Due to scheduled maintenance work on our servers, there may be short service disruptions on this website between 11:00 and 12:00 CEST on March 28th.
Sign in to use this feature.

Years

Between: -

Subjects

remove_circle_outline
remove_circle_outline
remove_circle_outline
remove_circle_outline
remove_circle_outline
remove_circle_outline
remove_circle_outline
remove_circle_outline
remove_circle_outline

Journals

remove_circle_outline
remove_circle_outline
remove_circle_outline
remove_circle_outline
remove_circle_outline
remove_circle_outline
remove_circle_outline
remove_circle_outline

Article Types

Countries / Regions

remove_circle_outline
remove_circle_outline
remove_circle_outline

Search Results (267)

Search Parameters:
Keywords = failure envelopes

Order results
Result details
Results per page
Select all
Export citation of selected articles as:
32 pages, 10049 KB  
Article
Evolution Mechanism and Cyclic Degradation Model of Ultimate Bearing Capacity for Suction Caissons Under Inclined Combined Loading
by Kang Huang, Bingzhen Yu, Bo Liu, Liji Huang, Huiyuan Deng, Wenbo Zhu and Guoliang Dai
Appl. Sci. 2026, 16(6), 3017; https://doi.org/10.3390/app16063017 - 20 Mar 2026
Viewed by 147
Abstract
In the marine environment, the suction caisson foundation (SCF) is often subjected to combined inclined and cyclic loading from wind and waves, which may significantly affect its ultimate bearing capacity. Under combined loading conditions, the evolution of ultimate bearing capacity is influenced by [...] Read more.
In the marine environment, the suction caisson foundation (SCF) is often subjected to combined inclined and cyclic loading from wind and waves, which may significantly affect its ultimate bearing capacity. Under combined loading conditions, the evolution of ultimate bearing capacity is influenced by multiple factors, and the corresponding bearing capacity envelopes have become key issues that urgently need to be addressed. In this study, a series of model tests and numerical simulations were conducted considering the effects of load inclination angle, loading position, aspect ratio, soil undrained shear strength, and interface friction coefficient. The results show that under static loading conditions, as the loading depth increases, the load inclination angle corresponding to the maximum bearing capacity decreases from 45° to 0°. As the cyclic load ratio and static load ratio increase, cyclic loading significantly intensifies displacement accumulation and the degradation of ultimate bearing capacity. As the loading depth increases, the failure mechanism transitions from rotation-dominated to translation-dominated behavior. In addition, the ultimate bearing capacity increases monotonically with increasing aspect ratio, interface friction coefficient, and soil undrained shear strength. A normalized V–H bearing capacity envelope was established, which shows good agreement with the experimental and numerical results. By introducing a cyclic bearing capacity degradation coefficient, a modified envelope was proposed to describe the evolution of ultimate bearing capacity under cyclic loading conditions. The bearing capacity evolution patterns and envelope method proposed in this study provide a useful reference for the engineering design of SCF. Full article
Show Figures

Figure 1

22 pages, 5690 KB  
Article
Testing and Modeling of a CFRP Composite Subjected to Simple and Compound Loads
by Ionuț Mititelu, Viorel Goanță, Paul Doru Bârsănescu and Ciprian Ionuț Morăraș
C 2026, 12(1), 26; https://doi.org/10.3390/c12010026 - 20 Mar 2026
Viewed by 193
Abstract
Most components fail under complex states of stress and for this reason the study of materials failure under these conditions is an important topic. The article presents the experimental study of the failure of a CFRP material, with a 0/90° cross-ply configuration, subjected [...] Read more.
Most components fail under complex states of stress and for this reason the study of materials failure under these conditions is an important topic. The article presents the experimental study of the failure of a CFRP material, with a 0/90° cross-ply configuration, subjected to both simple loading conditions (tension, compression, and shear) and combined loading (tension–shear), using a modified Arcan testing method. The Arcan device and specimen geometry were redesigned to reduce experimental errors and the dispersion of results. It was found that there are significant differences between the strength values obtained for simple loads performed by the standardized methods and by the Arcan method, respectively. For this reason, it is recommended to use the Arcan method only for mixed loading modes. Specimens with steel tabs were used to reduce both hole ovality during testing and the number of clamping screws to only four. It was found that the experimental results under complex stress states are well described by the Tsai–Hill failure criterion and the failure envelope for the material studied was plotted. Recommendations are provided regarding the appropriate use of the Arcan method in order to obtain precise results for CFRP composites under multiaxial loading. Full article
(This article belongs to the Section Carbon Materials and Carbon Allotropes)
Show Figures

Figure 1

13 pages, 12412 KB  
Article
A Real-Time Mechanical Information Acquisition System and Finite Element Prediction Method for Limb Lengthening: A Pilot In Vivo Study
by Hao Yang, Tairan Peng, Yuyang Han, Ming Lu, Yunzhi Chen and Zheng Yang
Sensors 2026, 26(6), 1950; https://doi.org/10.3390/s26061950 - 20 Mar 2026
Viewed by 159
Abstract
In the field of orthopedic surgery, particularly distraction osteogenesis (DO), the mechanical environment plays a decisive role in the quality of bone regeneration and the safety of the soft tissue envelope. The continuous monitoring and accurate prediction of distraction resisting forces (DRF) are [...] Read more.
In the field of orthopedic surgery, particularly distraction osteogenesis (DO), the mechanical environment plays a decisive role in the quality of bone regeneration and the safety of the soft tissue envelope. The continuous monitoring and accurate prediction of distraction resisting forces (DRF) are critical for preventing soft tissue complications such as nerve ischemia, joint contractures, and mechanical failure of the lengthening device. However, current clinical practice relies heavily on subjective assessment or passive monitoring tools that lack predictive capabilities. To address this gap, this study proposes a comprehensive solution combining a custom mechanical acquisition system with a high-fidelity finite element (FE) prediction method. The system design features a novel “double-ring” sensor interface specifically engineered to decouple axial distraction forces from parasitic bending moments generated by asymmetric muscle tension. Furthermore, a patient-specific FE model utilizing the Ogden hyperelastic constitutive law was derived, explicitly based on the patient’s muscle volume from preoperative CT imaging, to predict the non-linear force evolution. The feasibility and accuracy of the system were validated in a pilot in vivo study using a single ovine model (N=1). To isolate the soft tissue resistance from callus formation, distraction was performed immediately postoperatively up to a total length of 4 cm. Experimental results demonstrated the system’s high linearity (R2>0.999) and its ability to capture the characteristic viscoelastic relaxation of living tissues. The FE model successfully predicted the peak distraction forces, showing improved agreement with experimental data at larger distraction magnitudes. By integrating mechanical sensing with predictive modeling, this framework lays the foundation for future closed-loop, patient-specific control in distraction osteogenesis. Full article
(This article belongs to the Special Issue Recent Advances in Medical Robots: Design and Applications)
Show Figures

Figure 1

24 pages, 5476 KB  
Article
Axial–Flexural Performance of Steel Fiber-Reinforced Concrete Columns: Effects of Axial Load Ratio and Steel Fiber Volume Fraction
by Sang-Woo Kim, In-Ho Park, Seungwook Seok, Wonchang Choi and Jinsup Kim
Materials 2026, 19(5), 1014; https://doi.org/10.3390/ma19051014 - 6 Mar 2026
Viewed by 268
Abstract
This study investigates the axial–flexural behavior of steel fiber–reinforced concrete (SFRC) columns under combined constant axial load and monotonic lateral loading. Nine column specimens with different axial load ratios (0.0, 0.10, and 0.20) and steel fiber contents (0.0%, 0.5%, and 1.0%) were tested [...] Read more.
This study investigates the axial–flexural behavior of steel fiber–reinforced concrete (SFRC) columns under combined constant axial load and monotonic lateral loading. Nine column specimens with different axial load ratios (0.0, 0.10, and 0.20) and steel fiber contents (0.0%, 0.5%, and 1.0%) were tested under monotonic loading to evaluate their failure modes, load–deflection behavior, ductility, and energy absorption capacity. In addition, a sectional P–M interaction analysis was performed to examine the influence of steel fiber inclusion on flexural strength under different axial compression levels. The interaction diagrams indicated that steel fibers expanded the flexural strength envelope, with a more pronounced enhancement in the low-axial-load region. The test results revealed that increasing the axial load ratio enhanced the specimens’ peak load capacity but reduced their ductility, leading to a brittle failure mode. Conversely, the incorporation of steel fiber improved the crack distribution, delayed crack propagation, and enhanced both ductility and energy absorption, particularly under moderate axial load conditions. The failure modes were characterized generally by flexural cracking and localized crushing in the compression zone, with the specimens that contained steel fiber exhibiting a more gradual post-peak load response than the specimens without steel fiber. The energy absorption capacity, quantified as the area under the load–deflection curve, was maximized when the axial load ratio of 0.10 was used in tandem with steel fiber reinforcement, indicating an optimal balance between strength and ductility. Overall, steel fiber inclusion improved deformation capacity and energy absorption under monotonic loading, particularly at low-to-moderate axial load ratios. Full article
Show Figures

Figure 1

35 pages, 10077 KB  
Article
Physically Interpretable and AI-Powered Applied-Field Thrust Modelling for Magnetoplasmadynamic Space Thrusters Using Symbolic Regression: Towards More Explainable Predictions
by Miguel Rosa-Morales, Matthew Ravichandran, Wenjuan Song and Mohammad Yazdani-Asrami
Aerospace 2026, 13(3), 245; https://doi.org/10.3390/aerospace13030245 - 5 Mar 2026
Viewed by 300
Abstract
Magnetoplasmadynamic thrusters (MPDTs) are becoming increasingly viable as electric propulsion (EP) technology for space missions, yet their complex plasma behaviour, intricate thrust-generation process, and nonlinear multi-physics thrust–field interactions prove difficult for conventional modelling approaches, including empirical techniques. Traditional empirical modelling shortcomings include failure [...] Read more.
Magnetoplasmadynamic thrusters (MPDTs) are becoming increasingly viable as electric propulsion (EP) technology for space missions, yet their complex plasma behaviour, intricate thrust-generation process, and nonlinear multi-physics thrust–field interactions prove difficult for conventional modelling approaches, including empirical techniques. Traditional empirical modelling shortcomings include failure to predict accurately across wide operational regimes. This paper introduces a physically interpretable, artificial intelligence (AI)-powered thrust model for Applied-Field Magnetoplasmadynamic Thrusters (AF-MPDTs), developed using symbolic regression (SR) to address the gap between data-driven prediction and physics-based understanding. The proposed method, an alternative to traditional black box AI methods, incorporates physics-aware composite-term operators, ensuring that the resulting analytical expressions are bounded by known physical behaviours while retaining the flexibility to discover previously overlooked nonlinear couplings. A comprehensive dataset of AF-MPDTs undergoes rigorous preprocessing to ensure dimensional consistency and noise robustness. The SR model then evolves candidate equations, balancing predictive accuracy with interpretability through Tree-Structured Parzen Estimator (TPE) optimisation. The results, closed-form surrogate correlations with 95.98% of accuracy as goodness of fit, root mean square error of 0.0199, mean absolute error of 0.0143, and mean absolute percentage error reduction of 28.91% against the benchmark model in the literature. A post-discovery protocol for numerical robustness and physical consistency is implemented, with Shapley Additive Explanations (SHAP) providing insight into the influence of each composite-term in the developed correlation, followed by a numerical robustness and physical consistency validation using a Monte Carlo (MC) envelope. A StabilityScore is calculated for all developed correlations, enabling explicit accuracy–complexity–stability comparisons. In doing so, we demonstrated that SR can systematically recover known physical relationships—such as the scaling of thrust with discharge current and applied magnetic field—while proposing interpretable higher-order corrections that improve fit quality. The resulting SR-based thrust models not only achieve competitive accuracy relative to state-of-the-art numerical and empirical methods but also offer more explainable and interpretable results capable of revealing compact formulations that capture essential acceleration mechanisms with transparency. Overall, this paper, using SR, advances explainable AI (XAI) methodologies capable of generating trustworthy, analytically transparent models for next-generation electric propulsion systems. Full article
(This article belongs to the Special Issue Artificial Intelligence in Aerospace Propulsion)
Show Figures

Figure 1

22 pages, 5554 KB  
Article
Image Inpainting-Based Point Cloud Restoration for Enhancing Tactical Classification of Unmanned Surface Vehicles
by Hyunjun Jeon, Eon-ho Lee, Jane Shin and Sejin Lee
Sensors 2026, 26(5), 1637; https://doi.org/10.3390/s26051637 - 5 Mar 2026
Viewed by 205
Abstract
The operational effectiveness of Unmanned Surface Vehicles (USVs) in modern naval scenarios depends on robust situational awareness. While LiDAR sensors are integral to 3D perception, their performance is frequently affected by incomplete data resulting from long-range sparsity and target occlusion. This study investigates [...] Read more.
The operational effectiveness of Unmanned Surface Vehicles (USVs) in modern naval scenarios depends on robust situational awareness. While LiDAR sensors are integral to 3D perception, their performance is frequently affected by incomplete data resulting from long-range sparsity and target occlusion. This study investigates a framework to restore incomplete point clouds to support improved surface vessel classification. The framework first estimates the target’s heading angle using a 2D area projection technique, combined with a descriptor to address orientation ambiguity. Subsequently, the 3D point cloud is converted into a 2D multi-channel image representation to leverage a deep learning-based image inpainting algorithm for data restoration. Finally, a high-density keypoint extraction method is applied to the completed point cloud to generate features for classification. This image-based approach is designed to prioritize computational efficiency and inference speed, facilitating deployment on resource-constrained maritime platforms. Experiments conducted on a simulator dataset reveal that the classification of restored point clouds yields higher accuracy compared to using the original, incomplete LiDAR data, particularly at extended distances (>70 m) and challenging aspect angles (0° and 180°). The results suggest the framework’s potential to address perception failures in sparse data scenarios, thereby supporting the operational envelope of USVs in contested environments. Full article
(This article belongs to the Section Sensors and Robotics)
Show Figures

Figure 1

23 pages, 4568 KB  
Article
Risk Assessment of Dynamic Positioning Operations: Modelling the Contribution of Human Factors
by Mykyta Chervinskyi, Francis Obeng, Sidum Adumene and Robert Brown
J. Mar. Sci. Eng. 2026, 14(5), 462; https://doi.org/10.3390/jmse14050462 - 28 Feb 2026
Viewed by 266
Abstract
Dynamic positioning (DP) systems are essential to maritime operations, as they ensure precise station keeping. Yet human error remains a major contributor to DP incidents, often interacting with technical failures and environmental conditions. This study proposes an adaptive probabilistic framework to characterise human-error [...] Read more.
Dynamic positioning (DP) systems are essential to maritime operations, as they ensure precise station keeping. Yet human error remains a major contributor to DP incidents, often interacting with technical failures and environmental conditions. This study proposes an adaptive probabilistic framework to characterise human-error contributions to DP risk and support targeted mitigation. We compare integrated Bayesian network (BN)/fuzzy analytic hierarchy process (AHP) and Bayesian network (BN)/Dempster–Shafer (D-S) theory to model causal relationships, aggregate uncertain expert judgements, and prioritise risk factors. Historical incident narratives, accident reports, and expert elicitation inform the model to analyse failure propagation and quantify factor contributions. In a representative DP case application, insufficient training, operator fatigue, and reduced situational awareness—together with software anomalies and adverse environmental loads—emerge as dominant contributors; BN backward analysis corroborates their diagnostic relevance. The approach yields actionable insights for risk reduction, including tailored training programmes, strengthened safety protocols, and integration of real-time monitoring. It provides an auditable, updateable basis for scenario-based training, software/maintenance assurance, and environment-aware operating envelopes, and is readily extendable as new evidence becomes available. Overall, the framework offers practical value for improving safety, operational continuity, and system resilience in DP operations. Full article
(This article belongs to the Special Issue Maritime Transportation Safety and Risk Management)
Show Figures

Figure 1

18 pages, 12068 KB  
Article
Research on the Bearing Performance of Suction Pile–Gravity Hybrid Foundation in Sand Under Multi-Directional Loading
by Yangming Chen, Maolin Li, Zhechen Hou, Fengwei Yang and Dengfeng Fu
J. Mar. Sci. Eng. 2026, 14(5), 457; https://doi.org/10.3390/jmse14050457 - 27 Feb 2026
Viewed by 228
Abstract
The suction pile–gravity hybrid foundation (SPGH) has emerged as a novel foundation for floating wind turbines (FWTs) due to its superior bearing mechanism. In harsh marine environments, offshore wind turbine structures endure multidirectional wave–wind current loads, which are transmitted through mooring systems as [...] Read more.
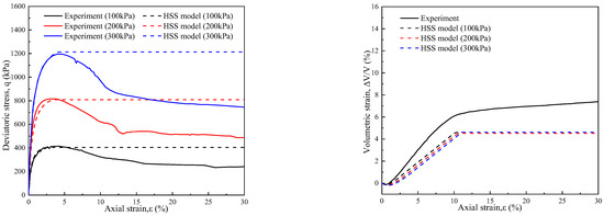
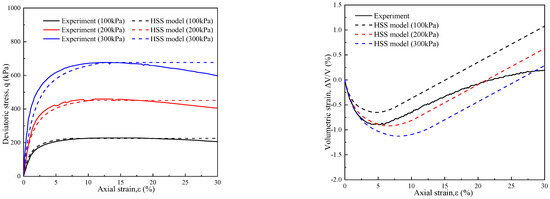
The suction pile–gravity hybrid foundation (SPGH) has emerged as a novel foundation for floating wind turbines (FWTs) due to its superior bearing mechanism. In harsh marine environments, offshore wind turbine structures endure multidirectional wave–wind current loads, which are transmitted through mooring systems as complex multidirectional coupled loads (horizontal, vertical, bending moments, and torque), imposing severe challenges to the bearing capacity. Therefore, this study carries out 3D finite element simulations, utilizing the Hardening Soil–Small Strain constitutive model to simulate the stress–strain behavior of sand, to systematically investigate the failure modes and bearing capacity of SPGH foundations. The method underlying the failure envelope theory is proposed, applicable to tension-leg mooring systems (dominated by uplift and lateral loads) and catenary mooring systems (dominated by compression and lateral loads). Results indicate that under pure vertical uplift or torque loading, both SPGH and traditional SP foundations exhibit typical interfacial shear failure modes. Under pure horizontal or bending moment loading, SPGH and SP foundations exhibit rotational instability failure. The direction of vertical load has a significant impact on the bearing performance of SPGH foundations. In addition, horizontal load can increase its vertical uplift-bearing capacity by 46% and torque capacity by 48%. The enhancement effect of the bending moment load is more significant, and can increase the vertical uplift-bearing capacity by 115% and the torque-bearing capacity by 112%, respectively, while vertical downward loads within a certain range significantly improve horizontal and bending-bearing performance. Full article
Show Figures

Figure 1

19 pages, 3148 KB  
Article
Study on the Influence of Lateral Stress on Shear Strength of Hard Rock Using the True Triaxial Multistage Direct Shear Test
by Gang Wang, Yaohui Gao, Ning Liu, Qiang Han and Jiarong Wang
Appl. Sci. 2026, 16(5), 2288; https://doi.org/10.3390/app16052288 - 27 Feb 2026
Viewed by 290
Abstract
The shear strength of rock discontinuities is critical for the stability of deep underground projects. However, its accurate determination is hindered by the discreteness of natural joints and the limitations of conventional direct shear tests, which operate under simplified two-dimensional stress conditions, unlike [...] Read more.
The shear strength of rock discontinuities is critical for the stability of deep underground projects. However, its accurate determination is hindered by the discreteness of natural joints and the limitations of conventional direct shear tests, which operate under simplified two-dimensional stress conditions, unlike the true triaxial (σ1 > σ2 > σ3) in situ state. This study introduces and validates a multistage true triaxial direct shear testing method as a practical solution. Through controlled pre-peak unloading, complete failure envelopes were successfully obtained from single specimens of jointed granite and intact marble with minimal strength degradation. The results demonstrate that lateral stress significantly enhances the peak shear strength, characterized by a marked increase in cohesion coupled with a slight decrease in the internal friction angle. For intact marble, increasing the lateral stress from 0 to 20 MPa raised the cohesion by approximately 67% (from 34.9 to 58.4 MPa), while the friction angle decreased from 49.3° to 42.8°. For jointed granite, cohesion showed a more variable but consistently strengthening trend with confinement, accompanied by a minor adjustment in the friction angle. Acoustic emission monitoring confirms that pre-peak unloading confines damage accumulation to microcrack reactivation. From a fracture mechanics perspective, the strength enhancement is attributed to the suppression of tensile crack propagation and the promotion of shear localization under three-dimensional confinement. Collectively, this work establishes a novel experimental framework and elucidates the mechanism by which lateral stress governs the shear behavior of hard rock, offering direct implications for the design and stability assessment of deep excavations and related geo-engineering projects. Full article
(This article belongs to the Special Issue Reservoir Stimulation in Deep Geothermal Reservoir)
Show Figures

Figure 1

47 pages, 2418 KB  
Review
Beyond Next-Token Prediction: A Standards-Aligned Survey of Autoregressive LLM Failure Modes, Deployment Patterns, and the Potential Role of World Models
by Lorenzo Ricciardi Celsi and James McCann
Electronics 2026, 15(5), 966; https://doi.org/10.3390/electronics15050966 - 26 Feb 2026
Viewed by 567
Abstract
This paper is a focused, standards-aligned survey of where autoregressive (AR) large language models (LLMs) tend to break down when deployed inside industrial informatics workflows that must satisfy long-horizon objectives, hard constraints, traceability, and functional-safety obligations (e.g., IEC 61508/ISO 26262/ISO 21448). Rather than [...] Read more.
This paper is a focused, standards-aligned survey of where autoregressive (AR) large language models (LLMs) tend to break down when deployed inside industrial informatics workflows that must satisfy long-horizon objectives, hard constraints, traceability, and functional-safety obligations (e.g., IEC 61508/ISO 26262/ISO 21448). Rather than claiming new algorithms or experiments, we synthesize and organize prior work into (i) a control-oriented taxonomy of four AR failure modes that recur in practice (compounding error, myopic objectives, data brittleness/hallucinations, and scaling/latency inefficiencies), (ii) a catalog of standards-compatible deployment patterns that mitigate these issues (human-gated LLM-in-the-loop, retrieval + verification pipelines, planner-of-record architectures, and runtime assurance envelopes), and (iii) an operational decision framework (criteria table with observable proxies, a stepwise decision procedure, and worked examples) for deciding when token-centric mitigations are sufficient versus when state/world-model components become warranted. Joint Embedding Predictive Architectures (JEPA) and Hierarchical JEPA (H-JEPA) JEPA are proposed as representative state-predictive architectures, with discussion explicitly bounded by currently available empirical evidence; we explicitly note that the published evidence base is currently concentrated on vision/multimodal benchmarks and that industrial control validation remains limited. To make evidence boundaries transparent, we introduce (a) a survey method (scope, inclusion/exclusion criteria, and data-extraction fields), (b) a comparison matrix across representative prior systems, and (c) an evidence map that links each deployment pattern to peer-reviewed empirical findings and system reports. Full article
Show Figures

Figure 1

27 pages, 5869 KB  
Article
Texture Phenotypes of Fiber-Enriched Extruded Snacks Revealed by Mechanical–Acoustic Analysis, Tribology, and Sensory Mapping
by Aunchalee Aussanasuwannakul and Hataichanok Kantrong
Foods 2026, 15(4), 758; https://doi.org/10.3390/foods15040758 - 19 Feb 2026
Viewed by 509
Abstract
Texture perception in extruded snacks is commonly evaluated using force-based measurements, although crispness-related oral sensations arise from fracture, sound emission, and lubrication during mastication. This study developed a mechanistically grounded framework for texture characterization of fiber-enriched extruded snacks by integrating instrumental and sensory [...] Read more.
Texture perception in extruded snacks is commonly evaluated using force-based measurements, although crispness-related oral sensations arise from fracture, sound emission, and lubrication during mastication. This study developed a mechanistically grounded framework for texture characterization of fiber-enriched extruded snacks by integrating instrumental and sensory analyses within an oral-processing context. Extruded snack samples containing soybean residue (okara; 0%, 29%, and 40%) and commercial benchmarks were evaluated using synchronized mechanical–acoustic testing (five-blade Allo-Kramer shear and three-point bending tests), oral tribology, and sensory evaluation combining intensity rating and ranking. Increasing okara content shifted fracture behavior from brittle, sound-emitting failure toward damped, progressive deformation with approximately 3–5-fold lower acoustic envelope amplitudes and smoother force–time profiles. These changes corresponded to lower perceived Crunchiness and Sound Intensity, reflecting diminished crispness-related perception, and higher Hardness and Grittiness/Coarseness attributes (increases of ~25–45%). Oral tribology revealed cohesive, poorly lubricated boli for okara-rich snacks, requiring higher entrainment parameters (0 ≈ 1.0 × 105–3.5 × 105) to transition from boundary to mixed lubrication compared with commercial benchmarks (0 ≈ 7.0 × 104–2.0 × 105). Convergent multivariate analyses established instrumentally defined texture phenotypes that translate mechanical–acoustic and tribological signatures into sensory-interpretable texture categories, providing a practical framework for discriminating and optimizing nutritionally enhanced extruded snack products. Full article
Show Figures

Graphical abstract

19 pages, 6791 KB  
Article
Biaxial Constitutive Relation and Strength Criterion of Envelope Materials for Stratospheric Airships
by Zhanbo Li, Yanchu Yang, Rong Cai and Tao Li
Aerospace 2026, 13(2), 147; https://doi.org/10.3390/aerospace13020147 - 3 Feb 2026
Viewed by 315
Abstract
The performance upgrading of stratospheric airships hinges on breakthroughs in the mechanical properties of envelope materials. As a multi-layer composite, the envelope’s load-bearing layer exhibits orthotropic and nonlinear mechanical behaviors owing to its unique structure and manufacturing process. To overcome the limitations of [...] Read more.
The performance upgrading of stratospheric airships hinges on breakthroughs in the mechanical properties of envelope materials. As a multi-layer composite, the envelope’s load-bearing layer exhibits orthotropic and nonlinear mechanical behaviors owing to its unique structure and manufacturing process. To overcome the limitations of traditional testing methods and classical strength criteria in characterizing envelope materials, this paper presents a systematic investigation of typical airship envelope materials. The classical cruciform biaxial specimen was modified with a double-layer heat-sealed loading arm design to ensure preferential failure of the core region. Combined with digital image correlation (DIC) equipment, tensile tests were conducted under seven warp–weft stress ratios to acquire full-range stress–strain data. A three-dimensional stress–strain response surface was fitted based on the experimental results, and biaxial tensile constitutive models with varying precisions were established. Furthermore, a five-parameter implicit quadratic strength criterion was adopted to characterize the failure envelope of the envelope material. The model was calibrated using five biaxial failure points and independently validated against uniaxial tensile strengths, achieving a prediction error of less than 4%. The criterion’s generalization capability was enhanced through systematic parameterization based on the present test data. This work provides experimental evidence and reliable support for the engineering design and strength prediction of envelope materials. Full article
Show Figures

Figure 1

9 pages, 1634 KB  
Proceeding Paper
Integrated Strategies for Structural, Thermal, and Fire Failure Mitigation in Lightweight TRC/CLCi Composite Facade Panels
by Pamela Voigt, Mario Stelzmann, Robert Böhm, Lukas Steffen, Hannes Franz Maria Peller, Matthias Tietze, Miguel Prieto, Jan Suchorzewski, Dionysios Kolaitis, Andrianos Koklas, Vasiliki Tsotoulidi, Maria Myrto Dardavila and Costas Charitidis
Eng. Proc. 2025, 119(1), 56; https://doi.org/10.3390/engproc2025119056 - 29 Jan 2026
Viewed by 240
Abstract
The thermally efficient and lightweight TRC/CLCi composite panels for functional and smart building envelopes, funded by the iclimabuilt project (Grant Agreement no. 952886), offer innovative solutions to sustainably address common failure risks in facade systems. This work specifically emphasizes strategies for mitigating structural, [...] Read more.
The thermally efficient and lightweight TRC/CLCi composite panels for functional and smart building envelopes, funded by the iclimabuilt project (Grant Agreement no. 952886), offer innovative solutions to sustainably address common failure risks in facade systems. This work specifically emphasizes strategies for mitigating structural, thermal, and fire-related failures through targeted material selection, advanced design methodologies, and rigorous validation protocols. To effectively mitigate structural failures, high-pressure concrete (HPC) reinforced with carbon fibers is utilized, significantly enhancing tensile strength, reducing susceptibility to cracking, and improving overall durability. To counteract thermal bridging—a critical failure mode compromising energy efficiency and structural integrity—the panels employ specially designed glass-fiber reinforced pins connecting HPC outer layers through the cellular lightweight concrete (CLC) insulation core that has a density of around 70 kg/m3 and a thermal conductivity in the range 35 mW/m∙K comparable to those of expanded polystyrene and Rockwool. These connectors ensure effective load transfer and maintain optimal thermal performance. A central focus of the failure mitigation strategy is robust fire behavior. The developed panels undergo rigorous standardized fire tests, achieving an exceptional reaction to fire classification of A2. This outcome confirms that HPC layers maintain structural stability and integrity even under prolonged fire exposure, effectively preventing catastrophic failures and ensuring occupant safety. In conclusion, this work highlights explicit failure mitigation strategies—reinforced concrete materials for structural stability, specialized glass-fiber connectors to prevent thermal bridging, rigorous fire behavior protocols, and comprehensive thermal performance validation—to produce a facade system that is robust, energy-efficient, fire-safe, and sustainable for modern buildings. Full article
(This article belongs to the Proceedings of The 8th International Conference of Engineering Against Failure)
Show Figures

Figure 1

18 pages, 4469 KB  
Article
Research on the Mechanical Properties and Failure Criteria of Large-Sized Concrete Slabs Under Multi-Axis Stress
by Junjie Wu, Jinyong Fan, Guoying Li, Zhankuan Mi and Zuguo Mo
Buildings 2026, 16(3), 576; https://doi.org/10.3390/buildings16030576 - 29 Jan 2026
Viewed by 210
Abstract
As a key structural component of rockfill dams, the load-bearing capacity of large-sized concrete slabs under complex multi-axial stresses is directly related to the long-term safe operation of the dams. This study conducted uniaxial and biaxial lateral compression strength tests on C25 concrete [...] Read more.
As a key structural component of rockfill dams, the load-bearing capacity of large-sized concrete slabs under complex multi-axial stresses is directly related to the long-term safe operation of the dams. This study conducted uniaxial and biaxial lateral compression strength tests on C25 concrete slabs with dimensions of 1500 × 1500 × 150 mm using a large-scale bi-directional loading reaction frame test system, systematically revealing the mechanical properties and failure criteria of large-sized concrete slabs. The results indicate that the biaxial compressive strength of the concrete slabs is significantly greater than the uniaxial compressive strength. The stress–strain curves of the concrete slabs and standard specimens exhibit good consistency before failure. Based on uniaxial compressive strength data, the concrete size effect strength reduction formula proposed by Neville was modified, and a compressive strength prediction formula applicable to large-sized concrete members was established. Further integration with code-specified failure criteria led to the development of a biaxial failure envelope for large-sized concrete slabs, which was validated to agree well with measured data. The research findings can provide reliable experimental evidence and theoretical support for the strength reduction, load-bearing capacity assessment, and revisions of relevant design codes for large hydraulic components such as concrete face slabs in rockfill dams. Full article
Show Figures

Figure 1

24 pages, 4564 KB  
Article
Research on Bearing Fault Diagnosis Method of the FPSO Soft Yoke Mooring System Based on Minimum Entropy Deconvolution
by Yanlin Wang, Jiaxi Zhang, Shanshan Sun, Zheliang Fan, Dayong Zhang, Ziguang Jia, Peng Zhang and Yi Huang
J. Mar. Sci. Eng. 2026, 14(2), 235; https://doi.org/10.3390/jmse14020235 - 22 Jan 2026
Viewed by 249
Abstract
The Soft Yoke Mooring (SYM) system is a critical single-point mooring method for Floating Production Storage and Offloading systems (FPSOs) in shallow waters. Its articulated thrust roller bearing operates long-term in harsh marine environments, making it prone to failure and difficult to diagnose. [...] Read more.
The Soft Yoke Mooring (SYM) system is a critical single-point mooring method for Floating Production Storage and Offloading systems (FPSOs) in shallow waters. Its articulated thrust roller bearing operates long-term in harsh marine environments, making it prone to failure and difficult to diagnose. To address the issues of non-stationary signals and fault features submerged in strong noise caused by the bearing’s non-rotational oscillatory motion, this paper proposes an adaptive improved diagnosis scheme based on Minimum Entropy Deconvolution (MED). By optimizing Finite Impulse Response (FIR) filter parameters to adapt to the oscillatory operating conditions and combining joint analysis of time-domain indicators and envelope spectra, precise identification of bearing faults is achieved. Research shows that this method effectively enhances fault impact components. After MED processing, the kurtosis value of the fault signal can be significantly increased from approximately 2.6 to over 8.6. Its effectiveness in noisy environments was verified through simulation. Experiments conducted on a 1:10 scale soft yoke model demonstrated that the MED denoising and filtering signal analysis method can effectively identify damage in the thrust roller bearing of the SYM system under marine conditions characterized by high noise and complex frequencies. This study provides an efficient and reliable method for fault diagnosis of non-rotational oscillatory bearings in complex marine environments, holding significant engineering application value. Full article
Show Figures

Figure 1

Back to TopTop