Sign in to use this feature.

Years

Between: -

Subjects

remove_circle_outline
remove_circle_outline
remove_circle_outline
remove_circle_outline
remove_circle_outline
remove_circle_outline
remove_circle_outline
remove_circle_outline
remove_circle_outline

Journals

remove_circle_outline
remove_circle_outline
remove_circle_outline
remove_circle_outline
remove_circle_outline
remove_circle_outline
remove_circle_outline
remove_circle_outline
remove_circle_outline
remove_circle_outline
remove_circle_outline
remove_circle_outline
remove_circle_outline
remove_circle_outline
remove_circle_outline
remove_circle_outline
remove_circle_outline
remove_circle_outline
remove_circle_outline
remove_circle_outline
remove_circle_outline
remove_circle_outline
remove_circle_outline
remove_circle_outline
remove_circle_outline
remove_circle_outline

Article Types

Countries / Regions

remove_circle_outline
remove_circle_outline
remove_circle_outline
remove_circle_outline
remove_circle_outline
remove_circle_outline
remove_circle_outline
remove_circle_outline
remove_circle_outline

Search Results (4,108)

Search Parameters:
Keywords = farming and processing

Order results
Result details
Results per page
Select all
Export citation of selected articles as:
27 pages, 6430 KB  
Article
Optimization of the Urban Food-Energy-Water Nexus: A Micro-Supply Chain and Circular Economy Approach
by Marwen Elkamel and Luis Rabelo
Sustainability 2026, 18(6), 2751; https://doi.org/10.3390/su18062751 - 11 Mar 2026
Abstract
This paper presents a mathematical programming model to optimize the design and sustainability performance of the urban food–energy–water (FEW) nexus. The model incorporates a micro supply chain and addresses the supply-demand balance within existing and future FEW systems using performance indicators such as [...] Read more.
This paper presents a mathematical programming model to optimize the design and sustainability performance of the urban food–energy–water (FEW) nexus. The model incorporates a micro supply chain and addresses the supply-demand balance within existing and future FEW systems using performance indicators such as cost and carbon footprint. The problem allows for optimal discrete choices, such as investment in new assets, as well as continuous choices, including capacity of different units and produce exchange among urban farms. The model is applied to an urban agriculture network in South Florida that integrates renewable energy technologies (solar, wind, biomass), combined heat and power (CHP) units, reclaimed wastewater and stormwater for irrigation, and electric vehicles for produce transport. The optimization process identifies the most effective infrastructure investment decisions, resource allocation, and technology configurations to support circular economy practices and long-term sustainability objectives. The proposed framework enables reductions in carbon footprints, food waste, and improves food accessibility in food deserts and strengthens collaboration among urban farms. It supports the planning of resilient urban FEW systems by aligning resource use with social, economic and environmental sustainability objectives. The results provide a decision-support tool for urban planners and policymakers, offering practical insights to guide infrastructure investment and sustainability planning in other geographic regions. Full article
Show Figures

Figure 1

19 pages, 2227 KB  
Article
Removal of Heavy Metals in Swine Wastewater Treatment and Their Contribution to Groundwater Contamination in a Karstic Area of Southeast Mexico
by Ana M. Escalante-Mañe, Virgilio R. Gongora-Echeverria, Isidro Montes-Avila, Carlos A. Quintal-Franco, Roger Mendez-Novelo, María del Carmen Ponce-Caballero and Germán Giácoman-Vallejos
Processes 2026, 14(6), 890; https://doi.org/10.3390/pr14060890 - 10 Mar 2026
Abstract
Irrigation with pig slurry has been employed to discharge large volumes of slurry and to recover resources. However, using swine wastewater for agricultural irrigation may cause the accumulation of heavy metals in soil and their potential leaching to groundwater. Wastewater treatment plants (WWTPs) [...] Read more.
Irrigation with pig slurry has been employed to discharge large volumes of slurry and to recover resources. However, using swine wastewater for agricultural irrigation may cause the accumulation of heavy metals in soil and their potential leaching to groundwater. Wastewater treatment plants (WWTPs) are crucial to mitigate heavy metal contents in swine wastewater through physical, chemical, and biological processes. This study tracked the fate of eight heavy metals in industrial swine farms: arsenic (As), cadmium (Cd), copper (Cu), chromium (Cr), lead (Pb), mercury (Hg), nickel (Ni), and zinc (Zn). Zn reported the highest removal (82 to 99%) in all WWTPs and Cu the lowest (−5 to 97%). Cu (0.59–1.64 mg L−1) and Zn (0.35–1.14 mg L−1) were the metals reported in all samples for the target treatment stages (influent, after biodigester, and effluent). Comparing the heavy metal concentration in the effluents, Cu and Zn reached the highest concentrations in all WWTPs. As, Cd, and Pb reported values under the practical quantification limit. In groundwater, Cr reported the highest average concentration in farm GP19 for upstream (0.006 mg L−1) and for downstream (0.032 mg L−1) in GP1. In irrigated soil the Cu and Zn reported the highest concentrations in all farms, showing an enrichment compared to natural soil, indicating that wastewater is the main source of these metals in soil in the farm areas. Although all metals met the Mexican and international regulations, total suspended solids (TSSs) and chemical oxygen demand (COD) for effluent were above the reference limits (TSS ≤ 24 mg L−1 and COD≤ 72 mg L−1) more than ten and four times, respectively, for all WWTPs evaluated. These two parameters were positively related and significantly correlated (p < 0.05) with the presence of metals in the different water fractions, implying possible transport of metals in solids. Cd, Pb, and As, were never reported in treated wastewater and groundwater, but Cr and Hg were. This may be related to external activities such as agriculture for Cr. The enrichment of metals in irrigated soils can be related to the metal presence in groundwater due to leaching because of the karstic soil in the area. Full article
14 pages, 711 KB  
Article
Laboratory Diagnostics of Botulism Cases in Livestock in Poland in 2022–2024
by Aleksandra Jarosz, Magdalena Sapała and Tomasz Grenda
Pathogens 2026, 15(3), 302; https://doi.org/10.3390/pathogens15030302 - 10 Mar 2026
Abstract
Botulism is a neuroparalytic disease caused by exposure to botulinum neurotoxins produced by anaerobic spore-forming bacteria of the genus Clostridium. This disease occurs in both humans and wild and domestic animals, and is currently becoming an increasingly serious problem worldwide due to [...] Read more.
Botulism is a neuroparalytic disease caused by exposure to botulinum neurotoxins produced by anaerobic spore-forming bacteria of the genus Clostridium. This disease occurs in both humans and wild and domestic animals, and is currently becoming an increasingly serious problem worldwide due to high animal mortality and economic losses. The clinical signs observed during the progression of botulism are nonspecific and difficult to unequivocally associate with this disease entity. The aim of this study is to present laboratory diagnostics of suspected botulism cases reported in Poland in 2022–2024, as well as to present the challenges encountered during laboratory investigations. The material for the study consisted of samples of liver, serum, digestive tract, feed, feces, straw, and water from drinking lines, sent to the National Veterinary Research Institute (NVRI) in relation to thirteen suspected cases of botulism, predominantly reported in poultry, but also in mink and cattle farms. The samples were analyzed using a mouse bioassay and conventional culture methods, as well as real-time PCR methods aimed at detecting the ntnh and bont genes, which determine the production of botulinum neurotoxins. Of the thirteen suspected cases analyzed, ten were confirmed by the detection of botulinum toxin (BoNTs) and/or the presence of the ntnh and bont genes in the tested material. Based on the results obtained, it was concluded that botulinum toxin type C was the etiological factor of botulism poisoning in most of the analyzed cases. In one case reported in cattle, poisoning occurred as a result of the mosaic variant of BoNT D/C. Due to the nonspecific signs of botulism and the time required for them to appear, laboratory diagnostics play a key role in detecting the disease. However, this process is complicated due to the high heterogeneity observed among Clostridium spp. strains, as well as difficulties encountered during the isolation of the microorganism and the possibility of loss of toxin-producing capacity at later stages of analysis. Full article
(This article belongs to the Section Epidemiology of Infectious Diseases)
Show Figures

Figure 1

43 pages, 9233 KB  
Article
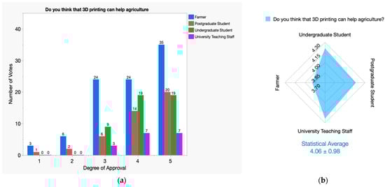
3D Printing Technology as Facilitator for Agricultural Automation: Experimentation, Considerations and Future Perspectives
by Ioannis-Vasileios Kyrtopoulos, Dimitrios Loukatos, Emmanouil Zoulias, Chrysanthos Maraveas and Konstantinos G. Arvanitis
AgriEngineering 2026, 8(3), 104; https://doi.org/10.3390/agriengineering8030104 - 10 Mar 2026
Abstract
The increasing demand for agricultural products, intensified by natural resource degradation and the lack of human labor in the agri-food sector, favors the adoption of advanced automated technologies in the entire farm-to-fork chain. Despite skepticism, 3D (three-dimensional) printing is amongst the methods that [...] Read more.
The increasing demand for agricultural products, intensified by natural resource degradation and the lack of human labor in the agri-food sector, favors the adoption of advanced automated technologies in the entire farm-to-fork chain. Despite skepticism, 3D (three-dimensional) printing is amongst the methods that have drawn increasing attention and encourage expectations for tackling the aforementioned challenges. In this context, the current work has a multiperspective character. Firstly, it sheds light on the recent progress in the 3D printing fabrication area and focuses on laboratory-implemented parts improving the efficiency of typical agricultural processes. These cost-effective solutions vary from covers for damaged electric water pumps and joints for greenhouse structures to adjustable ventilation grilles, automatic irrigation valves and specialized fruit-harvesting grippers. Secondly, it reports on lessons learned, highlighting potential strengths/weaknesses during the fabrication process, assisted by complementary feedback collected via questionnaires from agricultural engineering students, their professors, and farmers. Experiences gained justify the optimism about the capacity of 3D printing to foster agriculture, but there are still concerns about the easiness of the 3D printing process and the ability of the 3D-printed parts to withstand harsh agricultural field conditions. Finally, it indicates future directions for the incorporation of 3D printing in agriculture toward increased sustainability pathways. Full article
Show Figures

Figure 1

13 pages, 2240 KB  
Article
Pigs with CD163 Mutation Conferred PRRSV Resistance
by Changbao Wu, Heyao Wang, Wei Zhang, Miaomiao Cheng, Yang Wang, Lian Chen, Chao Tang, Yanfeng Dai and Liping Zhang
Animals 2026, 16(5), 850; https://doi.org/10.3390/ani16050850 - 9 Mar 2026
Viewed by 76
Abstract
Porcine reproductive and respiratory syndrome (PRRS), which is caused by the porcine reproductive and respiratory syndrome virus (PRRSV), results in substantial economic losses for the global pig farming industry. A critical step in the infection process is the binding of PRRSV to the [...] Read more.
Porcine reproductive and respiratory syndrome (PRRS), which is caused by the porcine reproductive and respiratory syndrome virus (PRRSV), results in substantial economic losses for the global pig farming industry. A critical step in the infection process is the binding of PRRSV to the CD163 receptor on the surface of porcine alveolar macrophages. This study successfully generated CD163−/− Landrace pigs using CRISPR/Cas9 gene editing technology. Following an experimental challenge with two distinct Type II PRRSV strains, the edited pigs exhibited complete resistance to infection. Virological and pathological examinations confirmed the absence of viral replication and the presence of characteristic pulmonary lesions and other organ damage in CD163−/− pigs. In contrast, wild-type control pigs exhibited high viral loads and severe pulmonary lesions, as well as damage to other organs. Our findings provide direct evidence that CD163 is an essential receptor for PRRSV infection in vivo. The CD163−/− pig model offers an effective genetic strategy for breeding pigs with an inherent resistance to PRRSV. Full article
Show Figures

Figure 1

26 pages, 632 KB  
Article
Beyond Technical Efficiency: Structural Disconnect Between Managerial Resource Use and Sustainability in Water Buffalo Farming in Türkiye
by Bekir Sıtkı Şirikçi
Animals 2026, 16(5), 821; https://doi.org/10.3390/ani16050821 - 6 Mar 2026
Viewed by 180
Abstract
Although higher technical efficiency is theoretically expected to enhance farm sustainability, empirical evidence in livestock systems remains ambiguous. This study investigates the interplay between technical efficiency and sustainability using data from 72 farms in Tokat, Türkiye, selected via stratified random sampling. Technical efficiency [...] Read more.
Although higher technical efficiency is theoretically expected to enhance farm sustainability, empirical evidence in livestock systems remains ambiguous. This study investigates the interplay between technical efficiency and sustainability using data from 72 farms in Tokat, Türkiye, selected via stratified random sampling. Technical efficiency was calculated using Data Envelopment Analysis (DEA), while a multidimensional Sustainability Index was constructed using the analytic hierarchy process (AHP) for weighting dimensions. Determinants of inefficiency were estimated using a Tobit model. Results revealed an average technical efficiency of 0.717 and a Composite Sustainability Index of 0.41, classifying the sector as “moderate” but fragile. Crucially, the Kruskal–Wallis test showed no statistically significant difference in sustainability scores across efficiency groups (p > 0.05). This finding confirms a “structural disconnect,” demonstrating that high technical efficiency does not guarantee sustainability because of systemic bottlenecks such as dysfunctional organizations and infrastructure deficits. Furthermore, Tobit results showed that non-farm income and internet access were positively associated with technical efficiency, whereas indebtedness was negatively associated. Consequently, achieving lasting sustainability requires a shift from simple productivity support to structural modernization policies, including the integration of sustainability-oriented criteria such as institutional strengthening, environmental management, and financial capacity into existing support schemes. Full article
(This article belongs to the Section Animal System and Management)
Show Figures

Figure 1

17 pages, 9505 KB  
Article
Enrichment Characteristics, Genesis, Development, and Utilization Suggestions for Metasilicic Acid in Groundwater of the Typical Black Soil Area of the Sanjiang Plain
by Jing-Jie Li, Ming-Guo Wang, Sheng Lian, Jie-Liang Xian, Huai-Sheng Zhang and Tao Yang
Water 2026, 18(5), 621; https://doi.org/10.3390/w18050621 - 5 Mar 2026
Viewed by 173
Abstract
Analyzing the hydrochemical characteristics and formation mechanism of metasilicic acid (H2SiO3) enrichment in the groundwater of Sanjiang Plain is conducive to guiding the rational development and utilization of mineral water resources in this region. Taking the groundwater in the [...] Read more.
Analyzing the hydrochemical characteristics and formation mechanism of metasilicic acid (H2SiO3) enrichment in the groundwater of Sanjiang Plain is conducive to guiding the rational development and utilization of mineral water resources in this region. Taking the groundwater in the typical black soil area of the northeastern Sanjiang Plain (from Qindeli Farm to Chuangye Farm) as an example, 104 groups of groundwater samples were collected to analyze enrichment and controlling factors of H2SiO3 by comprehensive methods such as hydrochemical analysis, rock geochemistry, water–rock interaction analysis, and ion ratio analysis. The results showed that the groundwater was generally in a reducing environment with low mineralization and weak acidity. The main cations were Ca2+ and Mg2+, and the main anion was HCO3. The hydrochemical types were mainly HCO3–Ca and HCO3–Ca·Mg, followed by HCO3·Cl–Ca·Mg mixed type, and the H2SiO3 enrichment rate of groundwater reached 80.77%. The enrichment of H2SiO3 in the groundwater was related to the local geological structure and specific hydrogeochemical processes, and mainly controlled by the hydrolysis process of silicate rock minerals (such as albite, plagioclase, and olivine). The silicates and aluminosilicates contained in the basalt, diorite, and gneiss distributed in the area provided a rich material basis for the enrichment of H2SiO3. Its migration and distribution were simultaneously affected by leaching and cation exchange, while NO3 and SO42− input from anthropogenic sources also participated in the rock weathering, specifically the enrichment process of H2SiO3 in the groundwater. From the perspective of mineralization conditions, Qinglongshan Farm and Qindeli Farm are potential areas for developing H2SiO3-rich mineral water. However, the main direction for the development and utilization of groundwater in this area should be to explore natural H2SiO3-rich groundwater with good comprehensive water quality. Full article
Show Figures

Figure 1

18 pages, 7000 KB  
Article
Long-Term Hydrodynamic Evolution and Extreme Parameter Estimation in the Mekong River Estuary
by Xuanjun Huang, Bin Wang, Yongqing Lai, Jiawei Yu and Yujia Tang
Water 2026, 18(5), 620; https://doi.org/10.3390/w18050620 - 5 Mar 2026
Viewed by 192
Abstract
Tropical estuarine hydrodynamic processes are governed by complex interactions between tides, monsoons, and fluvial runoff. To obtain long-term (≥30 years) hydrodynamic conditions of the Mekong River Estuary, this study established a Finite Volume Coastal Ocean Model (FVCOM) coupled with validated Weather Research and [...] Read more.
Tropical estuarine hydrodynamic processes are governed by complex interactions between tides, monsoons, and fluvial runoff. To obtain long-term (≥30 years) hydrodynamic conditions of the Mekong River Estuary, this study established a Finite Volume Coastal Ocean Model (FVCOM) coupled with validated Weather Research and Forecast (WRF) wind forcing for a 32-year (1988–2019) high-resolution simulation. Validation against in situ observations confirms the model’s robustness. Temporal–spatial patterns of water level and current were analyzed, and extreme parameters for 1–100 year return periods were derived via the Pearson-III probability distribution. Results indicate the study area is a mesotidal environment (tidal range = 3.58 m) dominated by SSE-NNW reciprocating tidal currents. Relative to Vietnam’s national elevation datum, 100-year return period extreme high/low water levels are 2.15 m and −2.03 m, with a maximum storm surge setup of 2.09 m. The 100-year return period maximum current velocity reaches 4.58 m/s (A21 station), and Mekong River runoff exerts a negligible influence (<5% velocity change). This study provides high-precision baseline data for offshore wind farm engineering and disaster risk assessment, offering a methodological reference for tropical estuarine hydrodynamic simulations. Full article
(This article belongs to the Special Issue Hydrology and Hydrodynamics Characteristics in Coastal Area)
Show Figures

Figure 1

20 pages, 1230 KB  
Article
Convergence of Agricultural Labour Productivity in the EU: Evidence from Farms by Economic Size
by Agnieszka Baer-Nawrocka, Natalia Markiewicz and Walenty Poczta
Sustainability 2026, 18(5), 2479; https://doi.org/10.3390/su18052479 - 3 Mar 2026
Viewed by 170
Abstract
The study analyzes agricultural labour productivity in the context of the economic dimension of sustainability and the idea of European Union (EU) cohesion. This idea constitutes a central principle of European integration. The basis for implementing the concept of cohesion in European agriculture [...] Read more.
The study analyzes agricultural labour productivity in the context of the economic dimension of sustainability and the idea of European Union (EU) cohesion. This idea constitutes a central principle of European integration. The basis for implementing the concept of cohesion in European agriculture is the convergence of labour productivity levels. Convergence in this area forms the foundation of economic sustainability and serves as a prerequisite for the social dimension of sustainability, while often also being an underlying factor in environmental sustainability. The analysis concerns the productivity of labour in farms by the economic size, both at the national and regional levels, based on Farm Accountancy Data Network (FADN) data for the years 2007–2022. The β and σ-convergence methods were used. The results indicate that processes of labour productivity convergence occur in EU agriculture. This phenomenon was manifested by a decline in the heterogeneity of labour productivity levels among agricultural holdings. The fastest reduction in regional diversity was observed among the group of the largest economically farms (GE6). However, the dispersion of labour productivity levels remains considerable, and the rate of convergence continues to be slow. The convergence of labour productivity in agriculture will not accelerate without widespread and comprehensive structural changes in the sector, extending beyond mere changes in land use patterns. Full article
Show Figures

Figure 1

33 pages, 10075 KB  
Article
Comparative Analysis of Image Binarization Algorithms for UAV-Based Soybean Canopy Extraction Across Growth Stages for Image Labelling
by Chi-Yong An, Jinki Park and Chulmin Song
Agriculture 2026, 16(5), 582; https://doi.org/10.3390/agriculture16050582 - 3 Mar 2026
Viewed by 223
Abstract
The advent of smart farms, enabled by information and communication technologies (ICT) and the Internet of Things (IoT), has improved productivity and sustainable agriculture. However, the large-scale implementation of smart farms is currently hampered by physical constraints. These constraints have led to the [...] Read more.
The advent of smart farms, enabled by information and communication technologies (ICT) and the Internet of Things (IoT), has improved productivity and sustainable agriculture. However, the large-scale implementation of smart farms is currently hampered by physical constraints. These constraints have led to the concept of open-field smart farming as a viable alternative. In this paradigm, data from unmanned aerial vehicles (UAVs) play a central role in effective and sustainable agricultural management. The quantitative analysis of such data requires highly reliable technological solutions. The objective of this study is to conduct a comparative analysis of image binarization algorithms for UAV-based soybean canopy extraction across growth stages and to contribute to the development of an image labeling methodology. UAVs were used to capture images of soybean fields at different growth stages, and a comparative analysis was performed using binarization image algorithms. The performance of each algorithm was evaluated using Normalized Cross Correlation (NCC) and Mean Absolute Error (MAE). The results indicate that the Excess Green (ExG) and Excess Green minus Excess Red (ExGR) vegetation indices provide accurate and stable soybean canopy extraction across growth stages when combined with Adaptive and Otsu binarization algorithms. These indices are particularly suitable for extracting soybean canopy from UAV-based data, thereby expanding the scope of precision analysis in the agricultural sector and providing data for advancing precision agriculture technology. This study contributes to the standardization and efficient use of UAV-based agricultural data processing. However, since manual weeding was performed prior to image acquisition to ensure that only soybean plants were present, reflecting standard agricultural practices in South Korea, additional validation would be required for application in fields where weeds are naturally present. Full article
(This article belongs to the Section Artificial Intelligence and Digital Agriculture)
Show Figures

Figure 1

26 pages, 2229 KB  
Article
Prolactin and 17β-Estradiol Are Epigenetic Regulators That Modify the Effector Response of Bovine Macrophages During Staphylococcus aureus Challenge
by Marco Antonio Barajas-Mendiola, Josmarth Remigio-Hernández, Marisol Pérez-Galicia, Joel Edmundo López-Meza and Alejandra Ochoa-Zarzosa
Microorganisms 2026, 14(3), 576; https://doi.org/10.3390/microorganisms14030576 - 3 Mar 2026
Viewed by 320
Abstract
Staphylococcus aureus (S. aureus) is the most prevalent pathogen associated with subclinical mastitis, which significantly impacts dairy farming worldwide. Fluctuations in reproductive hormones, such as bovine prolactin (bPRL) and 17β-estradiol (E2), are known to compromise the innate immune response (IIR) of [...] Read more.
Staphylococcus aureus (S. aureus) is the most prevalent pathogen associated with subclinical mastitis, which significantly impacts dairy farming worldwide. Fluctuations in reproductive hormones, such as bovine prolactin (bPRL) and 17β-estradiol (E2), are known to compromise the innate immune response (IIR) of the mammary gland (MG). In this study, we evaluated the effects of bPRL and E2 on the effector response of primary bovine macrophages, isolated from lactating Holstein cows, challenged with S. aureus. We demonstrated that physiological concentrations of bPRL (5 ng/mL) and E2 (50 pg/mL) induced differential changes in the expression of pro-inflammatory (TNF-α, IL-6, and IL-1β) and anti-inflammatory (IL-10) cytokines, chemokines (IL-8), antimicrobial peptides (BNBD10 and S100A7), and miRNAs (miR-451, miR-155, miR-7863, miR-146a, miR-21a, Let-7a-5p, miR-30b, and miR-23a) in S. aureus-challenged macrophages. Moreover, these hormones promoted global histone H3 acetylation and the epigenetic H3K9ac mark without affecting H3K9me2 levels. Hormonal treatment also modulated histone deacetylase (HDAC) activity. Furthermore, hormonal treatment altered macrophage chemotaxis and phagocytosis. In conclusion, bPRL and E2 modulate the effector functions of bovine macrophages during S. aureus infection. This process could be associated with the regulation of histone H3 modifications, such as H3K9ac, in IIR-related genes. Full article
(This article belongs to the Special Issue Microbial Infections and Host Immunity)
Show Figures

Figure 1

18 pages, 1954 KB  
Article
Volatile Odor Compounds by HS-SPME-GC-MS and Nutritional Composition of Hybrid Sturgeon (Acipenser baerii ♀ × Acipenser schrenckii ♂) Back Muscle: Freshwater vs. Seawater Cultivation
by Yali Yu, Li Chen, Zhen Li, Jie Peng, Li Zhu, Yan Wu, Xuelian Ren, Tong Li and Li He
Foods 2026, 15(5), 844; https://doi.org/10.3390/foods15050844 - 3 Mar 2026
Viewed by 229
Abstract
While the sturgeon farming industry is renowned for its valuable caviar, sturgeon muscle tissue remains an underutilized byproduct. The present investigation evaluated the physiological profiles and meat quality attributes of hybrid sturgeon (Acipenser baerii ♀ × Acipenser schrenckii ♂) cultivated in freshwater [...] Read more.
While the sturgeon farming industry is renowned for its valuable caviar, sturgeon muscle tissue remains an underutilized byproduct. The present investigation evaluated the physiological profiles and meat quality attributes of hybrid sturgeon (Acipenser baerii ♀ × Acipenser schrenckii ♂) cultivated in freshwater (FW) and seawater (SW) in terms of conventional nutritional components, color, amino acid, texture, fatty acid, as well as volatile flavor substances. Results revealed that the SW group demonstrated significantly higher muscle whiteness and hardness. The SW group showed significantly higher contents of crude protein, eicosapentaenoic acid (EPA), and docosahexaenoic acid (DHA), n-3 polyunsaturated fatty acids (p < 0.01). Although there was no significant difference in the total hydrolyzed amino acids between the SW and FW groups (p > 0.05), the SW group exhibited significantly higher levels of umami free amino acids, such as glutamic acid and aspartic acid (p < 0.01). Flavor profiling indicated that the SW group exhibited lower levels of several off-flavor compounds, including 1-octen-3-ol, (E,E)-2,4-decadienal, and 3,5-octadien-2-one. Notably, the contents of geosmin (GSM) and 2-methylisoborneol (2-MIB), responsible for earthy off-flavors, were significantly lower in the SW group (p < 0.05). Overall, seawater-cultured hybrid sturgeons offer superior nutritional value and sensory characteristics compared to their freshwater counterparts. These findings provide important scientific insights for enhancing the value-added processing of sturgeon products and the sustainable development of the aquaculture industry. Full article
Show Figures

Figure 1

33 pages, 2100 KB  
Review
Antimicrobial Resistance in the Food Chain: Bridging Knowledge Gaps for Effective Detection and Control
by Emílio Gomes, Tomás Gonçalves Mesquita, Patrícia Serra, Daniela Araújo, Carina Almeida, António Machado, Ricardo Oliveira and Joana Castro
Antibiotics 2026, 15(3), 262; https://doi.org/10.3390/antibiotics15030262 - 3 Mar 2026
Viewed by 410
Abstract
Antimicrobial resistance (AMR) poses a critical global public health threat, with the food chain serving as a significant transmission route connecting animals, environment, and humans. This review adopts a One Health perspective to analyze the key drivers of AMR dissemination across animal agriculture, [...] Read more.
Antimicrobial resistance (AMR) poses a critical global public health threat, with the food chain serving as a significant transmission route connecting animals, environment, and humans. This review adopts a One Health perspective to analyze the key drivers of AMR dissemination across animal agriculture, aquaculture and food processing. We evaluate detection methodologies, contrasting the regulatory gold standard of culture-based phenotypic testing with rapid molecular advancements, including Whole Genome Sequencing (WGS), metagenomics, and emerging CRISPR-Cas diagnostics. While molecular tools offer unprecedented speed and resolution, challenges such as matrix interference, the viable but non-culturable (VBNC) state, and the genotype-phenotype disconnect remain. Finally, integrated mitigation strategies are also described, ranging from on-farm antimicrobial stewardship and innovative biofilm control to consumer hygiene practices. It is essential to bridge the technical and regulatory gaps in AMR surveillance in order to develop effective interventions and ensure a safer food system. Full article
Show Figures

Figure 1

15 pages, 917 KB  
Article
Effects of Microplastics on the Central Reproductive Neuroendocrine System in a Sheep Model
by Patrycja Młotkowska, Bartosz Osuch, Elżbieta Marciniak, Dorota Anna Zięba, Adrianna Konopka and Tomasz Misztal
Int. J. Mol. Sci. 2026, 27(5), 2316; https://doi.org/10.3390/ijms27052316 - 1 Mar 2026
Viewed by 242
Abstract
The present study investigated the impact of microplastics, specifically polystyrene microparticles (PS-MP), on the hypothalamic-pituitary-gonadal (HPG) neurohormonal axis, which regulates reproductive functions in animals and humans. The primary objective was to examine the effects of PS-MP on the expression of key genes and [...] Read more.
The present study investigated the impact of microplastics, specifically polystyrene microparticles (PS-MP), on the hypothalamic-pituitary-gonadal (HPG) neurohormonal axis, which regulates reproductive functions in animals and humans. The primary objective was to examine the effects of PS-MP on the expression of key genes and hormone concentrations within the gonadotropic system of sheep. Two doses of PS-MP—the lower dose (LD; 0.015 mg/kg) and the higher dose (HD; 0.15 mg/kg)—were administered intravenously every three days over two estrous cycles (34 days). Both doses significantly decreased the relative abundance of gonadotropin-releasing hormone (GnRH) transcripts in the mediobasal hypothalamus (MBH), whereas only the HD reduced GnRH mRNA levels in the preoptic area (POA). These transcript-level changes were not accompanied by detectable alterations in GnRH protein concentration. In the MBH, the expression of kisspeptin (KISS-1) and neurokinin B (NKB) genes decreased following exposure to the HD, whereas in the POA, significant decrease in expression were observed only after the LD administration. Changes in prodynorphin (PDYN) gene expression were confined to the MBH and were dose-dependent: the LD increased transcript levels, whereas the HD caused a decrease. The HD of PS-MP also significantly downregulated GnRH receptor (GnRHR) expression in the anterior pituitary (AP). Both PS-MP doses resulted in marked reductions in luteinizing hormone beta (LHβ) and follicle-stimulating hormone beta (FSHβ) subunit gene expression in the AP, without significant changes in hormone protein concentrations. Exposure to PS-MP reduced plasma LH and FSH concentrations: the lower dose reduced both hormones, while the higher dose significantly reduced mainly FSH, showing statistical differences between doses. To summarize, the present study demonstrates that PS-MP exerts a modulatory effect on the secretory activity of the central reproductive system in sheep, at both the hypothalamic and pituitary levels. Consequently, PS-MP has the potential to induce significant disruptions to the reproductive processes of large farm animals. Full article
(This article belongs to the Section Molecular Endocrinology and Metabolism)
Show Figures

Figure 1

33 pages, 5104 KB  
Review
Precision Agriculture Through a Real-Time Systems Perspective: A Narrative Review
by Mansub Haseeb Bhat, Rickiel Franklin da Silva, Sameer Bhat, Aeshna Sinha and Kenneth J. Moore
Agronomy 2026, 16(5), 552; https://doi.org/10.3390/agronomy16050552 - 28 Feb 2026
Viewed by 340
Abstract
Precision agriculture employs state-of-the-art technologies to improve the economic viability, sustainability, and efficiency of agricultural practices. This paper offers a thorough review of precision agriculture, with an emphasis on real-time systems as a foundation for understanding the integration and impact of major technologies. [...] Read more.
Precision agriculture employs state-of-the-art technologies to improve the economic viability, sustainability, and efficiency of agricultural practices. This paper offers a thorough review of precision agriculture, with an emphasis on real-time systems as a foundation for understanding the integration and impact of major technologies. We examine technologies such as digital twins, mobile applications, autonomous systems, location-aware technologies, edge computing, and Wireless Sensor Networks (WSN) that are revolutionizing agricultural processes. We also discuss the potential of other sensing techniques to enhance precision farming, including image analysis, sensory and chemical analysis, and physical state detection. Additionally, the roles that data transmission protocols, artificial intelligence (AI), and machine learning play in maximizing real-time data processing and decision-making are examined. We emphasize the main challenges and limitations in precision agriculture, such as data interoperability, scalability, and system integration. With a focus on market trends and local issues, we examine how AI, real-time systems, sensor technologies, and financial constraints impact the growth of precision agriculture. These advancements have an impact on precise monitoring, post-harvest management, and human health. Lastly, we provide suggestions for successful integration and future developments in precision agriculture, emphasizing design, engineering, and creative approaches to assist the field’s ongoing development. Full article
Show Figures

Figure 1

Back to TopTop