Sign in to use this feature.

Years

Between: -

Subjects

remove_circle_outline
remove_circle_outline
remove_circle_outline
remove_circle_outline
remove_circle_outline
remove_circle_outline
remove_circle_outline
remove_circle_outline
remove_circle_outline

Journals

remove_circle_outline
remove_circle_outline
remove_circle_outline
remove_circle_outline
remove_circle_outline
remove_circle_outline
remove_circle_outline
remove_circle_outline

Article Types

Countries / Regions

remove_circle_outline
remove_circle_outline
remove_circle_outline
remove_circle_outline

Search Results (396)

Search Parameters:
Keywords = exponential power distribution

Order results
Result details
Results per page
Select all
Export citation of selected articles as:
18 pages, 2003 KB  
Article
Time-Dependent Verification of the SPN Neutron Solver KANECS
by Julian Duran-Gonzalez and Victor Hugo Sanchez-Espinoza
J. Nucl. Eng. 2026, 7(1), 12; https://doi.org/10.3390/jne7010012 - 4 Feb 2026
Abstract
KANECS is a 3D multigroup neutronics code based on the Simplified Spherical Harmonics (SPN) approximation and the Continuous Galerkin Finite Element Method (CGFEM). In this work, the code is extended to solve the time-dependent neutron kinetics by implementing a fully implicit [...] Read more.
KANECS is a 3D multigroup neutronics code based on the Simplified Spherical Harmonics (SPN) approximation and the Continuous Galerkin Finite Element Method (CGFEM). In this work, the code is extended to solve the time-dependent neutron kinetics by implementing a fully implicit backward Euler scheme for the neutron transport equation and an implicit exponential integration for delayed neutron precursors. These schemes ensure unconditional stability and minimize temporal discretization errors, making the method suitable for fast transients. The new formulation transforms each time step into a transient fixed-source problem, which is solved efficiently using the GMRES solver with ILU preconditioning. The kinetics module is validated against established benchmark problems, including TWIGL, the C5G2 MOX benchmark, and both 2D and 3D mini-core rod-ejection transients. KANECS shows close agreement with the reference solutions from well-known neutron transport codes, with consistent accuracy in normalized power evolution, spatial power distributions, and steady-state eigenvalues. The results confirm that KANECS provides a reliable and accurate framework for solving neutron kinetics problems. Full article
Show Figures

Figure 1

22 pages, 1100 KB  
Article
Statistical Distribution and Entropy of Multi-Scale Returns: A Coarse-Grained Analysis and Evidence for a New Stylized Fact
by Alejandro Raúl Hernández-Montoya
Entropy 2026, 28(2), 172; https://doi.org/10.3390/e28020172 - 2 Feb 2026
Viewed by 38
Abstract
Financial time series often show periods during which market index values or asset prices increase or decrease monotonically. These events are known as price runs, uninterrupted trends, or simply runs. By identifying such runs in the daily DJIA and IPC indices from 2 [...] Read more.
Financial time series often show periods during which market index values or asset prices increase or decrease monotonically. These events are known as price runs, uninterrupted trends, or simply runs. By identifying such runs in the daily DJIA and IPC indices from 2 January 1990 to 17 October 2025, we construct their associated returns to obtain a non-arbitrary sample of multi-scale returns, which we call trend returns (TReturns). The timescale of each multi-scale return is determined by the exponentially distributed duration of its corresponding run. We empirically show that the distribution of these coarse-grained returns exhibits distinctive statistical properties: the central region displays an exponential decay, likely resulting from the exponential distribution of trend durations, while the tails follow a power-law decay. This combination of exponential central behavior and asymptotic power-law decay has also been observed in other complex systems, and our findings provide additional evidence of its natural emergence. We also explore the informational properties of multi-scale returns using three measures: Shannon entropy, permutation entropy, and compression-based complexity. We find that Shannon entropy increases with coarse-graining, indicating a wider range of values; permutation entropy drops sharply, revealing underlying temporal patterns; and compression ratios improve, reflecting suppressed randomness. Overall, these findings suggest that constructing TReturns filters out microscopic noise, reveals structured temporal patterns, and provides a complementary and clear view of market behavior. Full article
(This article belongs to the Special Issue Entropy, Econophysics, and Complexity)
Show Figures

Figure 1

9 pages, 255 KB  
Article
Quasi-Power Law Ensembles: Nonextensive Statistics or Superstatistics
by Maciej Rybczyński, Grzegorz Wilk and Zbigniew Włodarczyk
Entropy 2026, 28(2), 171; https://doi.org/10.3390/e28020171 - 2 Feb 2026
Viewed by 100
Abstract
In phenomenological studies of multiparticle production, transverse-momentum spectra measured in experiments frequently display an approximately power-law falloff, for which the Tsallis-type functional form is commonly employed as an effective parametrization. Within this framework, the emergence of such spectra is interpreted as a manifestation [...] Read more.
In phenomenological studies of multiparticle production, transverse-momentum spectra measured in experiments frequently display an approximately power-law falloff, for which the Tsallis-type functional form is commonly employed as an effective parametrization. Within this framework, the emergence of such spectra is interpreted as a manifestation of nonextensive statistical behavior. An analogous power-law structure, however, can be reproduced without explicitly postulating Tsallis statistics by assuming the presence of intrinsic fluctuations of the local temperature (T) in the hadronizing medium; in that case, the observed deviations from a purely exponential spectrum are encapsulated by the nonextensivity index (q). We show that temperature fluctuation mechanisms capable of generating Tsallis-like power-law distributions in multiparticle production necessarily induce nontrivial inter-particle correlations among the emitted hadrons. Building on this observation, we outline a strategy to discriminate fluctuations realized on an event-by-event basis from those arising predominantly through event-to-event variability. Such a separation may be particularly pertinent for the characterization of high-multiplicity (high-density) final states produced at the Large Hadron Collider. Full article
(This article belongs to the Special Issue Complexity in High-Energy Physics: A Nonadditive Entropic Perspective)
Show Figures

Figure 1

19 pages, 554 KB  
Article
Multimodal Sample Correction Method Based on Large-Model Instruction Enhancement and Knowledge Guidance
by Zhenyu Chen, Huaguang Yan, Jianguang Du, Meng Xue and Shuai Zhao
Electronics 2026, 15(3), 631; https://doi.org/10.3390/electronics15030631 - 2 Feb 2026
Viewed by 72
Abstract
With the continuous improvement of power system intelligence, multimodal data generated during distribution network maintenance have grown exponentially. However, existing power multimodal datasets commonly suffer from issues such as low sample quality, frequent factual errors, and inconsistent instruction expressions caused by regional differences.Traditional [...] Read more.
With the continuous improvement of power system intelligence, multimodal data generated during distribution network maintenance have grown exponentially. However, existing power multimodal datasets commonly suffer from issues such as low sample quality, frequent factual errors, and inconsistent instruction expressions caused by regional differences.Traditional sample correction methods mainly rely on manual screening or single-feature matching, which suffer from low efficiency and limited adaptability. This paper proposes a multimodal sample correction framework based on large-model instruction enhancement and knowledge guidance, focusing on two critical modalities: temporal data and text documentation. Multimodal sample correction refers to the task of identifying and rectifying errors, inconsistencies, or quality issues in datasets containing multiple data types (temporal sequences and text), with the objective of producing corrected samples that maintain factual accuracy, temporal consistency, and domain-specific compliance. Our proposed framework employs a three-stage processing approach: first, temporal Bidirectional Encoder Representations from Transformers (BERT) models and text BERT models are used to extract and fuse device temporal features and text features, respectively; second, a knowledge-injected assessment mechanism integrated with power knowledge graphs and DeepSeek’s long-chain-of-thought (CoT) capabilities is designed to achieve precise assessment of sample credibility; third, beam search algorithms are employed to generate high-quality corrected text, significantly improving the quality and reliability of multimodal samples in power professional scenarios. Experimental results demonstrate that our method significantly outperforms baseline models across all evaluation metrics (BLEU: 0.361, ROUGE: 0.521, METEOR: 0.443, F1-Score: 0.796), achieving improvements ranging from 21.1% to 73.0% over state-of-the-art methods: specifically, a 21.1% improvement over GECToR in BLEU, 26.5% over GECToR in ROUGE, 30.3% over Deep Edit in METEOR, and 11.8% over Deep Edit in F1-Score, with a reduction of approximately 35% in hallucination rates compared to existing approaches. These improvements provide important technical support for intelligent operation and maintenance of power systems, with implications for improving data quality management, enhancing model reliability in safety-critical applications, and enabling scalable knowledge-guided correction frameworks transferable to other industrial domains requiring high data integrity. Full article
Show Figures

Figure 1

25 pages, 3699 KB  
Article
From Span Reduction to Fracture Control: Mechanically Driven Methods for Trapezoidal Strip Filling Water Retention Mining
by Hui Chen, Xueyi Yu, Qijia Cao and Chi Mu
Appl. Sci. 2026, 16(3), 1342; https://doi.org/10.3390/app16031342 - 28 Jan 2026
Viewed by 172
Abstract
During the high-intensity mining of shallow-buried thick coal seams, the formation of a water-conducting fracture zone within the overburden is a primary cause of damage to the groundwater system. To address the challenge of balancing efficiency and cost in traditional water-retaining mining methods, [...] Read more.
During the high-intensity mining of shallow-buried thick coal seams, the formation of a water-conducting fracture zone within the overburden is a primary cause of damage to the groundwater system. To address the challenge of balancing efficiency and cost in traditional water-retaining mining methods, this study proposes and validates a trapezoidal strip filling mining technology based on the “span reduction effect”. By developing a mechanical model of a four-sided simply supported thin plate representing the key layer, the fundamental mechanism of the filling body was elucidated. This mechanism involves the active adjustment of the support boundary, which effectively reduces the force span of the key layer. Furthermore, leveraging the fourth-power relationship (w ∝ a4) between deflection and span, the bending deformation of the overburden rock is exponentially mitigated. This study employs a four-tiered integrated verification system comprising theoretical modeling, physical simulation, numerical simulation, and engineering field testing: First, theoretical calculations indicate that reducing the effective span of the key layer by 40% can decrease its maximum deflection by 87%. Second, large-scale physical similarity simulations predict that implementing this filling method can significantly control the height of the water-conducting fracture zone, reducing it from 94 m under the collapse method to 58 m, which corresponds to a 45.5% reduction in surface settlement. Third, FLAC3D numerical simulations further elucidated the mechanical mechanism by which the backfill system transforms stress distribution from “coal pillar-dominated bearing capacity” to “synergistic bearing capacity of backfill and coal pillars”. Shear failure in the critical layer was suppressed, and the development height of the plastic zone was restricted to approximately 54 m, showing high consistency with physical simulation results. Finally, actual measurements of water injection through the inverted hole underground provide direct evidence: The heights of the water-conducting fracture zones in the filling working face and the collapse working face are 59 m and 93 m, respectively, reflecting a reduction of 36.6%. Based on the consistency between measured and simulated results, the numerical model employed in this study has been effectively validated. Research indicates that employing trapezoidal strip filling technology based on principal stress dynamics regulation can effectively promote a shift in the failure mode of the overlying critical layer from “fracture–conduction” to “bending–subsidence”. This mechanism provides a clear mechanical explanation and predictable design basis for the green mining of shallow coal seams. Full article
Show Figures

Figure 1

22 pages, 1400 KB  
Article
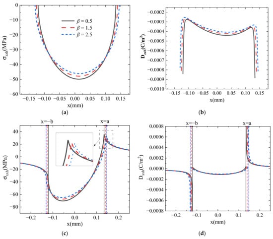
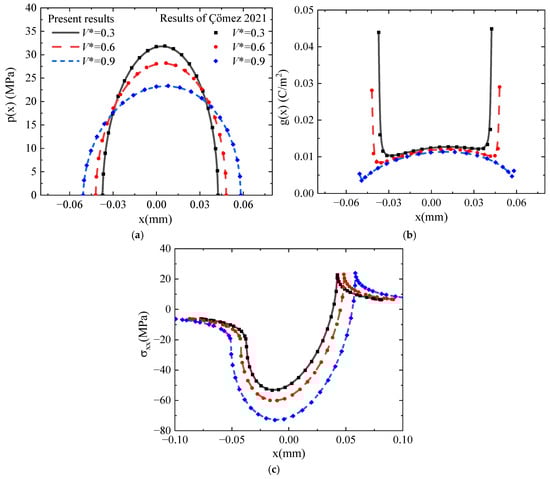
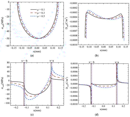
Frictional Contact of Functionally Graded Piezoelectric Materials with Arbitrarily Varying Properties
by Xiuli Liu, Kaiwen Xiao, Changyao Zhang, Xinyu Zhou, Lingfeng Gao and Jing Liu
Mathematics 2026, 14(3), 450; https://doi.org/10.3390/math14030450 - 27 Jan 2026
Viewed by 90
Abstract
This study investigates the two-dimensional (2D) steady-state frictional contact behavior of functionally graded piezoelectric material (FGPM) coatings under a high-speed rigid cylindrical punch. An electromechanical coupled contact model considering inertial effects is established, while a layered model is employed to simulate arbitrarily varying [...] Read more.
This study investigates the two-dimensional (2D) steady-state frictional contact behavior of functionally graded piezoelectric material (FGPM) coatings under a high-speed rigid cylindrical punch. An electromechanical coupled contact model considering inertial effects is established, while a layered model is employed to simulate arbitrarily varying material parameters. Based on piezoelectric elasticity theory, the steady-state governing equations for the coupled system are derived. By utilizing the transfer matrix method and the Fourier integral transform, the boundary value problem is converted into a system of coupled Cauchy singular integral equations of the first and second kinds in the frequency domain. These equations are solved semi-analytically, using the least squares method combined with an iterative algorithm. Taking a power-law gradient distribution as a case study, the effects of the gradient index, relative sliding speed, and friction coefficient on the contact pressure, in-plane stress, and electric displacement are systematically analyzed. Furthermore, the contact responses of FGPM coatings with power-law, exponential, and sinusoidal gradient profiles are compared. The findings provide a theoretical foundation for the optimal design of FGPM coatings and for enhancing their operational reliability under high-speed service conditions. Full article
Show Figures

Figure 1

17 pages, 6634 KB  
Article
Understanding the Effects of Discrete Fuel Distribution on Flame Spread Under Natural Convection and Ambient Wind
by Xiaonan Zhang, Shihan Lan, Ye Xiang, Tianyang Chu, Yang Zhou and Zhengyang Wang
Fire 2026, 9(2), 54; https://doi.org/10.3390/fire9020054 - 24 Jan 2026
Viewed by 322
Abstract
In this study, small-scale experiments were performed to examine fuel distribution effects on discrete flame spread behavior under natural convection and ambient wind. To this end, birch rod arrays with regularly varying column number (n) and array spacing (S) [...] Read more.
In this study, small-scale experiments were performed to examine fuel distribution effects on discrete flame spread behavior under natural convection and ambient wind. To this end, birch rod arrays with regularly varying column number (n) and array spacing (S) were designed. The results indicate that fuel distribution exerts a comparable influence on flame spread under both natural convection and ambient wind conditions. The flame spread rate (Vf), flame length (Lf), and mass loss rate (MLR) are insensitive to changes in S but have an exponential relationship with n. Based on the mass conservation law, prediction correlations for the mass loss rate based on S and n in the stable flame spread stage are proposed. We discovered that nondimensional mass loss has a power law dependence on the fuel coverage rate. In addition, radiative heat transfer dominates the flame spread process for the discrete array. Horizontal flame spread across discrete rod arrays exhibits critical spacing under natural convection. Finally, we established a comprehensive heat transfer model for flame spread under natural convection conditions and obtained a derivation of a critical sustainability criterion for the discrete flame spread process, which considers radiative and convective heat transfer. Full article
Show Figures

Figure 1

27 pages, 4990 KB  
Article
SEP-HMM: A Flexible Hidden Markov Model Framework for Asymmetric and Non-Mesokurtic Emission Patterns
by Didik Bani Unggul, Nur Iriawan, Irhamah Irhamah and Andriyas Aryo Prabowo
Mathematics 2026, 14(3), 393; https://doi.org/10.3390/math14030393 - 23 Jan 2026
Viewed by 175
Abstract
This paper proposes a new Hidden Markov Model (HMM) framework integrated with the Skew Exponential Power (SEP) distribution, named SEP-HMM. The primary advantage of this method is its ability to capture and represent asymmetric and non-mesokurtic emission patterns, which are often encountered in [...] Read more.
This paper proposes a new Hidden Markov Model (HMM) framework integrated with the Skew Exponential Power (SEP) distribution, named SEP-HMM. The primary advantage of this method is its ability to capture and represent asymmetric and non-mesokurtic emission patterns, which are often encountered in real-world phenomena. This advantage makes it more flexible than well-known HMMs, such as Gaussian-HMM, which are still rigidly based on symmetric and mesokurtic assumptions. We formulate and present its complete algorithm for parameter estimation and hidden state decoding. To test its effectiveness, we run simulations with various scenarios and apply SEP-HMM to real datasets consisting of stock price and temperature datasets. In the simulations conducted, the superiority of SEP-HMM compared to Gaussian-HMM and Skew Normal-HMM is confirmed in most of the replications, both in assessing model fit and in identifying hidden states. This is also supported by the real-case dataset, where SEP-HMM outperforms the benchmark models in all tested metrics. Full article
(This article belongs to the Special Issue Statistics and Data Science)
Show Figures

Figure 1

28 pages, 2319 KB  
Article
A Newton–Raphson-Based Optimizer for PI and Feedforward Gain Tuning of Grid-Forming Converter Control in Low-Inertia Wind Energy Systems
by Mona Gafar, Shahenda Sarhan, Ahmed R. Ginidi and Abdullah M. Shaheen
Sustainability 2026, 18(2), 912; https://doi.org/10.3390/su18020912 - 15 Jan 2026
Viewed by 238
Abstract
The increasing penetration of wind energy has led to reduced system inertia and heightened sensitivity to dynamic disturbances in modern power systems. This paper proposes a Newton–Raphson-Based Optimizer (NRBO) for tuning proportional, integral, and feedforward gains of a grid-forming converter applied to a [...] Read more.
The increasing penetration of wind energy has led to reduced system inertia and heightened sensitivity to dynamic disturbances in modern power systems. This paper proposes a Newton–Raphson-Based Optimizer (NRBO) for tuning proportional, integral, and feedforward gains of a grid-forming converter applied to a wind energy conversion system operating in a low-inertia environment. The study considers an aggregated wind farm modeled as a single equivalent DFIG-based wind turbine connected to an infinite bus, with detailed dynamic representations of the converter control loops, synchronous generator dynamics, and network interactions formulated in the dq reference frame. The grid-forming converter operates in a grid-connected mode, regulating voltage and active–reactive power exchange. The NRBO algorithm is employed to optimize a composite objective function defined in terms of voltage deviation and active–reactive power mismatches. Performance is evaluated under two representative scenarios: small-signal disturbances induced by wind torque variations and short-duration symmetrical voltage disturbances of 20 ms. Comparative results demonstrate that NRBO achieves lower objective values, faster transient recovery, and reduced oscillatory behavior compared with Differential Evolution, Particle Swarm Optimization, Philosophical Proposition Optimizer, and Exponential Distribution Optimization. Statistical analyses over multiple independent runs confirm the robustness and consistency of NRBO through significantly reduced performance dispersion. The findings indicate that the proposed optimization framework provides an effective simulation-based approach for enhancing the transient performance of grid-forming wind energy converters in low-inertia systems, with potential relevance for supporting stable operation under increased renewable penetration. Improving the reliability and controllability of wind-dominated power grids enhances the delivery of cost-effective, cleaner, and more resilient energy systems, aiding in expanding sustainable electricity access in alignment with SDG7. Full article
(This article belongs to the Section Energy Sustainability)
Show Figures

Figure 1

41 pages, 6499 KB  
Article
Cascaded Optimized Fractional Controller for Green Hydrogen-Based Microgrids with Mitigating False Data Injection Attacks
by Nadia A. Nagem, Mokhtar Aly, Emad A. Mohamed, Aisha F. Fareed, Dokhyl M. Alqahtani and Wessam A. Hafez
Fractal Fract. 2026, 10(1), 55; https://doi.org/10.3390/fractalfract10010055 - 13 Jan 2026
Viewed by 257
Abstract
Green hydrogen production and the use of fuel cells (FCs) in microgrid (MG) systems have become viable and feasible solutions due to their continuous cost reduction and advancements in technology. Furthermore, green hydrogen electrolyzers and FC can mitigate fluctuations in renewable energy generation [...] Read more.
Green hydrogen production and the use of fuel cells (FCs) in microgrid (MG) systems have become viable and feasible solutions due to their continuous cost reduction and advancements in technology. Furthermore, green hydrogen electrolyzers and FC can mitigate fluctuations in renewable energy generation and various demand-related disturbances. Proper incorporation of electrolyzers and FCs can enhance load frequency control (LFC) in MG systems. However, they are subjected to multiple false data injection attacks (FDIAs), which can deteriorate MG stability and availability. Moreover, most existing LFC control schemes—such as conventional PID-based methods, single-degree-of-freedom fractional-order controllers, and various optimization-based structures—lack robustness against coordinated and multi-point FDIAs, leading to significant degradation in frequency regulation performance. This paper presents a new, modified, multi-degree-of-freedom, cascaded fractional-order controller for green hydrogen-based MG systems with high fluctuating renewable and demand sources. The proposed LFC is a cascaded control structure that combines a 1+TID controller with a filtered fractional-order PID controller (FOPIDF), namely the cascaded 1+TID/FOPIDF LFC control. Furthermore, another tilt-integrator derivative electric vehicle (EV) battery frequency regulation controller is proposed to benefit from EVs installed in MG systems. The proposed cascaded 1+TID/FOPIDF LFC control and EV TID LFC methods are designed using the powerful capability of the exponential distribution optimizer (EDO), which determines the optimal set of design parameters, leading to guaranteed optimal performance. The effectiveness of the newly proposed cascaded 1+TID/FOPIDF LFC control and design approach employing multi-generational-based two-area MG systems is studied by taking into account a variety of projected scenarios of FDIAs and renewable/load fluctuation scenarios. In addition, performance comparisons with some featured controllers are provided in the paper. For example, in the case of fluctuation in RESs, the measured indices are as follows: ISE (1.079, 0.5306, 0.3515, 0.0104); IAE (15.011, 10.691, 9.527, 1.363); ITSE (100.613, 64.412, 53.649, 1.323); and ITAE (2120, 1765, 1683, 241.32) for TID, FOPID, FOTID, and proposed, respectively, which confirm superior frequency deviation mitigation using the proposed optimized cascaded 1+TID/FOPIDF and EV TID LFC control method. Full article
Show Figures

Figure 1

19 pages, 2625 KB  
Article
Analysis of the Application of Theoretical Pile Settlements Description Methods
by Danutė Sližytė, Remigijus Šalna and Kęstutis Urbonas
Buildings 2026, 16(2), 278; https://doi.org/10.3390/buildings16020278 - 8 Jan 2026
Viewed by 230
Abstract
The accurate prediction of the behaviour of piles is a particularly important stage of structural design. The dependence of pile settlement and load is often very important for soil–structure interaction in the design of structures. The distribution of stresses and deformations to the [...] Read more.
The accurate prediction of the behaviour of piles is a particularly important stage of structural design. The dependence of pile settlement and load is often very important for soil–structure interaction in the design of structures. The distribution of stresses and deformations to the structures above also depends partly on the pile settlement. Therefore, the correct assessment of this stage is important in order to have the correct parameters of the building calculation scheme. Before starting the design of building foundation structures and above-ground structures, geological surveys are carried out. When designing according to Eurocodes, a certain number of field tests must be carried out to verify the design assumptions. The pile static load tests provide load and settlement curves. There are several most common ways to describe these curves in mathematical expressions. And the more these expressions correspond to the results of real tests, the more accurately the behaviour of pile foundations can be described. Based on the real results of pile tests, an analysis of methods for describing pile behaviour is performed. The article presents the most popular methods used to describe load–settlement: quadratic hyperbolics, power law, exponential and rectangular hyperbolics. A statistical analysis of the accuracy of the methods is presented. The accuracy of the four methods studied was determined based on the statistical analysis, and their reliability was discussed. The most suitable dependence for practical design was then proposed. Full article
(This article belongs to the Special Issue Research on Building Foundations and Underground Engineering)
Show Figures

Figure 1

34 pages, 5123 KB  
Article
Comparative Analysis of Tail Risk in Emerging and Developed Equity Markets: An Extreme Value Theory Perspective
by Sthembiso Dlamini and Sandile Charles Shongwe
Int. J. Financial Stud. 2026, 14(1), 11; https://doi.org/10.3390/ijfs14010011 - 6 Jan 2026
Viewed by 765
Abstract
This research explores the application of extreme value theory in modelling and quantifying tail risks across different economic equity markets, with focus on the Nairobi Securities Exchange (NSE20), the South African Equity Market (FTSE/JSE Top40) and the US Equity Index (S&P500). The study [...] Read more.
This research explores the application of extreme value theory in modelling and quantifying tail risks across different economic equity markets, with focus on the Nairobi Securities Exchange (NSE20), the South African Equity Market (FTSE/JSE Top40) and the US Equity Index (S&P500). The study aims to recommend the most suitable probability distribution between the Generalised Extreme Value Distribution (GEVD) and the Generalised Pareto Distribution (GPD) and to assess the associated tail risk using the value-at-risk and expected shortfall. To address volatility clustering, four generalised autoregressive conditional heteroscedasticity (GARCH) models (standard GARCH, exponential GARCH, threshold-GARCH and APARCH (asymmetric power ARCH)) are first applied to returns before implementing the peaks-over-threshold and block maxima methods on standardised residuals. For each equity index, the probability models were ranked based on goodness-of-fit and accuracy using a combination of graphical and numerical methods as well as the comparison of empirical and theoretical risk measures. Beyond its technical contributions, this study has broader implications for building sustainable and resilient financial systems. The results indicate that, for the GEVD, the maxima and minima returns of block size 21 yield the best fit for all indices. For GPD, Hill’s plot is the preferred threshold selection method across all indices due to higher exceedances. A final comparison between GEVD and GPD is conducted to estimate tail risk for each index, and it is observed that GPD consistently outperforms GEVD regardless of market classification. Full article
(This article belongs to the Special Issue Financial Markets: Risk Forecasting, Dynamic Models and Data Analysis)
Show Figures

Figure 1

31 pages, 5378 KB  
Article
Composite Fractal Index for Assessing Voltage Resilience in RES-Dominated Smart Distribution Networks
by Plamen Stanchev and Nikolay Hinov
Fractal Fract. 2026, 10(1), 32; https://doi.org/10.3390/fractalfract10010032 - 5 Jan 2026
Viewed by 189
Abstract
This work presents a lightweight and interpretable framework for the early warning of voltage stability degradation in distribution networks, based on fractal and spectral features from flow measurements. We propose a Fast Voltage Stability Index (FVSI), which combines four independent indicators: the Detrended [...] Read more.
This work presents a lightweight and interpretable framework for the early warning of voltage stability degradation in distribution networks, based on fractal and spectral features from flow measurements. We propose a Fast Voltage Stability Index (FVSI), which combines four independent indicators: the Detrended Fluctuation Analysis (DFA) exponent α (a proxy for long-term correlation), the width of the multifractal spectrum Δα, the slope of the spectral density β in the low-frequency range, and the c2 curvature of multiscale structure functions. The indicators are calculated in sliding windows on per-node series of voltage in per unit Vpu and reactive power Q, standardized against an adaptive rolling/first-N baseline, and anomalies over time are accumulated using the Exponentially Weighted Moving Average (EWMA) and Cumulative SUM (CUSUM). A full online pipeline is implemented with robust preprocessing, automatic scaling, thresholding, and visualizations at the system level with an overview and heat maps and at the node level and panel graphs. Based on the standard IEEE 13-node scheme, we demonstrate that the Fractal Voltage Stability Index (FVSI_Fr) responds sensitively before reaching limit states by increasing α, widening Δα, a more negative c2, and increasing β, locating the most vulnerable nodes and intervals. The approach is of low computational complexity, robust to noise and gaps, and compatible with real-time Phasor Measurement Unit (PMU)/Supervisory Control and Data Acquisition (SCADA) streams. The results suggest that FVSI_Fr is a useful operational signal for preventive actions (Q-support, load management/Photovoltaic System (PV)). Future work includes the calibration of weights and thresholds based on data and validation based on long field series. Full article
(This article belongs to the Special Issue Fractional-Order Dynamics and Control in Green Energy Systems)
Show Figures

Figure 1

18 pages, 727 KB  
Article
Research on the Reliability of Lithium-Ion Battery Systems for Sustainable Development: Life Prediction and Reliability Evaluation Methods Under Multi-Stress Synergy
by Jiayin Tang, Jianglin Xu and Yamin Mao
Sustainability 2026, 18(1), 377; https://doi.org/10.3390/su18010377 - 30 Dec 2025
Viewed by 349
Abstract
Driven by the dual imperatives of global energy transition and sustainable development goals, lithium-ion batteries, as critical energy storage carriers, have seen the assessment of their lifecycle reliability and durability become a core issue underpinning the sustainable operation of clean energy systems. Grounded [...] Read more.
Driven by the dual imperatives of global energy transition and sustainable development goals, lithium-ion batteries, as critical energy storage carriers, have seen the assessment of their lifecycle reliability and durability become a core issue underpinning the sustainable operation of clean energy systems. Grounded in a multidimensional perspective of sustainable development, this study aims to establish a quantifiable and monitorable battery reliability evaluation framework to address the challenges to lifespan and performance sustainability faced by batteries under complex multi-stress coupled operating conditions. Lithium-ion batteries are widely used across various fields, making an accurate assessment of their reliability crucial. In this study, to evaluate the lifespan and reliability of lithium-ion batteries when operating in various coupling stress environments, a multi-stress collaborative accelerated model(MCAM) considering interaction is established. The model takes into account the principal stress effects and the interaction effects. The former is developed based on traditional acceleration models (such as the Arrhenius model), while the latter is constructed through the combination of exponential, power, and logarithmic functions. This study firstly considers the scale parameter of the Weibull distribution as an acceleration effect, and the relationship between characteristic life and stresses is explored through the synergistic action of primary and interaction effects. Subsequently, a multi-stress maximum likelihood estimation method that considers interaction effects is formulated, and the model parameters are estimated using the gradient descent algorithm. Finally, the validity of the proposed model is demonstrated through simulation, and numerical examples on lithium-ion batteries demonstrate that accurate lifetime prediction is enabled by the MCAM, with test duration, cost, and resource consumption significantly reduced. This study not only provides a scientific quantitative tool for advancing the sustainability assessment of battery systems, but also offers methodological support for relevant policy formulation, industry standard optimization, and full lifecycle management, thereby contributing to the synergistic development of energy storage technology across the economic, environmental, and social dimensions of sustainability. Full article
(This article belongs to the Section Sustainable Engineering and Science)
Show Figures

Figure 1

20 pages, 2966 KB  
Article
EMAFG-RTDETR: An Improved RTDETR Algorithm for UAV-Based Concrete Defect Detection
by Jinlong Yang, Shaojiang Dong, Jun Luo, Shizheng Sun, Jiayuan Luo, Kaibo Yan, Cai Chen and Xin Zhou
Drones 2026, 10(1), 6; https://doi.org/10.3390/drones10010006 - 23 Dec 2025
Viewed by 465
Abstract
To address the challenges of varying scales of concrete defects, class imbalance, and hardware limitations, we propose EMAFG-RTDETR, a UAV-based concrete defect detection algorithm built upon RTDETR. In the feature extraction stage, a lightweight multi-scale attention feature extraction module (EMA-PRepFaster block) is designed, [...] Read more.
To address the challenges of varying scales of concrete defects, class imbalance, and hardware limitations, we propose EMAFG-RTDETR, a UAV-based concrete defect detection algorithm built upon RTDETR. In the feature extraction stage, a lightweight multi-scale attention feature extraction module (EMA-PRepFaster block) is designed, where PConv and RepConv are fused to improve the FasterNet block. At the same time, an Efficient Multi-scale Attention (EMA) module is introduced to enhance spatial feature extraction while reducing computational redundancy. For feature fusion, the Gather-and-Distribute mechanism of GOLD-YOLO is adopted to improve the fusion of multi-scale features. The introduction of Powerful-IoU v2 not only accelerates the training process but also enhances the model’s ability to capture defects of different sizes. To handle the issue of sample imbalance, a novel classification loss function, EMASVLoss, is proposed. This function adjusts classification loss values through piecewise weighting and integrates an exponential moving average mechanism for dynamic weight smoothing, improving model adaptability. Finally, the algorithm was deployed and validated on an octocopter UAV developed by our team. Experimental results demonstrate that EMAFG-RTDETR achieves a 2.5% improvement in mean Average Precision (mAP@0.5), reaching 90% on the concrete defect dataset, with reductions in both parameter size and computational cost. Moreover, the UAV equipped with the proposed algorithm can accurately detect cracks and spalling defects on concrete surfaces, validating the effectiveness of the improved model. Full article
Show Figures

Figure 1

Back to TopTop