Sign in to use this feature.

Years

Between: -

Subjects

remove_circle_outline
remove_circle_outline
remove_circle_outline
remove_circle_outline
remove_circle_outline
remove_circle_outline
remove_circle_outline
remove_circle_outline
remove_circle_outline

Journals

Article Types

Countries / Regions

Search Results (14)

Search Parameters:
Keywords = ex situ bioremediation

Order results
Result details
Results per page
Select all
Export citation of selected articles as:
24 pages, 1722 KB  
Article
Design and Construction of an Aerated Accumulation Bioreactor for Solid Waste Treatment
by Margarita Ramírez-Carmona, Leidy Rendón-Castrillón, Carlos Ocampo-López and Valentina Álvarez-Flórez
Processes 2025, 13(7), 2312; https://doi.org/10.3390/pr13072312 - 21 Jul 2025
Cited by 2 | Viewed by 1489
Abstract
Aerated accumulation bioreactors represent a promising alternative for the aerobic bioremediation of solid contaminated substrates. However, achieving homogeneous mixing and effective air distribution remains a key design challenge in solid-phase systems. This study presents the design and construction of a novel pilot-scale aerated [...] Read more.
Aerated accumulation bioreactors represent a promising alternative for the aerobic bioremediation of solid contaminated substrates. However, achieving homogeneous mixing and effective air distribution remains a key design challenge in solid-phase systems. This study presents the design and construction of a novel pilot-scale aerated bioreactor equipped with an angled-paddle agitation system, specifically developed to improve solid mixing and aeration. To evaluate the geometric configuration, a series of simulations were performed using the Discrete Element Method (DEM), with particle dynamics analyzed through the Lacey Mixing Index (LMI). Four paddle angles (0°, 15°, 45°, and 55°) were compared, with the 45° configuration achieving optimal performance, reaching LMI values above 0.95 in less than 15 s and maintaining high homogeneity at a filling volume of 70%. These results confirm that the paddle angle significantly influences mixing efficiency in granular media. While this work focuses on engineering design and DEM-based validation, future studies will include experimental trials to evaluate biodegradation kinetics. The proposed design offers a scalable and adaptable solution for ex situ bioremediation applications. This work reinforces the value of integrating DEM simulations early in the bioreactor development process and opens pathways for further optimization and implementation in real-world environmental remediation scenarios. Full article
(This article belongs to the Special Issue Bioreactor Design and Optimization Process)
Show Figures

Figure 1

20 pages, 3264 KB  
Review
In Situ and Ex Situ Bioremediation of Different Persistent Soil Pollutants as Agroecology Tool
by A. Perez-Vazquez, P. Barciela and M. A. Prieto
Processes 2024, 12(10), 2223; https://doi.org/10.3390/pr12102223 - 12 Oct 2024
Cited by 12 | Viewed by 10619
Abstract
Contamination or pollution of our environment has become a real global concern, especially in parallel with the increasing evolution of urbanization and industrialization, which in turn have released a plethora of different pollutants that end up being deposited in soils. It is crucial [...] Read more.
Contamination or pollution of our environment has become a real global concern, especially in parallel with the increasing evolution of urbanization and industrialization, which in turn have released a plethora of different pollutants that end up being deposited in soils. It is crucial to investigate solutions that can minimize the extent of damage, and that are cost-effective, feasible and environmentally friendly, to treat a wide variety of contaminants in soils, as well as to detoxify various compounds. Bioremediation is a safe technique that has demonstrated satisfactory results and is easy to apply and maintain. This technique explores the degradation pathways of various biological agents (microorganisms, plants, algae, etc.) to neutralize contaminants. It is based on biodegradation through a complete mineralization of organic pollutants into inorganic innocuous compounds, such as carbon dioxide and water. This review aims to determine the feasibility of bioremediation as a cleanup technology for soils contaminated with pesticides, agrochemicals, chlorinated compounds, heavy metals, organic halogens, greenhouse gases, petroleum hydrocarbons, and many others, either in situ or ex situ. Different bioremediation approaches are described and compared, showing their advantages and drawbacks from a critical point of view. Moreover, both the economic and technical barriers of bioremediation are addressed, along with the outlook for the role of microorganisms in the process, the aim to identify future directions, and the application feasibility of this process. Full article
Show Figures

Figure 1

26 pages, 11246 KB  
Article
Oil-Contaminated Soil Remediation with Biodegradation by Autochthonous Microorganisms and Phytoremediation by Maize (Zea mays)
by Katarzyna Wojtowicz, Teresa Steliga, Piotr Kapusta and Joanna Brzeszcz
Molecules 2023, 28(16), 6104; https://doi.org/10.3390/molecules28166104 - 17 Aug 2023
Cited by 15 | Viewed by 3619
Abstract
Biological methods are currently the most commonly used methods for removing hazardous substances from land. This research work focuses on the remediation of oil-contaminated land. The biodegradation of aliphatic hydrocarbons and PAHs as a result of inoculation with biopreparations B1 and B2 was [...] Read more.
Biological methods are currently the most commonly used methods for removing hazardous substances from land. This research work focuses on the remediation of oil-contaminated land. The biodegradation of aliphatic hydrocarbons and PAHs as a result of inoculation with biopreparations B1 and B2 was investigated. Biopreparation B1 was developed on the basis of autochthonous bacteria, consisting of strains Dietzia sp. IN118, Gordonia sp. IN101, Mycolicibacterium frederiksbergense IN53, Rhodococcus erythropolis IN119, Rhodococcus globerulus IN113 and Raoultella sp. IN109, whereas biopreparation B2 was enriched with fungi, such as Aspergillus sydowii, Aspergillus versicolor, Candida sp., Cladosporium halotolerans, Penicillium chrysogenum. As a result of biodegradation tests conducted under ex situ conditions for soil inoculated with biopreparation B1, the concentrations of TPH and PAH were reduced by 31.85% and 27.41%, respectively. Soil inoculation with biopreparation B2 turned out to be more effective, as a result of which the concentration of TPH was reduced by 41.67% and PAH by 34.73%. Another issue was the phytoremediation of the pre-treated G6-3B2 soil with the use of Zea mays. The tests were carried out in three systems (system 1—soil G6-3B2 + Zea mays; system 2—soil G6-3B2 + biopreparation B2 + Zea mays; system 3—soil G6-3B2 + biopreparation B2 with γ-PGA + Zea mays) for 6 months. The highest degree of TPH and PAH reduction was obtained in system 3, amounting to 65.35% and 60.80%, respectively. The lowest phytoremediation efficiency was recorded in the non-inoculated system 1, where the concentration of TPH was reduced by 22.80% and PAH by 18.48%. Toxicological tests carried out using PhytotoxkitTM, OstracodtoxkitTM and Microtox® Solid Phase tests confirmed the effectiveness of remediation procedures and showed a correlation between the concentration of petroleum hydrocarbons in the soil and its toxicity. The results obtained during the research indicate the great potential of bioremediation practices with the use of microbial biopreparations and Zea mays in the treatment of soils contaminated with petroleum hydrocarbons. Full article
(This article belongs to the Special Issue Power of Microbes in Pollutant Degradation)
Show Figures

Figure 1

14 pages, 1976 KB  
Article
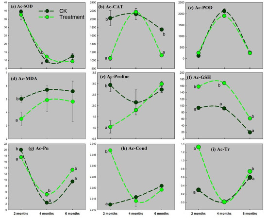
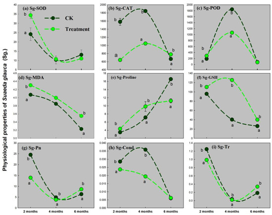
Phytoremediation Potential and Physiological Mechanisms Underlying Metallic Extraction of Suaeda glauca, Artemisia desertorum, and Atriplex canescens
by Changming Li, Tianpeng Gao, Xueying Wang, Shipeng Qu, Yingli Yang, Mingbo Zuo, Juan Wang, Haoming Wang, Guixiang Zhou and Yubing Liu
Int. J. Environ. Res. Public Health 2022, 19(23), 16035; https://doi.org/10.3390/ijerph192316035 - 30 Nov 2022
Cited by 4 | Viewed by 2165
Abstract
Mining activities have led to serious environmental (soil erosion, degradation of vegetation, and groundwater contamination) and human health (musculoskeletal problems, diarrheal conditions, and chronic diseases) issues at desert mining areas in northwest China. Native plant species grown naturally in desert regions show a [...] Read more.
Mining activities have led to serious environmental (soil erosion, degradation of vegetation, and groundwater contamination) and human health (musculoskeletal problems, diarrheal conditions, and chronic diseases) issues at desert mining areas in northwest China. Native plant species grown naturally in desert regions show a unique tolerance to arid and semiarid conditions and are potential candidates for soil phytoremediation. Here, an ex situ experiment involving pot planting of seedlings of three native plant species (Suaeda glauca, Artemisia desertorum, and Atriplex canescens) was designed to explore their phytoremediation potential and the underlying physiological mechanism. For Zn and Cu, the three plants were all with a biological accumulation coefficient (BAC) greater than 1. For Cd, Ni, and Pb, Atriplex canescens had the highest bioaccumulation concentrations (521.52, 862.23, and 1734.59 mg/kg), with BAC values (1.06, 1.30, 1.25) greater than 1, which indicates that Atriplex canescens could be a broad-spectrum metal extraction plant. Physiological analysis (antioxidation, extracellular secretions, photosynthesis, and hydraulics) showed that the three desert plants exploited their unique strategy to protect against the stress of complex metals in soils. Moreover, the second growing period was the main heavy metal accumulation and extraction stage concomitant with highest water use efficiency (iWUE). Taken together, the three desert plants exhibited the potent heavy metal extraction ability and physiological and ecological adaptability to a harsh polluted environment in arid desert areas, providing potential resources for the bioremediation of metal-contaminated soils in an arid and semiarid desert environment. Full article
Show Figures

Figure 1

24 pages, 1283 KB  
Review
Recent Strategies for Bioremediation of Emerging Pollutants: A Review for a Green and Sustainable Environment
by Saroj Bala, Diksha Garg, Banjagere Veerabhadrappa Thirumalesh, Minaxi Sharma, Kandi Sridhar, Baskaran Stephen Inbaraj and Manikant Tripathi
Toxics 2022, 10(8), 484; https://doi.org/10.3390/toxics10080484 - 19 Aug 2022
Cited by 488 | Viewed by 39553
Abstract
Environmental pollution brought on by xenobiotics and other related recalcitrant compounds have recently been identified as a major risk to both human health and the natural environment. Due to their toxicity and non-biodegradability, a wide range of pollutants, such as heavy metals, polychlorinated [...] Read more.
Environmental pollution brought on by xenobiotics and other related recalcitrant compounds have recently been identified as a major risk to both human health and the natural environment. Due to their toxicity and non-biodegradability, a wide range of pollutants, such as heavy metals, polychlorinated biphenyls, plastics, and various agrochemicals are present in the environment. Bioremediation is an effective cleaning technique for removing toxic waste from polluted environments that is gaining popularity. Various microorganisms, including aerobes and anaerobes, are used in bioremediation to treat contaminated sites. Microorganisms play a major role in bioremediation, given that it is a process in which hazardous wastes and pollutants are eliminated, degraded, detoxified, and immobilized. Pollutants are degraded and converted to less toxic forms, which is a primary goal of bioremediation. Ex situ or in situ bioremediation can be used, depending on a variety of factors, such as cost, pollutant types, and concentration. As a result, a suitable bioremediation method has been chosen. This review focuses on the most recent developments in bioremediation techniques, how microorganisms break down different pollutants, and what the future holds for bioremediation in order to reduce the amount of pollution in the world. Full article
Show Figures

Figure 1

13 pages, 1057 KB  
Article
Experimental Investigation of a Pilot-Scale Concerning Ex-Situ Bioremediation of Petroleum Hydrocarbons Contaminated Soils
by Valer Micle and Ioana Monica Sur
Sustainability 2021, 13(15), 8165; https://doi.org/10.3390/su13158165 - 21 Jul 2021
Cited by 6 | Viewed by 3686
Abstract
The soil samples were taken from the site of a former oil products depot from an industrial area (Romania). The soil samples taken were analyzed from a physical and chemical point of view: texture, pH, soil micronutrient content, metals concentration and petroleum hydrocarbon [...] Read more.
The soil samples were taken from the site of a former oil products depot from an industrial area (Romania). The soil samples taken were analyzed from a physical and chemical point of view: texture, pH, soil micronutrient content, metals concentration and petroleum hydrocarbon concentration (PHCs). The soil contaminated with total petroleum hydrocarbon (TPH (4280 mg kg−1) was disposed in the form of a pile (L × W × H: 3000 × 1400 × 500 mm). Experiments on a pilot-scale were conducted over 12 weeks at constant pH (7.5–8), temperature (22–32 °C), nutrient contents C/N/P ratio 100/10/1, soil aeration time (8 h/day) and moisture (30%). Samples were taken every two weeks for the monitoring of the TPH and the microorganisms content. During the experiment, microorganisms were added (Pseudomonas and Bacillus) every two weeks. Results of the analyses regarding the concentration of PHCs were revealed a linear decrease of the concentration of PHCs after only two weeks of treatment. This decrease in concentration was also achieved in the following weeks. Following the analysis performed on the model at the pilot scale regarding the depollution process, it can be concluded that a soil contaminated with petroleum hydrocarbons can be efficiently depolluted by performing an aeration of 8 h/day, adding microorganisms Pseudomonas and Bacillus to ensure the conditions for increasing in the total number of germs (colony forming units–CFU) from 151 × 105 to 213 × 107 CFU g−1 soil, after 12 weeks of soil treatment—the depollution efficiency achieved is 83%. Full article
(This article belongs to the Collection Circular Economy and Sustainable Strategies)
Show Figures

Figure 1

29 pages, 4503 KB  
Article
Assessment of the Suitability of Melilotus officinalis for Phytoremediation of Soil Contaminated with Petroleum Hydrocarbons (TPH and PAH), Zn, Pb and Cd Based on Toxicological Tests
by Teresa Steliga and Dorota Kluk
Toxics 2021, 9(7), 148; https://doi.org/10.3390/toxics9070148 - 25 Jun 2021
Cited by 31 | Viewed by 4490
Abstract
The article presents issues related to the possibility of using toxicological tests as a tool to monitor the progress of soil treatment contaminated with petroleum substances (TPH, PAH), Zn, Pb and Cd in bio-phytoremediation processes. In order to reduce the high content of [...] Read more.
The article presents issues related to the possibility of using toxicological tests as a tool to monitor the progress of soil treatment contaminated with petroleum substances (TPH, PAH), Zn, Pb and Cd in bio-phytoremediation processes. In order to reduce the high content of petroleum pollutants (TPH = 56,371 mg kg−1 dry mass, PAH = 139.3 mg kg−1 dry mass), the technology of stepwise soil treatment was applied, including basic bioremediation and inoculation with biopreparations based of indigenous non-pathogenic species of bacteria, fungi and yeasts. As a result of basic bioremediation in laboratory conditions (ex-situ method), the reduction of petroleum pollutants TPH by 33.9% and PAH by 9.5% was achieved. The introduction of inoculation with biopraparation-1 prepared on the basis of non-pathogenic species of indigenous bacteria made it possible to reduce the TPH content by 86.3%, PAH by 40.3%. The use of a biopreparation-1 enriched with indigenous non-pathogenic species of fungi and yeasts in the third series of inoculation increased to an increase in the degree of biodegradation of aliphatic hydrocarbons with long carbon chains and PAH by a further 28.9%. In the next stage of soil treatment after biodegradation processes, which was characterized by an increased content of heavy metals (Zn, Pb, Cd) and naphthalene, chrysene, benzo(a)anthracene and benzo(ghi)perylene belonging to polycyclic aromatic hydrocarbons, phytoremediation with the use of Melilotus officinalis was applied. After the six-month phytoremediation process, the following was achieved: Zn content by 25.1%, Pb by 27.9%, Cd by 23.2% and TPH by 42.2% and PAH by 49.9%. The rate of removal of individual groups of hydrocarbons was in the decreasing order: C12–C18 > C6–C12 > C18–C25 > C25–C36. PAHs tended to be removed in the following order: chrysene > naphthalene > benzo(a)anthracene > benzo(ghi)perylene. The TF and BCF coefficients were calculated to assess the capacity of M. officinalis to accumulate metal in tissues, uptake from soil and transfer from roots to shoots. The values of TF translocation coefficients were, respectively, for Zn (0.44), Pb (0.12), Cd (0.40). The calculated BCF concentration factors (BCFroots > BCFshoots) show that heavy metals taken up by M. officinalis are mainly accumulated in the root tissues in the following order Zn > Pb > Cd, revealing a poor metal translocation from the root to the shoots. This process was carried out in laboratory conditions for a period of 6 months. The process of phytoremediation of contaminated soil using M. officinalis assisted with fertilization was monitored by means of toxicological tests: Microtox, Ostracodtoxkit FTM, MARA and PhytotoxkitTM. The performed phytotoxicity tests have indicated variable sensitivity of the tested plants on contaminants occurring in the studied soils, following the sequence: Lepidium sativum < Sorghum saccharatum < Sinapis alba. The sensitivity of toxicological tests was comparable and increased in the order: MARA < Ostracodtoxkit FTM < Microtox. The results of the toxicological monitoring as a function of the time of soil treatment, together with chemical analyses determining the content of toxicants in soil and biomass M. officinalis, clearly confirmed the effectiveness of the applied concept of bioremediation of soils contaminated with zinc, lead and cadmium in the presence of petroleum hydrocarbons. Full article
(This article belongs to the Special Issue Heavy Metal Toxicity Effects on Plants)
Show Figures

Figure 1

29 pages, 3675 KB  
Review
Bibliometric Analysis of Hydrocarbon Bioremediation in Cold Regions and a Review on Enhanced Soil Bioremediation
by How Swen Yap, Nur Nadhirah Zakaria, Azham Zulkharnain, Suriana Sabri, Claudio Gomez-Fuentes and Siti Aqlima Ahmad
Biology 2021, 10(5), 354; https://doi.org/10.3390/biology10050354 - 22 Apr 2021
Cited by 39 | Viewed by 6699
Abstract
The increased usage of petroleum oils in cold regions has led to widespread oil pollutants in soils. The harsh environmental conditions in cold environments allow the persistence of these oil pollutants in soils for more than 20 years, raising adverse threats to the [...] Read more.
The increased usage of petroleum oils in cold regions has led to widespread oil pollutants in soils. The harsh environmental conditions in cold environments allow the persistence of these oil pollutants in soils for more than 20 years, raising adverse threats to the ecosystem. Microbial bioremediation was proposed and employed as a cost-effective tool to remediate petroleum hydrocarbons present in soils without significantly posing harmful side effects. However, the conventional hydrocarbon bioremediation requires a longer time to achieve the clean-up standard due to various environmental factors in cold regions. Recent biotechnological improvements using biostimulation and/or bioaugmentation strategies are reported and implemented to enhance the hydrocarbon removal efficiency under cold conditions. Thus, this review focuses on the enhanced bioremediation for hydrocarbon-polluted soils in cold regions, highlighting in situ and ex situ approaches and few potential enhancements via the exploitation of molecular and microbial technology in response to the cold condition. The bibliometric analysis of the hydrocarbon bioremediation research in cold regions is also presented. Full article
(This article belongs to the Section Biotechnology)
Show Figures

Figure 1

13 pages, 2315 KB  
Article
Multi-Walled Carbon Nanotubes Enhance Methanogenesis from Diverse Organic Compounds in Anaerobic Sludge and River Sediments
by Ana J. Cavaleiro, Andreia F. Salvador, Gilberto Martins, Cláudia C. Oliveira, Yuchen Liu, Valdo R. Martins, Ana Rita Castro, Olívia Salomé G. P. Soares, Manuel Fernando R. Pereira, Luciana Pereira, Alette A. M. Langenhoff, Maria Alcina Pereira and M. Madalena Alves
Appl. Sci. 2020, 10(22), 8184; https://doi.org/10.3390/app10228184 - 19 Nov 2020
Cited by 11 | Viewed by 3287
Abstract
Conductive nanomaterials affect anaerobic digestion (AD) processes usually by improving methane production. Nevertheless, their effect on anaerobic communities, and particularly on specific trophic groups such as syntrophic bacteria or methanogens, is not extensively reported. In this work, we evaluate the effect of multi-walled [...] Read more.
Conductive nanomaterials affect anaerobic digestion (AD) processes usually by improving methane production. Nevertheless, their effect on anaerobic communities, and particularly on specific trophic groups such as syntrophic bacteria or methanogens, is not extensively reported. In this work, we evaluate the effect of multi-walled carbon nanotubes (MWCNT) on the activity of two different anaerobic microbial communities: an anaerobic sludge and a river sediment. Methane production by anaerobic sludge was assessed in the presence of different MWCNT concentrations, with direct methanogenic substrates (acetate, hydrogen) and with typical syntrophic substrates (ethanol, butyrate). MWCNT accelerated the initial specific methane production rate (SMPR) from all compounds, with a more pronounced effect on the assays with acetate and butyrate, i.e., 2.1 and 2.6 times, respectively. In the incubations with hydrogen and ethanol, SMPR increased 1.1 and 1.2 times. Experiments with the river sediment were performed in the presence of MWCNT and MWCNT impregnated with 2% iron (MWCNT-Fe). Cumulative methane production was 10.2 and 4.5 times higher in the assays with MWCNT-Fe and MWCNT, respectively, than in the assays without MWCNT. This shows the high potential of MWCNT toward bioenergy production, in waste/wastewater treatment or ex situ bioremediation in anaerobic digesters. Full article
(This article belongs to the Special Issue Intensified Conversion of Organic Waste into Biogas)
Show Figures

Graphical abstract

25 pages, 3931 KB  
Review
Soil Bioremediation: Overview of Technologies and Trends
by Israel Gonçalves Sales da Silva, Fabíola Carolina Gomes de Almeida, Nathália Maria Padilha da Rocha e Silva, Alessandro Alberto Casazza, Attilio Converti and Leonie Asfora Sarubbo
Energies 2020, 13(18), 4664; https://doi.org/10.3390/en13184664 - 8 Sep 2020
Cited by 177 | Viewed by 30408
Abstract
Petroleum hydrocarbons, heavy metals and agricultural pesticides have mutagenic, carcinogenic, immunotoxic and teratogenic effects and cause drastic changes in soil physicochemical and microbiological characteristics, thereby representing a serious danger to health and environment. Therefore, soil pollution urgently requires the application of a series [...] Read more.
Petroleum hydrocarbons, heavy metals and agricultural pesticides have mutagenic, carcinogenic, immunotoxic and teratogenic effects and cause drastic changes in soil physicochemical and microbiological characteristics, thereby representing a serious danger to health and environment. Therefore, soil pollution urgently requires the application of a series of physicochemical and biological techniques and treatments to minimize the extent of damage. Among them, bioremediation has been shown to be an alternative that can offer an economically viable way to restore polluted areas. Due to the difficulty in choosing the best bioremediation technique for each type of pollutant and the paucity of literature on soil bioremediation enhanced by the use of specific additives, we reviewed the main in situ and ex situ methods, their current properties and applications. The first section discusses the characteristics of each class of pollutants in detail, while the second section presents current bioremediation technologies and their main uses, followed by a comparative analysis showing their respective advantages and disadvantages. Finally, we address the application of surfactants and biosurfactants as well as the main trends in the bioremediation of contaminated soils. Full article
(This article belongs to the Special Issue Environmental and Energetic Valorization of Renewable Resources)
Show Figures

Graphical abstract

17 pages, 2721 KB  
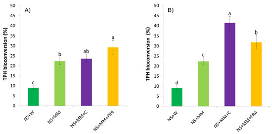
Article
Intensification of Ex Situ Bioremediation of Soils Polluted with Used Lubricant Oils: A Comparison of Biostimulation and Bioaugmentation with a Special Focus on the Type and Size of the Inoculum
by Attila Bodor, Péter Petrovszki, Ágnes Erdeiné Kis, György Erik Vincze, Krisztián Laczi, Naila Bounedjoum, Árpád Szilágyi, Balázs Szalontai, Gábor Feigl, Kornél L. Kovács, Gábor Rákhely and Katalin Perei
Int. J. Environ. Res. Public Health 2020, 17(11), 4106; https://doi.org/10.3390/ijerph17114106 - 9 Jun 2020
Cited by 24 | Viewed by 5114
Abstract
Used lubricant oils (ULOs) strongly bind to soil particles and cause persistent pollution. In this study, soil microcosm experiments were conducted to model the ex situ bioremediation of a long term ULO-polluted area. Biostimulation and various inoculation levels of bioaugmentation were applied to [...] Read more.
Used lubricant oils (ULOs) strongly bind to soil particles and cause persistent pollution. In this study, soil microcosm experiments were conducted to model the ex situ bioremediation of a long term ULO-polluted area. Biostimulation and various inoculation levels of bioaugmentation were applied to determine the efficacy of total petrol hydrocarbon (TPH) removal. ULO-contaminated soil microcosms were monitored for microbial respiration, colony-forming units (CFUs) and TPH bioconversion. Biostimulation with inorganic nutrients was responsible for 22% of ULO removal after 40 days. Bioaugmentation using two hydrocarbon-degrader strains: Rhodococcus quingshengii KAG C and Rhodococcus erythropolis PR4 at a small inoculum size (107 CFUs g−1 soil), reduced initial TPH concentration by 24% and 29%, respectively; the application of a higher inoculum size (109 CFUs g−1 soil) led to 41% and 32% bioconversion, respectively. After 20 days, all augmented CFUs decreased to the same level as measured in the biostimulated cases, substantiating the challenge for the newly introduced hydrocarbon-degrading strains to cope with environmental stressors. Our results not only highlight that an increased number of degrader cells does not always correlate with enhanced TPH bioconversion, but they also indicate that biostimulation might be an economical solution to promote ULO biodegradation in long term contaminated soils. Full article
(This article belongs to the Section Environmental Remediation and Management)
Show Figures

Figure 1

20 pages, 1051 KB  
Review
Bioremediation of PAH-Contaminated Soils: Process Enhancement through Composting/Compost
by Tahseen Sayara and Antoni Sánchez
Appl. Sci. 2020, 10(11), 3684; https://doi.org/10.3390/app10113684 - 26 May 2020
Cited by 70 | Viewed by 8938
Abstract
Bioremediation of contaminated soils has gained increasing interest in recent years as a low-cost and environmentally friendly technology to clean soils polluted with anthropogenic contaminants. However, some organic pollutants in soil have a low biodegradability or are not bioavailable, which hampers the use [...] Read more.
Bioremediation of contaminated soils has gained increasing interest in recent years as a low-cost and environmentally friendly technology to clean soils polluted with anthropogenic contaminants. However, some organic pollutants in soil have a low biodegradability or are not bioavailable, which hampers the use of bioremediation for their removal. This is the case of polycyclic aromatic hydrocarbons (PAHs), which normally are stable and hydrophobic chemical structures. In this review, several approaches for the decontamination of PAH-polluted soil are presented and discussed in detail. The use of compost as biostimulation- and bioaugmentation-coupled technologies are described in detail, and some parameters, such as the stability of compost, deserve special attention to obtain better results. Composting as an ex situ technology, with the use of some specific products like surfactants, is also discussed. In summary, the use of compost and composting are promising technologies (in all the approaches presented) for the bioremediation of PAH-contaminated soils. Full article
(This article belongs to the Special Issue Sustainable Agriculture and Soil Conservation)
Show Figures

Figure 1

22 pages, 2687 KB  
Article
Ample Arsenite Bio-Oxidation Activity in Bangladesh Drinking Water Wells: A Bonanza for Bioremediation?
by Zahid Hassan, Munawar Sultana, Sirajul I. Khan, Martin Braster, Wilfred F.M. Röling and Hans V. Westerhoff
Microorganisms 2019, 7(8), 246; https://doi.org/10.3390/microorganisms7080246 - 8 Aug 2019
Cited by 10 | Viewed by 4847
Abstract
Millions of people worldwide are at risk of arsenic poisoning from their drinking water. In Bangladesh the problem extends to rural drinking water wells, where non-biological solutions are not feasible. In serial enrichment cultures of water from various Bangladesh drinking water wells, we [...] Read more.
Millions of people worldwide are at risk of arsenic poisoning from their drinking water. In Bangladesh the problem extends to rural drinking water wells, where non-biological solutions are not feasible. In serial enrichment cultures of water from various Bangladesh drinking water wells, we found transfer-persistent arsenite oxidation activity under four conditions (aerobic/anaerobic; heterotrophic/autotrophic). This suggests that biological decontamination may help ameliorate the problem. The enriched microbial communities were phylogenetically at least as diverse as the unenriched communities: they contained a bonanza of 16S rRNA gene sequences. These related to Hydrogenophaga, Acinetobacter, Dechloromonas, Comamonas, and Rhizobium/Agrobacterium species. In addition, the enriched microbiomes contained genes highly similar to the arsenite oxidase (aioA) gene of chemolithoautotrophic (e.g., Paracoccus sp. SY) and heterotrophic arsenite-oxidizing strains. The enriched cultures also contained aioA phylotypes not detected in the previous survey of uncultivated samples from the same wells. Anaerobic enrichments disclosed a wider diversity of arsenite oxidizing aioA phylotypes than did aerobic enrichments. The cultivatable chemolithoautotrophic and heterotrophic arsenite oxidizers are of great interest for future in or ex-situ arsenic bioremediation technologies for the detoxification of drinking water by oxidizing arsenite to arsenate that should then precipitates with iron oxides. The microbial activities required for such a technology seem present, amplifiable, diverse and hence robust. Full article
(This article belongs to the Special Issue Subsurface Geomicrobiology)
Show Figures

Figure 1

13 pages, 6287 KB  
Article
Bio-Minerals Combined with Bacillus cereus for Enhancing the Nitrogen Removal Efficiency under Aerobic Conditions
by Hyunhee Seo and Yul Roh
Minerals 2018, 8(6), 253; https://doi.org/10.3390/min8060253 - 15 Jun 2018
Cited by 6 | Viewed by 3981
Abstract
Nitrogen compounds such as nitrate, nitrite, and ammonium are among the prolonged contaminants in surface water and groundwater worldwide. In this study, we evaluated nitrogen removal efficiency using the combination of biologically synthesized Pd-FeS and Bacillus cereus in comparison between two batch reactors, [...] Read more.
Nitrogen compounds such as nitrate, nitrite, and ammonium are among the prolonged contaminants in surface water and groundwater worldwide. In this study, we evaluated nitrogen removal efficiency using the combination of biologically synthesized Pd-FeS and Bacillus cereus in comparison between two batch reactors, one with a single nitrate (NO3–N) and the other with a mixed nitrogen (NO3–N + NO2–N + NH4+–N) under aerobic conditions. The removal efficiency of NO3–N by bio-Pd-FeS + Bacillus cereus in a single nitrate reactor showed 100% with a low production (ca. 10%) of NO2–N and NH4+–N for 5 days and this combination was three-fold more effective than a single application of bio-Pd-FeS and Bacillus cereus respectively. Also, bio-Pd-FeS + Bacillus cereus in the mixed nitrogen (NO3–N + NO2–N + NH4+–N) removed 95% NO3–N, 20% NO2–N, and 35% NH4+–N, respectively. Since iron and sulfur-based bio-minerals could be reusable in a reducing condition of in-situ and in an oxygen-limited closed condition of ex-situ applications, the results suggested that the combination should get more attention for an efficient eco-friendly sustainable bioremediation technology. Full article
(This article belongs to the Section Environmental Mineralogy and Biogeochemistry)
Show Figures

Figure 1

Back to TopTop