From Several Puck-like Inter-Fiber Failure Criteria to Longitudinal Compressive Failure: An Extension and Application for UD Composites
Abstract
1. Introduction
2. Mechanism of LC Failure in UD Composites

3. Extension of Methods of IFF Criteria to LC Failure of UD Composites
3.1. Coordinate System Conversion
- (i)
- As shown in Figure 2a,b, the stress transformation from coordinate system to is as follows:where is the angle between the kinking plane and the 2-axis.
- (ii)
- As shown in Figure 2b,c, the stress transformation from coordinate system to is as follows:where is the deflection angle in the kinking plane, is the initial deflection angle in the kinking plane, and is the shear strain in the kinking plane, and they can be expressed as follows:where is the longitudinal shear modulus of the composites and is the misalignment angle under pure LC. Davila et al. [21] gave the calculation formula for the initial fiber deflection angle through theoretical derivation. , , and are the LC strength, transverse compressive strength, and in-plane shear strength of the UD composites, respectively. is the longitudinal friction coefficient of the transverse failure surface. is the friction angle, and for generalized fiber-reinforced resin-matrix composites, .
- (iii)
- As shown in Figure 2c,d, after obtaining each stress component in the coordinate system , the stress component on the potential fracture surface of matrix cracking in the fiber kinking zone can be obtained. The stress component on the potential fracture surface is expressed in terms of the stress component in the coordinate system on the kinking surface of the fibers to obtain the expression for the stress component :where θ is the potential fracture angle for matrix failure on the fiber kinking surface.
3.2. Application of Different IFF Criteria to LC Failure of UD Composites
3.2.1. LC-Puck Failure Criteria
3.2.2. LC-Guo Failure Criteria
3.2.3. LC-Li Failure Criteria
4. Validation and Assessment of Different Criteria
4.1. Fundamental Mechanical Parameters of Various Composites
4.2. Validation and Assessment
5. Parameter Evaluations
5.1. The Influence of φ0 on the Failure Envelope Curve
5.2. Parametric Analysis of the (σ11 = σ33, σ22) Stress State
5.2.1. Effect of S12 on Failure Envelope Curves
5.2.2. Effect of YC on Failure Envelope Curves
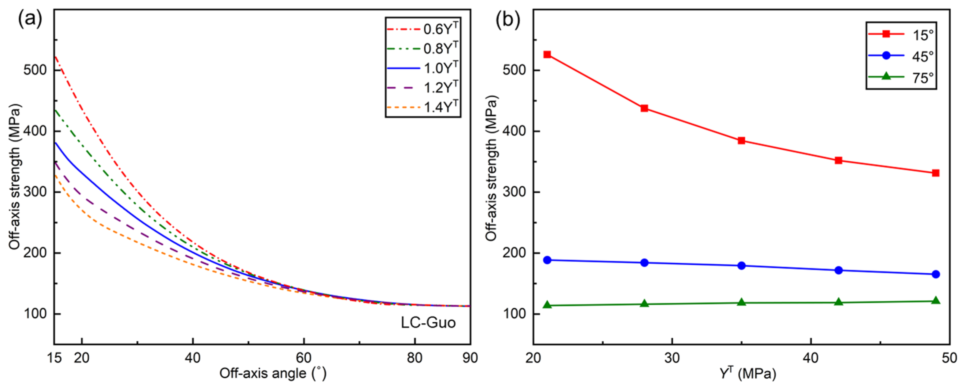
5.2.3. Effect of YT on Failure Envelope Curves
5.3. Parametric Analysis of the (σ11, τ12) Stress State
5.3.1. Effect of S12 on Failure Envelope Curves
5.3.2. Effect of YC on Failure Envelope Curves
5.3.3. Effect of YT on Failure Envelope Curves
5.4. Effect of Mechanical Parameters on Off-Axial Strength Prediction
5.4.1. Effect of S12 on Off-Axial Compression Strength
5.4.2. Effect of YC on Off-Axial Compression Strength
5.4.3. Effect of YT on Off-Axial Compression Strength
6. Conclusions
- (1)
- Compared to the LaRC02 criterion, the proposed three criteria are slightly higher in overall prediction accuracy, especially the LC-Guo failure criterion, meaning that the proposed three criteria are reasonable. However, since factors such as in situ effects and matrix nonlinear shear are not considered, the overall error is still larger, averaging around 15%, and it could be further reduced in line with the development patterns of the LaRC02~05 criteria in the future.
- (2)
- As increases or decreases, the intrinsic brittleness of UD composites increases, the failure envelope curves predicted by the three proposed criteria under different stress states tend to be conservative, and the predicted off-axial compression strength decreases in general. Additionally, the variation in does not cause a change in the intrinsic brittleness of the material, but it can improve the shear resistance of the material during the LC failure process, and its influence law on the mechanical properties of the material is basically similar to that of .
Author Contributions
Funding
Institutional Review Board Statement
Data Availability Statement
Conflicts of Interest
Appendix A. Errors of Different Failure Criteria Under Various Stress States






References
- Guo, J.; Zhou, G.; Wen, H.; Zhang, H.; Cui, H.; Wen, W.; Guo, C.; Zhang, Y. Meso-Geometric Modeling and Failure Behavior of 2.5D Three-Harness-Twill Warp-Reinforced Woven Composites. Appl. Compos. Mater. 2023, 31, 669–708. [Google Scholar] [CrossRef]
- Zhang, W.; Guo, J.; Wen, H.; Wen, W.; Guo, C.; Zhang, Y. A Coupled Elastoplastic-Damage Analytical Model for 3D Resin-Matrix Woven Composites. Appl. Compos. Mater. 2025, 32, 215–242. [Google Scholar] [CrossRef]
- Li, M.-X.; Mo, H.-L.; Lee, S.-K.; Ren, Y.; Zhang, W.; Choi, S.-W. Rapid Impregnating Resins for Fiber-Reinforced Composites Used in the Automobile Industry. Polymers 2023, 15, 4192. [Google Scholar] [CrossRef] [PubMed]
- Rajak, D.; Pagar, D.; Menezes, P.; Linul, E. Fiber-Reinforced Polymer Composites: Manufacturing, Properties, and Applications. Polymers 2019, 11, 1667. [Google Scholar] [CrossRef]
- Li, S. A Reflection on the Mohr Failure Criterion. Mech. Mater. 2020, 148, 103442. [Google Scholar] [CrossRef]
- Kwon, Y.W. Failure Prediction of Notched Composites Using Multiscale Approach. Polymers 2022, 14, 2481. [Google Scholar] [CrossRef]
- Li, S.; Sitnikova, E. A Critical Review on the Rationality of Popular Failure Criteria for Composites. Compos. Commun. 2018, 8, 7–13. [Google Scholar] [CrossRef]
- Merhar, M. Application of Failure Criteria on Plywood under Bending. Polymers 2021, 13, 4449. [Google Scholar] [CrossRef]
- Li, N.; Ju, C.; Yang, P.; Zhuang, F. Stress Invariant-Based Failure Criteria for Predicting Matrix Failure of Transversely Isotropic Composites: Theoretical Assessment and Rationalized Improvement. Thin-Walled Struct. 2022, 181, 110110. [Google Scholar] [CrossRef]
- Chen, X.; Sun, X.; Wang, B.; Gu, J.; Zou, P.; Chai, Y.; Yang, J. An Improved Longitudinal Failure Criterion for UD Composites Based on Kinking Model. Mech. Adv. Mater. Struct. 2020, 29, 905–915. [Google Scholar] [CrossRef]
- Jenkin, C. Report on Materials of Construction Used in Aircraft and Aircraft Engines; U.S. Government Printing Office (GPO): Washington, DC, USA, 2010.
- Stowell, E.Z.; Liu, T.S. On the Mechanical Behaviour of Fibre-Reinforced Crystalline Materials. J. Mech. Phys. Solids 1961, 9, 242–260. [Google Scholar] [CrossRef]
- Tsai, S.W.; Wu, E.M. A General Theory of Strength for Anisotropic Materials. J. Compos. Mater. 1971, 5, 58–80. [Google Scholar] [CrossRef]
- Li, S.; Sitnikova, E.; Liang, Y.; Kaddour, A.-S. The Tsai-Wu Failure Criterion Rationalised in the Context of UD Composites. Compos. Part Appl. Sci. Manuf. 2017, 102, 207–217. [Google Scholar] [CrossRef]
- Chen, X.; Sun, X.; Chen, P.; Wang, B.; Gu, J.; Wang, W.; Chai, Y.; Zhao, Y. Rationalized Improvement of Tsai–Wu Failure Criterion Considering Different Failure Modes of Composite Materials. Compos. Struct. 2021, 256, 113120. [Google Scholar] [CrossRef]
- Puck, A. Failure Analysis of FRP Laminates by Means of Physically Based Phenomenological Models. Compos. Sci. Technol. 1998, 58, 1045–1067. [Google Scholar] [CrossRef]
- Yen, C.-F. A Ballistic Material Model for Continuous-Fiber Reinforced Composites. Int. J. Impact Eng. 2012, 46, 11–22. [Google Scholar] [CrossRef]
- Li, N.; Li, Z.; Ju, C.; Yang, P.; Chen, P.; Zhao, J. Mechanical Response and Failure Mechanism of Composite Laminates Subjected to Low Velocity Impact on Free Edge. Compos. Struct. 2023, 306, 116617. [Google Scholar] [CrossRef]
- Ma, B.; Cao, X.; Feng, Y.; Song, Y.; Yang, F.; Li, Y.; Zhang, D.; Wang, Y.; He, Y. A Comparative Study on the Low Velocity Impact Behavior of UD, Woven, and Hybrid UD/Woven FRP Composite Laminates. Compos. Part B Eng. 2024, 271, 111133. [Google Scholar] [CrossRef]
- Zhou, Y.; Huang, Z.-M.; Liu, L. Prediction of Interfacial Debonding in Fiber-Reinforced Composite Laminates. Polym. Compos. 2018, 40, 1828–1841. [Google Scholar] [CrossRef]
- Davila, C.; Jaunky, N.; Goswami, S. Failure Criteria for FRP Laminates in Plane Stress. In Proceedings of the 44th AIAA/ASME/ASCE/AHS/ASC Structures, Structural Dynamics, and Materials Conference, Norfolk, VA, USA, 7 April 2003; American Institute of Aeronautics and Astronautics: Norfolk, VA, USA, 2003. [Google Scholar]
- Davila, C.G.; Camanho, P.P.; Rose, C.A. Failure Criteria for FRP Laminates. J. Compos. Mater. 2005, 39, 323–345. [Google Scholar] [CrossRef]
- Pinho, S.T.; Davila, C.G.; Camanho, P.P.; Iannucci, L.; Robinson, P. Failure Models and Criteria for FRP Under In-Plane or Three-Dimensional Stress States Including Shear Non-Linearity; Nasa Tech. Memo. 2005. Available online: https://ntrs.nasa.gov/api/citations/20050110223/downloads/20050110223.pdf (accessed on 5 June 2025).
- Pinho, S.T.; Darvizeh, R.; Robinson, P.; Schuecker, C.; Camanho, P.P. Material and Structural Response of Polymer-Matrix Fibre-Reinforced Composites. J. Compos. Mater. 2012, 46, 2313–2341. [Google Scholar] [CrossRef]
- Camanho, P.P.; Arteiro, A.; Melro, A.R.; Catalanotti, G.; Vogler, M. Three-Dimensional Invariant-Based Failure Criteria for Fibre-Reinforced Composites. Int. J. Solids Struct. 2015, 55, 92–107. [Google Scholar] [CrossRef]
- Schultheisz, C.R.; Waas, A.M. Compressive Failure of Composites, Part I: Testing and Micromechanical Theories. Prog. Aerosp. Sci. 1996, 32, 1–42. [Google Scholar] [CrossRef]
- Zhuang, F.; Arteiro, A.; Tavares, R.P.; Camanho, P.P.; Chen, P. Modelling Damage in Half-Hole Pin Bearing Cross-Ply and Angle-Ply Composite Laminates. Compos. Struct. 2022, 300, 116103. [Google Scholar] [CrossRef]
- Hashin, Z. Failure Criteria for Unidirectional Fiber Composites. J. Appl. Mech. 1980, 47, 329–334. [Google Scholar] [CrossRef]
- Gu, J.; Chen, P.; Su, L.; Li, K. A Theoretical and Experimental Assessment of 3D Macroscopic Failure Criteria for Predicting Pure Inter-Fiber Fracture of Transversely Isotropic UD Composites. Compos. Struct. 2021, 259, 113466. [Google Scholar] [CrossRef]
- Guo, J.; Zhang, Y.; Zhou, G.; Wen, H.; Wen, W.; Zhang, H.; Cui, H.; Zhang, Y. A Transverse Failure Criterion for Unidirectional Composites Based on the Puck Failure Surface Theory. Compos. Sci. Technol. 2023, 242, 110192. [Google Scholar] [CrossRef]
- Li, N.; Gu, J.F.; Chen, P.H. Fracture Plane Based Failure Criteria for Fibre-Reinforced Composites under Three-Dimensional Stress State. Compos. Struct. 2018, 204, 466–474. [Google Scholar] [CrossRef]
- Gutkin, R.; Pinho, S.T.; Robinson, P.; Curtis, P.T. On the Transition from Shear-Driven Fibre Compressive Failure to Fibre Kinking in Notched CFRP Laminates under Longitudinal Compression. Compos. Sci. Technol. 2010, 70, 1223–1231. [Google Scholar] [CrossRef]
- Knops, M. Analysis of Failure in Fiber Polymer Laminates: The Theory of Alfred Puck; Springer: Berlin/Heidelberg, Germany, 2008. [Google Scholar] [CrossRef]
- AS, A. Treatise of Materials Science and Technology; Academic Press: New York, NY, USA, 1972; Volume 1. [Google Scholar]
- Sun, Q.; Guo, H.; Zhou, G.; Meng, Z.; Chen, Z.; Kang, H.; Keten, S.; Su, X. Experimental and Computational Analysis of Failure Mechanisms in Unidirectional Carbon Fiber Reinforced Polymer Laminates under Longitudinal Compression Loading. Compos. Struct. 2018, 203, 335–348. [Google Scholar] [CrossRef]
- Pinho, S.T.; Iannucci, L.; Robinson, P. Physically Based Failure Models and Criteria for Laminated Fibre-Reinforced Composites with Emphasis on Fibre Kinking. Part II: FE Implementation. Compos. Part Appl. Sci. Manuf. 2006, 37, 766–777. [Google Scholar] [CrossRef]
- Yerramalli, C.S.; Waas, A.M. A Failure Criterion for Fiber Reinforced Polymer Composites under Combined Compression–Torsion Loading. Int. J. Solids Struct. 2003, 40, 1139–1164. [Google Scholar] [CrossRef]
- Soden, P. Lamina Properties, Lay-up Configurations and Loading Conditions for a Range of Fibre-Reinforced Composite Laminates. Compos. Sci. Technol. 1998, 58, 1011–1022. [Google Scholar] [CrossRef]
- Michaeli, W.; Mannigel, M.; Preller, F. On the Effect of Shear Stresses on the Fibre Failure Behaviour in CFRP. Compos. Sci. Technol. 2009, 69, 1354–1357. [Google Scholar] [CrossRef]
- Kaddour, A.S.; Hinton, M.J. Input Data for Test Cases Used in Benchmarking Triaxial Failure Theories of Composites. J. Compos. Mater. 2012, 46, 2295–2312. [Google Scholar] [CrossRef]
- Zhou, H.W.; Yi, H.Y.; Gui, L.L.; Dai, G.M.; Peng, R.D.; Wang, H.W.; Mishnaevsky, L. Compressive Damage Mechanism of GFRP Composites under Off-Axis Loading: Experimental and Numerical Investigations. Compos. Part B Eng. 2013, 55, 119–127. [Google Scholar] [CrossRef]
- Hinton, M.J.; Kaddour, A.S.; Soden, P.D. The World-Wide Failure Exercise: Its Origin, Concept and Content. In Failure Criteria in Fibre-Reinforced-Polymer Composites; Elsevier: Amsterdam, The Netherlands, 2004. [Google Scholar]
- Christensen, R.M. The Theory of Materials Failure; Oxford University Press: Oxford, UK, 2013. [Google Scholar]












| Material | YT (MPa) | YC (MPa) | S21 (MPa) | XC (MPa) | G12 (MPa) |
|---|---|---|---|---|---|
| E-glass/411-C50 [1] | 83.73 | 234.44 | 55 | 630 | 3650 |
| T300/BSL914C [2] | 27 | 200 | 80 | 900 | 5500 |
| T300/LY556 [5] | 50.02 | 140.06 | 80 | 905 | 2656 |
| E-glass/MY750 [7] | 40 | 145 | 73 | 800 | 5830 |
| IM7/8552 [9] | 73 | 185 | 90 | 1590 | 5600 |
| Glass/Epoxy [10] | 40.7 | 122.7 | 30.5 | 650 | 3400 |
| E-glass/LY556 [11] | 35 | 114 | 72 | 570 | 5830 |
| Material | Stress State | LaRC02 | LC-Puck | LC-Guo | LC-Li |
|---|---|---|---|---|---|
| E-glass/411-C50 | 15.31% | 18.55% | 13.20% | 18.52% | |
| T300/BSL914C | 22.77% | 18.27% | 14.44% | 17.95% | |
| T300/LY556 | 22.81% | 14.03% | 22.02% | 16.67% | |
| E-glass/MY750 | - | 6.70% | 14.92% | 9.23% | |
| IM7-8552 | Off-axis compression | 10.44% | 9.73% | 2.15% | 8.77% |
| Glass/Epoxy | Off-axis compression | 10.94% | 10.80% | 7.78% | 10.10% |
Disclaimer/Publisher’s Note: The statements, opinions and data contained in all publications are solely those of the individual author(s) and contributor(s) and not of MDPI and/or the editor(s). MDPI and/or the editor(s) disclaim responsibility for any injury to people or property resulting from any ideas, methods, instructions or products referred to in the content. |
© 2025 by the authors. Licensee MDPI, Basel, Switzerland. This article is an open access article distributed under the terms and conditions of the Creative Commons Attribution (CC BY) license (https://creativecommons.org/licenses/by/4.0/).
Share and Cite
Shen, J.; Liu, Z.; Guo, J. From Several Puck-like Inter-Fiber Failure Criteria to Longitudinal Compressive Failure: An Extension and Application for UD Composites. Polymers 2025, 17, 1613. https://doi.org/10.3390/polym17121613
Shen J, Liu Z, Guo J. From Several Puck-like Inter-Fiber Failure Criteria to Longitudinal Compressive Failure: An Extension and Application for UD Composites. Polymers. 2025; 17(12):1613. https://doi.org/10.3390/polym17121613
Chicago/Turabian StyleShen, Jiongyao, Zhongxu Liu, and Junhua Guo. 2025. "From Several Puck-like Inter-Fiber Failure Criteria to Longitudinal Compressive Failure: An Extension and Application for UD Composites" Polymers 17, no. 12: 1613. https://doi.org/10.3390/polym17121613
APA StyleShen, J., Liu, Z., & Guo, J. (2025). From Several Puck-like Inter-Fiber Failure Criteria to Longitudinal Compressive Failure: An Extension and Application for UD Composites. Polymers, 17(12), 1613. https://doi.org/10.3390/polym17121613
