Sign in to use this feature.

Years

Between: -

Subjects

remove_circle_outline
remove_circle_outline
remove_circle_outline
remove_circle_outline
remove_circle_outline
remove_circle_outline
remove_circle_outline
remove_circle_outline
remove_circle_outline

Journals

remove_circle_outline
remove_circle_outline

Article Types

Countries / Regions

remove_circle_outline
remove_circle_outline
remove_circle_outline

Search Results (752)

Search Parameters:
Keywords = farmland values

Order results
Result details
Results per page
Select all
Export citation of selected articles as:
26 pages, 10585 KB  
Article
Spatiotemporal Patterns and Driving Mechanisms of Heavy Metal Accumulation in China’s Farmland Soils Based on Meta-Analysis and Machine Learning
by Jiamin Zhao, Rui Guo, Junkang Guo, Zihan Yu, Jingwen Xu, Xiaoyan Zhang and Liying Yang
Sustainability 2025, 17(24), 11318; https://doi.org/10.3390/su172411318 - 17 Dec 2025
Abstract
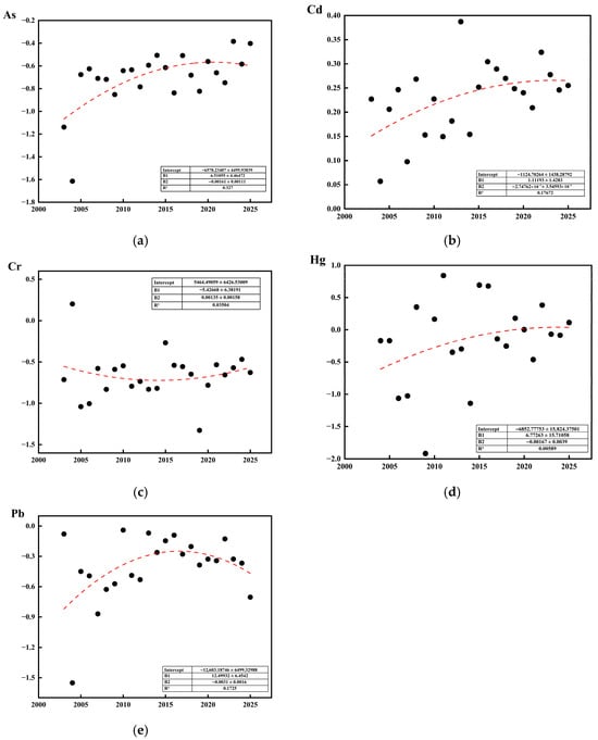
To elucidate the long-term spatiotemporal patterns and key drivers factors, this study employed a meta-analysis of data from soil containing Potentially Toxic Elements (Cd, As, Cr, Hg, and Pb) in Chinese farmland soils from 2003 to 2025. The geoaccumulation index, the potential ecological [...] Read more.
To elucidate the long-term spatiotemporal patterns and key drivers factors, this study employed a meta-analysis of data from soil containing Potentially Toxic Elements (Cd, As, Cr, Hg, and Pb) in Chinese farmland soils from 2003 to 2025. The geoaccumulation index, the potential ecological risk index, and standard deviation ellipses were used to assess the spatiotemporal evolution of heavy metal accumulation and ecological risk, while the Random forest–SHapley Additive exPlanations (RF-SHAP) method was employed to identify driving mechanisms. At the national scale, Cd and Hg are significantly enriched relative to the background values, whereas As, Cr, and Pb remained at relatively low levels, with enrichment ranked as Cd > Hg > Pb > Cr > As. Cd and Hg indicated mild pollution, but the Sichuan Basin emerged as a hotspot, where Cd reached moderate pollution and showed strong ecological risk, and Hg also exhibited high ecological risk. Over the past two decades, the contamination center shifted from coastal to southwestern inland regions, with an expanded and more dispersed distribution. Since 2017, Cd and Hg pollution levels have stabilized, suggesting that the aggravating trend has been preliminarily curbed. Industrial waste and wastewater discharge, irrigation and fertilization were identified as the primary anthropogenic factors of soil heavy metal accumulation, while climatic factors (temperature, precipitation, and solar radiation) and soil physicochemical properties (pH, clay content, and organic matter) played fundamental roles in spatial distribution and accumulation. Our findings call for targeted predictive research and policies to manage heavy metal risks and preserve farmland sustainability in a changing climate. Full article
Show Figures

Figure 1

19 pages, 5723 KB  
Article
EDM-UNet: An Edge-Enhanced and Attention-Guided Model for UAV-Based Weed Segmentation in Soybean Fields
by Jiaxin Gao, Feng Tan and Xiaohui Li
Agriculture 2025, 15(24), 2575; https://doi.org/10.3390/agriculture15242575 - 12 Dec 2025
Viewed by 118
Abstract
Weeds will compete with soybeans for resources such as light, water and nutrients, inhibit the growth of soybeans, and reduce their yield and quality. Aiming at the problems of low efficiency, high environmental risk and insufficient weed identification accuracy in complex farmland scenarios [...] Read more.
Weeds will compete with soybeans for resources such as light, water and nutrients, inhibit the growth of soybeans, and reduce their yield and quality. Aiming at the problems of low efficiency, high environmental risk and insufficient weed identification accuracy in complex farmland scenarios of traditional weed management methods, this study proposes a weed segmentation method for soybean fields based on unmanned aerial vehicle remote sensing. This method enhances the channel feature selection capability by introducing a lightweight ECA module, improves the target boundary recognition by combining Canny edge detection, and designs directional consistency filtering and morphological post-processing to optimize the spatial structure of the segmentation results. The experimental results show that the EDM-UNet method achieves the best performance effect on the self-built dataset, and the MIoU, Recall and Precision on the test set reach 89.45%, 93.53% and 94.78% respectively. In terms of model inference speed, EDM-UNet also performs well, with an FPS of 40.36, which can meet the requirements of real-time detection models. Compared with the baseline network model, the MIoU, Recall and Precision of EDM-UNet increased by 6.71%, 5.67% and 3.03% respectively, and the FPS decreased by 11.25. In addition, performance evaluation experiments were conducted under different degrees of weed interference conditions. The models all showed good detection effects, verifying that the model proposed in this study can accurately segment weeds in soybean fields. This research provides an efficient solution for weed segmentation in complex farmland environments that takes into account both computational efficiency and segmentation accuracy, and has significant practical value for promoting the development of smart agricultural technology. Full article
(This article belongs to the Section Artificial Intelligence and Digital Agriculture)
Show Figures

Figure 1

30 pages, 918 KB  
Article
Leadership and Collective Action in Promoting Eco-Friendly Farming: A Case Study of Wufeng District, Taichung City, Taiwan
by Yin-An Chen and Ai-Ching Yen
Sustainability 2025, 17(24), 11068; https://doi.org/10.3390/su172411068 - 10 Dec 2025
Viewed by 319
Abstract
Eco-friendly farming, which minimizes chemical inputs, is critical for environmental sustainability but often exceeds the capacity of individual farmers, requiring collective action. This study examines how leadership facilitates collective adoption of eco-friendly practices in rural contexts, focusing on the Wufeng District Farmers’ Association [...] Read more.
Eco-friendly farming, which minimizes chemical inputs, is critical for environmental sustainability but often exceeds the capacity of individual farmers, requiring collective action. This study examines how leadership facilitates collective adoption of eco-friendly practices in rural contexts, focusing on the Wufeng District Farmers’ Association in central Taiwan. Based on field observations and semi-structured interviews, the research identifies three key drivers: leaders’ shared vision and incentive mechanisms, technical support from the Taiwan Agricultural Research Institute, and effective mobilization by production and marketing group leaders. Leaders functioned as managers and intermediaries, fostering cooperation, managing uncertainty, and encouraging innovation. Consequently, eco-friendly farmland expanded, and value-added products, such as rice-based wine, were developed. The findings highlight that adaptive and entrepreneurial leadership, combining transformational inspiration with transactional accountability, is essential to sustaining collective action and advancing long-term rural sustainability. Full article
Show Figures

Figure 1

18 pages, 4553 KB  
Article
Changes of Terrace Distribution in the Qinba Mountain Based on Deep Learning
by Xiaohua Meng, Zhihua Song, Xiaoyun Cui and Peng Shi
Sustainability 2025, 17(24), 10971; https://doi.org/10.3390/su172410971 - 8 Dec 2025
Viewed by 143
Abstract
The Qinba Mountains in China span six provinces, characterized by a large population, rugged terrain, steep peaks, deep valleys, and scarce flat land, making large-scale agricultural development challenging. Terraced fields serve as the core cropland type in this region, playing a vital role [...] Read more.
The Qinba Mountains in China span six provinces, characterized by a large population, rugged terrain, steep peaks, deep valleys, and scarce flat land, making large-scale agricultural development challenging. Terraced fields serve as the core cropland type in this region, playing a vital role in preventing soil erosion on sloping farmland and expanding agricultural production space. They also function as a crucial medium for sustaining the ecosystem services of mountainous areas. As a transitional zone between China’s northern and southern climates and a vital ecological barrier, the Qinba Mountains’ terraced ecosystems have undergone significant spatial changes over the past two decades due to compound factors including the Grain-for-Green Program, urban expansion, and population outflow. However, current large-scale, long-term, high-resolution monitoring studies of terraced fields in this region still face technical bottlenecks. On one hand, traditional remote sensing interpretation methods rely on manually designed features, making them ill-suited for the complex scenarios of fragmented, multi-scale distribution, and terrain shadow interference in Qinba terraced fields. On the other hand, the lack of high-resolution historical imagery means that low-resolution data suffers from insufficient accuracy and spatial detail for capturing dynamic changes in terraced fields. This study aims to fill the technical gap in detailed dynamic monitoring of terraced fields in the Qinba Mountains. By creating image tiles from Landsat-8 satellite imagery collected between 2017 and 2020, it employs three deep learning semantic segmentation models—DeepLabV3 based on ResNet-34, U-Net, and PSPNet deep learning semantic segmentation models. Through optimization strategies such as data augmentation and transfer learning, the study achieves 15-m-resolution remote sensing interpretation of terraced field information in the Qinba Mountains from 2000 to 2020. Comparative results revealed DeepLabV3 demonstrated significant advantages in identifying terraced field types: Mean Pixel Accuracy (MPA) reached 79.42%, Intersection over Union (IoU) was 77.26%, F1 score attained 80.98, and Kappa coefficient reached 0.7148—all outperforming U-Net and PSPNet models. The model’s accuracy is not uniform but is instead highly contingent on the topographic context. The model excels in environments that are archetypal for mid-altitudes with moderately steep slopes. Based on it we create a set of tiles integrating multi-source data from RBG and DEM. The fusion model, which incorporates DEM-derived topographic data, demonstrates improvement across these aspects. Dynamic monitoring based on the optimal model indicates that terraced fields in the Qinba Mountains expanded between 2000 and 2020: the total area was 57.834 km2 in 2000, and by 2020, this had increased to 63,742 km2, representing an approximate growth rate of 8.36%. Sichuan, Gansu, and Shaanxi provinces contributed the majority of this expansion, accounting for 71% of the newly added terraced fields. Over the 20-year period, the center of gravity of terraced fields shifted upward. The area of terraced fields above 500 m in elevation increased, while that below 500 m decreased. Terraced fields surrounding urban areas declined, and mountainous slopes at higher elevations became the primary source of newly constructed terraces. This study not only establishes a technical paradigm for the refined monitoring of terraced field resources in mountainous regions but also provides critical data support and theoretical foundations for implementing sustainable land development in the Qinba Mountains. It holds significant practical value for advancing regional sustainable development. Full article
(This article belongs to the Section Sustainable Agriculture)
Show Figures

Figure 1

24 pages, 3319 KB  
Article
Parameter Uncertainty in Water–Salt Balance Modeling of Arid Irrigation Districts
by Ziyi Zan, Zhiming Ru, Changming Cao, Kun Wang, Guangyu Chen, Hangzheng Zhao, Xinli Hu, Lingming Su and Weifeng Yue
Agronomy 2025, 15(12), 2814; https://doi.org/10.3390/agronomy15122814 - 7 Dec 2025
Viewed by 249
Abstract
Soil salinization poses a major threat to agricultural sustainability in arid regions worldwide, where it is intrinsically linked to irrigated agriculture. In these water-scarce environments, the equilibrium of the water and salt balance is easily disrupted, causing salts to accumulate in the root [...] Read more.
Soil salinization poses a major threat to agricultural sustainability in arid regions worldwide, where it is intrinsically linked to irrigated agriculture. In these water-scarce environments, the equilibrium of the water and salt balance is easily disrupted, causing salts to accumulate in the root zone and directly constraining crop growth, thereby creating an urgent need for precise water and salt management strategies. While precise water and salt transport models are essential for prediction and control, their accuracy is often compromised by parameter uncertainty. To address this, we developed a lumped water–salt balance model for the Hetao Irrigation District (HID) in China, integrating farmland and non-farmland areas and vertically structured into root zone, transition layer, and aquifer. A novel calibration approach, combining random sampling with Kernel Density Estimation (KDE), was introduced to identify optimal parameter ranges rather than single values, thereby enhancing model robustness. The model was calibrated and validated using data from the Yichang sub-district. Results showed that the water balance module performed satisfactorily in simulating groundwater depth (R2 = 0.79 for calibration, 0.65 for validation). The salt balance module effectively replicated the general trends of soil salinity dynamics, albeit with lower R2 values, which reflects the challenges of high spatial variability and data scarcity. This method innovatively addresses the common challenge of parameter uncertainty in the model, narrows the parameter value ranges, enhances model reliability, and incorporates sensitivity analysis (SA) to identify key parameters in the water–salt model. This study not only provides a practical tool for managing water and salt dynamics in HID but also offers a methodological reference for addressing parameter uncertainty in hydrological modeling of other data-scarce regions. Full article
(This article belongs to the Special Issue Water–Salt in Farmland: Dynamics, Regulation and Equilibrium)
Show Figures

Figure 1

20 pages, 2107 KB  
Article
Evaluating the Performance of the STEMMUS-SCOPE Model to Simulate SIF and GPP Under Drought Stress Using Tower-Based Observations of Maize
by Mengchen Li, Xinjie Liu and Liangyun Liu
Remote Sens. 2025, 17(24), 3931; https://doi.org/10.3390/rs17243931 - 5 Dec 2025
Viewed by 260
Abstract
With advancements in solar-induced fluorescence (SIF) observation technology and the evolution of vegetation radiative transfer models, SIF signals can now be more effectively interpreted and leveraged from a mechanistic perspective. This, in turn, facilitates a deeper understanding of the mechanistic link between SIF [...] Read more.
With advancements in solar-induced fluorescence (SIF) observation technology and the evolution of vegetation radiative transfer models, SIF signals can now be more effectively interpreted and leveraged from a mechanistic perspective. This, in turn, facilitates a deeper understanding of the mechanistic link between SIF and photosynthesis. Considering the impact of water stress on terrestrial ecosystems, this paper simulated SIF and gross primary productivity (GPP) values using the STEMMUS-SCOPE model at half-hour scales from 2017 to 2023 at the Daman site. The simulation results were compared and validated against flux tower observations and SCOPE model outputs. Taking advantage of irrigation events in the semi-arid irrigated farmland, we assessed the accuracy of STEMMUS-SCOPE in simulating SIF and GPP under drought stress, as well as its capability to quantitatively analyze the impacts of water stress on SIF and GPP. The results show that the accuracy of the SIF and GPP values simulated by the STEMMUS-SCOPE model is higher than that of the SCOPE model. The averaged R2 and RMSE between the SIF simulated by STEMMUS-SCOPE model and the observed SIF values are 0.66 and 0.29 mW m−2 nm−1, and the averaged R2 and RMSE between the GPP simulated by the STEMMUS-SCOPE model and the observed GPP values from 2017 to 2023 are 0.88 and 4.93 µmol CO2 m−2 s−1, respectively. Especially under relatively drought conditions, the R2 between the SIF simulated values and observed values is 0.84, and the R2 between the GPP simulated values and observed values is 0.96. By further combining soil moisture content (SMC) and canopy conductance (Gs) analyses, we found that the response of the STEMMUS-SCOPE simulations under water stress was consistent with previous findings on the impacts of water deficits, thereby confirming the model’s reliability for drought conditions. Under drought stress, the decline in fluorescence emission efficiency (ΦF) with decreasing Gs and SMC was smaller than that of the light use efficiency (LUE). Therefore, the STEMMUS-SCOPE model is promising for investigating the SIF–GPP relationship under drought stress. Full article
Show Figures

Figure 1

24 pages, 6853 KB  
Article
Integrating Revised Ecosystem Service Value, Ecological Sensitivity and Circuit Theory to Construct an Ecological Security Pattern in the UANSTM, China
by Xueyun An, Alimujiang Kasimu, Xue Zhang, Ning Song, Yan Zhang and Buwajiaergu Shayiti
Sustainability 2025, 17(23), 10880; https://doi.org/10.3390/su172310880 - 4 Dec 2025
Viewed by 188
Abstract
In the rapidly changing Urban Agglomeration on the Northern Slope of the Tianshan Mountains (UANSTM), urbanization and oasis ecosystem degradation have intensified the need for ecological security planning. However, traditional ecosystem service assessments often struggle to capture the spatial heterogeneity of these fragile [...] Read more.
In the rapidly changing Urban Agglomeration on the Northern Slope of the Tianshan Mountains (UANSTM), urbanization and oasis ecosystem degradation have intensified the need for ecological security planning. However, traditional ecosystem service assessments often struggle to capture the spatial heterogeneity of these fragile landscapes. This study integrates revised ecosystem service value (RESV), ecological sensitivity, and circuit-theory-based connectivity analysis to identify ecological sources and construct an ecological security pattern (ESP). Results indicate: From 2000 to 2020, land conversion among exposed areas, irrigated farmland, and grassland dominated regional change, with 5902 km2 of exposed land converting to grassland and 4554 km2 to irrigated farmland. RESV declined initially but rose overall from 1104 to 1255 billion yuan, yielding a net increase of about 14%. Ecologically sensitive areas were concentrated in the northeast, covering roughly 19,300 km2 and dominated by irrigated farmland. In total, 23 ecological sources, 47 ecological corridors, 28 ecological barrier points, and 61 ecological bottleneck points were identified, forming the basis for a targeted point–line–area protection strategy to guide ecological zoning and restoration. This study provides scientific basis for ecological conservation and territorial spatial planning in arid urban clusters. Nonetheless, limitations related to data resolution and indicator selection remain. Future research should incorporate higher-resolution ecological data and scenario-based simulations to further refine ESP construction. Full article
Show Figures

Graphical abstract

16 pages, 7999 KB  
Article
Patterns of Agricultural Crop Damage by Wild Boar (Sus scrofa) in South-Western Poland
by Bogusław Bobek, Anna Chrzan, Jakub Furtek, Małgorzata Kłyś, Dorota Merta and Marta Wojciuch-Płoskonka
Animals 2025, 15(23), 3500; https://doi.org/10.3390/ani15233500 - 4 Dec 2025
Viewed by 366
Abstract
Studies on agricultural crop damage inflicted by wild boar (Sus scrofa) were conducted in hunting districts located in Lower Silesia, south-western Poland. The statistical analysis of damaged agricultural crops was based on documentation obtained via survey from hunting associations managing 81 [...] Read more.
Studies on agricultural crop damage inflicted by wild boar (Sus scrofa) were conducted in hunting districts located in Lower Silesia, south-western Poland. The statistical analysis of damaged agricultural crops was based on documentation obtained via survey from hunting associations managing 81 hunting districts. For each hunting district (mean area 43.1 km2), this documentation detailed the area of damaged crops (maize, various cereals, root crops, rapeseed, grasslands, and other crops), the date of the damage, and the value of compensation paid to farmers. During three consecutive hunting seasons (2013/14–2015/16) the area of damaged farmlands was amounted to 2098.2 hectares. Maize constitutes 43.9% of the total damage area, while for various cereal crops and grasslands, the figures were 29.5% and 13.2%, respectively. The mean damage compensation per hectare amounted to €421.0, the highest being for root crops (€942.8/ha) and the lowest for grasslands (€214.8/ha). A positive correlation was shown between the wild boar harvest rate and the percentage of farmland area damaged by these animals. Between the 2015/16 and 2022/23 hunting seasons, a decline in the density of harvested wild boar from 1.99 to 1.05 individuals reduced the area of damage from 0.335 ha/km2 to 0.164 ha/km2 of farmland. Population density control has been suggested as the most effective method of protecting agricultural crops against wild boar. Full article
(This article belongs to the Section Wildlife)
Show Figures

Figure 1

18 pages, 2689 KB  
Article
Analysis of the Influence of Farmer Behavior on Heavy Metal Pollution in Farmland Soil: A Case Study of Shouyang County, Shanxi Province
by Jin-Xian Han, Yu-Jiao Liang and Feng-Mei Ban
Toxics 2025, 13(12), 1040; https://doi.org/10.3390/toxics13121040 - 30 Nov 2025
Viewed by 308
Abstract
Building upon a theoretical framework, this study utilized 126 field survey questionnaires from farmers in Shouyang County, Shanxi Province, China, coupled with corresponding farmland soil heavy metal monitoring data, to investigate the extent of heavy metal pollution and its mechanistic relationship with farmers’ [...] Read more.
Building upon a theoretical framework, this study utilized 126 field survey questionnaires from farmers in Shouyang County, Shanxi Province, China, coupled with corresponding farmland soil heavy metal monitoring data, to investigate the extent of heavy metal pollution and its mechanistic relationship with farmers’ behavior. The single-factor pollution index (Pi), Nemerow composite pollution index (PN), and geographical detector were employed to assess pollution levels and elucidate the underlying mechanisms linking farmer practices to soil heavy metal accumulation. Analysis revealed that the mean concentrations of Cu, Ni, Cr, Pb, Cd, and Zn (25.54, 31.47, 98.50, 16.63, 0.16 and 76.92 mg/kg, respectively) in the farmland soil exceeded the background values for soil elements in Shanxi Province, whereas As (1.92 mg/kg) levels were lower. Assessment using Pi indicated that Cr, Pb, Cd, Ni, Cu, and Zn (1.78, 1.13, 1.55, 1.05, 1.07 and 1.21, respectively) were predominantly in a state of mild pollution. Similarly, the PN (1.50) suggested an overall mild level of composite heavy metal pollution in the soil. Geographical detector(Geo-Detector) analysis demonstrated that the explanatory power (q-value) of interactions among factors-including agricultural film and fertilizer application intensity, farmland fragmentation degree, per capita annual household income, farmland area, and years engaged in farming-on soil heavy metal accumulation was significantly enhanced compared to that of individual behavioral factors. While individual farmers’ behaviors are associated with heavy metal accumulation, the interaction effects among multiple behaviors constitute the dominant factor influencing localized accumulation in farmland soil. Consequently, local authorities should enhance farmers’ requisite knowledge, skills, and practices for mitigating soil heavy metal accumulation through strategies such as promoting large-scale farming, implementing agricultural input reduction initiatives, and intensifying technical and environmental protection training. The Geo-Detector exhibits significant advantages in identifying nonlinear influencing factors and analyzing factor interactions, yielding more comprehensive insights compared to conventional linear models. Full article
Show Figures

Figure 1

18 pages, 1750 KB  
Article
Forecasting and Fertilization Control of Agricultural Non-Point Source Pollution with Short-Term Meteorological Data
by Haoran Wang, Liming Zhang, Yinguo Qiu, Ruigang Nan, Yan Jin, Jianing Xie, Qitao Xiao and Juhua Luo
Appl. Sci. 2025, 15(23), 12688; https://doi.org/10.3390/app152312688 - 29 Nov 2025
Viewed by 179
Abstract
Agricultural non-point source pollution (AGNPSP) is one of the core challenges facing global water environment management. Existing research mainly focuses on post-event estimation of pollution loads and source analysis, while studies on proactive risk warning for watershed non-point source pollution are relatively limited, [...] Read more.
Agricultural non-point source pollution (AGNPSP) is one of the core challenges facing global water environment management. Existing research mainly focuses on post-event estimation of pollution loads and source analysis, while studies on proactive risk warning for watershed non-point source pollution are relatively limited, especially those that integrate with agricultural production practices. Therefore, this study takes the River Tongyang Watershed as the research object and establishes a fertilization warning and regulation model based on short-term meteorological data. First, it simulates the migration and transformation processes of pollutants within the watershed under different meteorological conditions and analyzes their spatiotemporal evolution characteristics. Then, combined with real-time water quality monitoring data at the lake inlet, it calculates the residual environmental capacity for pollutants in the river water. Finally, based on this environmental capacity and the farmland area, it back-calculates the maximum safe fertilization amount for each plot under different meteorological scenarios to achieve precise fertilization management. When the planned fertilization amount does not exceed this maximum safe value, environmental risks are within a controllable range; if exceeded, fertilization should be proportionally reduced to prevent non-point source pollution. The results indicate that this model can accurately predict the concentration trends of non-point source pollutants and can develop differentiated fertilization strategies based on rainfall scenarios. The “fertilization determined by water” decision-making framework established in this study provides a technically significant pathway for shifting watershed agricultural non-point source pollution management from passive treatment to active prevention. Full article
Show Figures

Figure 1

20 pages, 3615 KB  
Article
Heavy Metal Pollution and Health Risk Assessment in Black Soil Region of Inner Mongolia Province, China
by Lin Xu, Zijie Gao, Jie Jiang and Guoxin Sun
Agronomy 2025, 15(12), 2717; https://doi.org/10.3390/agronomy15122717 - 25 Nov 2025
Viewed by 447
Abstract
In order to investigate the current status of soil heavy metal pollution, ecological risk, and risk sources in the black soil area of the Eastern Inner Mongolia Province, topsoil (0–20 cm) samples from farmland in the black soil area (N = 163) were [...] Read more.
In order to investigate the current status of soil heavy metal pollution, ecological risk, and risk sources in the black soil area of the Eastern Inner Mongolia Province, topsoil (0–20 cm) samples from farmland in the black soil area (N = 163) were collected to determine the contents of seven heavy metals. The levels of soil heavy metal pollution and ecological risk in the study area were evaluated by combining the geo-accumulation index, potential ecological risk index, and static environmental carrying capacity; the positive matrix factorization (PMF) model was used to identify the pollution sources and contributions of heavy metals in the soil and analyze the risk levels to adults and children. The soil was predominantly weakly acidic, with mean values of Cr, Ni, Cu, As, Cd, Pb, and Zn of 61.77, 26.77, 17.07, 12.11, 0.08, 12.61, and 85.71 mg·kg−1. The mean concentrations of heavy metals exceeded the background values, except for Pb, the mean concentration of which was lower than the soil background. Ni concentrations of 6.21% at the sampling sites exceeded the risk screening value for agricultural soils. The geo-accumulation index showed that Cr (55.15%) and As (54.00%) were mainly mild pollutants; the static environmental carrying capacity indicated that the soils were slightly polluted by Ni, As, and Zn; and the potential ecological risk indices of Cd, Ni, and As were at moderate levels. The PMF model analyzed three pollution sources: mixed agricultural practice–transportation sources (39.46%), mineral-related activity sources (27.01%), and pesticide–fertilizer agricultural practices (33.53%). The human health risk assessment indicated that 46.58% of sampling sites posed a carcinogenic risk to children, with Ni as the main carcinogenic element. In conclusion, the potential contamination of As, Cd, Ni, Cr, and Zn in the Eastern Inner Mongolia farmland black soil area should be further studied. Full article
(This article belongs to the Section Agroecology Innovation: Achieving System Resilience)
Show Figures

Figure 1

30 pages, 8473 KB  
Article
A Squirrel’s Guide to the Olive Galaxy: Tree-Level Determinants of Den-Site Selection in the Persian Squirrel within Traditional Mediterranean Olive Groves
by Yiannis G. Zevgolis, Efstratios Kamatsos, Apostolos Christopoulos, Christina Valeta, Eleni Rekouti, Christos Xagoraris, George P. Mitsainas, Petros Lymberakis, Dionisios Youlatos and Panayiotis G. Dimitrakopoulos
Biology 2025, 14(12), 1676; https://doi.org/10.3390/biology14121676 - 25 Nov 2025
Viewed by 712
Abstract
Traditional centennial olive groves represent ecologically valuable agroecosystems that support both biodiversity and cultural heritage across Mediterranean landscapes. On Lesvos Island, Greece, which marks the westernmost limit of the Persian squirrel (Sciurus anomalus) distribution, these centennial olive trees serve as essential [...] Read more.
Traditional centennial olive groves represent ecologically valuable agroecosystems that support both biodiversity and cultural heritage across Mediterranean landscapes. On Lesvos Island, Greece, which marks the westernmost limit of the Persian squirrel (Sciurus anomalus) distribution, these centennial olive trees serve as essential nesting resources for this regionally Vulnerable species. However, the tree-level mechanisms determining den-site suitability remain insufficiently understood. We examined 288 centennial olive trees, including 36 with confirmed dens, integrating structural, physiological, and thermal metrics to identify the attributes influencing den occupancy. Our results showed that squirrels consistently selected older and taller olives with broad crowns and high photosynthetic activity, indicating a preference for vigorous, architecturally complex trees that provide stable microclimatic conditions. Infrared thermography revealed that occupied trees exhibited lower trunk temperature asymmetries and stronger thermal buffering capacity, highlighting the role of microclimatic stability in den-site selection. Overall, our findings show that den-site selection in S. anomalus is shaped by the interplay of structural maturity, physiological performance, and thermal coherence. By linking tree function to den-site suitability, our work advances a mechanistic understanding of microhabitat selection and emphasizes the importance of centennial olive trees as biophysical refugia within traditional Mediterranean agroecosystems. Full article
(This article belongs to the Special Issue Young Researchers in Ecology)
Show Figures

Figure 1

36 pages, 3051 KB  
Article
YOLOv12-BDA: A Dynamic Multi-Scale Architecture for Small Weed Detection in Sesame Fields
by Guofeng Xia and Xin Li
Sensors 2025, 25(22), 6927; https://doi.org/10.3390/s25226927 - 13 Nov 2025
Viewed by 500
Abstract
Sesame (Sesamum indicum L.) is one of the most important oilseed crops globally, valued for its high content of unsaturated fatty acids, proteins, and essential nutrients. However, weed infestation represents a major constraint on sesame productivity, competing for resources and releasing allelopathic [...] Read more.
Sesame (Sesamum indicum L.) is one of the most important oilseed crops globally, valued for its high content of unsaturated fatty acids, proteins, and essential nutrients. However, weed infestation represents a major constraint on sesame productivity, competing for resources and releasing allelopathic compounds that can significantly reduce both yield and quality without timely control. To address the challenge of low detection accuracy in complex agricultural environments with dense weed distributions, this study proposes YOLOv12-BDA, a dynamic multi-scale architecture for small weed detection in sesame fields. The proposed architecture incorporates three key dynamic innovations: (1) an Adaptive Feature Selection (AFS) dual-backbone network with a Dynamic Learning Unit (DLU) module that enhances cross-branch feature extraction while reducing computational redundancy; (2) a Dynamic Grouped Convolution and Channel Mixing Transformer (DGCS) module that replaces the C3K2 component to enhance real-time detection of small weeds against complex farmland backgrounds; and (3) a Dynamic Adaptive Scale-aware Interactive (DASI) module integrated into the neck network to strengthen multi-scale feature fusion and detection accuracy. Experimental validation on high-resolution sesame field datasets demonstrates that YOLOv12-BDA significantly outperforms baseline models. The proposed method achieves mAP@50 improvements of 6.43%, 11.72%, 7.15%, 5.33%, and 4.67% over YOLOv5n, YOLOv8n, YOLOv10n, YOLOv11n, and YOLOv12n, respectively. The results confirm that the proposed dynamic architecture effectively improves small-target weed detection accuracy at the cost of increased computational requirements (4.51 M parameters, 10.7 GFLOPs). Despite these increases, the model maintains real-time capability (113 FPS), demonstrating its suitability for precision agriculture applications prioritizing detection quality. Future work will focus on expanding dataset diversity to include multiple crop types and optimizing the architecture for broader agricultural applications. Full article
(This article belongs to the Section Smart Agriculture)
Show Figures

Figure 1

31 pages, 61074 KB  
Article
Spatial and Temporal Dynamics of Forest Carbon Sequestration and Spatial Heterogeneity of Influencing Factors: Evidence from the Beiluo River Basin in the Loess Plateau, China
by Lin Dong, Hua Li, Yuanjie Deng, Hao Wu and Hassan Saif Khan
Forests 2025, 16(11), 1719; https://doi.org/10.3390/f16111719 - 12 Nov 2025
Viewed by 326
Abstract
To accurately analyze the dynamic response and driving mechanism of forest carbon sequestration in the core area of the Loess Plateau’s Returning Farmland to Forestry Project, this study takes the Beiluo River Basin as the research area. Using spatial autocorrelation, gravity model, a [...] Read more.
To accurately analyze the dynamic response and driving mechanism of forest carbon sequestration in the core area of the Loess Plateau’s Returning Farmland to Forestry Project, this study takes the Beiluo River Basin as the research area. Using spatial autocorrelation, gravity model, a geodetector, and spatiotemporal geographically weighted regression models, it analyzes the spatiotemporal evolution of forest carbon sequestration and the spatial heterogeneity of its influencing factors based on 2000–2023 data. The results show the following: (1) Forest carbon sequestration in the basin increased by 13.55% from 2000 to 2023; its spatial pattern shifted from “middle reaches concentration” to “stable middle reaches core plus significant upper reaches growth”, with the gravity center moving “southeast then northwest”. (2) Forest carbon sequestration had significant positive spatial correlation, with hotspots in soil–rock mountain forest areas and cold spots in ecologically fragile or high-human-activity areas. (3) Natural ecological factors dominated forest carbon sequestration evolution, socioeconomic factors enhanced synergy, and evapotranspiration and NDVI had significant impacts. (4) Factor impacts had spatiotemporal heterogeneity, such as the decaying positive effect of precipitation and the “positive-negative-equilibrium” change in forestry value-added. This study provides scientific guidance for basin and Loess Plateau ecological restoration and “double carbon” goal achievement. Full article
(This article belongs to the Section Forest Meteorology and Climate Change)
Show Figures

Figure 1

18 pages, 1547 KB  
Article
The Effects of Different Tillage and Straw Return Practices on Soil Organic Carbon Dynamics from 1980 to 2022 in the Mollisol Region of Northeast China
by Yue Zhang, Yumei Long and Chengzheng Li
Agronomy 2025, 15(11), 2594; https://doi.org/10.3390/agronomy15112594 - 11 Nov 2025
Viewed by 455
Abstract
Understanding how conservation practices involving tillage and straw return practices affect the soil organic carbon (SOC) in farmland is important for soil carbon sequestration and climate change mitigation. However, limited studies have been conducted to investigate and compare the magnitude and variability of [...] Read more.
Understanding how conservation practices involving tillage and straw return practices affect the soil organic carbon (SOC) in farmland is important for soil carbon sequestration and climate change mitigation. However, limited studies have been conducted to investigate and compare the magnitude and variability of the main conservation practices concentrated in grain-producing regions. In this study, we evaluated the SOC response to the main practices (e.g., no tillage, reduced tillage, deep tillage, and straw return) in the Mollisol region of Northeast China based on collected field data (871 observations) using a combination of meta-analysis and random forest (RF) methods. The results show that the SOC change rate significantly increased from 1980 to 2022, with an average annual increase rate of 0.19–14.92%. Straw return had maximum effects on SOC of 17.44% when the soil pH > 7.5 and 15.22% when the initial SOC < 10 g kg−1. The RF results indicate that the initial SOC is the most important factor for SOC, with relative importance values of 33.4%, 29.4%, 29.0%, and 34.1% for SOC under the four practices, respectively. These findings are essential for the implementation of conservation practices to improve carbon sequestration and grain production in eco-agricultural regions. Full article
(This article belongs to the Section Agroecology Innovation: Achieving System Resilience)
Show Figures

Figure 1

Back to TopTop