Intensification of Ex Situ Bioremediation of Soils Polluted with Used Lubricant Oils: A Comparison of Biostimulation and Bioaugmentation with a Special Focus on the Type and Size of the Inoculum
Abstract
1. Introduction
2. Materials and Methods
2.1. Chemicals
2.2. Soil Sampling and Physicochemical Characterization
2.3. Chemical Characterization of Lubricants
2.4. Bacterial Strains
2.5. Lubricant Oil Biodegradation Tests
2.6. Preparation of Soil Microcosms
2.7. Microbial Respiration Monitoring
2.8. Enumeration of Aerobic Heterotrophic Bacteria in Soil Microcosms
2.9. Determination of Hydrocarbon Bioconversion in Soil Microcosms
2.10. Statistical Analysis
3. Results and Discussion
3.1. Soil Characteristics
3.1.1. Uncontaminated Soil
3.1.2. Used Lubricant Oil-Contaminated Soil
3.2. Lubricant Oil Characteristics
3.3. Strain Characterization and Identification
3.4. Soil Microcosm Experiments
3.4.1. Microbial Respiration and Cell Counts
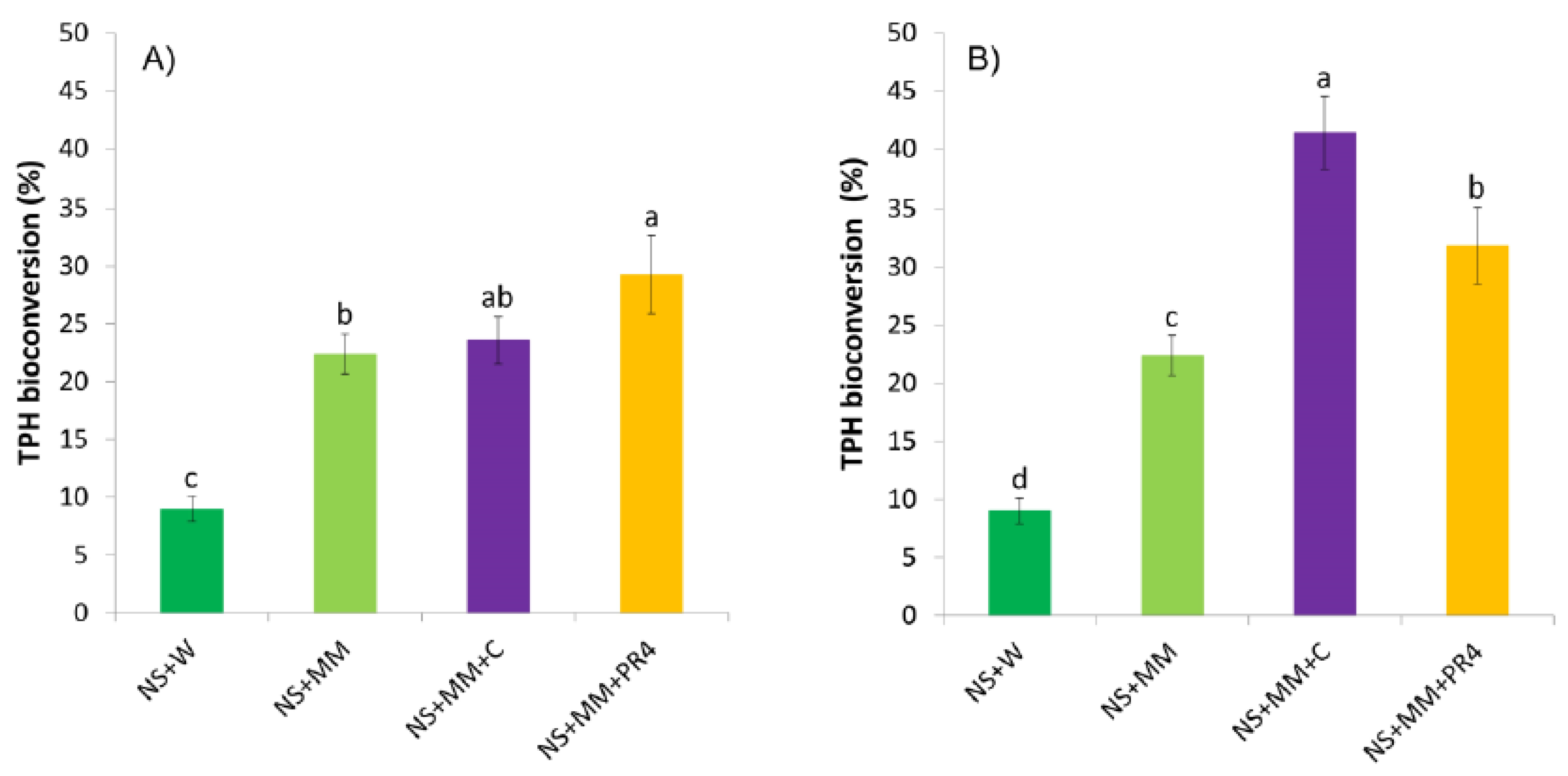
3.4.2. Bioconversion of Hydrocarbons
4. Conclusions
Supplementary Materials
Author Contributions
Funding
Acknowledgments
Conflicts of Interest
References
- Pinheiro, C.T.; Rendall, R.; Quina, M.J.; Reis, M.S.; Gando-Ferreira, L.M. Assessment and Prediction of Lubricant Oil Properties Using Infrared Spectroscopy and Advanced Predictive Analytics. Energy Fuels 2017, 31, 179–187. [Google Scholar] [CrossRef]
- Mang, T.; Gosalia, A. Lubricants and Their Market. In Lubricants and Lubrication; Wiley-VCH Verlag GmbH & Co. KGaA: Weinheim, Germany, 2017; pp. 1–10. [Google Scholar]
- Pinheiro, C.T.; Ascensão, V.R.; Cardoso, C.M.; Quina, M.J.; Gando-Ferreira, L.M. An overview of waste lubricant oil management system: Physicochemical characterization contribution for its improvement. J. Clean. Prod. 2017, 150, 301–308. [Google Scholar] [CrossRef]
- Zimmermann, T.; Jepsen, D. A framework for calculating waste oil flows in the EU and beyond−the cases of Germany and Belgium 2015. Resour. Conserv. Recycl. 2018, 134, 315–328. [Google Scholar] [CrossRef]
- Nowak, P.; Kucharska, K.; Kamiński, M. Ecological and Health Effects of Lubricant Oils Emitted into the Environment. Int. J. Environ. Res. Public Health 2019, 16, 3002. [Google Scholar] [CrossRef]
- Luther, R. Lubricants in the Environment. In Lubricants and Lubrication; Wiley-VCH Verlag GmbH & Co. KGaA: Weinheim, Germany, 2017; pp. 153–236. [Google Scholar]
- Paria, S. Surfactant-enhanced remediation of organic contaminated soil and water. Adv. Colloid Interface Sci. 2008, 138, 24–58. [Google Scholar] [CrossRef]
- Nwankwegu, A.S.; Li, Y.; Jiang, L.; Lai, Q.; Shenglin, W.; Jin, W.; Acharya, K. Kinetic modelling of total petroleum hydrocarbon in spent lubricating petroleum oil impacted soil under different treatments. Environ. Technol. 2020, 41, 339–348. [Google Scholar] [CrossRef]
- Dash, H.R. Microbial Bioremediation: A Potential Tool for Restoration of Contaminated Areas. Microb. Biodegrad. Bioremediat. 2014, 1–21. [Google Scholar] [CrossRef]
- Khudur, L.S.; Shahsavari, E.; Aburto-Medina, A.; Ball, A.S. A Review on the Bioremediation of Petroleum Hydrocarbons: Current State of the Art. In Microbial Action on Hydrocarbons; Springer: Singapore, 2018; pp. 643–667. [Google Scholar]
- Vidali, M. Bioremediation. An overview. Pure Appl. Chem. 2001, 73, 1163–1172. [Google Scholar] [CrossRef]
- Bharagava, R.N.; Chowdhary, P.; Saxena, G.; Chowdhary, P.; Saxena, G. Bioremediation. In Environmental Pollutants and Their Bioremediation Approaches; CRC Press: Boca Raton, FL, USA; Taylor & Francis: Oxfordshire, UK, 2017; pp. 1–22. [Google Scholar]
- Ławniczak, Ł.; Woźniak-Karczewska, M.; Loibner, A.P.; Heipieper, H.J.; Chrzanowski, Ł. Microbial Degradation of Hydrocarbons—Basic Principles for Bioremediation: A Review. Molecules 2020, 25, 856. [Google Scholar] [CrossRef]
- Rodriguez-Campos, J.; Perales-Garcia, A.; Hernandez-Carballo, J.; Martinez-Rabelo, F.; Hernández-Castellanos, B.; Barois, I.; Contreras-Ramos, S.M. Bioremediation of soil contaminated by hydrocarbons with the combination of three technologies: Bioaugmentation, phytoremediation, and vermiremediation. J. Soils Sediments 2019, 19, 1981–1994. [Google Scholar] [CrossRef]
- Benard, L.D.; Mohd Tuah, P. Bioremediation of Petroleum Hydrocarbons in Seawater: Oil Spill Plume Modelling Approaches. In Microbial Action on Hydrocarbons; Springer: Singapore, 2018; pp. 35–62. [Google Scholar]
- Lim, M.W.; Von Lau, E.; Poh, P.E. A comprehensive guide of remediation technologies for oil contaminated soil—Present works and future directions. Mar. Pollut. Bull. 2016, 109, 14–45. [Google Scholar] [CrossRef] [PubMed]
- Ossai, I.C.; Ahmed, A.; Hassan, A.; Hamid, F.S. Remediation of soil and water contaminated with petroleum hydrocarbon: A review. Environ. Technol. Innov. 2020, 17, 100526. [Google Scholar] [CrossRef]
- Lee, S.-H.; Lee, S.; Kim, D.-Y.; Kim, J. Degradation characteristics of waste lubricants under different nutrient conditions. J. Hazard. Mater. 2007, 143, 65–72. [Google Scholar] [CrossRef] [PubMed]
- Wang, S.-Y.; Kuo, Y.-C.; Hong, A.; Chang, Y.-M.; Kao, C.-M. Bioremediation of diesel and lubricant oil-contaminated soils using enhanced landfarming system. Chemosphere 2016, 164, 558–567. [Google Scholar] [CrossRef] [PubMed]
- Meeboon, N.; Leewis, M.-C.; Kaewsuwan, S.; Maneerat, S.; Leigh, M.B. Changes in bacterial diversity associated with bioremediation of used lubricating oil in tropical soils. Arch. Microbiol. 2017, 199, 839–851. [Google Scholar] [CrossRef] [PubMed]
- Zawierucha, I.; Malina, G. Bioremediation of Contaminated Soils: Effects of Bioaugmentation and Biostimulation on Enhancing Biodegradation of Oil Hydrocarbons. In Bioaugmentation, Biostimulation and Biocontrol; Springer: Berlin/Heidelberg, Germany, 2011; pp. 187–201. [Google Scholar]
- Grace Liu, P.-W.; Chang, T.C.; Whang, L.-M.; Kao, C.-H.; Pan, P.-T.; Cheng, S.-S. Bioremediation of petroleum hydrocarbon contaminated soil: Effects of strategies and microbial community shift. Int. Biodeterior. Biodegrad. 2011, 65, 1119–1127. [Google Scholar] [CrossRef]
- Baoune, H.; Aparicio, J.D.; Pucci, G.; Ould El Hadj-Khelil, A.; Polti, M.A. Bioremediation of petroleum-contaminated soils using Streptomyces sp. Hlh1. J. Soils Sediments 2019, 19, 2222–2230. [Google Scholar] [CrossRef]
- Pacwa-Płociniczak, M.; Czapla, J.; Płociniczak, T.; Piotrowska-Seget, Z. The effect of bioaugmentation of petroleum-contaminated soil with Rhodococcus erythropolis strains on removal of petroleum from soil. Ecotoxicol. Environ. Saf. 2019, 169, 615–622. [Google Scholar] [CrossRef]
- Pacwa-Płociniczak, M.; Płaza, G.A.; Piotrowska-Seget, Z. Monitoring the changes in a bacterial community in petroleum-polluted soil bioaugmented with hydrocarbon-degrading strains. Appl. Soil Ecol. 2016, 105, 76–85. [Google Scholar] [CrossRef]
- Su, X.; Sun, F.; Wang, Y.; Hashmi, M.Z.; Guo, L.; Ding, L.; Shen, C. Identification, characterization and molecular analysis of the viable but nonculturable Rhodococcus biphenylivorans. Sci. Rep. 2015, 5, 18590. [Google Scholar] [CrossRef]
- Mishra, S.; Jyot, J.; Kuhad, R.C.; Lal, B. Evaluation of inoculum addition to stimulate in situ bioremediation of oily-sludge-contaminated soil. Appl. Environ. Microbiol. 2001, 67, 1675–1681. [Google Scholar] [CrossRef] [PubMed]
- Kuppusamy, S.; Palanisami, T.; Megharaj, M.; Venkateswarlu, K.; Naidu, R. In-Situ Remediation Approaches for the Management of Contaminated Sites: A Comprehensive Overview. In Reviews of Environmental Contamination and Toxicology; Springer: Berlin/Heidelberg, Germany, 2016; Volume 236, pp. 1–115. [Google Scholar]
- Megharaj, M.; Ramakrishnan, B.; Venkateswarlu, K.; Sethunathan, N.; Naidu, R. Bioremediation approaches for organic pollutants: A critical perspective. Environ. Int. 2011, 37, 1362–1375. [Google Scholar] [CrossRef] [PubMed]
- Woźniak-Karczewska, M.; Lisiecki, P.; Białas, W.; Owsianiak, M.; Piotrowska-Cyplik, A.; Wolko, Ł.; Ławniczak, Ł.; Heipieper, H.J.; Gutierrez, T.; Chrzanowski, Ł. Effect of bioaugmentation on long-term biodegradation of diesel/biodiesel blends in soil microcosms. Sci. Total Environ. 2019, 671, 948–958. [Google Scholar] [CrossRef]
- Jiang, Y.; Brassington, K.J.; Prpich, G.; Paton, G.I.; Semple, K.T.; Pollard, S.J.T.; Coulon, F. Insights into the biodegradation of weathered hydrocarbons in contaminated soils by bioaugmentation and nutrient stimulation. Chemosphere 2016, 161, 300–307. [Google Scholar] [CrossRef] [PubMed]
- Wu, M.; Ye, X.; Chen, K.; Li, W.; Yuan, J.; Jiang, X. Bacterial community shift and hydrocarbon transformation during bioremediation of short-term petroleum-contaminated soil. Environ. Pollut. 2017, 223, 657–664. [Google Scholar] [CrossRef] [PubMed]
- El Fantroussi, S.; Agathos, S.N. Is bioaugmentation a feasible strategy for pollutant removal and site remediation? Curr. Opin. Microbiol. 2005, 8, 268–275. [Google Scholar] [CrossRef]
- Wu, M.; Dick, W.A.; Li, W.; Wang, X.; Yang, Q.; Wang, T.; Xu, L.; Zhang, M.; Chen, L. Bioaugmentation and biostimulation of hydrocarbon degradation and the microbial community in a petroleum-contaminated soil. Int. Biodeterior. Biodegrad. 2016, 107, 158–164. [Google Scholar] [CrossRef]
- Radwan, S.S.; Al-Mailem, D.M.; Kansour, M.K. Bioaugmentation failed to enhance oil bioremediation in three soil samples from three different continents. Sci. Rep. 2019, 9, 1–11. [Google Scholar] [CrossRef]
- Lin, T.-C.; Pan, P.-T.; Cheng, S.-S. Ex situ bioremediation of oil-contaminated soil. J. Hazard. Mater. 2010, 176, 27–34. [Google Scholar] [CrossRef]
- Comeau, Y.; Greer, C.; Samson, R. Role of inoculum preparation and density on the bioremediation of 2,4-D-contaminated soil by bioaugmentation. Appl. Microbiol. Biotechnol. 1993, 38, 681–687. [Google Scholar] [CrossRef]
- Xu, Y.; Lu, M. Bioremediation of crude oil-contaminated soil: Comparison of different biostimulation and bioaugmentation treatments. J. Hazard. Mater. 2010, 183, 395–401. [Google Scholar] [CrossRef] [PubMed]
- Roy, A.; Dutta, A.; Pal, S.; Gupta, A.; Sarkar, J.; Chatterjee, A.; Saha, A.; Sarkar, P.; Sar, P.; Kazy, S.K. Biostimulation and bioaugmentation of native microbial community accelerated bioremediation of oil refinery sludge. Bioresour. Technol. 2018, 253, 22–32. [Google Scholar] [CrossRef] [PubMed]
- Suja, F.; Rahim, F.; Taha, M.R.; Hambali, N.; Rizal Razali, M.; Khalid, A.; Hamzah, A. Effects of local microbial bioaugmentation and biostimulation on the bioremediation of total petroleum hydrocarbons (TPH) in crude oil contaminated soil based on laboratory and field observations. Int. Biodeterior. Biodegrad. 2014, 90, 115–122. [Google Scholar] [CrossRef]
- Ramadass, K.; Megharaj, M.; Venkateswarlu, K.; Naidu, R. Bioavailability of weathered hydrocarbons in engine oil-contaminated soil: Impact of bioaugmentation mediated by Pseudomonas spp. on bioremediation. Sci. Total Environ. 2018, 636, 968–974. [Google Scholar] [CrossRef]
- Wu, M.; Li, W.; Dick, W.A.; Ye, X.; Chen, K.; Kost, D.; Chen, L. Bioremediation of hydrocarbon degradation in a petroleum-contaminated soil and microbial population and activity determination. Chemosphere 2017, 169, 124–130. [Google Scholar] [CrossRef] [PubMed]
- Mezősi, G. Soils of Hungary. In The Physical Geography of Hungary; Springer: Cham, Switzerland, 2017; pp. 165–174. [Google Scholar]
- Gangwar, R.K.; Makádi, M.; Fuchs, M.; Csorba, Á.; Michéli, E.; Demeter, I.; Táncsics, A.; Szegi, T. Talajmikrobiológiai paraméterek változása szántóként és rétként hasznosított réti szolonyec talajokban. Agrokém. Talajt. 2019, 68, 155–175. [Google Scholar] [CrossRef]
- Buzás, I.; Bálint, S.; Füleky, G.; Győri, D.; Hargitai, L.; Kardos, J.; Lukács, A.; Molnár, E.; Murányi, A.; Osztoics, A.; et al. Talaj-és Agrokémiai Vizsgálati Módszerkönyv 2; Buzás, I., Ed.; Mezőgazdasági Kiadó: Budapest, Hungary, 1988; ISBN 9632326571. [Google Scholar]
- Stefanovits, P.; Filep, G.; Füleky, G. Talajtan; Mezőgazda Kiadó: Budapest, Hungary, 1999; ISBN 9632861787. [Google Scholar]
- Naeth, M.A.; Bailey, A.W.; Chanasyk, D.S.; Pluth, D.J. Water Holding Capacity of Litter and Soil Organic Matter in Mixed Prairie and Fescue Grassland Ecosystems of Alberta. J. Range Manag. 1991, 44, 13. [Google Scholar] [CrossRef]
- Heiri, O.; Lotter, A.F.; Lemcke, G. Loss on ignition as a method for estimating organic and carbonate content in sediments: Reproducibility and comparability of results. J. Paleolimnol. 2001, 25, 101–110. [Google Scholar] [CrossRef]
- Kakuk, B.; Kovács, K.L.; Szuhaj, M.; Rákhely, G.; Bagi, Z. Adaptation of continuous biogas reactors operating under wet fermentation conditions to dry conditions with corn stover as substrate. Anaerobe 2017, 46, 78–85. [Google Scholar] [CrossRef]
- Franson, M.A.H. Vanadomolybdophosphoric acid colorimetric method. In Standard Methods for the Examination of Water and Wastewater; Clesceri, L.S., Greenberg, A.E., Eaton, A.D., Eds.; American Public Health Association: Washington, DC, USA, 1999; pp. 476–478. ISBN 0875532357. [Google Scholar]
- Kovacs, B.; Saftics, A.; Biro, A.; Kurunczi, S.; Szalontai, B.; Kakasi, B.; Vonderviszt, F.; Der, A.; Horvath, R. Kinetics and Structure of Self-Assembled Flagellin Monolayers on Hydrophobic Surfaces in the Presence of Hofmeister Salts: Experimental Measurement of the Protein Interfacial Tension at the Nanometer Scale. J. Phys. Chem. C 2018, 122, 21375–21386. [Google Scholar] [CrossRef]
- Komukai-Nakamura, S.; Sugiura, K.; Yamauchi-Inomata, Y.; Toki, H.; Venkateswaran, K.; Yamamoto, S.; Tanaka, H.; Harayama, S. Construction of bacterial consortia that degrade Arabian light crude oil. J. Ferment. Bioeng. 1996, 82, 570–574. [Google Scholar] [CrossRef]
- Kis, Á.; Laczi, K.; Zsíros, S.; Rákhely, G.; Perei, K. Biodegradation of animal fats and vegetable oils by Rhodococcus erythropolis PR4. Int. Biodeterior. Biodegrad. 2015, 105, 114–119. [Google Scholar] [CrossRef]
- Laczi, K.; Kis, Á.; Horváth, B.; Maróti, G.; Hegedüs, B.; Perei, K.; Rákhely, G. Metabolic responses of Rhodococcus erythropolis PR4 grown on diesel oil and various hydrocarbons. Appl. Microbiol. Biotechnol. 2015, 99, 9745–9759. [Google Scholar] [CrossRef] [PubMed]
- Cowan, S.T.; Steel, K.J.; Barrow, G.I.; Feltham, R.K.A. Cowan and Steel’s Manual for the Identification of Medical Bacteria; Cambridge University Press: Cambridge, UK, 1993; ISBN 0521543282. [Google Scholar]
- Dastager, S.G.; Mawlankar, R.; Tang, S.K.; Krishnamurthi, S.; Venkata Ramana, V.; Joseph, N.; Shouche, Y.S. Rhodococcus enclensis sp. nov., a novel member of the genus Rhodococcus. Int. J. Syst. Evol. Microbiol. 2014, 64, 2693–2699. [Google Scholar] [CrossRef] [PubMed]
- Ghorbannezhad, H.; Moghimi, H.; Dastgheib, S.M.M. Evaluation of heavy petroleum degradation using bacterial-fungal mixed cultures. Ecotoxicol. Environ. Saf. 2018, 164, 434–439. [Google Scholar] [CrossRef] [PubMed]
- Taccari, M.; Milanovic, V.; Comitini, F.; Casucci, C.; Ciani, M. Effects of biostimulation and bioaugmentation on diesel removal and bacterial community. Int. Biodeterior. Biodegrad. 2012, 66, 39–46. [Google Scholar] [CrossRef]
- Tsuboi, S.; Yamamura, S.; Nakajima-Kambe, T.; Iwasaki, K. Diversity of alkane hydroxylase genes on the rhizoplane of grasses planted in petroleum-contaminated soils. Springerplus 2015, 4, 526. [Google Scholar] [CrossRef]
- Barwick, V.J.; Ellison, S.L.R.; Rafferty, M.J.Q.; Farrant, T.J. Evaluation of Carbon Disulfide as an Alternative to Carbon Tetrachloride for the Determination of Hydrocarbon Oils in Water by Infra-Red Spectrophotometry. Int. J. Environ. Anal. Chem. 1998, 72, 235–246. [Google Scholar] [CrossRef]
- Easton, Z.M.; Bock, E. Soil and Soil Water Relationships; Virginia Cooperative Extension: Blacksburg, VA, USA, 2016. [Google Scholar]
- Grace Liu, P.-W.; Chang, T.C.; Chen, C.-H.; Wang, M.-Z.; Hsu, H.-W. Effects of soil organic matter and bacterial community shift on bioremediation of diesel-contaminated soil. Int. Biodeterior. Biodegrad. 2013, 85, 661–670. [Google Scholar] [CrossRef]
- Haghollahi, A.; Fazaelipoor, M.H.; Schaffie, M. The effect of soil type on the bioremediation of petroleum contaminated soils. J. Environ. Manag. 2016, 180, 197–201. [Google Scholar] [CrossRef]
- Kocsis, K.; Horváth, G.; Keresztesi, Z.; Nemerkényi, Z. (Eds.) National Atlas of Hungary: Natural Environment; MTA CSFK Geographical Institute: Budapest, Hungary, 2018; ISBN 9789639545564. [Google Scholar]
- Simons, W.W. The Sadtler Handbook of Infrared Spectra; Sadtler Research Laboratories: Philadelphia, PA, USA, 1978; ISBN 0845600346. [Google Scholar]
- Nakanishi, K.; Solomon, P.H. Infrared Absorption Spectroscopy; Emerson-Adams Press: Boca Raton, FL, USA, 1977; ISBN 1892803003. [Google Scholar]
- Nespeca, M.G.; Piassalonga, G.B.; de Oliveira, J.E. Infrared spectroscopy and multivariate methods as a tool for identification and quantification of fuels and lubricant oils in soil. Environ. Monit. Assess. 2018, 190, 72. [Google Scholar] [CrossRef] [PubMed]
- Sigma-Aldrich, IR Spectrum Table & Chart. Available online: https://www.sigmaaldrich.com/technical-documents/articles/biology/ir-spectrum-table.html (accessed on 22 October 2019).
- Kupareva, A.; Mäki-Arvela, P.; Grénman, H.; Eränen, K.; Sjöholm, R.; Reunanen, M.; Murzin, D.Y. Chemical Characterization of Lube Oils. Energy Fuels 2013, 27, 27–34. [Google Scholar] [CrossRef]
- Zięba-Palus, J.; Kościelniak, P.; Łącki, M. Differentiation of used motor oils on the basis of their IR spectra with application of cluster analysis. J. Mol. Struct. 2001, 596, 221–228. [Google Scholar] [CrossRef]
- Isa, F.M.; Haji-Sulaiman, M.Z. An investigation of the relationship between used engine oil properties and simulated intake valve deposits. Proc. Inst. Mech. Eng. Part D J. Automob. Eng. 1997, 211, 379–389. [Google Scholar] [CrossRef]
- Pramer, D.; Bartha, R. Preparation and processing of soil samples for biodegradation studies. Environ. Lett. 1972, 2, 217–224. [Google Scholar] [CrossRef]
- Schjønning, P.; Thomsen, I.K.; Petersen, S.O.; Kristensen, K.; Christensen, B.T. Relating soil microbial activity to water content and tillage-induced differences in soil structure. Geoderma 2011, 163, 256–264. [Google Scholar] [CrossRef]
- Thompson, I.P.; Van Der Gast, C.J.; Ciric, L.; Singer, A.C. Bioaugmentation for bioremediation: The challenge of strain selection. Environ. Microbiol. 2005, 7, 909–915. [Google Scholar] [CrossRef]
- Bodor, A.; Bounedjoum, N.; Vincze, G.E.; Erdeiné Kis, Á.; Laczi, K.; Bende, G.; Szilágyi, Á.; Kovács, T.; Perei, K.; Rákhely, G. Challenges of unculturable bacteria: Environmental perspectives. Rev. Environ. Sci. Biotechnol. 2020, 19, 1–22. [Google Scholar] [CrossRef]
- Dong, K.; Pan, H.; Yang, D.; Rao, L.; Zhao, L.; Wang, Y.; Liao, X. Induction, detection, formation, and resuscitation of viable but non-culturable state microorganisms. Compr. Rev. Food Sci. Food Saf. 2020, 19, 149–183. [Google Scholar] [CrossRef]
- Lee, S.H.; Ji, W.; Kang, D.M.; Kim, M.S. Effect of soil water content on heavy mineral oil biodegradation in soil. J. Soils Sediments 2018, 18, 983–991. [Google Scholar] [CrossRef]
- Malina, G.; Zawierucha, I. Potential of Bioaugmentation and Biostimulation for Enhancing Intrinsic Biodegradation in Oil Hydrocarbon-Contaminated Soil. Bioremediat. J. 2007, 11, 141–147. [Google Scholar] [CrossRef]
- Kis, Á.E.; Laczi, K.; Zsíros, S.; Kós, P.; Tengölics, R.; Bounedjoum, N.; Kovács, T.; Rákhely, G.; Perei, K. Characterization of the Rhodococcus sp. MK1 strain and its pilot application for bioremediation of diesel oil-contaminated soil. Acta Microbiol. Immunol. Hung. 2017, 64, 463–482. [Google Scholar] [CrossRef] [PubMed]
- Arutchelvan, V.; Kanakasabai, V.; Elangovan, R.; Nagarajan, S.; Muralikrishnan, V. Kinetics of high strength phenol degradation using Bacillus brevis. J. Hazard. Mater. 2006, 129, 216–222. [Google Scholar] [CrossRef] [PubMed]
- Li, Z.; Zhang, Y.; Wang, Y.; Mei, R.; Zhang, Y.; Hashmi, M.Z.; Lin, H.; Su, X. A New Approach of Rpf Addition to Explore Bacterial Consortium for Enhanced Phenol Degradation under High Salinity Conditions. Curr. Microbiol. 2018, 75, 1046–1054. [Google Scholar] [CrossRef]






| Soil Microcosm | Amendment | Condition |
|---|---|---|
| NS 1 − W | None (no treatment, no water amendment) | Non-treated control |
| NS + W | Amended with water (30% soil moisture) | Natural attenuation |
| NS + MM | Amended with liquid minimal medium (30% soil moisture) | Biostimulated |
| NS + MM + C | Same as NS+MM plus inoculated with Rhodococcus quingsenghii KAG C (approximately 107 cells g−1 soil when applying a smaller inoculum size or approximately 109 cells g−1 soil when applying a larger inoculum size) | Biostimulated and bioaugmented (KAG C) |
| NS + MM + PR4 | Same as NS+MM plus inoculated with Rhodococcus erythropolis PR4 (approximately 107 cells g−1 soil when applying a smaller inoculum size or approximately 109 cells g−1 soil when applying a larger inoculum size) | Biostimulated and bioaugmented (PR4) |
| Main Characteristics | Values |
|---|---|
| pH | 7.79 ± 0.02 |
| EC 1 (mS cm−1) | 2.18 ± 0.04 |
| SP 2 (%) | 61.6 ± 0.3 |
| WHC 3 (%) | 47.2 ± 0.7 |
| Field moisture (%) | 17.9 ± 0.2 |
| Texture | Clay soil |
| Salinity (%) | 0.11 ± 0.00 |
| Carbonates (%) | 1.9 ± 0.5 |
| C/N ratio | 34.5 ± 2.0 |
| LOI550 4 (%) | 23.5 ± 0.5 |
| AHB 5 (logCFU g−1) | 6.78 ± 0.06 |
| Main Characteristics | Values |
|---|---|
| Total carbon (g kg−1) | 172.23 ± 4.86 |
| Total nitrogen (mg kg−1) | 3610 ± 90 |
| Available phosphorus (mg kg−1) | 32 ± 4 |
| C/N ratio | 47.7 ± 0.9 |
| TPH 1 (mg kg−1) | 64100 ± 9900 |
| LOI550 2 (%) | 21.7 ± 0.3 |
| AHB 3 (logCFU g−1) | 6.31 ± 0.11 |
© 2020 by the authors. Licensee MDPI, Basel, Switzerland. This article is an open access article distributed under the terms and conditions of the Creative Commons Attribution (CC BY) license (http://creativecommons.org/licenses/by/4.0/).
Share and Cite
Bodor, A.; Petrovszki, P.; Erdeiné Kis, Á.; Vincze, G.E.; Laczi, K.; Bounedjoum, N.; Szilágyi, Á.; Szalontai, B.; Feigl, G.; Kovács, K.L.; et al. Intensification of Ex Situ Bioremediation of Soils Polluted with Used Lubricant Oils: A Comparison of Biostimulation and Bioaugmentation with a Special Focus on the Type and Size of the Inoculum. Int. J. Environ. Res. Public Health 2020, 17, 4106. https://doi.org/10.3390/ijerph17114106
Bodor A, Petrovszki P, Erdeiné Kis Á, Vincze GE, Laczi K, Bounedjoum N, Szilágyi Á, Szalontai B, Feigl G, Kovács KL, et al. Intensification of Ex Situ Bioremediation of Soils Polluted with Used Lubricant Oils: A Comparison of Biostimulation and Bioaugmentation with a Special Focus on the Type and Size of the Inoculum. International Journal of Environmental Research and Public Health. 2020; 17(11):4106. https://doi.org/10.3390/ijerph17114106
Chicago/Turabian StyleBodor, Attila, Péter Petrovszki, Ágnes Erdeiné Kis, György Erik Vincze, Krisztián Laczi, Naila Bounedjoum, Árpád Szilágyi, Balázs Szalontai, Gábor Feigl, Kornél L. Kovács, and et al. 2020. "Intensification of Ex Situ Bioremediation of Soils Polluted with Used Lubricant Oils: A Comparison of Biostimulation and Bioaugmentation with a Special Focus on the Type and Size of the Inoculum" International Journal of Environmental Research and Public Health 17, no. 11: 4106. https://doi.org/10.3390/ijerph17114106
APA StyleBodor, A., Petrovszki, P., Erdeiné Kis, Á., Vincze, G. E., Laczi, K., Bounedjoum, N., Szilágyi, Á., Szalontai, B., Feigl, G., Kovács, K. L., Rákhely, G., & Perei, K. (2020). Intensification of Ex Situ Bioremediation of Soils Polluted with Used Lubricant Oils: A Comparison of Biostimulation and Bioaugmentation with a Special Focus on the Type and Size of the Inoculum. International Journal of Environmental Research and Public Health, 17(11), 4106. https://doi.org/10.3390/ijerph17114106

