An Examination of the Failure Envelope of Finned Suction Anchors Subjected to Combined Vertical–Horizontal Loadings in Clay Through Numerical Modeling
Abstract
1. Introduction
2. Methodology
2.1. Geometry and Parameters
2.2. Models and Conditions
2.3. Determination of the Bearing Capacity and VH Failure Envelope
2.4. Validation of Numerical Modeling
3. Results
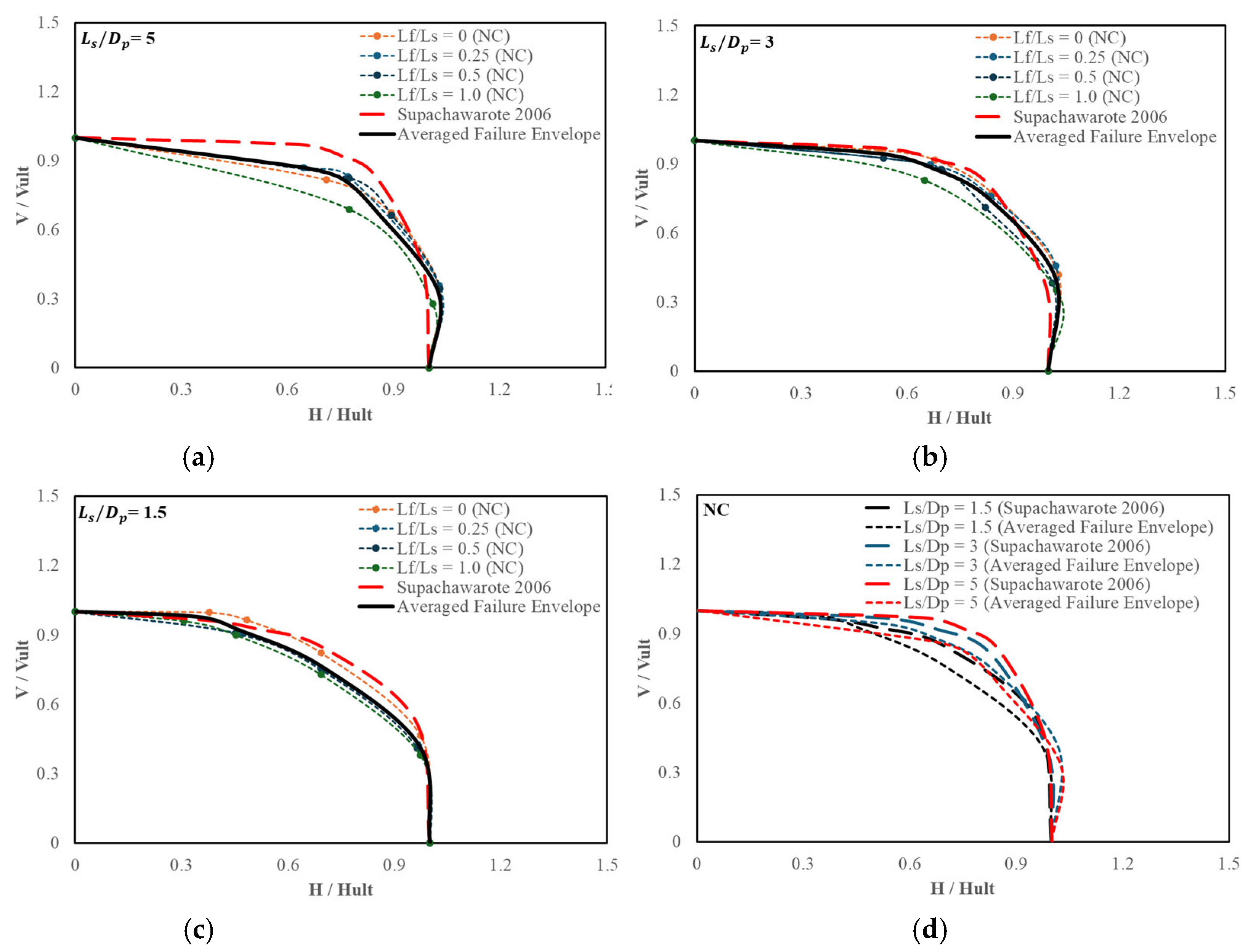
3.1. VH Failure Envelope
3.2. Normalized VH Failure Envelope
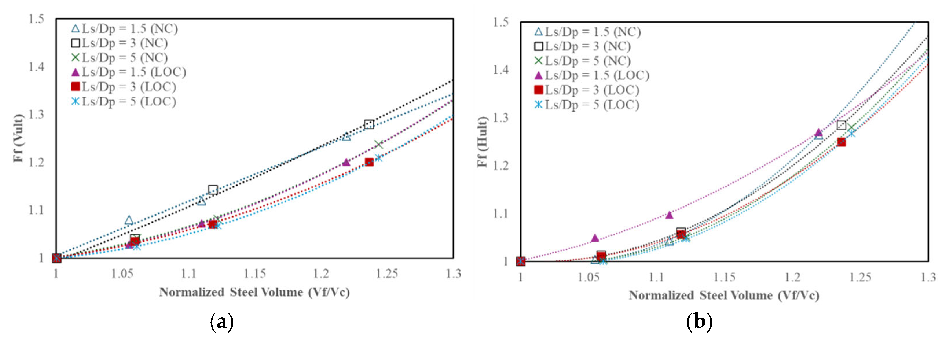
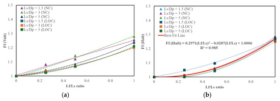
3.3. Fin Capacity in Vertical and Horizontal Loads
4. Discussion
5. Conclusions
Author Contributions
Funding
Data Availability Statement
Conflicts of Interest
Abbreviations
| DIA | Dynamically installed anchors |
| FPSO | Floating production, storage, and offloading |
| VH | Vertical–horizontal |
| NC | Normally consolidated soil |
| LOC | Lightly over-consolidated soil |
References
- Garcia, P.C.; Panayides, S. Effect of Fins on Combined Loaded Suction Caisson in Deepwater Clay Soils. A Numerical Analysis. In Proceedings of the Offshore Technology Conference, Houston, TX, USA, 16–19 August 2021; p. D011S012R006. [Google Scholar] [CrossRef]
- Randolph, M.F.; Gourvenec, S. Offshore Geotechnical Engineering; Spon Press: London, UK; New York, NY, USA, 2011. [Google Scholar]
- Silva-González, F.; Heredia-Zavoni, E.; Valle-Molina, C.; Sánchez-Moreno, J.; Gilbert, R.B. Reliability study of suction caissons for catenary and taut-leg mooring systems. Struct. Saf. 2013, 45, 59–70. [Google Scholar] [CrossRef]
- Fu, D.; Zhou, Z.; Yan, Y.; Pradhan, D.L.; Hennig, J. A method to predict the torsional resistance of suction caisson with anti-rotation fins in clay. Mar. Struct. 2021, 75, 102866. [Google Scholar] [CrossRef]
- Kim, S.; Choo, Y.W.; Kim, J.-H.; Kim, D.-S.; Kwon, O. Pullout resistance of group suction anchors in parallel array installed in silty sand subjected to horizontal loading—Centrifuge and numerical modeling. Ocean Eng. 2015, 107, 85–96. [Google Scholar] [CrossRef]
- Supachawarote, C. Inclined Load Capacity of Suction Caisson in Clay. Ph.D. Thesis, The University of Western Australia, Perth, Australia, 2006. [Google Scholar]
- Lee, J.; Do, J. Effects of the Installation Method, Loading Condition, and Failure Mechanism on the Behavior of Suction Piles under Monotonic Horizontal Loading. J. Mar. Sci. Eng. 2021, 9, 1333. [Google Scholar] [CrossRef]
- Tran, M.N. Installation of Suction Caissons in Dense Sand and the Influence of Silt and Cemented Layers. 2005. Available online: https://ses.library.usyd.edu.au/handle/2123/4064 (accessed on 5 February 2025).
- Chatzivasileiou, G.I. Installation of Suction Caissons in Layered Sand. 2014. Available online: https://repository.tudelft.nl/record/uuid:bf2f9c3c-dc96-4487-bb73-784d90f7ac33 (accessed on 24 January 2025).
- Senders, M.; Randolph, M.; Gaudin, C. Theory for the Installation of Suction Caissons in Sand Overlaid by Clay. In Proceedings of the Offshore Site Investigation and Geotechnics-Confronting New Challenges and Sharing Knowledge, London UK, 11–13 September 2007; pp. 429–438. [Google Scholar]
- Cotter, O.J.; Byrne, B.W.; Houlsby, G.T. Installation of suction caissons for offshore renewable energy structures. In Frontiers in Offshore Geotechnics II; CRC Press: Boca Raton, FL, USA, 2010; ISBN 978-0-429-21303-8. [Google Scholar]
- Lee, J.; Aubeny, C.P. Optimal load attachment of a deeply embedded ring anchor in clay. Int. J. Geo-Eng. 2024, 15, 24. [Google Scholar] [CrossRef]
- Choo, Y.W.; Kim, D.-J.; Youn, J.-U.; Hossain, M.S.; Seo, J.; Kim, J.-H. Behavior of a Monopod Bucket Foundation Subjected to Combined Moment and Horizontal Loads in Silty Sand. J. Geotech. Geoenviron. Eng. 2021, 147, 04021025. [Google Scholar] [CrossRef]
- Lee, M.J.; Gilo, A.; Park, S.J.; Choo, Y.W. Centrifuge model test on the bearing capacity of suction anchors subjected to monotonic and cyclic inclined pullout loads in clay. KSCE J. Civ. Eng. 2025, 29, 100113. [Google Scholar] [CrossRef]
- Basha, A.M.; Eldisouky, E.A. Effect of eccentric loads on the behavior of circular footing with/without skirts resting on sand soil. Int. J. Geo-Eng. 2023, 14, 13. [Google Scholar] [CrossRef]
- Raju, K.V.S.B.; Lakshmi, V. Pullout and oblique pullout resistance of enlarged base piles in geogrid reinforced sand. Int. J. Geo-Eng. 2025, 16, 12. [Google Scholar] [CrossRef]
- Sakr, M.; Nasr, A.; Khaffaf, M.; Basha, A. Behavior of under-reamed piles under inclined uplift loads in sand. Int. J. Geo-Eng. 2025, 16, 9. [Google Scholar] [CrossRef]
- Park, S.; Kim, G.-Y.; Chang, I. Experimental study on the effect of surface-projected conditions on the mechanical behavior of pile embedded in sand. Int. J. Geo-Eng. 2024, 15, 22. [Google Scholar] [CrossRef]
- Achmus, M.; Kuo, Y.-S.; Abdel-Rahman, K. Behavior of monopile foundations under cyclic lateral load. Comput. Geotech. 2009, 36, 725–735. [Google Scholar] [CrossRef]
- Deshmukh, R.R.; Sharma, V.K. Three dimensional computer simulation of cushiontaper finned pile foundation for offshore wind turbine. In Proceedings of the International Geotechnical Engineering Conference on Sustainability in Geotechnical Engineering Practices and Related Urban Issues, Mumbai, India, 23–24 September 2016. [Google Scholar]
- Dührkop, J.; Grabe, J. Laterally Loaded Piles with Bulge. J. Offshore Mech. Arct. Eng. 2008, 130, 041602. [Google Scholar] [CrossRef]
- Nasr, A.M.A. Experimental and theoretical studies of laterally loaded finned piles in sand. Can. Geotech. J. 2014, 51, 381–393. [Google Scholar] [CrossRef]
- Pei, T.; Qiu, T. A Numerical Investigation of Laterally Loaded Steel Fin Pile Foundation in Sand. Int. J. Geomech. 2022, 22, 04022102. [Google Scholar] [CrossRef]
- Peng, J.-R.; Rouainia, M.; Clarke, B.G. Finite element analysis of laterally loaded fin piles. Comput. Struct. 2010, 88, 1239–1247. [Google Scholar] [CrossRef]
- Abouzaid, A.; El Naggar, M.H.; Drbe, O. Comprehensive Evaluation of Lateral Performance of Innovative Post in Sand. Appl. Sci. 2024, 14, 2442. [Google Scholar] [CrossRef]
- Krishnanunni, K.T.; Rathod, D. The numerical investigation on the efficacy of a laterally loaded finned pile installed in a two-layered sandy slope. Int. J. Geotech. Eng. 2025, 19, 213–228. [Google Scholar] [CrossRef]
- Qin, S.; Lee, J.; Aubeny, C.P. Fatigue performance of the Deeply Embedded Ring Anchor. Int. J. Geo-Eng. 2024, 15, 23. [Google Scholar] [CrossRef]
- Fu, D.; Zhou, Z.; Pradhan, D.L.; Yan, Y. Bearing Performance of Finned Suction Caissons under Combined VHMT Loading in Clay. J. Geotech. Geoenviron. Eng. 2024, 150, 04024031. [Google Scholar] [CrossRef]
- Garcia, P.C.; Branco, L.; Fernandes, B.; Tsetoulidis, C.; Mader, M.; Orejuela, D.; Serra, E.; Panayides, S. Torpedo Piles and Suction Piles: Geotechnical Analysis and Installation Experiences in Seek for Optimal Anchoring System in Deepwater Clay Soils. In Proceedings of ASME 2024 43rd International Conference on Ocean, Offshore and Arctic Engineering, Singapore, 9–14 June 2024; p. V008T10A010. [Google Scholar] [CrossRef]
- Garcia, P.C.; Gerometta, G.; Panayides, S. Geotechnical and Structural Design Considerations for Finned Piles—Numerical and Analytical Results. In Proceedings of the 32nd International Ocean and Polar Engineering Conference, Shanghai, China, 5–10 June 2022. [Google Scholar]
- Hung, L.C.; Kim, S.R. Evaluation of vertical and horizontal bearing capacities of bucket foundations in clay. Ocean Eng. 2012, 52, 75–82. [Google Scholar] [CrossRef]
- Nguyen, A.-D.; Nguyen, V.-T.; Kim, Y.-S. Finite element analysis on dynamic behavior of sheet pile quay wall dredged and improved seaside subsoil using cement deep mixing. Int. J. Geo-Eng. 2023, 14, 9. [Google Scholar] [CrossRef]
- Yasser, F.; Altahrany, A.; Elmeligy, M. Numerical investigation of the settlement behavior of hybrid system of floating stone columns and granular mattress in soft clay soil. Int. J. Geo-Eng. 2022, 13, 12. [Google Scholar] [CrossRef]
- Hemeda, S. Geotechnical modelling and subsurface analysis of complex underground structures using PLAXIS 3D. Int. J. Geo-Eng. 2022, 13, 9. [Google Scholar] [CrossRef]
- Yun, G.; Bransby, M.F. The horizontal-moment capacity of embedded foundations in undrained soil. Can. Geotech. J. 2007, 44, 409–424. [Google Scholar] [CrossRef]
- Taiebat, H.A.; Carter, J.P. Numerical studies of the bearing capacity of shallow foundations on cohesive soil subjected to combined loading. Géotechnique 2000, 50, 409–418. [Google Scholar] [CrossRef]
- Hung, L.C.; Kim, S.-R. Evaluation of combined horizontal-moment bearing capacities of tripod bucket foundations in undrained clay. Ocean Eng. 2014, 85, 100–109. [Google Scholar] [CrossRef]
- Gilo, A.; Lee, M.J.; Wook, C.Y. Numerical Analysis of the Effect of an Inverted Cone Angle on the Penetration Behavior of the Jack-Up Leg Foundation for Offshore Wind Turbines in Uniform Clay. J. Ocean Eng. Technol. 2024, 38, 438–448. [Google Scholar] [CrossRef]
- Choo, Y.W.; Seo, J.; Kim, Y.-N.; Goo, J.; Kim, Y. Numerical Studies on Piled Gravity Base Foundation for Offshore Wind Turbine. Mar. Georesour. Geotechnol. 2016, 34, 729–740. [Google Scholar] [CrossRef]
- Gourvenec, S. Effect of embedment on the undrained capacity of shallow foundations under general loading. Géotechnique 2008, 58, 177–185. [Google Scholar] [CrossRef]
- Kim, S.; Choo, Y.W.; Kim, D.-S. Pullout Capacity of Horizontally Loaded Suction Anchor Installed in Silty Sand. Mar. Georesour. Geotechnol. 2016, 34, 87–95. [Google Scholar] [CrossRef]
- Mansouri, M.; Imani, M.; Fahimifar, A. Ultimate bearing capacity of rock masses under square and rectangular footings. Comput. Geotech. 2019, 111, 1–9. [Google Scholar] [CrossRef]
- Cerato, A.; Lutenegger, A.J. Scale Effects of Shallow Foundation Bearing Capacity on Granular Material. J. Geotech. Geoenviron. Eng. 2007, 133, 1192–1202. [Google Scholar] [CrossRef]
- Kim, D.-J.; Choo, Y.W.; Kim, J.-H.; Kim, S.; Kim, D.-S. Investigation of Monotonic and Cyclic Behavior of Tripod Suction Bucket Foundations for Offshore Wind Towers Using Centrifuge Modeling. J. Geotech. Geoenviron. Eng. 2014, 140, 04014008. [Google Scholar] [CrossRef]
- Perumalsamy, K.; Ranganathan, S. Single pile in cohesionless soil in sloping ground under lateral loading. Int. J. Geo-Eng. 2022, 13, 8. [Google Scholar] [CrossRef]
- Choo, Y.W.; Falcon, S.S.; Kim, Y.; Hossain, M.S. Performance of a dynamically installed fish anchor in cohesionless soils. Ocean Eng. 2022, 260, 111995. [Google Scholar] [CrossRef]














| Soil Parameter | NC | LOC |
|---|---|---|
| (kPa) | 1.25z |
m m |
| 0.49 | 0.49 | |
| 6 | 7.2 | |
| 0.55 | m) m) |
| Parameters of Models | |||||
|---|---|---|---|---|---|
| 0 | 0.25 | 0.50 | 1.0 | ||
| 1.5 | Soil model diameter (m) | 150 | |||
| Soil model depth (m) | 57.5 | ||||
| Number of elements | 27,952 | 47,896 | 46,688 | 46,528 | |
| 3 | Soil model diameter (m) | 150 | |||
| Soil model depth (m) | 65 | ||||
| Number of elements | 38,704 | 64,736 | 64,576 | 64,256 | |
| 5 | Soil model diameter (m) | 150 | |||
| Soil model depth (m) | 75 | ||||
| Number of elements | 52,144 | 87,316 | 87,056 | 86,416 | |
Disclaimer/Publisher’s Note: The statements, opinions and data contained in all publications are solely those of the individual author(s) and contributor(s) and not of MDPI and/or the editor(s). MDPI and/or the editor(s) disclaim responsibility for any injury to people or property resulting from any ideas, methods, instructions or products referred to in the content. |
© 2025 by the authors. Licensee MDPI, Basel, Switzerland. This article is an open access article distributed under the terms and conditions of the Creative Commons Attribution (CC BY) license (https://creativecommons.org/licenses/by/4.0/).
Share and Cite
Gilo, A.; Choo, Y.W. An Examination of the Failure Envelope of Finned Suction Anchors Subjected to Combined Vertical–Horizontal Loadings in Clay Through Numerical Modeling. J. Mar. Sci. Eng. 2025, 13, 1104. https://doi.org/10.3390/jmse13061104
Gilo A, Choo YW. An Examination of the Failure Envelope of Finned Suction Anchors Subjected to Combined Vertical–Horizontal Loadings in Clay Through Numerical Modeling. Journal of Marine Science and Engineering. 2025; 13(6):1104. https://doi.org/10.3390/jmse13061104
Chicago/Turabian StyleGilo, Angelica, and Yun Wook Choo. 2025. "An Examination of the Failure Envelope of Finned Suction Anchors Subjected to Combined Vertical–Horizontal Loadings in Clay Through Numerical Modeling" Journal of Marine Science and Engineering 13, no. 6: 1104. https://doi.org/10.3390/jmse13061104
APA StyleGilo, A., & Choo, Y. W. (2025). An Examination of the Failure Envelope of Finned Suction Anchors Subjected to Combined Vertical–Horizontal Loadings in Clay Through Numerical Modeling. Journal of Marine Science and Engineering, 13(6), 1104. https://doi.org/10.3390/jmse13061104

