The findings are particularly relevant for wideband modeling and real-time studies in electromagnetic transient analysis. Full article
Show Figures

Figure 1

21 pages, 5732 KB  
Article
Continuous Estimation of Heart Rate Variability from Electrocardiogram and Photoplethysmogram Signals with Oscillatory Wavelet Pattern Method
by Maksim O. Zhuravlev, Anastasiya E. Runnova, Sergei A. Mironov, Julia A. Zhuravleva and Anton R. Kiselev
Sensors 2025, 25(17), 5455; https://doi.org/10.3390/s25175455 - 3 Sep 2025
Viewed by 466
Abstract
Objective: In this paper, we propose a novel approach to heart rate (HR) detection based on the evaluation of oscillatory patterns of continuous wavelet transform as a method of time-frequency analysis. HR detection based on electrocardiogram (ECG) or photoplethysmogram (PPG) signals can [...] Read more.
Objective: In this paper, we propose a novel approach to heart rate (HR) detection based on the evaluation of oscillatory patterns of continuous wavelet transform as a method of time-frequency analysis. HR detection based on electrocardiogram (ECG) or photoplethysmogram (PPG) signals can be performed using the same technique. Methods: The developed approach was tested on ECG (lead V1) and PPG (standard recording on the ring finger of the left hand and differential signal) for 10 min in 40 generally healthy volunteers (aged 26.8 ± 3.22 years). A comparison was made with the traditional HR detection method based on R-peak shape analysis. Results: Based on a number of statistical evaluations, the comparison yielded an acceptable degree of agreement between the results of the proposed method and the traditional method (the discrepancy between the results did not exceed 3.41%). The distortion of the signal shape and its noise do not affect the quality of HR detection by the proposed method; so, additional filtering or changes in the implemented algorithm are not required, as demonstrated by processing both the differential PPG signal and the PPG signals recorded during the patient’s walking. Conclusions: The proposed method allows obtaining HR information with a higher equidistant sampling frequency and expansion of the information on the frequency composition of HRV. Full article
(This article belongs to the Section Electronic Sensors)
Show Figures

Figure 1

13 pages, 2454 KB  
Article
Accuracy of 3D Ground Radio Station Location by a Single Unmanned Aerial Vehicle (UAV) as a Function of an Increasing Number of Received Signal Strength Indicator (RSSI) Measurements
by Jaroslaw Michalak
Sensors 2025, 25(17), 5452; https://doi.org/10.3390/s25175452 - 3 Sep 2025
Viewed by 505
Abstract
The article presents the results of simulation studies assessing the potential value of increasing the accuracy of radio signal source localization as a function of the increasing number of measures performed by a simple UAV (omnidirectional antenna, low flight altitude) in the Rice [...] Read more.
The article presents the results of simulation studies assessing the potential value of increasing the accuracy of radio signal source localization as a function of the increasing number of measures performed by a simple UAV (omnidirectional antenna, low flight altitude) in the Rice channel conditions and 3D space. The comparison was made for Range-Based localization methods such as Min–Max, Multilateration, and Nonlinear Regression with an additional assessment of the impact of Kalman filtering. It is estimated that, depending on the adopted localization method, thanks to the use of a large number of measurements performed by the UAV, one can count on a 2 to 6 times increase in localization accuracy in relation to the variant limited by measurements. The above is a good prognosis for the multi-task use of COTS UAV. Full article
Show Figures

Figure 1

22 pages, 3112 KB  
Article
Health Assessment of Zoned Earth Dams by Multi-Epoch In Situ Investigations and Laboratory Tests
by Ernesto Ausilio, Maria Giovanna Durante, Roberto Cairo and Paolo Zimmaro
Geotechnics 2025, 5(3), 60; https://doi.org/10.3390/geotechnics5030060 - 3 Sep 2025
Viewed by 374
Abstract
The long-term safety and operational reliability of zoned earth dams depend on the structural integrity of their internal components, including core, filters, and shell zones. This is particularly relevant for old dams which have been operational for a long period of time. Such [...] Read more.
The long-term safety and operational reliability of zoned earth dams depend on the structural integrity of their internal components, including core, filters, and shell zones. This is particularly relevant for old dams which have been operational for a long period of time. Such existing infrastructure systems are exposed to various loading types over time, including environmental, seepage-related, extreme event, and climate change effects. As a result, even when they look intact externally, changes might affect their internal structure, composition, and possibly functionality. Thus, it is important to delineate a comprehensive and cost-effective strategy to identify potential issues and derive the health status of existing earth dams. This paper outlines a systematic approach for conducting a comprehensive health check of these structures through the implementation of a multi-epoch geotechnical approach based on a variety of standard measured and monitored quantities. The goal is to compare current properties with baseline data obtained during pre-, during-, and post-construction site investigation and laboratory tests. Guidance is provided on how to judge such multi-epoch comparisons, identifying potential outcomes and scenarios. The proposed approach is tested on a well-documented case study in Southern Italy, an area prone to climate change and subjected to very high seismic hazard. The case study demonstrates how the integration of historical and contemporary geotechnical data allows for the identification of critical zones requiring attention, the validation of numerical models, and the proactive formulation of targeted maintenance and rehabilitation strategies. This comprehensive, multi-epoch-based approach provides a robust and reliable assessment of dams’ health, enabling better-informed decision-making workflows and processes for asset management and risk mitigation strategies. Full article
(This article belongs to the Special Issue Recent Advances in Geotechnical Engineering (3rd Edition))
Show Figures

Figure 1

37 pages, 8744 KB  
Article
A Novel Evolutionary Structural Topology Optimization Method Based on Load Path Theory and Element Bearing Capacity
by Jianchang Hou, Zhanpeng Jiang, Xiaolu Huang, Hui Lian, Zijian Liu, Yingbing Sun and Fenghe Wu
Symmetry 2025, 17(9), 1424; https://doi.org/10.3390/sym17091424 - 2 Sep 2025
Viewed by 595
Abstract
Structural topology optimization is a crucial approach for achieving lightweight design. An effective topology optimization algorithm must strike a balance between the objective functions, constraints, and design variables, which essentially reflects the symmetry and tradeoff between the objective and constraints. In this study, [...] Read more.
Structural topology optimization is a crucial approach for achieving lightweight design. An effective topology optimization algorithm must strike a balance between the objective functions, constraints, and design variables, which essentially reflects the symmetry and tradeoff between the objective and constraints. In this study, a topology optimization method grounded in load path theory is proposed. Element bearing capacity is quantified using the element birth and death method, with an explicit formulation derived via finite element theory. The effectiveness in evaluating structural performance is assessed through comparisons with stress distributions and topology optimization density maps. In addition, a novel evaluation index for element bearing capacity is proposed as the objective function in the topology optimization model, which is validated through thin plate optimization. Subsequently, sensitivity redistribution mitigates checkerboard patterns, while mesh filtering suppresses multi-branch structures and prevents local optima. The method is applied for the lightweight design of a triangular arm, with results benchmarked against the variable density method, demonstrating the feasibility and effectiveness of the proposed method. The element bearing capacity seeks to homogenize the load distribution of each element; the technique in this study can be extended to the optimization of symmetric structures. Full article
Show Figures

Figure 1

28 pages, 2178 KB  
Article
Comparison of Selected Algorithms in Movie Recommender System
by Bogdan Walek and Ondřej Sládek
Appl. Sci. 2025, 15(17), 9518; https://doi.org/10.3390/app15179518 - 29 Aug 2025
Viewed by 479
Abstract
Recommender systems are currently very popular, and their main goal is to propose relevant content to users based on various parameters. The main goal of this paper is to create a comprehensive comparison of selected algorithms in movie recommender systems. The recommender system [...] Read more.
Recommender systems are currently very popular, and their main goal is to propose relevant content to users based on various parameters. The main goal of this paper is to create a comprehensive comparison of selected algorithms in movie recommender systems. The recommender system works with the MovieLens database. The main output of the proposed comparison is finding the best algorithm for selecting movies that are the most relevant to user preferences. The paper contains experimental verification of the performance of the proposed algorithms, with an emphasis on their evaluation based on metrics such as Precision, Recall and F1 score. The goal of the evaluation is to assess how well each algorithm performs in generating accurate and relevant recommendations. The testing process includes analysis of the results achieved on the test set of users. Full article
(This article belongs to the Special Issue Advanced Models and Algorithms for Recommender Systems)
Show Figures

Figure 1

Back to TopTop