Sign in to use this feature.

Years

Between: -

Subjects

remove_circle_outline
remove_circle_outline
remove_circle_outline
remove_circle_outline
remove_circle_outline
remove_circle_outline
remove_circle_outline
remove_circle_outline
remove_circle_outline

Journals

remove_circle_outline
remove_circle_outline
remove_circle_outline
remove_circle_outline
remove_circle_outline
remove_circle_outline
remove_circle_outline
remove_circle_outline
remove_circle_outline
remove_circle_outline
remove_circle_outline
remove_circle_outline
remove_circle_outline
remove_circle_outline

Article Types

Countries / Regions

remove_circle_outline
remove_circle_outline
remove_circle_outline
remove_circle_outline
remove_circle_outline

Search Results (2,686)

Search Parameters:
Keywords = experimental fluid dynamic

Order results
Result details
Results per page
Select all
Export citation of selected articles as:
21 pages, 7248 KB  
Article
Analysis of Sedimentation Behavior and Influencing Factors of Solid Particles in CO2 Fracturing Fluid
by Qiang Li, Dandan You, Qingchao Li, Fuling Wang, Yanling Wang and Yandong Yang
Processes 2025, 13(12), 4049; https://doi.org/10.3390/pr13124049 - 15 Dec 2025
Abstract
The fast settling rate of solid particles in the CO2 fracturing fluid is a serious obstacle to ensuring the smooth progress of reservoir stimulation during conventional energy extraction, exerting a critical influence on enhancing both transformation efficiency and crude oil recovery. In [...] Read more.
The fast settling rate of solid particles in the CO2 fracturing fluid is a serious obstacle to ensuring the smooth progress of reservoir stimulation during conventional energy extraction, exerting a critical influence on enhancing both transformation efficiency and crude oil recovery. In this study, a fluid–solid coupling numerical model was developed, incorporating reservoir conditions and fluid properties, to simulate the settling behavior of solid particles in geological reservoir fluids. In addition, the effects of various geological factors and fluid parameters on particle settling were systematically examined. Furthermore, molecular dynamics theory, together with the analysis of intermolecular bonding interactions, was employed to elucidate the underlying mechanisms governing particle settling under different conditions. The findings of this study have the potential conclusion that the numerical model constructed in this study showed a high degree of fit (98.7%) with the experimental data, demonstrating the high applicability and good match of the numerical model. Furthermore, CO2 viscosity is a significant factor influencing the differential settling of particles in reservoir fluids, and CO2 fracturing fluid at 8 mPa·s can reduce the settling distance and velocity of solid particles to 3.2 m and 0.21 m/s, respectively. Simultaneously, both high reservoir pressure and a rough surface can effectively suppress the settling behavior of solid particles in CO2 fracturing fluid, reducing the settling distance to 3.4 cm and 3.8 cm, respectively. However, the utilisation of high-temperature reservoirs at 383 K has been demonstrated to reduce the particle settling distance to 3.5 cm, a phenomenon that is evidently not conducive to the stimulation of deep, high-temperature reservoirs. The findings of this research endeavour have the potential to provide fundamental data for the utilisation of CO2 fracturing fluids in reservoir stimulation and EOR. Full article
Show Figures

Figure 1

32 pages, 3781 KB  
Article
Real-Time Forecasting of a Fire-Extinguishing Agent Jet Trajectory from a Robotic Fire Monitor Under Disturbances
by Irina Pozharkova and Sergey Chentsov
Robotics 2025, 14(12), 188; https://doi.org/10.3390/robotics14120188 - 14 Dec 2025
Viewed by 34
Abstract
This article presents a methodology for real-time forecasting of a fire-extinguishing agent jet trajectory from a robotic fire monitor under wind influence, which can significantly displace the impact area position and complicate targeting. The proposed methodology is designed for controlling firefighting robots in [...] Read more.
This article presents a methodology for real-time forecasting of a fire-extinguishing agent jet trajectory from a robotic fire monitor under wind influence, which can significantly displace the impact area position and complicate targeting. The proposed methodology is designed for controlling firefighting robots in conditions where visual monitoring of the impact area is impeded by factors such as: obscuration of the fire-extinguishing agent flow by smoke, low visibility of its fragmented particles against the background environment, and long-range jet discharge. Trajectory forecasting is implemented using a neural network model. The training and verification of this model are performed with datasets constructed from the results of numerical simulations of fire-extinguishing agent motion under wind influence, based on Computational Fluid Dynamics (CFD) methods. Experimentally obtained data are used for the validation of the trained neural network model and the selected CFD models. The paper describes the methodology for conducting full-scale tests of fire monitors; a photogrammetric algorithm for generating validation datasets from the test results; an algorithm for calculating target characteristics, which describe the jet trajectory and are consistent with experimental data, used for forming training and verification datasets based on simulation; and a procedure for selecting Computational Fluid Dynamics models and their parameters to ensure the required accuracy. The article also presents the results of an experimental evaluation of the developed methodology’s effectiveness for real-time prediction of the water jet trajectory from a fire monitor under various control and disturbance parameters. Full article
(This article belongs to the Special Issue Applications of Neural Networks in Robot Control)
48 pages, 5616 KB  
Review
Recent Developments in Pharmaceutical Spray Drying: Modeling, Process Optimization, and Emerging Trends with Machine Learning
by Waasif Wahab, Raya Alshamsi, Bouta Alharsousi, Manar Alnuaimi, Zaina Alhammadi and Belal Al-Zaitone
Pharmaceutics 2025, 17(12), 1605; https://doi.org/10.3390/pharmaceutics17121605 - 13 Dec 2025
Viewed by 218
Abstract
Spray drying techniques are widely used in the pharmaceutical industry to produce fine drug powders with different properties depending on the route of administration. Process parameters play a vital role in the critical quality attributes of the final product. This review highlights the [...] Read more.
Spray drying techniques are widely used in the pharmaceutical industry to produce fine drug powders with different properties depending on the route of administration. Process parameters play a vital role in the critical quality attributes of the final product. This review highlights the progress and challenges in modeling the spray-drying process, with a focus on pharmaceutical applications. Computational fluid dynamics (CFD) is a well-known method used for the modeling and numerical simulation of spray drying processes. However, owing to their limitations, including high computational costs, experimental validation, and limited accuracy under complex spray drying conditions. Machine learning (ML) models have recently emerged as integral tools for modeling/optimizing the spray drying process. Despite promising accuracy, ML models depend on high-quality data and may fail to predict the influence of new formulation or process parameters on the properties of the dried powder. This review outlines the shortcomings of CFD modeling in the spray drying process. A hybrid model combining ML and CFD models, emerging techniques such as the digital twin approach, transfer learning, and explainable AI (XAI) are also discussed. A hybrid model combining ML and CFD models is also discussed. ML is considered an emerging technique that could assist the spray drying process, and most importantly, the utilization of this method in pharmaceutical spray drying. Full article
Show Figures

Graphical abstract

28 pages, 5982 KB  
Article
Numerical Investigation into Effects of Gas Sparger and Horizontal Baffles on Hydrodynamics of Flat Bubble Column
by Masroor Abro, Imran Nazir Unar, Junaid Korai, Abdul Qudoos, Sikandar Almani, Abdul Qadeer Laghari, Liang Yu and Abdul Sattar Jatoi
ChemEngineering 2025, 9(6), 144; https://doi.org/10.3390/chemengineering9060144 - 12 Dec 2025
Viewed by 123
Abstract
Computational fluid dynamics (CFD) was used to investigate influence of different gas sparger configurations and the presence of horizontal baffles on hydrodynamic characteristics in a flat bubble column. CFD results of time-averaged local and global gas holdup, liquid axial velocity, and Sauter mean [...] Read more.
Computational fluid dynamics (CFD) was used to investigate influence of different gas sparger configurations and the presence of horizontal baffles on hydrodynamic characteristics in a flat bubble column. CFD results of time-averaged local and global gas holdup, liquid axial velocity, and Sauter mean diameter were experimentally validated. Subsequently, the validated CFD model was extended to investigate the effects of different gas sparger configurations, i.e., S1, S3, S4, S5, S8, and S72, and baffles arrangements, i.e., Config-A and Config-B on overall hydrodynamics at different superficial gas velocities (Ug = 0.0014 m/s and 0.0073 m/s). CFD results demonstrated significant influence of both sparger and Ug. Gas holdup and interfacial area increased with smaller, more numerous sparger openings, such that S72 achieved ~1.55 times higher holdup and ~2 higher interfacial area than that of S1. Spargers with fewer and larger openings induced stronger turbulence, which intensified early breakup and coalescence and broadened the bubble size distribution. Results revealed that spargers with many small openings (S72) produced the narrowest distribution, retaining a high fraction of bubbles of initial size (5 mm), whereas spargers with fewer larger openings (S1) generated broader distributions with significant coalescence, especially at higher Ug. The inclusion of baffles enhanced liquid circulation and gas–liquid mixing and contact. However, intensified turbulence below each baffle significantly increased coalescence, producing larger bubbles and resulting in only marginal changes in interfacial area despite increased gas holdup. Full article
Show Figures

Figure 1

26 pages, 6335 KB  
Article
Integration of Nonlinear Rheology and CFD Simulation to Elucidate the Influence of Saturated Oil on Soy Protein Concentrate Behavior During High-Moisture Extrusion
by Timilehin Martins Oyinloye, Chae-Jin Lee and Won Byong Yoon
Gels 2025, 11(12), 1003; https://doi.org/10.3390/gels11121003 - 12 Dec 2025
Viewed by 61
Abstract
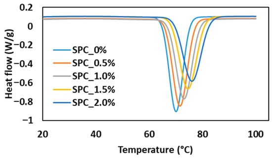
This study investigated the influence of coconut oil concentration (0–2%) on the nonlinear rheological and thermal behavior of soy protein concentrate (SPC) mixtures and integrated these data into computational fluid dynamics (CFD) models to predict flow behavior during high-moisture extrusion. Temperature sweep tests [...] Read more.
This study investigated the influence of coconut oil concentration (0–2%) on the nonlinear rheological and thermal behavior of soy protein concentrate (SPC) mixtures and integrated these data into computational fluid dynamics (CFD) models to predict flow behavior during high-moisture extrusion. Temperature sweep tests revealed that increasing oil content elevated the onset and peak gelation temperatures from 64.13 to 70.21 °C and 70.29 to 76.08 °C, respectively, while decreasing gelation enthalpy from 4.05 J/g to 2.81 J/g. Large-amplitude oscillatory shear (LAOS) analysis showed a shift from strain-stiffening (e3/e1 > 0.15) behavior to strain-thinning (e3/e1 < 0.05) behavior with increasing oil, accompanied by enhanced shear-thinning behavior (v3/v1 < 0). Integrating these nonlinear parameters into the CFD simulations enhanced model accuracy relative to the SAOS-based approach, resulting in lower RMSE values (≤4.41 kPa for pressure and ≤0.11 mm/s for velocity) and enabling more realistic prediction of deformation and flow under extrusion-relevant conditions, a capability that conventional SAOS-based models could not achieve. Predicted outlet melt temperatures averaged 70.27 ± 1.55 °C, consistent with experimental results. The findings demonstrate that oil addition modulates protein network formation and flow resistance, and that nonlinear rheology-coupled CFD models enable reliable prediction of extrusion behavior. Overall, this study provides a novel rheology-driven modeling strategy for enhancing the design and optimization of oil-enriched plant-protein extrusion processes. Full article
(This article belongs to the Special Issue Recent Developments in Food Gels (3rd Edition))
Show Figures

Figure 1

21 pages, 6204 KB  
Article
Numerical Simulation of Temperature Field, Velocity Field and Solidification Microstructure Evolution of Laser Cladding AlCoCrFeNi High Entropy Alloy Coatings
by Andi Huang, Yilong Liu, Xin Li, Jingang Liu and Shiping Yang
Lubricants 2025, 13(12), 541; https://doi.org/10.3390/lubricants13120541 - 12 Dec 2025
Viewed by 180
Abstract
In this study, a multiphysics coupling numerical model was developed to investigate the thermal-fluid dynamics and microstructure evolution during the laser metal deposition of AlCoCrFeNi high-entropy alloy (HEA) coatings on 430 stainless steel substrates. The model integrated laser-powder interactions, temperature-dependent material properties, and [...] Read more.
In this study, a multiphysics coupling numerical model was developed to investigate the thermal-fluid dynamics and microstructure evolution during the laser metal deposition of AlCoCrFeNi high-entropy alloy (HEA) coatings on 430 stainless steel substrates. The model integrated laser-powder interactions, temperature-dependent material properties, and the coupled effects of buoyancy and Marangoni convection on melt pool dynamics. The simulation results were compared with experimental data to validate the model’s effectiveness. The simulations revealed a strong bidirectional coupling between temperature and flow fields in the molten pool: the temperature distribution governed surface tension gradients that drove Marangoni convection patterns, while the resulting fluid motion dominated heat redistribution and pool morphology. Initially, the Peclet number (PeT) remained below 5, indicating conduction-controlled heat transfer with a hemispherical melt pool. As the process progressed, PeT exceeded 50 at maximum flow velocities of 2.31 mm/s, transitioning the pool from a circular to an elliptical geometry with peak temperatures reaching 2850 K, where Marangoni convection became the primary heat transfer mechanism. Solidification parameter distributions (G and R) were computed and quantitatively correlated with scanning electron microscopy (SEM)-observed microstructures to elucidate the columnar-to-equiaxed transition (CET). X-ray diffraction (XRD) analysis identified body-centered cubic (BCC), face-centered cubic (FCC), and ordered B2 phases within the coating. The resulting hierarchical microstructure, transitioning from fine equiaxed surface grains to coarse columnar interfacial grains, synergistically enhanced surface properties and established robust metallurgical bonding with the substrate. Full article
(This article belongs to the Special Issue Mechanical Tribology and Surface Technology, 2nd Edition)
Show Figures

Figure 1

18 pages, 7811 KB  
Article
An Efficient Method for Rotor Aeroacoustic Calculation Accounting for Rotor Downwash Influence
by Bo Wang, Xuan Gao, Wei Bian, Xi Chen and Qijun Zhao
Aerospace 2025, 12(12), 1101; https://doi.org/10.3390/aerospace12121101 - 11 Dec 2025
Viewed by 105
Abstract
Based on the Ffowcs Williams–Hawkings equations and the computational fluid dynamics method, the rotor’s aeroacoustic characteristics, considering the influence of the downwash flowfield on the sound propagation process, are calculated and analyzed. First, a set of analysis methods for the aeroacoustic characteristics is [...] Read more.
Based on the Ffowcs Williams–Hawkings equations and the computational fluid dynamics method, the rotor’s aeroacoustic characteristics, considering the influence of the downwash flowfield on the sound propagation process, are calculated and analyzed. First, a set of analysis methods for the aeroacoustic characteristics is developed, and a convection-based propagation time model is developed, where acoustic group velocity along source–observer lines quantifies flowfield effects. Then, the rotor’s aerodynamic and aeroacoustic characteristics are calculated, and the employed numerical analysis method is validated through the comparisons with experimental data. Finally, the aeroacoustic characteristics of the rotor in hover are analyzed, and the sound pressure positive peak point with/without the influence of the flowfield of downwash on the propagation time is discussed in detail. In addition, parameters, such as the rotor’s collective pitch and the azimuthal angle of the sound source, are quantified, and some conclusions are obtained. For those observers below the rotor rotation plane, the downwash flowfield will influence the sound propagation time, resulting in the increase in the sound pressure and the advance of the arrival time. Full article
(This article belongs to the Special Issue Recent Advances in Aeroacoustics (2nd Edition))
Show Figures

Figure 1

18 pages, 3480 KB  
Article
Development of an Underwater Vehicle-Manipulator System Based on Delta Parallel Mechanism
by Zhihao Xu, Yang Zhang, Zongyu Chang, Boyuan Huang, Yuanqiang Bing, Chengyu Zeng, Pinghu Ni, Yachen Feng and Haibo Wang
J. Mar. Sci. Eng. 2025, 13(12), 2361; https://doi.org/10.3390/jmse13122361 - 11 Dec 2025
Viewed by 191
Abstract
Underwater Vehicle-Manipulator Systems (UVMSs) play a critical role in various marine operations, where the choice of manipulator architecture significantly influences system performance. While serial robotic arms have been widely adopted in UVMS applications due to their operational flexibility, their inherent structural characteristics present [...] Read more.
Underwater Vehicle-Manipulator Systems (UVMSs) play a critical role in various marine operations, where the choice of manipulator architecture significantly influences system performance. While serial robotic arms have been widely adopted in UVMS applications due to their operational flexibility, their inherent structural characteristics present certain challenges in underwater environments. These challenges primarily stem from the cumulative effects of joint mechanisms and dynamic interactions with the fluid medium. In this context, we explore an innovative UVMS solution that incorporates the Delta parallel mechanism, which offers distinct advantages through its symmetrical architecture and unilateral motor configuration, particularly in maintaining operational stability. We develop a comprehensive framework that includes mechanical design optimization, implementation of distributed control systems, and formulation of closed-form kinematic models, with comparative analysis against conventional serial robotic arms. Experimental validation demonstrates the system’s effectiveness in underwater navigation, target acquisition, and object manipulation under operator-guided control. The results reveal substantial enhancements in motion consistency and gravitational stability compared to traditional serial-arm configurations, positioning the Delta-based UVMS as a viable solution for complex underwater manipulation tasks. Furthermore, this study provides a comparative analysis of the proposed Delta-based UVMS and conventional serial-arm systems, offering valuable design insights and performance benchmarks to inform future development and optimization of underwater manipulation technologies. Full article
Show Figures

Figure 1

25 pages, 336 KB  
Review
Research Progress in Microscopic Mechanisms and Cross-Scale Simulation of Seepage Behavior in Porous Media
by Zhaoliang Dou, Shuang Li and Fengbin Liu
Processes 2025, 13(12), 4005; https://doi.org/10.3390/pr13124005 - 11 Dec 2025
Viewed by 92
Abstract
With the advancement of aerospace equipment toward high-speed and heavy-duty applications, conventional forced lubrication systems are facing significant challenges in terms of reliability and adaptability to complex operating conditions. Porous medium materials, owing to their unique self-lubricating and oil-retention capabilities, are regarded as [...] Read more.
With the advancement of aerospace equipment toward high-speed and heavy-duty applications, conventional forced lubrication systems are facing significant challenges in terms of reliability and adaptability to complex operating conditions. Porous medium materials, owing to their unique self-lubricating and oil-retention capabilities, are regarded as an ideal lubrication solution. However, their seepage behavior is governed by the strong coupling effects of microscopic pore structures and fluid physicochemical properties, the mechanisms of which remain inadequately understood, thereby severely constraining the design and application of high-performance lubricating materials. To address this, this paper systematically reviews recent research progress on seepage behavior in porous media, with the aim of establishing a correlation between microstructural characteristics and macroscopic performance. Starting from the characterization of porous media, this work comprehensively analyzes the structure–seepage relationships in porous polymers, metal foams, and porous ceramics, and constructs a multi-scale theoretical framework encompassing macroscopic continuum theories, mesoscopic lattice Boltzmann methods (LBM), pore network models, and microscopic molecular dynamics. The advantages and limitations of experimental measurements and numerical simulation approaches are also compared. In particular, this study critically highlights the current neglect of key interfacial parameters such as surface wettability and pore roughness, and proposes an in-depth investigation into the seepage mechanisms of polyimide porous cage materials based on LBM. Furthermore, the potential application of emerging research paradigms such as data-driven approaches and intelligent computing in seepage studies is discussed. Finally, it is emphasized that future efforts should focus on developing deeply integrated cross-scale simulation methodologies, strengthening multi-physics coupling and artificial intelligence-assisted research, and advancing the development of intelligent porous lubricating materials with gradient structures or stimulus-responsive characteristics. This is expected to provide a solid theoretical foundation and technical pathway for the rational design and optimization of high-performance lubrication systems. Full article
22 pages, 24804 KB  
Article
Numerical Simulation and Verification of Free-Surface Flow Through a Porous Medium
by Perizat Omarova, Alexandr Neftissov, Ilyas Kazambayev, Lalita Kirichenko, Aliya Aubakirova and Aliya Borsikbayeva
Water 2025, 17(24), 3505; https://doi.org/10.3390/w17243505 - 11 Dec 2025
Viewed by 162
Abstract
Managing hydraulic behaviour and water quality in semi-arid, transboundary rivers such as the Talas River in Kazakhstan requires reliable numerical tools for predicting free-surface flow through porous hydraulic structures. This study develops and verifies a two-dimensional computational fluid dynamics (CFD) framework for simulating [...] Read more.
Managing hydraulic behaviour and water quality in semi-arid, transboundary rivers such as the Talas River in Kazakhstan requires reliable numerical tools for predicting free-surface flow through porous hydraulic structures. This study develops and verifies a two-dimensional computational fluid dynamics (CFD) framework for simulating free-surface water flow through porous media and demonstrates its applicability to a real river reach of the Talas in the Zhambyl region. The model combines the Volume of Fluid (VOF) method with the Darcy–Forchheimer formulation to represent porous resistance, while turbulence is described by the RNG kε model, and pressure–velocity coupling is handled by the PISO algorithm. Model verification is conducted against a classic dam-break experiment involving a rectangular porous barrier across a laboratory channel. The simulations successfully reproduce the main experimental observations, including rapid drawdown after gate opening, formation and attenuation of the free-surface wave, localized depression above the porous insert, and the subsequent approach to a quasi-steady state. Time histories of water levels at control points and the spatial progression of the wet front show close agreement with measurements. Using the validated setup, a site-specific two-dimensional domain for the Talas River is constructed to analyse the hydraulic influence of a porous bar. The model quantifies velocity redistribution and energy dissipation across the porous patch and provides physically consistent flow fields suitable for engineering assessments under various discharge conditions. Full article
Show Figures

Figure 1

18 pages, 2208 KB  
Article
Numerical and Experimental Investigation of Parameters in Cement Delivery Through Spinal Implants
by Damian Obidowski, Lechosław F. Ciupik, Agnieszka Kierzkowska, Piotr Reorowicz, Artur Bonik, Zbigniew Tyfa, Krzysztof Sobczak, Edward Słoński and Krzysztof Jóźwik
Materials 2025, 18(24), 5566; https://doi.org/10.3390/ma18245566 - 11 Dec 2025
Viewed by 185
Abstract
Bone cement is used in spinal procedures and can be used alone or in combination with an implant to stabilize spine and relieve pain. Despite benefits, complications remain a concern. This study investigates how the internal geometry of a spinal implant device affects [...] Read more.
Bone cement is used in spinal procedures and can be used alone or in combination with an implant to stabilize spine and relieve pain. Despite benefits, complications remain a concern. This study investigates how the internal geometry of a spinal implant device affects injection pressure and cement distribution. Two design groups (G1 and G2), differing in lateral channel angle, were analyzed across three functional variants using CFD (Computational Fluid Dynamics) simulations. CFD modeling employed a two-phase (air–cement) flow. Experimental tests confirmed simulation tests and revealed that angled channels (G2) promoted more uniform cement flow. CFD analysis showed reduced pressure on the syringe plunger, especially when the central channel was blocked. Threaded configurations increased the needed pressure but had minimal impact on flow distribution. G2 required a higher force exerted on the syringe plunger than G1. The study concludes that channel geometry significantly affects the required cement delivery pressure and implant fixation, which translates into the implant–bone interface. While certain configurations improve flow uniformity, elevated injection pressure may pose risks. These findings support optimizing implant design and cement delivery techniques, contributing to safer and more effective implant-based spinal surgeries with bone cement augmentation. Full article
(This article belongs to the Section Biomaterials)
Show Figures

Figure 1

25 pages, 8829 KB  
Article
Numerical and Experimental Investigations on Oil Supply Characteristics of a Multi-Passage Lubrication System for a Three-Stage Planetary Transmission in a Tracked Vehicle
by Jing Zhang, Peng Jin, Xiaozhou Hu and Yangmei Yuan
Technologies 2025, 13(12), 576; https://doi.org/10.3390/technologies13120576 - 8 Dec 2025
Viewed by 155
Abstract
The multi-passage lubrication system is adopted to meet the demand of the main heat generation parts (gears and bearings) in the three-stage planetary transmission system of a large tracked vehicle. As rotational speed increases, the flow regime inside the passages with multi-oil outlets [...] Read more.
The multi-passage lubrication system is adopted to meet the demand of the main heat generation parts (gears and bearings) in the three-stage planetary transmission system of a large tracked vehicle. As rotational speed increases, the flow regime inside the passages with multi-oil outlets becomes highly complex. Under high-speed conditions, the flow rate in Zone 2 decreases sharply, and some oil outlets even drop to zero, representing a 100% reduction amplitude, which results in an unstable oil supply for heat generation parts and even potential lubrication cut-off. In the present work, the lubrication characteristics of the oil supply system for the three-stage planetary transmission system are investigated by a combination of CFD (computational fluid dynamics) simulations and experiments. A complete CFD model of the multi-passage lubrication system is established, comprising a stationary oil passage, a main oil passage, and a three-stage variable-speed oil passage. A transient calculation method based on sliding mesh rotation domain control is used to simulate the oil-filling process in the oil passages, and the oil supply characteristics of the variable-speed oil passage are investigated. A test bench for the multi-stage planetary transmission system is designed and constructed to collect oil flow data from outlets of planetary gear sets. The comparison between simulated and experimental results confirms the validity of the proposed numerical method. Additionally, numerical simulations are conducted to investigate the effects of key factors, including input speed, oil supply pressure, and oil temperature, on the oil flow rate of outlets. The results indicate that the rotational speed is the major parameter affecting the oil flow rate at the oil passage outlets. This work provides a practical guidance for optimizing lubrication design in complex multi-stage planetary transmission systems. Full article
Show Figures

Figure 1

24 pages, 3724 KB  
Article
Numerical Investigation of Non-Newtonian Fluid Rheology in a T-Shaped Microfluidics Channel Integrated with Complex Micropillar Structures Under Acoustic, Electric, and Magnetic Fields
by Muhammad Waqas, Arvydas Palevicius, Cengizhan Omer Senol and Giedrius Janusas
Micromachines 2025, 16(12), 1390; https://doi.org/10.3390/mi16121390 - 8 Dec 2025
Viewed by 281
Abstract
Microfluidics is considered a revolutionary interdisciplinary technology with substantial interest in various biomedical applications. Many non-Newtonian fluids often used in microfluidics systems are notably influenced by the external active fields, such as acoustic, electric, and magnetic fields, leading to changes in rheological behavior. [...] Read more.
Microfluidics is considered a revolutionary interdisciplinary technology with substantial interest in various biomedical applications. Many non-Newtonian fluids often used in microfluidics systems are notably influenced by the external active fields, such as acoustic, electric, and magnetic fields, leading to changes in rheological behavior. In this study, a numerical investigation is carried out to explore the rheological behavior of non-Newtonian fluids in a T-shaped microfluidics channel integrated with complex micropillar structures under the influence of acoustic, electric, and magnetic fields. For this purpose, COMSOL Multiphysics with laminar flow, pressure acoustic, electric current, and magnetic field physics is used to examine rheological characteristics of non-Newtonian fluids. Three polymer solutions, such as 2000 ppm xanthan gum (XG), 1000 ppm polyethylene oxide (PEO), and 1500 ppm polyacrylamide (PAM), are used as a non-Newtonian fluids with the Carreau–Yasuda fluid model to characterize the shear-thinning behavior. Moreover, numerical simulations are carried out with different input parameters, such as Reynolds numbers (0.1, 1, 10, and 50), acoustic pressure (5 Mpa, 6.5 Mpa, and 8 Mpa), electric voltage (200 V, 250 V, and 300 V), and magnetic flux (0.5 T, 0.7 T, and 0.9 T). The findings reveal that the incorporation of active fields and micropillar structures noticeably impacts fluid rheology. The acoustic field induces higher shear-thinning behavior, decreasing dynamic viscosity from 0.51 Pa·s to 0.34 Pa·s. Similarly, the electric field induces higher shear rates, reducing dynamic viscosities from 0.63 Pa·s to 0.42 Pa·s, while the magnetic field drops the dynamic viscosity from 0.44 Pa·s to 0.29 Pa·s. Additionally, as the Reynolds number increases, the shear rate also rises in the case of electric and magnetic fields, leading to more chaotic flow, while the acoustic field advances more smooth flow patterns and uniform fluid motion within the microchannel. Moreover, a proposed experimental framework is designed to study non-Newtonian fluid mixing in a T-shaped microfluidics channel under external active fields. Initially, the microchannel was fabricated using a high-resolution SLA printer with clear photopolymer resin material. Post-processing involved analyzing particle distribution, mixing quality, fluid rheology, and particle aggregation. Overall, the findings emphasize the significance of considering the fluid rheology in designing and optimizing microfluidics systems under active fields, especially when dealing with complex fluids with non-Newtonian characteristics. Full article
(This article belongs to the Special Issue Research Progress on Advanced Additive Manufacturing Technologies)
Show Figures

Figure 1

17 pages, 12479 KB  
Article
A Study of Sediment Behavior for Dam-Break Flow over Granular Bed
by Kyung Sung Kim
Mathematics 2025, 13(24), 3919; https://doi.org/10.3390/math13243919 - 8 Dec 2025
Viewed by 102
Abstract
Dam-break flows involve strong non-linearity and complex fluid–solid interactions, often causing severe flooding and structural damage. Particle-based CFD methods, such as the Moving Particle Semi-implicit (MPS) method, are effective in modeling such flows due to their mesh-free, Lagrangian nature. This study presents an [...] Read more.
Dam-break flows involve strong non-linearity and complex fluid–solid interactions, often causing severe flooding and structural damage. Particle-based CFD methods, such as the Moving Particle Semi-implicit (MPS) method, are effective in modeling such flows due to their mesh-free, Lagrangian nature. This study presents an improved MPS method with a novel friction model and enhanced fluid–solid interaction scheme to simulate dam-break-induced flows over fixed and mobile beds. The model is validated using experimental and analytical benchmarks, demonstrating improved accuracy and stability. Simulation results show that mobile beds significantly influence wave attenuation, energy dissipation, and sediment transport. In particular, step-down bed conditions promote sediment motion and modify wave behavior. These findings emphasize the importance of accounting for mobile seabed dynamics in numerical modeling of coastal and dam-break scenarios. The proposed MPS model offers a reliable and efficient tool for capturing key phenomena associated with fluid–solid interactions in naval and ocean engineering applications. Full article
(This article belongs to the Special Issue High-Order Numerical Methods and Computational Fluid Dynamics)
Show Figures

Figure 1

23 pages, 14357 KB  
Article
Numerical Analysis of Influence of Different Anti-Vortex Devices on Submerged Vortices and on Overall Performance of Vertical Mixed-Flow Pump
by Milan Sedlář, Prokop Moravec, Vít Doubrava and Martin Komárek
Fluids 2025, 10(12), 325; https://doi.org/10.3390/fluids10120325 - 6 Dec 2025
Viewed by 125
Abstract
The aim of this study is to compare submerged vortical structures for a pump mounted in a pump intake without any anti-vortex devices (AVDs), with a trident-like AVD or with a cone AVD. Another aim is to compare the pump characteristics (head, efficiency, [...] Read more.
The aim of this study is to compare submerged vortical structures for a pump mounted in a pump intake without any anti-vortex devices (AVDs), with a trident-like AVD or with a cone AVD. Another aim is to compare the pump characteristics (head, efficiency, power input and radial forces) of these pump arrangements via CFD simulation along with experimental measurements in a closed circuit. The numerical simulation of unsteady multiphase flow is established by means of computational fluid dynamics (CFD) and the volume of fluid (VOF) method. To predict vortical structures in the vicinity of the pump suction bell, the unsteady Reynolds-averaged Navier–Stokes equations (URANS) are solved together with the scale-adaptive simulation (SAS) turbulence model. For each AVD configuration, integral characteristics like the head, power input, efficiency and forces acting on the pump rotor are also evaluated. The numerical results show that the configuration with the cone AVD exhibits the best performance (from the point of view of both hydraulic efficiency and vorticity strength), but it requires a larger distance between the intake bottom wall and the pump bellmouth. The submerged vortices are quite stable when using an AVD, but rather unsteady without any anti-vortex tool. Full article
Show Figures

Figure 1

Back to TopTop