Sign in to use this feature.

Years

Between: -

Subjects

remove_circle_outline
remove_circle_outline
remove_circle_outline
remove_circle_outline
remove_circle_outline
remove_circle_outline
remove_circle_outline
remove_circle_outline
remove_circle_outline

Journals

Article Types

Countries / Regions

Search Results (28)

Search Parameters:
Keywords = familiar noise

Order results
Result details
Results per page
Select all
Export citation of selected articles as:
12 pages, 1760 KB  
Article
Familiar Music Reduces Mind Wandering and Boosts Behavioral Performance During Lexical Semantic Processing
by Gavin M. Bidelman and Shi Feng
Brain Sci. 2025, 15(5), 482; https://doi.org/10.3390/brainsci15050482 - 2 May 2025
Cited by 1 | Viewed by 1440
Abstract
Music has been shown to increase arousal and attention and even facilitate processing during non-musical tasks, including those related to speech and language functions. Mind wandering has been studied in many sustained attention tasks. Here, we investigated the intersection of these two phenomena: [...] Read more.
Music has been shown to increase arousal and attention and even facilitate processing during non-musical tasks, including those related to speech and language functions. Mind wandering has been studied in many sustained attention tasks. Here, we investigated the intersection of these two phenomena: the role of mind wandering while listening to familiar/unfamiliar musical excerpts, and its effects on concurrent linguistic processing. We hypothesized that familiar music would be less distracting than unfamiliar music, causing less mind wandering, and consequently benefit concurrent speech perception. Participants (N = 96 young adults) performed a lexical-semantic congruity task where they judged the relatedness of visually presented word pairs while listening to non-vocal classical music (familiar or unfamiliar orchestral pieces), or a non-music environmental sound clip (control) played in the background. Mind wandering episodes were probed intermittently during the task by explicitly asking listeners if their mind was wandering in that moment. The primary outcome was accuracy and reactions times measured during the lexical-semantic judgment task across the three background music conditions (familiar, unfamiliar, and control). We found that listening to familiar music, relative to unfamiliar music or environmental noise, was associated with faster lexical-semantic decisions and a lower incidence of mind wandering. Mind wandering frequency was similar when performing the task when listening to familiar music and control environmental sounds. We infer that familiar music increases task enjoyment, reduces mind wandering, and promotes more rapid lexical access during concurrent lexical processing, by modulating task-related attentional resources. The implications of using music as an aid during academic study and cognitive tasks are discussed. Full article
(This article belongs to the Section Behavioral Neuroscience)
Show Figures

Figure 1

35 pages, 5269 KB  
Article
The Quantum Transport of Dirac Fermions in Selected Graphene Nanosystems Away from the Charge Neutrality Point
by Adam Rycerz
Materials 2025, 18(9), 2036; https://doi.org/10.3390/ma18092036 - 29 Apr 2025
Viewed by 866
Abstract
The peculiar electronic properties of graphene, including the universal dc conductivity and the pseudodiffusive shot noise, are usually found in a small vicinity close to the charge neutrality point, away from which the electron’s effective mass raises, and nanostructures in graphene start to [...] Read more.
The peculiar electronic properties of graphene, including the universal dc conductivity and the pseudodiffusive shot noise, are usually found in a small vicinity close to the charge neutrality point, away from which the electron’s effective mass raises, and nanostructures in graphene start to behave similarly to familiar Sharvin contacts in semiconducting heterostructures. Recently, it was pointed out that as long as abrupt potential steps separate the sample area from the leads, some graphene-specific features can be identified relatively far from the charge neutrality point. These features include greater conductance reduction and shot noise enhancement compared to the standard Sharvin values. The purpose of this paper is twofold: First, we extend the previous analysis based on the effective Dirac equation, and derive the formulas that allow the calculation of the arbitrary charge transfer cumulant for doped graphene. Second, the results of the analytic considerations are compared with numerical simulations of quantum transport on the honeycomb lattice for selected nanosystems for which considerations starting from the Dirac equation cannot be directly adapted. For a wedge-shaped constriction with zigzag edges, the transport characteristics can be tuned from graphene-specific (sub-Sharvin) values to standard Sharvin values by varying the electrostatic potential profile in the narrowest section. A similar scenario is followed by the half-Corbino disk. In contrast, a circular quantum dot with two narrow openings showing a mixed behavior appears: the conductance is close to the Sharvin value, while the Fano factor approaches the value characterizing the symmetric chaotic cavity. Carving a hole in the quantum dot to eliminate direct trajectories between the openings reduces the conductance to sub-Sharvin value, but the Fano factor is unaffected. Our results suggest that experimental attempts to verify the predictions for the sub-Sharvin transport regime should focus on systems with relatively wide openings, where the scattering at the sample edges is insignificant next to the scattering at the sample–lead interfaces. Full article
(This article belongs to the Special Issue Quantum Transport in Novel 2D Materials and Structures)
Show Figures

Figure 1

30 pages, 13283 KB  
Article
Vitality Decline in Residential Landscapes: A Natural Experiment Insight from Hefei, China
by Bingqian Ru, Zao Li, Zhao Jin, Lekai Cheng and Yiqing Cai
Buildings 2025, 15(5), 788; https://doi.org/10.3390/buildings15050788 - 27 Feb 2025
Viewed by 966
Abstract
This study selected green spaces from three residential areas in Hefei as the research subjects, combining behavioral observation methods and a natural experiment to collect behavioral data from 2010 and 2024. The data were then compared using Poisson regression models. Additionally, home visits [...] Read more.
This study selected green spaces from three residential areas in Hefei as the research subjects, combining behavioral observation methods and a natural experiment to collect behavioral data from 2010 and 2024. The data were then compared using Poisson regression models. Additionally, home visits were conducted to gather residents’ perceptions of the factors contributing to the decline in vitality. Based on the survey data, multilevel regression analysis was performed to explore the decline in RQGS usage vitality and its influencing factors in the context of rapid urbanization. This study found a significant decline in green space visits, particularly during the afternoon (16:00–18:00) and in areas adjacent to roadways. The main influencing factors include emerging leisure choices (such as taking the subway to large parks or preferring indoor activities) and residents’ satisfaction with RQGS characteristics (such as functional zoning, noise pollution, and neighborhood familiarity). Notably, there was no significant correlation between “disposable leisure time” and visit frequency. These findings suggest that, despite the inherent advantages of proximity, the vitality of RQGS faces increasing challenges due to emerging diverse leisure demands and growing environmental disturbances. In contrast to the traditional emphasis on accessibility, this study recommends that future RQGS planning prioritize functional zoning (e.g., dog-walking areas, sports zones), address the needs of vulnerable groups, and focus on mitigating vehicle noise and air pollution rather than merely expanding parking facilities. Interventions should be scheduled for the afternoon and emphasize strengthening community interaction and cohesion to enhance user experience. This research provides valuable scientific evidence and practical guidance for urban planners and policymakers to optimize residential green spaces in the context of rapid urbanization, offering new perspectives for the empirical evaluation of RQGS upgrades. Full article
(This article belongs to the Special Issue Urban Sustainability: Sustainable Housing and Communities)
Show Figures

Figure 1

18 pages, 1849 KB  
Article
Educational Apps and Dog Behavioural Problem Prevention: Associations Between the Zigzag Dog-Training App and Behavioural Problems
by Tom Rowland, Luciana de Assis, Carolyn Menteith, Lorna Winter, Helen Zulch and Daniel S. Mills
Animals 2025, 15(4), 520; https://doi.org/10.3390/ani15040520 - 12 Feb 2025
Viewed by 3472
Abstract
Behavioural problems in dogs are a major welfare concern for both dogs and owners, which can lead to relinquishment or euthanasia. As such, it is important to find ways to minimize the risk of development or severity of problematic behaviour. Such interventions should [...] Read more.
Behavioural problems in dogs are a major welfare concern for both dogs and owners, which can lead to relinquishment or euthanasia. As such, it is important to find ways to minimize the risk of development or severity of problematic behaviour. Such interventions should ideally occur early in the dog’s development and need to be widely and easily accessible. One way to implement such interventions, given modern smart phone use, is via an educational application (app). Here, we conducted a cross-sectional observational study where we sought to estimate associations between use of the Zigzag dog-training app (Zigzag Pet Care Services Ltd.) and the development and severity of problematic behaviours. We focused on a subset of the survey population (n = 367) who did no training at all (n = 194) or only used the app (did not attend formal classes or in person training; n = 173). Proportional odds ordinal logistic regression models were used to estimate odds ratios and 95% confidence intervals for a range of behaviours as a function of percentage completion of the first four chapters of the app while controlling for age, sex, health, and where the puppy was from. While sample sizes were relatively small and confidence intervals wide, 19 out of 21 odds ratio point estimates were in favour of severity being lower with increasing Zigzag app completion (the remaining 2 were marginally above 1). There was no good evidence that Zigzag increased the severity of any behaviours. On the contrary, there was reasonable evidence against the null hypothesis of no association in favour of Zigzag reducing the severity of familiar aggression, house soiling, chewing, barking, escaping, and noise fear. While causal effects cannot be claimed, overall, the reported associations are favourable and suggest that further study is warranted. Full article
(This article belongs to the Section Companion Animals)
Show Figures

Figure 1

18 pages, 237 KB  
Article
Nurses’ Perspectives on the Sleep Quality of Hospitalized Patients in Al Ahsa, Saudi Arabia
by Rabie Adel El Arab, Husam Alzghoul, Mohammad S. Abu-Mahfouz, Zainab Aldarwish, Mariam Abbadi, Eman Ghashi, Ghasaq Alsaffar, Wujd Alasmkh and Mohamed Mahmoud Seweid
Nurs. Rep. 2025, 15(2), 54; https://doi.org/10.3390/nursrep15020054 - 4 Feb 2025
Cited by 2 | Viewed by 5475
Abstract
Background: Sleep quality is crucial for patient recovery and well-being, yet hospitalized patients often suffer from poor sleep due to environmental disruptions, clinical routines, and psychosocial stressors. While these challenges are well-documented, qualitative insights into nurses’ perspectives—essential frontline providers shaping the sleep environment—are [...] Read more.
Background: Sleep quality is crucial for patient recovery and well-being, yet hospitalized patients often suffer from poor sleep due to environmental disruptions, clinical routines, and psychosocial stressors. While these challenges are well-documented, qualitative insights into nurses’ perspectives—essential frontline providers shaping the sleep environment—are scarce, especially within rapidly evolving healthcare systems like Saudi Arabia’s. This study explores nurses’ perceptions of factors influencing patient sleep quality in a private hospital in Al Ahsa, Saudi Arabia, and identifies strategies for improvement. Methods: We conducted a qualitative, cross-sectional study using semi-structured interviews with 14 registered nurses from diverse nationalities, specialties (Obstetrics/Gynecology, Medical-Surgical, Pediatrics, Intensive Care, Orthopedics, Bariatrics), and experience levels. Interviews were conducted in Arabic or English, audio-recorded, transcribed, and thematically analyzed using ATLAS.ti software. Roy’s Adaptation Model guided the examination of environmental, patient-specific, and systemic factors affecting sleep. Findings: Four primary themes emerged: (1). Environmental Factors: noise from alarms, equipment, family presence, and late-night activities, along with abrupt lighting changes, consistently disrupted sleep. (2). Patient-Specific Factors: pain, emotional distress, cultural expectations, and family involvement influenced sleep experiences. (3). Systemic and Contextual Factors: language barriers, infrastructural disparities between private and governmental hospitals, and limited resources can impeded effective sleep-promoting strategies. (4). Role of Health Technology: nurses recognized the potential of innovations like smart lighting and wearable monitors to enhance sleep quality but faced challenges in implementation due to knowledge gaps and limited familiarity. Roy’s Adaptation Model highlighted how effective adaptation through physiological and cognitive–emotional pathways, as observed by nurses, was facilitated or hindered by these factors. Conclusions: Enhancing in-hospital sleep quality requires a holistic, culturally sensitive approach that integrates environmental modifications, patient-centered care, and systemic improvements. Strategic investments in staff communication training, infrastructural upgrades, language support services, and the adoption of health technologies can promote adaptive responses and optimize patient rest. By leveraging theory-driven insights and context-specific strategies, healthcare systems—particularly those undergoing rapid development—can better support nurses in fostering restorative sleep environments as a fundamental component of patient-centered care, thereby enhancing patient recovery, satisfaction, and overall well-being. Full article
18 pages, 5672 KB  
Article
Language Experience Influences Sociolinguistic Development: The Role of Speaker Race and Language Attitudes on Bilingual and Monolingual Adults’ Accent Processing
by Vanessa Ritsema, Rebeka Workye and Drew Weatherhead
Brain Sci. 2024, 14(10), 1028; https://doi.org/10.3390/brainsci14101028 - 17 Oct 2024
Viewed by 3643
Abstract
Background/Objectives: Speaker race and the listener’s language experience (i.e., monolinguals vs. bilinguals) have both been shown to influence accent intelligibility independently. Speaker race specifically is thought to be informed by learned experiences (exemplar model) or individual biases and attitudes (bias-based model). The current [...] Read more.
Background/Objectives: Speaker race and the listener’s language experience (i.e., monolinguals vs. bilinguals) have both been shown to influence accent intelligibility independently. Speaker race specifically is thought to be informed by learned experiences (exemplar model) or individual biases and attitudes (bias-based model). The current study investigates speaker race and the listener’s language experience simultaneously as well as listeners’ attitudes toward non-native speakers and their ability to identify the accent. Methods: Overall, 140 White English monolinguals and 140 English/Norwegian bilinguals transcribed 60 Mandarin-accented English sentences presented in noise in the context of a White or East Asian face. Following sentence transcription, participants were asked to rate the strength of the accent heard and completed a short questionnaire that assessed their accent identification ability and their language usage, proficiency, familiarity, and attitudes. Results: Results show that a listeners’ ability to identify an accent and their attitudes toward non-native speakers had a significant impact on accent intelligibility and accentedness ratings. Speaker race by itself did not play a role in accent intelligibility and accentedness ratings; however, we found evidence that speaker race interacted with participants’ accent identification scores and attitudes toward non-native speakers, and these interactions differed as a function of language experience. Conclusions: Our results suggest that bilinguals’ sociolinguistic processing may be more in line with a bias-based model than monolinguals. Full article
Show Figures

Figure 1

43 pages, 639 KB  
Tutorial
Graviton Physics: A Concise Tutorial on the Quantum Field Theory of Gravitons, Graviton Noise, and Gravitational Decoherence
by Jen-Tsung Hsiang, Hing-Tong Cho and Bei-Lok Hu
Universe 2024, 10(8), 306; https://doi.org/10.3390/universe10080306 - 24 Jul 2024
Cited by 5 | Viewed by 3315
Abstract
The detection of gravitational waves in 2015 ushered in a new era of gravitational wave (GW) astronomy capable of probing the strong field dynamics of black holes and neutron stars. It has opened up an exciting new window for laboratory and space tests [...] Read more.
The detection of gravitational waves in 2015 ushered in a new era of gravitational wave (GW) astronomy capable of probing the strong field dynamics of black holes and neutron stars. It has opened up an exciting new window for laboratory and space tests of Einstein’s theory of classical general relativity (GR). In recent years, two interesting proposals have aimed to reveal the quantum nature of perturbative gravity: (1) theoretical predictions on how graviton noise from the early universe, after the vacuum of the gravitational field was strongly squeezed by inflationary expansion; (2) experimental proposals using the quantum entanglement between two masses, each in a superposition (gravitational cat, or gravcat) state. The first proposal focuses on the stochastic properties of quantum fields (QFs), and the second invokes a key concept of quantum information (QI). An equally basic and interesting idea is to ask whether (and how) gravity might be responsible for a quantum system becoming classical in appearance, known as gravitational decoherence. Decoherence due to gravity is of special interest because gravity is universal, meaning, gravitational interaction is present for all massive objects. This is an important issue in macroscopic quantum phenomena (MQP), underlining many proposals in alternative quantum theories (AQTs). To fully appreciate or conduct research in these exciting developments requires a working knowledge of classical GR, QF theory, and QI, plus some familiarity with stochastic processes (SPs), namely, noise in quantum fields and decohering environments. Traditionally a new researcher may be conversant in one or two of these four subjects: GR, QFT, QI, and SP, depending on his/her background. This tutorial attempts to provide the necessary connective tissues between them, helping an engaged reader from any one of these four subjects to leapfrog to the frontier of these interdisciplinary research topics. In the present version, we shall address the three topics listed in the title, excluding gravitational entanglement, because, despite the high attention some recent experimental proposals have received, its nature and implications in relation to quantum gravity still contain many controversial elements. Full article
(This article belongs to the Special Issue Quantum Field Theory of Open Systems)
Show Figures

Figure 1

8 pages, 391 KB  
Brief Report
Evaluating the Compatibility of the Digit-in-Noise Test with Hearing Screening in Individuals with Intellectual Disabilities: A Pilot Study
by Noa Shmerler, Ronit Saban-Bezalel and Leah Fostick
Diagnostics 2024, 14(11), 1202; https://doi.org/10.3390/diagnostics14111202 - 6 Jun 2024
Cited by 1 | Viewed by 1355
Abstract
Hearing impairment among adults with intellectual disability (ID) is notably prevalent yet frequently underdiagnosed due, in part, to the challenges associated with traditional hearing screening methods in this population. This study explores the effectiveness of the Digit-in-Noise (DIN) test as a viable alternative [...] Read more.
Hearing impairment among adults with intellectual disability (ID) is notably prevalent yet frequently underdiagnosed due, in part, to the challenges associated with traditional hearing screening methods in this population. This study explores the effectiveness of the Digit-in-Noise (DIN) test as a viable alternative for hearing screening within natural settings and with familiar personnel. A total of 16 Hebrew-speaking adults with ID were recruited from supported employment programs, 10 of whom completed the study. The DIN test, which was administered in a daily environment using a simple digital device, evaluated the speech recognition threshold in noise. Results indicated that while some participants performed comparably to typically developing individuals, others showed varying levels of hearing thresholds, suggesting diverse auditory capabilities within the ID population. This pilot study confirms that the DIN test can be feasibly integrated into routine care settings, offering a friendly and accessible method for assessing hearing abilities in adults with ID. The findings advocate for the broader adoption of and potential modifications to the DIN Test to enhance its applicability and inclusiveness, thereby improving diagnostic accuracy and subsequent auditory care for this underserved population. Full article
Show Figures

Figure 1

20 pages, 1622 KB  
Article
Optimizing Business-to-Business Customer Satisfaction Analysis through Advanced Two-Stage Clustering: Insights from Industrial Parks
by Jian Wang and Lingling Yue
Sustainability 2024, 16(10), 4043; https://doi.org/10.3390/su16104043 - 12 May 2024
Cited by 1 | Viewed by 1684
Abstract
Traditional research on customer satisfaction (CS) estimation has focused on the business-to-customer (BTC) business mode. Customers in the BTC mode have been assumed to be familiar with the full range of services or products and to be able to make estimations of their [...] Read more.
Traditional research on customer satisfaction (CS) estimation has focused on the business-to-customer (BTC) business mode. Customers in the BTC mode have been assumed to be familiar with the full range of services or products and to be able to make estimations of their CS. However, in the business-to-business (BTB) mode, diverse services have often been required and provided. It may be difficult to find members who have experience with all kinds of services or to generate common CS estimation results supported by different members. In this study, the difference between BTC and BTB was verified using structural equation modeling (SEM), and a model of CS estimation was developed with respect to BTB. The empirical results show that perceived service quality has no direct impact on enterprise satisfaction, indicating that traditional models are limited. A two-stage clustering algorithm was adopted to optimize the traditional CS evaluation model based on SEM, i.e., (1) K-nearest neighbor (KNN) classification and (2) density-based spatial clustering of applications with noise (DBSCAN). In order to verify the feasibility of the proposed model, CS with respect to six industrial parks was estimated empirically. The results show that the proposed model can improve the results of CS estimation compared with the results obtained using traditional methods. During the clustering process, each park generated and eliminated a certain number of noise points to optimize the satisfaction evaluation results. Specifically, park A generated and eliminated seven noise points, while park C generated and eliminated five noise points. The results of the satisfaction evaluation of each park obtained using the proposed model are more realistic, i.e., park A > park B > park C > park E > park D > park F. The proposed model extends the existing research on CS estimation in theory and can support applications in the BTB business mode. Full article
Show Figures

Figure 1

20 pages, 7569 KB  
Article
Physics-Informed Deep Learning Inversion with Application to Noisy Magnetotelluric Measurements
by Wei Liu, He Wang, Zhenzhu Xi and Liang Wang
Remote Sens. 2024, 16(1), 62; https://doi.org/10.3390/rs16010062 - 22 Dec 2023
Cited by 5 | Viewed by 2609
Abstract
Despite demonstrating exceptional inversion production for synthetic data, the application of deep learning (DL) inversion methods to invert realistic magnetotelluric (MT) measurements, which are inevitably contaminated by noise in acquisition, poses a significant challenge. Hence, to facilitate DL inversion for realistic MT measurements, [...] Read more.
Despite demonstrating exceptional inversion production for synthetic data, the application of deep learning (DL) inversion methods to invert realistic magnetotelluric (MT) measurements, which are inevitably contaminated by noise in acquisition, poses a significant challenge. Hence, to facilitate DL inversion for realistic MT measurements, this work explores developing a noise-robust MT DL inversion method by generating targeted noisy training datasets and constructing a physics-informed neural network. Different from most previous works that only considered the noise of one fixed distribution and level, we propose three noise injection strategies and compare their combinations to mitigate the adverse effect of measurement noise on MT DL inversion results: (1) add synthetic relative noise obeying Gaussian distribution; (2) propose a multiwindow Savitzky–Golay (MWSG) filtering scheme to extract potential and possible noise from the target field data and then introduce them into training data; (3) create an augmented training dataset based on the former two strategies. Moreover, we employ the powerful Swin Transformer as the backbone network to construct a U-shaped DL model (SwinTUNet), based on which a physics-informed SwinTUNet (PISwinTUNet) is implemented to further enhance its generalization ability. In synthetic examples, the proposed noise injection strategies demonstrate impressive inversion effects, regardless of whether they are contaminated by familiar or unfamiliar noise. In a field example, the combination of three strategies drives PISwinTUNet to produce considerably faithful reconstructions for subsurface resistivity structures and outperform the classical deterministic Occam inversions. The experimental results show that the proposed noise-robust DL inversion method based on the noise injection strategies and physics-informed DL architecture holds great promise in processing MT field data. Full article
Show Figures

Graphical abstract

27 pages, 8922 KB  
Article
Brass Haptics: Comparing Virtual and Physical Trumpets in Extended Realities
by Devon John Blewett and David Gerhard
Arts 2023, 12(4), 145; https://doi.org/10.3390/arts12040145 - 10 Jul 2023
Cited by 1 | Viewed by 3353
Abstract
Despite the benefits of learning an instrument, many students drop out early because it can be frustrating for the student, expensive for the caregiver, and loud for the household. Virtual Reality (VR) and Extended Reality (XR) offer the potential to address these challenges [...] Read more.
Despite the benefits of learning an instrument, many students drop out early because it can be frustrating for the student, expensive for the caregiver, and loud for the household. Virtual Reality (VR) and Extended Reality (XR) offer the potential to address these challenges by simulating multiple instruments in an engaging and motivating environment through headphones. To assess the potential for commercial VR to augment musical experiences, we used standard VR implementation processes to design four virtual trumpet interfaces: camera-tracking with tracked register selection (two ways), camera-tracking with voice activation, and a controller plus a force-feedback haptic glove. To evaluate these implementations, we created a virtual music classroom that produces audio, notes, and finger pattern guides loaded from a selected Musical Instrument Digital Interface (MIDI) file. We analytically compared these implementations against physical trumpets (both acoustic and MIDI), considering features of ease of use, familiarity, playability, noise, and versatility. The physical trumpets produced the most reliable and familiar experience, and some XR benefits were considered. The camera-based methods were easy to use but lacked tactile feedback. The haptic glove provided improved tracking accuracy and haptic feedback over camera-based methods. Each method was also considered as a proof-of-concept for other instruments, real or imaginary. Full article
(This article belongs to the Special Issue Feeling the Future—Haptic Audio)
Show Figures

Figure 1

12 pages, 1453 KB  
Article
A Visual Speech Intelligibility Benefit Based on Speech Rhythm
by Saya Kawase, Chris Davis and Jeesun Kim
Brain Sci. 2023, 13(6), 932; https://doi.org/10.3390/brainsci13060932 - 8 Jun 2023
Cited by 3 | Viewed by 2235
Abstract
This study examined whether visual speech provides speech-rhythm information that perceivers can use in speech perception. This was tested by using speech that naturally varied in the familiarity of its rhythm. Thirty Australian English L1 listeners performed a speech perception in noise task [...] Read more.
This study examined whether visual speech provides speech-rhythm information that perceivers can use in speech perception. This was tested by using speech that naturally varied in the familiarity of its rhythm. Thirty Australian English L1 listeners performed a speech perception in noise task with English sentences produced by three speakers: an English L1 speaker (familiar rhythm); an experienced English L2 speaker who had a weak foreign accent (familiar rhythm), and an inexperienced English L2 speaker who had a strong foreign accent (unfamiliar speech rhythm). The spoken sentences were presented in three conditions: Audio-Only (AO), Audio-Visual with mouth covered (AVm), and Audio-Visual (AV). Speech was best recognized in the AV condition regardless of the degree of foreign accent. However, speech recognition in AVm was better than AO for the speech with no foreign accent and with a weak accent, but not for the speech with a strong accent. A follow-up experiment was conducted that only used the speech with a strong foreign accent, under more audible conditions. The results also showed no difference between the AVm and AO conditions, indicating the null effect was not due to a floor effect. We propose that speech rhythm is conveyed by the motion of the jaw opening and closing, and perceivers use this information to better perceive speech in noise. Full article
Show Figures

Figure 1

15 pages, 262 KB  
Article
Knowing Is Not Doing: A Qualitative Study of Parental Views on Family Beverage Choice
by Chelsea M. Newman, Jamie Zoellner, Marlene B. Schwartz, Joseph Peña, Kimberly D. Wiseman, Joseph A. Skelton, Tiffany M. Shin and Kristina H. Lewis
Nutrients 2023, 15(12), 2665; https://doi.org/10.3390/nu15122665 - 8 Jun 2023
Cited by 4 | Viewed by 2833
Abstract
Objective: Sugary drink consumption is associated with adverse health outcomes in children, highlighting the need for scalable family interventions that address barriers to water consumption. To inform development of a scalable, health-care-system-based intervention targeting family beverage choice, a formative qualitative study was conducted [...] Read more.
Objective: Sugary drink consumption is associated with adverse health outcomes in children, highlighting the need for scalable family interventions that address barriers to water consumption. To inform development of a scalable, health-care-system-based intervention targeting family beverage choice, a formative qualitative study was conducted using semi-structured interviews with parents whose children were identified as over-consuming sugar-sweetened beverages (SSB) and/or fruit juice (FJ). The first goal of these interviews was to understand, in a diverse real-world patient population, what parents viewed as the primary drivers of their family’s beverage choices, and explore how these drivers might need to be addressed in order to make changes to beverage consumption. A second goal was to explore parental preferences for planned intervention components. An exploratory goal of the interviews was to examine whether knowledge, attitudes, and beliefs around family beverage choice differed across racial and ethnic groups in this sample. Design: Semi-structured phone interviews were conducted and interviews audio-recorded and transcribed. Participants: 39 parents/caregivers of children ages 1–8 who over-consumed sugary drinks as determined by screenings at pediatric visits. Phenomenon of Interest: Parents were interviewed about family beverage choices and preferences to inform development of a multi-component intervention. Analysis: Thematic analysis was performed, including comparison of themes across racial/ethnic groups. Results: Parents expressed that sugary drinks were unhealthy and water was a better alternative. Most were familiar with the health consequences of excess sugar consumption. They identified many reasons why sugary drinks are chosen over water despite this knowledge. One common reason was concern about tap water safety. Few differences were noted across racial and ethnic groups in our sample. Parents were enthusiastic about a technology-based intervention to be delivered through their child’s doctor’s office. Conclusions and Implications: Knowledge is not enough to change behavior. Beverage interventions need to be easy to access, make water more appealing, and elevate beverage choice above the “white noise” of everyday life. Delivering an intervention in a clinical setting could provide an extra level of care, while technology would reduce the amount of live contact and decrease the burden for clinicians and parents. Full article
17 pages, 945 KB  
Article
Design and Development of a Spanish Hearing Test for Speech in Noise (PAHRE)
by Marlene Rodríguez-Ferreiro, Montserrat Durán-Bouza and Victoria Marrero-Aguiar
Audiol. Res. 2023, 13(1), 32-48; https://doi.org/10.3390/audiolres13010004 - 30 Dec 2022
Cited by 4 | Viewed by 2997
Abstract
Background: There are few hearing tests in Spanish that assess speech discrimination in noise in the adult population that take into account the Lombard effect. This study presents the design and development of a Spanish hearing test for speech in noise (Prueba Auditiva [...] Read more.
Background: There are few hearing tests in Spanish that assess speech discrimination in noise in the adult population that take into account the Lombard effect. This study presents the design and development of a Spanish hearing test for speech in noise (Prueba Auditiva de Habla en Ruido en Español (PAHRE) in Spanish). The pattern of the Quick Speech in Noise test was followed when drafting sentences with five key words each grouped in lists of six sentences. It was necessary to take into account the differences between English and Spanish. Methods: A total of 61 people (24 men and 37 women) with an average age of 46.9 (range 18–84 years) participated in the study. The work was carried out in two phases. In the first phase, a list of Spanish sentences was drafted and subjected to a familiarity test based on the semantic and syntactic characteristics of the sentences; as a result, a list of sentences was selected for the final test. In the second phase, the selected sentences were recorded with and without the Lombard effect, the equivalence between both lists was analysed, and the test was applied to a first reference population. Results: The results obtained allow us to affirm that it is representative of the Spanish spoken in its variety in peninsular Spain. Conclusions: In addition, these results point to the usefulness of the PAHRE test in assessing speech in noise by maintaining a fixed speech intensity while varying the intensity of the multi-speaker background noise. The incorporation of the Lombard effect in the test shows discrimination differences with the same signal-to-noise ratio compared to the test without the Lombard effect. Full article
Show Figures

Figure 1

24 pages, 1418 KB  
Article
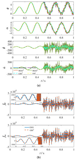
Desired Dynamics-Based Generalized Inverse Solver for Estimation Problems
by Shaojie Liu, Yulong Zhang, Zhiqiang Gao, Yangquan Chen, Donghai Li and Min Zhu
Processes 2022, 10(11), 2193; https://doi.org/10.3390/pr10112193 - 26 Oct 2022
Cited by 6 | Viewed by 1757
Abstract
An important task for estimators is to solve the inverse. However, as the designs of different estimators for solving the inverse vary widely, it is difficult for engineers to be familiar with all of their properties and to design suitable estimators for different [...] Read more.
An important task for estimators is to solve the inverse. However, as the designs of different estimators for solving the inverse vary widely, it is difficult for engineers to be familiar with all of their properties and to design suitable estimators for different situations. Therefore, we propose a more structurally unified and functionally diverse estimator, called generalized inverse solver (GIS). GIS is inspired by the desired dynamics of control systems and understanding of the generalized inverse. It is similar to a closed-loop system, structurally consisting of nominal models and an error-correction mechanism (ECM). The nominal models can be model-based, semi-model-based, or even model-free, depending on prior knowledge of the system. In addition, we design the ECM of GIS based on desired dynamics parameterization by following a simple and meaningful rule, where states are directly used in the ECM to accelerate the convergence of GIS. A case study considering a rotary flexible link shows that GIS can greatly improve the noise suppression performance with lower loss of dynamic estimation performance, when compared with other common observers at the same design bandwidth. Moreover, the dynamic estimation performances of the three GIS approaches (i.e., model-based, semi-model-based, and model-free) are almost the same under the same parameters. These results demonstrate the strong robustness of GIS (although by means of the uniform design method). Finally, some control cases are studied, including a comparison with DOB and ESO, in order to illustrate their approximate equivalence to GIS. Full article
(This article belongs to the Section Automation Control Systems)
Show Figures

Figure 1

Back to TopTop