Oil-Contaminated Soil Remediation with Biodegradation by Autochthonous Microorganisms and Phytoremediation by Maize (Zea mays)
Abstract
:1. Introduction
2. Results
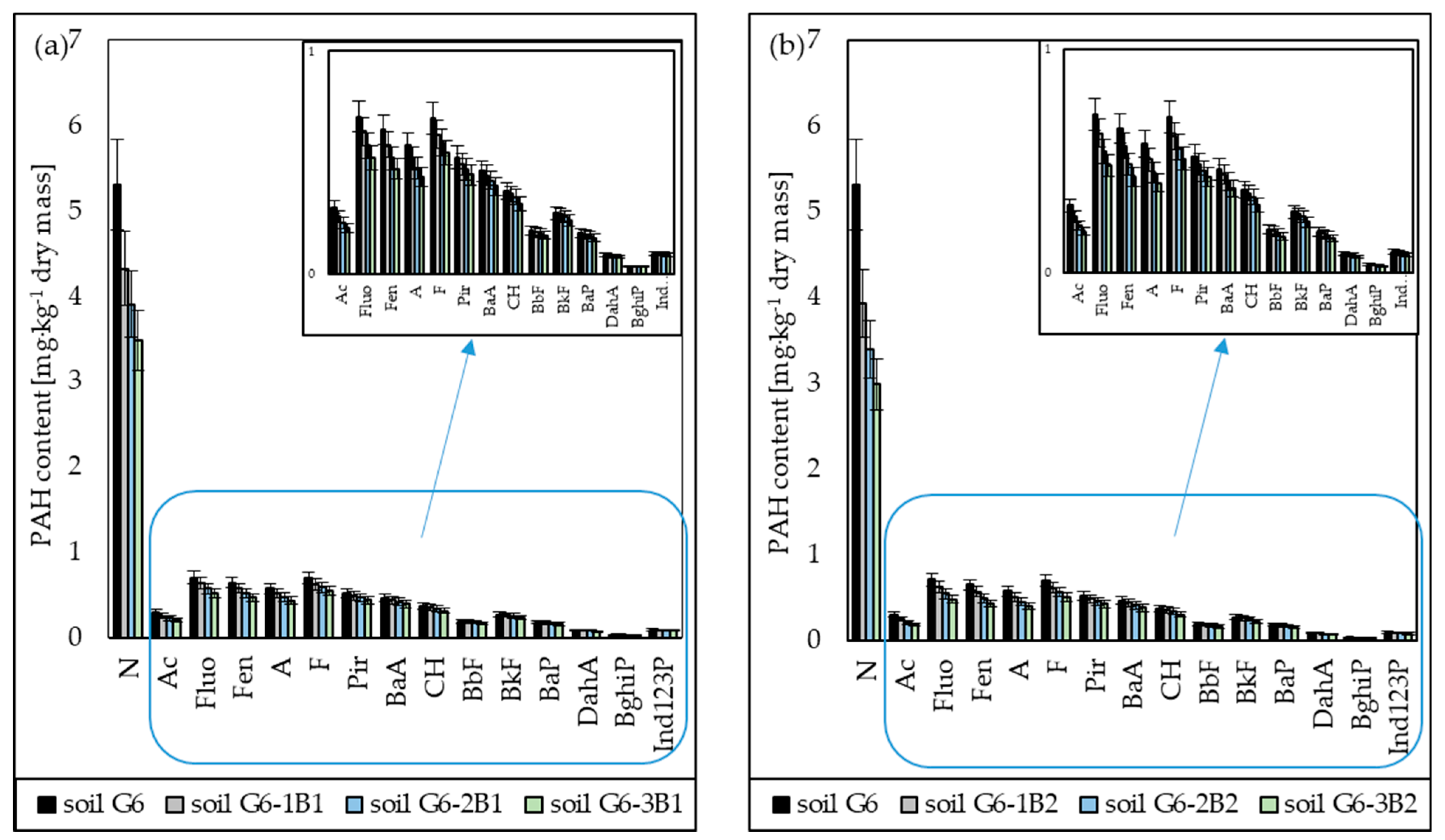
2.1. Biodegradation of Hydrocarbons Using Biopreparations
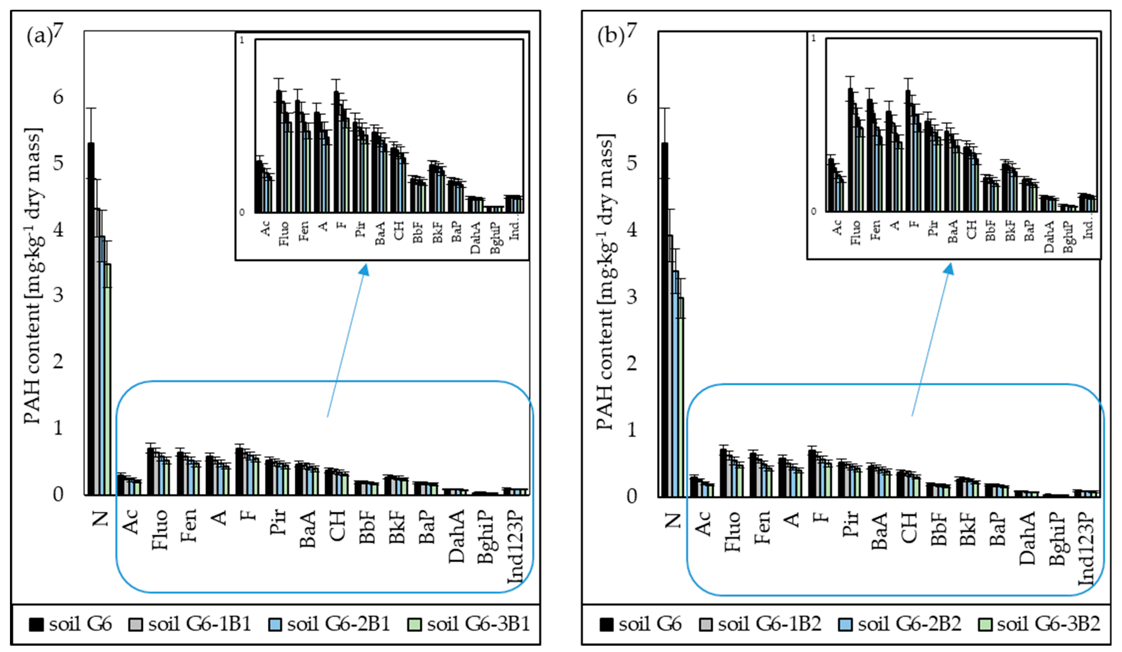
2.2. Phytoremediation
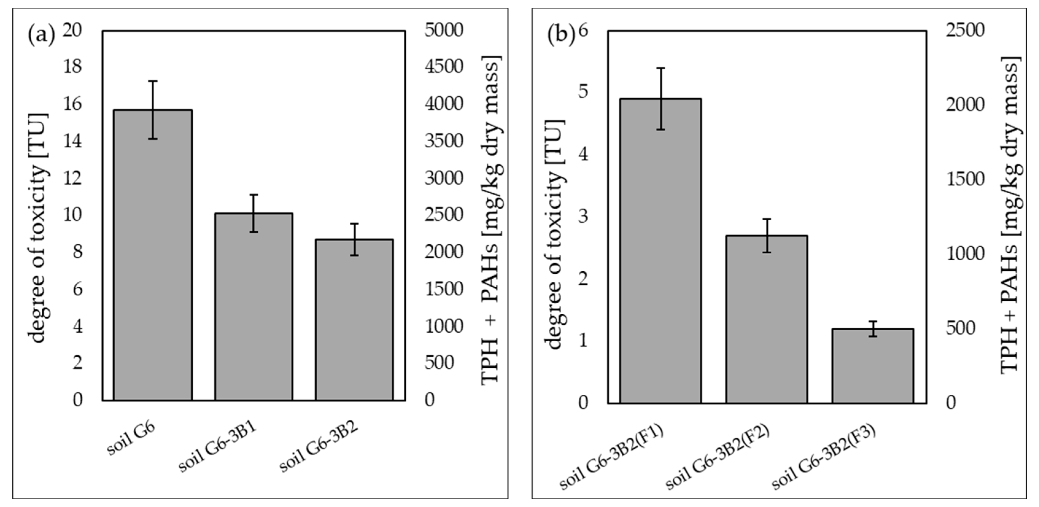
2.3. Toxicological Analyses
2.3.1. Soil Phytotoxicity Tests Using the PhytotoxkitTM Test
2.3.2. Soil Toxicity Tests Using the OstracodtoxikitFTM Test
2.3.3. Soil Toxicity Tests Using the Microtox®SPT Test
3. Discussion
4. Materials and Methods
4.1. Materials
4.2. Methods
4.2.1. Construction of Biopreparations
4.2.2. Identification of Fungal Strains by MALDI-TOF MS
4.2.3. TPH and PAH Analyses
- drying soil samples to an air-dry condition;
- isolating the analytes using ultrasound-assisted extraction with dichloromethane (Chempur, Piekary Śląskie, Poland);
- purifying the extract using the dSPE method, employing Florisil columns Chromabond No. 30081 (Macherey-Nagel, Düren, Germany);
- concentrating the extract to a volume of 1 mL in a rotary evaporator (Chemland, Stargard, Poland).
- drying soil samples to an air-dry condition;
- isolating the analytes (PAHs) using the QuEChERS method;
- purifying the extract using the dSPE method with MgSO4 and PSA vials No. JO3937 (Interchim, Montluçon Cedex, France).
4.2.4. Ecotoxicological Analyses
4.2.5. Data Analysis and Statistical Information
4.3. Experiment Description
4.3.1. Biodegradation by Inoculation
4.3.2. Phytoremediation
- system 1—soil G6-3B2(F1)—(soil G6-3B2 + Zea mays);
- system 2—soil G6-3B2(F2)—(soil G6-3B2 + biopreparation B2 + Zea mays);
- system 3—soil G6-3B2(F3)—(soil G6-3B2 + biopreparation B2 with added γ-PGA + Zea mays).
5. Conclusions
Supplementary Materials
Author Contributions
Funding
Institutional Review Board Statement
Informed Consent Statement
Data Availability Statement
Conflicts of Interest
Sample Availability
References
- Steliga, T. Bioremediacja odpadów wiertniczych zanieczyszczonych substancjami ropopochodnymi ze starych dołów urobkowych. Pr. Inst. Naft. Gazu 2009, 163, 1–331. [Google Scholar]
- Kluk, D.; Steliga, T. Efektywna Metoda Identyfikacji Zanieczyszczeń Ropopochodnych (TPH) i Wielopierścieniowych Węglowodorów Aromatycznych (WWA) w Glebach. Naft. Gaz Sci. Technol. Oil Gas Ind. 2017, 73, 488–495. [Google Scholar] [CrossRef]
- Jaekel, U.; Musat, N.; Adam, B.; Kuypers, M.; Grundmann, O.; Musat, F. Anaerobic Degradation of Propane and Butane by Sulfate-Reducing Bacteria Enriched from Marine Hydrocarbon Cold Seeps. ISME J. 2013, 7, 885–895. [Google Scholar] [CrossRef]
- Kurth, E.G.; Doughty, D.M.; Bottomley, P.J.; Arp, D.J.; Sayavedra-Soto, L.A. Involvement of BmoR and BmoG in N-Alkane Metabolism in ‘Pseudomonas Butanovora’. Microbiology 2008, 154, 139–147. [Google Scholar] [CrossRef] [PubMed]
- Kotani, T.; Kawashima, Y.; Yurimoto, H.; Kato, N.; Sakai, Y. Gene Structure and Regulation of Alkane Monooxygenases in Propane-Utilizing Mycobacterium sp. TY-6 and Pseudonocardia sp. TY-7. J. Biosci. Bioeng. 2006, 102, 184–192. [Google Scholar] [CrossRef]
- Mishra, S.; Jyot, J.; Kuhad, R.C.; Lal, B. Evaluation of Inoculum Addition to Stimulate In Situ Bioremediation of Oily-Sludge-Contaminated Soil. Appl. Environ. Microbiol. 2001, 67, 1675–1681. [Google Scholar] [CrossRef] [PubMed]
- Sabirova, J.S.; Ferrer, M.; Regenhardt, D.; Timmis, K.N.; Golyshin, P.N. Proteomic Insights into Metabolic Adaptations in Alcanivorax Borkumensis Induced by Alkane Utilization. J. Bacteriol. 2006, 188, 3763–3773. [Google Scholar] [CrossRef]
- Wang, X.-B.; Chi, C.-Q.; Nie, Y.; Tang, Y.-Q.; Tan, Y.; Wu, G.; Wu, X.-L. Degradation of Petroleum Hydrocarbons (C6–C40) and Crude Oil by a Novel Dietzia Strain. Bioresour. Technol. 2011, 102, 7755–7761. [Google Scholar] [CrossRef]
- Kaplan, C.W.; Kitts, C.L. Bacterial Succession in a Petroleum Land Treatment Unit. Appl. Environ. Microbiol. 2004, 70, 1777–1786. [Google Scholar] [CrossRef]
- Abbasian, F.; Lockington, R.; Mallavarapu, M.; Naidu, R. A Comprehensive Review of Aliphatic Hydrocarbon Biodegradation by Bacteria. Appl. Biochem. Biotechnol. 2015, 176, 670–699. [Google Scholar] [CrossRef]
- Brown, L.M.; Gunasekera, T.S.; Striebich, R.C.; Ruiz, O.N. Draft Genome Sequence of Gordonia Sihwensis Strain 9, a Branched Alkane-Degrading Bacterium. Genome Announc. 2016, 4, e00622-16. [Google Scholar] [CrossRef] [PubMed]
- Churchill, S.A.; Harper, J.P.; Churchill, P.F. Isolation and Characterization of a Mycobacterium Species Capable of Degrading Three- and Four-Ring Aromatic and Aliphatic Hydrocarbons. Appl. Environ. Microbiol. 1999, 65, 549–552. [Google Scholar] [CrossRef] [PubMed]
- Brzeszcz, J.; Steliga, T.; Kapusta, P.; Turkiewicz, A.; Kaszycki, P. R-Strategist versus K-Strategist for the Application in Bioremediation of Hydrocarbon-Contaminated Soils. Int. Biodeterior. Biodegrad. 2016, 106, 41–52. [Google Scholar] [CrossRef]
- Yakimov, M.M.; Giuliano, L.; Gentile, G.; Crisafi, E.; Chernikova, T.N.; Abraham, W.-R.; Lünsdorf, H.; Timmis, K.N.; Golyshin, P.N. Oleispira antarctica gen. nov., sp. nov., a Novel Hydrocarbonoclastic Marine Bacterium Isolated from Antarctic Coastal Sea Water. Int. J. Syst. Evol. Microbiol. 2003, 53, 779–785. [Google Scholar] [CrossRef]
- Röling, W.F.M.; Milner, M.G.; Jones, D.M.; Fratepietro, F.; Swannell, R.P.J.; Daniel, F.; Head, I.M. Bacterial Community Dynamics and Hydrocarbon Degradation during a Field-Scale Evaluation of Bioremediation on a Mudflat Beach Contaminated with Buried Oil. Appl. Environ. Microbiol. 2004, 70, 2603–2613. [Google Scholar] [CrossRef]
- Abalos, A.; Viñas, M.; Sabaté, J.; Manresa, M.A.; Solanas, A.M. Enhanced Biodegradation of Casablanca Crude Oil by A Microbial Consortium in Presence of a Rhamnolipid Produced by Pseudomonas Aeruginosa AT10. Biodegradation 2004, 15, 249–260. [Google Scholar] [CrossRef]
- Al-Hadhrami, M.N.; Lappin-Scott, H.M.; Fisher, P.J. Studies on the Biodegradation of Three Groups of Pure N-Alkanes in the Presence of Molasses and Mineral Fertilizer by Pseudomonas Aeruginosa. Mar. Pollut. Bull. 1997, 34, 969–974. [Google Scholar] [CrossRef]
- Karamalidis, A.K.; Evangelou, A.C.; Karabika, E.; Koukkou, A.I.; Drainas, C.; Voudrias, E.A. Laboratory Scale Bioremediation of Petroleum-Contaminated Soil by Indigenous Microorganisms and Added Pseudomonas Aeruginosa Strain Spet. Bioresour. Technol. 2010, 101, 6545–6552. [Google Scholar] [CrossRef]
- Varjani, S.J.; Rana, D.P.; Jain, A.K.; Bateja, S.; Upasani, V.N. Synergistic Ex-Situ Biodegradation of Crude Oil by Halotolerant Bacterial Consortium of Indigenous Strains Isolated from on Shore Sites of Gujarat, India. Int. Biodeterior. Biodegrad. 2015, 103, 116–124. [Google Scholar] [CrossRef]
- Zhang, Z.; Hou, Z.; Yang, C.; Ma, C.; Tao, F.; Xu, P. Degradation of N-Alkanes and Polycyclic Aromatic Hydrocarbons in Petroleum by a Newly Isolated Pseudomonas Aeruginosa DQ8. Bioresour. Technol. 2011, 102, 4111–4116. [Google Scholar] [CrossRef]
- Popp, N.; Schlömann, M.; Mau, M. Bacterial Diversity in the Active Stage of a Bioremediation System for Mineral Oil Hydrocarbon-Contaminated Soils. Microbiology 2006, 152, 3291–3304. [Google Scholar] [CrossRef] [PubMed]
- Bhattacharya, D.; Sarma, P.M.; Krishnan, S.; Mishra, S.; Lal, B. Evaluation of Genetic Diversity among Pseudomonas citronellolis Strains Isolated from Oily Sludge-Contaminated Sites. Appl. Environ. Microbiol. 2003, 69, 1435–1441. [Google Scholar] [CrossRef] [PubMed]
- Lalucat, J.; Bennasar, A.; Bosch, R.; García-Valdés, E.; Palleroni, N.J. Biology of Pseudomonas stutzeri. Microbiol. Mol. Biol. Rev. 2006, 70, 510–547. [Google Scholar] [CrossRef]
- Whyte, L.G.; Slagman, S.J.; Pietrantonio, F.; Bourbonnière, L.; Koval, S.F.; Lawrence, J.R.; Inniss, W.E.; Greer, C.W. Physiological Adaptations Involved in Alkane Assimilation at a Low Temperature by Rhodococcus sp. Strain Q15. Appl. Environ. Microbiol. 1999, 65, 2961–2968. [Google Scholar] [CrossRef]
- Hamamura, N.; Olson, S.H.; Ward, D.M.; Inskeep, W.P. Microbial Population Dynamics Associated with Crude-Oil Biodegradation in Diverse Soils. Appl. Environ. Microbiol. 2006, 72, 6316–6324. [Google Scholar] [CrossRef] [PubMed]
- Zhukov, D.V.; Murygina, V.P.; Kalyuzhnyi, S.V. Kinetics of the Degradation of Aliphatic Hydrocarbons by the Bacteria Rhodococcus Ruber and Rhodococcus Erythropolis. Appl. Biochem. Microbiol. 2007, 43, 587–592. [Google Scholar] [CrossRef]
- Barnes, N.M.; Khodse, V.B.; Lotlikar, N.P.; Meena, R.M.; Damare, S.R. Bioremediation Potential of Hydrocarbon-Utilizing Fungi from Select Marine Niches of India. 3 Biotech 2018, 8, 21. [Google Scholar] [CrossRef]
- Daccò, C.; Girometta, C.; Asemoloye, M.D.; Carpani, G.; Picco, A.M.; Tosi, S. Key Fungal Degradation Patterns, Enzymes and Their Applications for the Removal of Aliphatic Hydrocarbons in Polluted Soils: A Review. Int. Biodeterior. Biodegrad. 2020, 147, 104866. [Google Scholar] [CrossRef]
- Yang, S.; Zhang, J.; Liu, Y.; Feng, W. Biodegradation of Hydrocarbons by Purpureocillium Lilacinum and Penicillium Chrysogenum from Heavy Oil Sludge and Their Potential for Bioremediation of Contaminated Soils. Int. Biodeterior. Biodegrad. 2023, 178, 105566. [Google Scholar] [CrossRef]
- Li, J.; Xu, Y.; Song, Q.; Zhang, S.; Xie, L.; Yang, J. Transmembrane Transport Mechanism of N-Hexadecane by Candida Tropicalis: Kinetic Study and Proteomic Analysis. Ecotoxicol. Environ. Saf. 2021, 209, 111789. [Google Scholar] [CrossRef]
- Al-Otibi, F.; Al-Zahrani, R.M.; Marraiki, N. The Crude Oil Biodegradation Activity of Candida Strains Isolated from Oil-Reservoirs Soils in Saudi Arabia. Sci. Rep. 2022, 12, 10708. [Google Scholar] [CrossRef] [PubMed]
- Ma, Y.-L.; Lu, W.; Wan, L.-L.; Luo, N. Elucidation of Fluoranthene Degradative Characteristics in a Newly Isolated Achromobacter Xylosoxidans DN002. Appl. Biochem. Biotechnol. 2015, 175, 1294–1305. [Google Scholar] [CrossRef] [PubMed]
- Mnif, S.; Sayadi, S.; Chamkha, M. Biodegradative Potential and Characterization of a Novel Aromatic-Degrading Bacterium Isolated from a Geothermal Oil Field under Saline and Thermophilic Conditions. Int. Biodeterior. Biodegrad. 2014, 86, 258–264. [Google Scholar] [CrossRef]
- Cerniglia, C.E. Biodegradation of Polycyclic Aromatic Hydrocarbons. Biodegradation 1992, 3, 351–368. [Google Scholar] [CrossRef]
- Eskandari, S.; Hoodaji, M.; Tahmourespour, A.; Abdollahi, A.; Baghi, T.; Eslamian, S.; Ostad-Ali-Askari, K. Bioremediation of Polycyclic Aromatic Hydrocarbons by Bacillus Licheniformis ATHE9 and Bacillus Mojavensis ATHE13 as Newly Strains Isolated from Oil-Contaminated Soil. J. Geogr. Environ. Earth Sci. Int. 2017, 11, 1–11. [Google Scholar] [CrossRef]
- Xiao, J.; Guo, L.; Wang, S.; Lu, Y. Comparative Impact of Cadmium on Two Phenanthrene-Degrading Bacteria Isolated from Cadmium and Phenanthrene Co-Contaminated Soil in China. J. Hazard. Mater. 2010, 174, 818–823. [Google Scholar] [CrossRef]
- Kasai, Y.; Kishira, H.; Harayama, S. Bacteria Belonging to the Genus Cycloclasticus Play a Primary Role in the Degradation of Aromatic Hydrocarbons Released in a Marine Environment. Appl. Environ. Microbiol. 2002, 68, 5625–5633. [Google Scholar] [CrossRef]
- Juhasz, A.L.; Naidu, R. Bioremediation of High Molecular Weight Polycyclic Aromatic Hydrocarbons: A Review of the Microbial Degradation of Benzo[a]Pyrene. Int. Biodeterior. Biodegrad. 2000, 45, 57–88. [Google Scholar] [CrossRef]
- Kanaly, R.A.; Harayama, S. Biodegradation of High-Molecular-Weight Polycyclic Aromatic Hydrocarbons by Bacteria. J. Bacteriol. 2000, 182, 2059–2067. [Google Scholar] [CrossRef]
- Zhang, Y.; Wang, F.; Zhu, X.; Zeng, J.; Zhao, Q.; Jiang, X. Extracellular Polymeric Substances Govern the Development of Biofilm and Mass Transfer of Polycyclic Aromatic Hydrocarbons for Improved Biodegradation. Bioresour. Technol. 2015, 193, 274–280. [Google Scholar] [CrossRef]
- Rehmann, K.; Hertkorn, N.; Kettrup, A.A. Fluoranthene Metabolism in Mycobacterium sp. Strain KR20: Identity of Pathway Intermediates during Degradation and Growth. Microbiology 2001, 147, 2783–2794. [Google Scholar] [CrossRef] [PubMed]
- Moody, J.D.; Freeman, J.P.; Doerge, D.R.; Cerniglia, C.E. Degradation of Phenanthrene and Anthracene by Cell Suspensions of Mycobacterium sp. Strain PYR-1. Appl. Environ. Microbiol. 2001, 67, 1476–1483. [Google Scholar] [CrossRef] [PubMed]
- Kim, S.-J.; Kweon, O.; Freeman, J.P.; Jones, R.C.; Adjei, M.D.; Jhoo, J.-W.; Edmondson, R.D.; Cerniglia, C.E. Molecular Cloning and Expression of Genes Encoding a Novel Dioxygenase Involved in Low- and High-Molecular-Weight Polycyclic Aromatic Hydrocarbon Degradation in Mycobacterium Vanbaalenii PYR-1. Appl. Environ. Microbiol. 2006, 72, 1045–1054. [Google Scholar] [CrossRef] [PubMed]
- Kim, S.-J.; Kweon, O.; Jones, R.C.; Freeman, J.P.; Edmondson, R.D.; Cerniglia, C.E. Complete and Integrated Pyrene Degradation Pathway in Mycobacterium vanbaalenii PYR-1 Based on Systems Biology. J. Bacteriol. 2007, 189, 464–472. [Google Scholar] [CrossRef]
- Kweon, O.; Kim, S.-J.; Jones, R.C.; Freeman, J.P.; Adjei, M.D.; Edmondson, R.D.; Cerniglia, C.E. A Polyomic Approach to Elucidate the Fluoranthene-Degradative Pathway in Mycobacterium vanbaalenii PYR-1. J. Bacteriol. 2007, 189, 4635–4647. [Google Scholar] [CrossRef] [PubMed]
- Hedlund, B.P.; Geiselbrecht, A.D.; Bair, T.J.; Staley, J.T. Polycyclic Aromatic Hydrocarbon Degradation by a New Marine Bacterium, Neptunomonas naphthovorans gen. nov., sp. nov. Appl. Environ. Microbiol. 1999, 65, 251–259. [Google Scholar] [CrossRef]
- Saito, A.; Iwabuchi, T.; Harayama, S. A Novel Phenanthrene Dioxygenase from Nocardioides sp. Strain KP7: Expression in Escherichia coli. J. Bacteriol. 2000, 182, 2134–2141. [Google Scholar] [CrossRef]
- Jiang, J.; Liu, H.; Li, Q.; Gao, N.; Yao, Y.; Xu, H. Combined Remediation of Cd–Phenanthrene Co-Contaminated Soil by Pleurotus Cornucopiae and Bacillus Thuringiensis FQ1 and the Antioxidant Responses in Pleurotus Cornucopiae. Ecotoxicol. Environ. Saf. 2015, 120, 386–393. [Google Scholar] [CrossRef]
- Brito, E.M.S.; De La Cruz Barrón, M.; Caretta, C.A.; Goñi-Urriza, M.; Andrade, L.H.; Cuevas-Rodríguez, G.; Malm, O.; Torres, J.P.M.; Simon, M.; Guyoneaud, R. Impact of Hydrocarbons, PCBs and Heavy Metals on Bacterial Communities in Lerma River, Salamanca, Mexico: Investigation of Hydrocarbon Degradation Potential. Sci. Total Environ. 2015, 521–522, 1–10. [Google Scholar] [CrossRef]
- Ghosh, I.; Jasmine, J.; Mukherji, S. Biodegradation of Pyrene by a Pseudomonas Aeruginosa Strain RS1 Isolated from Refinery Sludge. Bioresour. Technol. 2014, 166, 548–558. [Google Scholar] [CrossRef]
- Yang, Y.; Chen, R.F.; Shiaris, M.P. Metabolism of Naphthalene, Fluorene, and Phenanthrene: Preliminary Characterization of a Cloned Gene Cluster from Pseudomonas Putida NCIB 9816. J. Bacteriol. 1994, 176, 2158–2164. [Google Scholar] [CrossRef] [PubMed]
- Singh, P.; Tiwary, B.N. Optimization of Conditions for Polycyclic Aromatic Hydrocarbons (PAHs) Degradation by Pseudomonas Stutzeri P2 Isolated from Chirimiri Coal Mines. Biocatal. Agric. Biotechnol. 2017, 10, 20–29. [Google Scholar] [CrossRef]
- Peng, T.; Kan, J.; Hu, J.; Hu, Z. Genes and Novel sRNAs Involved in PAHs Degradation in Marine Bacteria Rhodococcus sp. P14 Revealed by the Genome and Transcriptome Analysis. 3 Biotech 2020, 10, 140. [Google Scholar] [CrossRef] [PubMed]
- Lang, F.S.; Destain, J.; Delvigne, F.; Druart, P.; Ongena, M.; Thonart, P. Biodegradation of Polycyclic Aromatic Hydrocarbons in Mangrove Sediments Under Different Strategies: Natural Attenuation, Biostimulation, and Bioaugmentation with Rhodococcus Erythropolis T902.1. Water Air Soil Pollut. 2016, 227, 297. [Google Scholar] [CrossRef]
- Wojtowicz, K.; Steliga, T.; Kapusta, P.; Brzeszcz, J.; Skalski, T. Evaluation of the Effectiveness of the Biopreparation in Combination with the Polymer γ-PGA for the Biodegradation of Petroleum Contaminants in Soil. Materials 2022, 15, 400. [Google Scholar] [CrossRef]
- Steliga, T.; Wojtowicz, K.; Kapusta, P.; Brzeszcz, J. Assessment of Biodegradation Efficiency of Polychlorinated Biphenyls (PCBs) and Petroleum Hydrocarbons (TPH) in Soil Using Three Individual Bacterial Strains and Their Mixed Culture. Molecules 2020, 25, 709. [Google Scholar] [CrossRef]
- Ghosal, D.; Ghosh, S.; Dutta, T.K.; Ahn, Y. Current State of Knowledge in Microbial Degradation of Polycyclic Aromatic Hydrocarbons (PAHs): A Review. Front. Microbiol. 2016, 7, 1369. [Google Scholar] [CrossRef]
- Shuttleworth, K.L.; Sung, J.; Kim, E.; Cerniglia, C.E. Physiological and Genetic Comparison of Two Aromatic Hydrocarbon-Degrading Sphingomonas Strains. Mol. Cells 2000, 10, 199–205. [Google Scholar] [CrossRef]
- Zylstra, G.J.; Kim, E. Aromatic Hydrocarbon Degradation by Sphingomonas yanoikuyae B1. J. Ind. Microbiol. Biotechnol. 1997, 19, 408–414. [Google Scholar] [CrossRef]
- Moscoso, F.; Teijiz, I.; Deive, F.J.; Sanromán, M.A. Efficient PAHs Biodegradation by a Bacterial Consortium at Flask and Bioreactor Scale. Bioresour. Technol. 2012, 119, 270–276. [Google Scholar] [CrossRef]
- Tiwari, B.; Manickam, N.; Kumari, S.; Tiwari, A. Biodegradation and Dissolution of Polyaromatic Hydrocarbons by Stenotrophomonas sp. Bioresour. Technol. 2016, 216, 1102–1105. [Google Scholar] [CrossRef] [PubMed]
- Chen, S.; Yin, H.; Ye, J.; Peng, H.; Liu, Z.; Dang, Z.; Chang, J. Influence of Co-Existed Benzo[a]Pyrene and Copper on the Cellular Characteristics of Stenotrophomonas maltophilia during Biodegradation and Transformation. Bioresour. Technol. 2014, 158, 181–187. [Google Scholar] [CrossRef] [PubMed]
- Balachandran, C.; Duraipandiyan, V.; Balakrishna, K.; Ignacimuthu, S. Petroleum and Polycyclic Aromatic Hydrocarbons (PAHs) Degradation and Naphthalene Metabolism in Streptomyces sp. (ERI-CPDA-1) Isolated from Oil Contaminated Soil. Bioresour. Technol. 2012, 112, 83–90. [Google Scholar] [CrossRef] [PubMed]
- Mahajan, M.; Manek, D.; Vora, N.; Kothari, R.K.; Mootapally, C.; Nathani, N.M. Fungi with High Ability to Crunch Multiple Polycyclic Aromatic Hydrocarbons (PAHs) from the Pelagic Sediments of Gulfs of Gujarat. Mar. Pollut. Bull. 2021, 167, 112293. [Google Scholar] [CrossRef] [PubMed]
- Peidro-Guzmán, H.; Pérez-Llano, Y.; González-Abradelo, D.; Fernández-López, M.G.; Dávila-Ramos, S.; Aranda, E.; Hernández, D.R.O.; García, A.O.; Lira-Ruan, V.; Pliego, O.R.; et al. Transcriptomic Analysis of Polyaromatic Hydrocarbon Degradation by the Halophilic Fungus Aspergillus sydowii at Hypersaline Conditions. Environ. Microbiol. 2021, 23, 3435–3459. [Google Scholar] [CrossRef]
- Birolli, W.G.; De Santos, D.A.; Alvarenga, N.; Garcia, A.C.F.S.; Romão, L.P.C.; Porto, A.L.M. Biodegradation of Anthracene and Several PAHs by the Marine-Derived Fungus Cladosporium sp. CBMAI 1237. Mar. Pollut. Bull. 2018, 129, 525–533. [Google Scholar] [CrossRef]
- Wu, Y.-R.; Luo, Z.-H.; Vrijmoed, L.L.P. Biodegradation of Anthracene and Benz[a]Anthracene by Two Fusarium Solani Strains Isolated from Mangrove Sediments. Bioresour. Technol. 2010, 101, 9666–9672. [Google Scholar] [CrossRef]
- Medaura, M.C.; Guivernau, M.; Moreno-Ventas, X.; Prenafeta-Boldú, F.X.; Viñas, M. Bioaugmentation of Native Fungi, an Efficient Strategy for the Bioremediation of an Aged Industrially Polluted Soil With Heavy Hydrocarbons. Front. Microbiol. 2021, 12, 626436. [Google Scholar] [CrossRef]
- Varjani, S.J. Microbial Degradation of Petroleum Hydrocarbons. Bioresour. Technol. 2017, 223, 277–286. [Google Scholar] [CrossRef]
- Mrozik, A.; Piotrowska-Seget, Z. Bioaugmentation as a Strategy for Cleaning up of Soils Contaminated with Aromatic Compounds. Microbiol. Res. 2010, 165, 363–375. [Google Scholar] [CrossRef]
- Oliver, J.D. Recent Findings on the Viable but Nonculturable State in Pathogenic Bacteria. FEMS Microbiol. Rev. 2010, 34, 415–425. [Google Scholar] [CrossRef] [PubMed]
- Liu, Q.; Tang, J.; Gao, K.; Gurav, R.; Giesy, J.P. Aerobic Degradation of Crude Oil by Microorganisms in Soils from Four Geographic Regions of China. Sci. Rep. 2017, 7, 14856. [Google Scholar] [CrossRef] [PubMed]
- Kothari, V.; Panchal, M.; Srivastava, N. Microbial Degradation of Hydrocarbons. Microb. Degrad. Hydrocarb. 2014, 1–16. [Google Scholar]
- Warczewska, Z.; Niewiadomska, A.; Grzyb, A. Wybrane metody bioremediacji in situ z wykorzystaniem mikroorganizmów. Woda Sr. Obsz. Wiej. 2018, 26, 65–78. [Google Scholar]
- Barathi, S.; Vasudevan, N. Utilization of Petroleum Hydrocarbons by Pseudomonas Fluorescens Isolated from a Petroleum-Contaminated Soil. Environ. Int. 2001, 26, 413–416. [Google Scholar] [CrossRef] [PubMed]
- Kamath, R.; Rentz, J.A.; Schnoor, J.L.; Alvarez, P.J.J. Chapter 16 Phytoremediation of Hydrocarbon-Contaminated Soils: Principles and Applications. In Studies in Surface Science and Catalysis; Elsevier: Amsterdam, The Netherlands, 2004; Volume 151, pp. 447–478. ISBN 9780444516992. [Google Scholar]
- Wang, D.; Xie, Y.; Jaisi, D.P.; Jin, Y. Effects of Low-Molecular-Weight Organic Acids on the Dissolution of Hydroxyapatite Nanoparticles. Environ. Sci. Nano 2016, 3, 768–779. [Google Scholar] [CrossRef]
- Khan, S.; Afzal, M.; Iqbal, S.; Khan, Q.M. Plant–Bacteria Partnerships for the Remediation of Hydrocarbon Contaminated Soils. Chemosphere 2013, 90, 1317–1332. [Google Scholar] [CrossRef]
- Pawlik, M.; Piotrowska-Seget, Z. Endophytic Bacteria Associated with Hieracium piloselloides: Their Potential for Hydrocarbon-Utilizing and Plant Growth-Promotion. J. Toxicol. Environ. Health Part A 2015, 78, 860–870. [Google Scholar] [CrossRef]
- Weyens, N.; Taghavi, S.; Barac, T.; Van Der Lelie, D.; Boulet, J.; Artois, T.; Carleer, R.; Vangronsveld, J. Bacteria Associated with Oak and Ash on a TCE-Contaminated Site: Characterization of Isolates with Potential to Avoid Evapotranspiration of TCE. Environ. Sci. Pollut. Res. 2009, 16, 830–843. [Google Scholar] [CrossRef]
- Weyens, N.; Van Der Lelie, D.; Artois, T.; Smeets, K.; Taghavi, S.; Newman, L.; Carleer, R.; Vangronsveld, J. Bioaugmentation with Engineered Endophytic Bacteria Improves Contaminant Fate in Phytoremediation. Environ. Sci. Technol. 2009, 43, 9413–9418. [Google Scholar] [CrossRef]
- Weyens, N.; Van Der Lelie, D.; Taghavi, S.; Newman, L.; Vangronsveld, J. Exploiting Plant–Microbe Partnerships to Improve Biomass Production and Remediation. Trends Biotechnol. 2009, 27, 591–598. [Google Scholar] [CrossRef] [PubMed]
- Weyens, N.; Van Der Lelie, D.; Taghavi, S.; Vangronsveld, J. Phytoremediation: Plant–Endophyte Partnerships Take the Challenge. Curr. Opin. Biotechnol. 2009, 20, 248–254. [Google Scholar] [CrossRef] [PubMed]
- Cooney, J.J.; Silver, S.A.; Beck, E.A. Factors Influencing Hydrocarbon Degradation in Three Freshwater Lakes. Microb. Ecol. 1985, 11, 127–137. [Google Scholar] [CrossRef]
- Małachowska-Jutsz, A.; Janosz, W.; Rudek, J. Ochrona Środowiska. Toksyczność gleby zanieczyszczonej olejem silnikowym poddanej samooczyszczaniu oraz fitoremediacj. Ochr. Sr. 2012, 34, 15–20. [Google Scholar]
- Ruley, J.A.; Tumuhairwe, J.B.; Amoding, A.; Opolot, E.; Oryem-Origa, H.; Basamba, T. Assessment of Plants for Phytoremediation of Hydrocarbon-Contaminated Soils in the Sudd Wetland of South Sudan. Plant Soil Environ. 2019, 65, 463–469. [Google Scholar] [CrossRef]
- Rabêlo, F.H.S.; Vangronsveld, J.; Baker, A.J.M.; Van Der Ent, A.; Alleoni, L.R.F. Are Grasses Really Useful for the Phytoremediation of Potentially Toxic Trace Elements? A Review. Front. Plant Sci. 2021, 12, 778275. [Google Scholar] [CrossRef] [PubMed]
- Xi, Y.; Song, Y.; Johnson, D.M.; Li, M.; Liu, H.; Huang, Y. Se Enhanced Phytoremediation of Diesel in Soil by Trifolium Repens. Ecotoxicol. Environ. Saf. 2018, 154, 137–144. [Google Scholar] [CrossRef]
- Steliga, T.; Kluk, D. Assessment of the Suitability of Melilotus Officinalis for Phytoremediation of Soil Contaminated with Petroleum Hydrocarbons (TPH and PAH), Zn, Pb and Cd Based on Toxicological Tests. Toxics 2021, 9, 148. [Google Scholar] [CrossRef]
- Steliga, T.; Kluk, D. Application of Festuca Arundinacea in Phytoremediation of Soils Contaminated with Pb, Ni, Cd and Petroleum Hydrocarbons. Ecotoxicol. Environ. Saf. 2020, 194, 110409. [Google Scholar] [CrossRef]
- Peng, S.; Zhou, Q.; Cai, Z.; Zhang, Z. Phytoremediation of Petroleum Contaminated Soils by Mirabilis Jalapa L. in a Greenhouse Plot Experiment. J. Hazard. Mater. 2009, 168, 1490–1496. [Google Scholar] [CrossRef]
- Li, L.; Zhu, P.; Wang, X.; Zhang, Z. Phytoremediation Effect of Medicago Sativa Colonized by Piriformospora Indica in the Phenanthrene and Cadmium Co-Contaminated Soil. BMC Biotechnol. 2020, 20, 20. [Google Scholar] [CrossRef] [PubMed]
- Tang, J.; Wang, R.; Niu, X.; Zhou, Q. Enhancement of Soil Petroleum Remediation by Using a Combination of Ryegrass (Lolium perenne) and Different Microorganisms. Soil Tillage Res. 2010, 110, 87–93. [Google Scholar] [CrossRef]
- Yousaf, S.; Andria, V.; Reichenauer, T.G.; Smalla, K.; Sessitsch, A. Phylogenetic and Functional Diversity of Alkane Degrading Bacteria Associated with Italian Ryegrass (Lolium multiflorum) and Birdsfoot Trefoil (Lotus corniculatus) in a Petroleum Oil-Contaminated Environment. J. Hazard. Mater. 2010, 184, 523–532. [Google Scholar] [CrossRef] [PubMed]
- Pawlik, M.; Cania, B.; Thijs, S.; Vangronsveld, J.; Piotrowska-Seget, Z. Hydrocarbon Degradation Potential and Plant Growth-Promoting Activity of Culturable Endophytic Bacteria of Lotus Corniculatus and Oenothera Biennis from a Long-Term Polluted Site. Environ. Sci. Pollut. Res. 2017, 24, 19640–19652. [Google Scholar] [CrossRef]
- Banks, M.K.; Kulakow, P.; Schwab, A.P.; Chen, Z.; Rathbone, K. Degradation of Crude Oil in the Rhizosphere of Sorghum bicolor. Int. J. Phytoremediation 2003, 5, 225–234. [Google Scholar] [CrossRef]
- Baoune, H.; Aparicio, J.D.; Acuña, A.; El Hadj-khelil, A.O.; Sanchez, L.; Polti, M.A.; Alvarez, A. Effectiveness of the Zea Mays-Streptomyces Association for the Phytoremediation of Petroleum Hydrocarbons Impacted Soils. Ecotoxicol. Environ. Saf. 2019, 184, 109591. [Google Scholar] [CrossRef]
- Liao, C.; Xu, W.; Lu, G.; Liang, X.; Guo, C.; Yang, C.; Dang, Z. Accumulation of Hydrocarbons by Maize (Zea mays L.) in Remediation of Soils Contaminated with Crude Oil. Int. J. Phytoremediation 2015, 17, 693–700. [Google Scholar] [CrossRef]
- Anukwa, F.A.; Onuoha, E.M.; Nkang, A.; Nkereuwem, J. Phytoremediation Potential of Zea mays L. and Panicum coloratum L. on Hydrocarbon Polluted Soils. Int. J. Bot. 2020, 17, 1–7. [Google Scholar] [CrossRef]
- Song, X.; Li, C.; Chen, W. Phytoremediation Potential of Bermuda Grass (Cynodon dactylon (L.) Pers.) in Soils Co-Contaminated with Polycyclic Aromatic Hydrocarbons and Cadmium. Ecotoxicol. Environ. Saf. 2022, 234, 113389. [Google Scholar] [CrossRef]
- Gworek, B.; Klimczak, K.; Kijeńska, M. The Relation between Polyaromatic Hydrocarbon Concentration in Sewage Sludge and Its Uptake by Plants: Phragmites Communis, Polygonum Persicaria and Bidens Tripartita. PLoS ONE 2014, 9, e109548. [Google Scholar] [CrossRef]
- Liu, R.; Jadeja, R.N.; Zhou, Q.; Liu, Z. Treatment and Remediation of Petroleum-Contaminated Soils Using Selective Ornamental Plants. Environ. Eng. Sci. 2012, 29, 494–501. [Google Scholar] [CrossRef] [PubMed]
- Heidari, S.; Fotouhi Ghazvini, R.; Zavareh, M.; Kafi, M. Physiological Responses and Phytoremediation Ability of Eastern Coneflower (Echinacea purpurea) for Crude Oil Contaminated Soil. Casp. J. Environ. Sci. 2018, 16, 149–164. [Google Scholar] [CrossRef]
- Kaimi, E.; Mukaidani, T.; Miyoshi, S.; Tamaki, M. Ryegrass Enhancement of Biodegradation in Diesel-Contaminated Soil. Environ. Exp. Bot. 2006, 55, 110–119. [Google Scholar] [CrossRef]
- Shirdam, R.; Zand, A.D.; Bidhendi, G.N.; Mehrdadi, N. Phytoremediation of Hydrocarbon-Contaminated Soils with Emphasis on the Effect of Petroleum Hydrocarbons on the Growth of Plant Species. Phytoprotection 2009, 89, 21–29. [Google Scholar] [CrossRef]
- Hall, J.; Soole, K.; Bentham, R. Hydrocarbon Phytoremediation in the Family Fabacea—A Review. Int. J. Phytoremediation 2011, 13, 317–332. [Google Scholar] [CrossRef]
- Moore, F.P.; Barac, T.; Borremans, B.; Oeyen, L.; Vangronsveld, J.; Van Der Lelie, D.; Campbell, C.D.; Moore, E.R.B. Endophytic Bacterial Diversity in Poplar Trees Growing on a BTEX-Contaminated Site: The Characterisation of Isolates with Potential to Enhance Phytoremediation. Syst. Appl. Microbiol. 2006, 29, 539–556. [Google Scholar] [CrossRef]
- Doty, S.L. Enhancing Phytoremediation through the Use of Transgenics and Endophytes. New Phytol. 2008, 179, 318–333. [Google Scholar] [CrossRef]
- Wang, L.; Chen, S.; Yu, B. Poly-γ-Glutamic Acid: Recent Achievements, Diverse Applications and Future Perspectives. Trends Food Sci. Technol. 2022, 119, 1–12. [Google Scholar] [CrossRef]
- Hara, T.; Ueda, S. Regulation of Poly Glutamate Production in Bacillus subtilis (Natto): Transformation of High PGA Productivity. Agric. Biol. Chem. 1982, 46, 2275–2281. [Google Scholar] [CrossRef]
- Yanagibashi, T.; Kobayashi, M.; Omori, K. Application of Poly-γ-Glutamic Acid Flocculant to Flocculation–Sedimentation Treatment of Ultrafine Cement Suspension. Water 2019, 11, 1748. [Google Scholar] [CrossRef]
- Li, M.; Zhu, X.; Yang, H.; Xie, X.; Zhu, Y.; Xu, G.; Hu, X.; Jin, Z.; Hu, Y.; Hai, Z.; et al. Treatment of Potato Starch Wastewater by Dual Natural Flocculants of Chitosan and Poly-Glutamic Acid. J. Clean. Prod. 2020, 264, 121641. [Google Scholar] [CrossRef]
- Liang, J.; Shi, W. Poly-γ-Glutamic Acid Improves Water-Stable Aggregates, Nitrogen and Phosphorus Uptake Efficiency, Water-Fertilizer Productivity, and Economic Benefit in Barren Desertified Soils of Northwest China. Agric. Water Manag. 2021, 245, 106551. [Google Scholar] [CrossRef]
- Wojtowicz, K.; Steliga, T.; Skalski, T. Badania Laboratoryjne Wpływu Dodatku γ-PGA Na Efektywność Biodegradacji Węglowodorów Ropopochodnych. Nafta-Gaz 2022, 78, 668–678. [Google Scholar] [CrossRef]
- Zhao, G.; Sheng, Y.; Wang, C.; Yang, J.; Wang, Q.; Chen, L. In Situ Microbial Remediation of Crude Oil-Soaked Marine Sediments Using Zeolite Carrier with a Polymer Coating. Mar. Pollut. Bull. 2018, 129, 172–178. [Google Scholar] [CrossRef] [PubMed]
- Luo, S.G.; Chen, S.C.; Cao, W.Z.; Lin, W.H.; Sheu, Y.T.; Kao, C.M. Application of γ-PGA as the Primary Carbon Source to Bioremediate a TCE-Polluted Aquifer: A Pilot-Scale Study. Chemosphere 2019, 237, 124449. [Google Scholar] [CrossRef]
- Pang, X.; Lei, P.; Feng, X.; Xu, Z.; Xu, H.; Liu, K. Poly-γ-Glutamic Acid, a Bio-Chelator, Alleviates the Toxicity of Cd and Pb in the Soil and Promotes the Establishment of Healthy Cucumis sativus L. Seedling. Environ. Sci. Pollut. Res. 2018, 25, 19975–19988. [Google Scholar] [CrossRef]
- Peng, Y.-P.; Chang, Y.-C.; Chen, K.-F.; Wang, C.-H. A Field Pilot-Scale Study on Heavy Metal-Contaminated Soil Washing by Using an Environmentally Friendly Agent—Poly-γ-Glutamic Acid (γ-PGA). Environ. Sci. Pollut. Res. 2020, 27, 34760–34769. [Google Scholar] [CrossRef] [PubMed]
- Yang, Z.-H.; Dong, C.-D.; Chen, C.-W.; Sheu, Y.-T.; Kao, C.-M. Using Poly-Glutamic Acid as Soil-Washing Agent to Remediate Heavy Metal-Contaminated Soils. Environ. Sci. Pollut. Res. 2018, 25, 5231–5242. [Google Scholar] [CrossRef]
- Wu, M.; Li, W.; Dick, W.A.; Ye, X.; Chen, K.; Kost, D.; Chen, L. Bioremediation of Hydrocarbon Degradation in a Petroleum-Contaminated Soil and Microbial Population and Activity Determination. Chemosphere 2017, 169, 124–130. [Google Scholar] [CrossRef]
- Steliga, T.; Jakubowicz, P.; Kapusta, P. Changes in Toxicity during in Situ Bioremediation of Weathered Drill Wastes Contaminated with Petroleum Hydrocarbons. Bioresour. Technol. 2012, 125, 1–10. [Google Scholar] [CrossRef]
- Nwankwegu, A.S.; Orji, M.U.; Onwosi, C.O. Studies on Organic and In-Organic Biostimulants in Bioremediation of Diesel-Contaminated Arable Soil. Chemosphere 2016, 162, 148–156. [Google Scholar] [CrossRef] [PubMed]
- Abbasian, F.; Lockington, R.; Megharaj, M.; Naidu, R. A Review on the Genetics of Aliphatic and Aromatic Hydrocarbon Degradation. Appl. Biochem. Biotechnol. 2016, 178, 224–250. [Google Scholar] [CrossRef] [PubMed]
- Tipu, M.I.; Ashraf, M.Y.; Sarwar, N.; Akhtar, M.; Shaheen, M.R.; Ali, S.; Damalas, C.A. Growth and Physiology of Maize (Zea mays L.) in a Nickel-Contaminated Soil and Phytoremediation Efficiency Using EDTA. J. Plant Growth Regul. 2021, 40, 774–786. [Google Scholar] [CrossRef]
- Daryabeigi Zand, A.; Mühling, K.H. Phytoremediation Capability and Copper Uptake of Maize (Zea mays L.) in Copper Contaminated Soils. Pollutants 2022, 2, 53–65. [Google Scholar] [CrossRef]
- Wu, L.; Li, Z.; Han, C.; Liu, L.; Teng, Y.; Sun, X.; Pan, C.; Huang, Y.; Luo, Y.; Christie, P. Phytoremediation of soil contaminated with cadmium, copper and polychlorinated biphenyls. Int. J. Phytoremediation 2012, 14, 570–584. [Google Scholar] [CrossRef]
- Gobetti, S.; Kumor, A.; Prach, M.; Sinkkonen, A.; Pacwa-Płociniczak, M. The Multiway Support of Phytoremediation Efficiency of Soil That Has Been Historically Co-Contaminated with Petroleum Hydrocarbons and Heavy Metals Using Zea mays. SSRN J. 2022. [Google Scholar] [CrossRef]
- Ali, M.H.; Khan, M.I.; Bashir, S.; Azam, M.; Naveed, M.; Qadri, R.; Bashir, S.; Mehmood, F.; Shoukat, M.A.; Li, Y.; et al. Biochar and Bacillus sp. MN54 Assisted Phytoremediation of Diesel and Plant Growth Promotion of Maize in Hydrocarbons Contaminated Soil. Agronomy 2021, 11, 1795. [Google Scholar] [CrossRef]
- Ijaz, A.; Imran, A.; Anwar Ul Haq, M.; Khan, Q.M.; Afzal, M. Phytoremediation: Recent Advances in Plant-Endophytic Synergistic Interactions. Plant Soil 2016, 405, 179–195. [Google Scholar] [CrossRef]
- Zając, E.; Fabiańska, M.J.; Jędrszczyk, E.; Skalski, T. Hydrocarbon Degradation and Microbial Survival Improvement in Response to γ-Polyglutamic Acid Application. Int. J. Environ. Res. Public Health 2022, 19, 15066. [Google Scholar] [CrossRef]
- Wrenn, B.A.; Venosa, A.D. Selective Enumeration of Aromatic and Aliphatic Hydrocarbon Degrading Bacteria by a Most-Probable-Number Procedure. Can. J. Microbiol. 1996, 42, 252–258. [Google Scholar] [CrossRef]















| Strain | NCBI Accession Number | nC18H38 | Izo-C19H40 | Tol + Xyl | N | A | Phen | Fluo | F | Pir |
|---|---|---|---|---|---|---|---|---|---|---|
| Dietzia sp. IN118 | KT923327 | + | + | +/− | + | − | + | − | − | + |
| Gordonia sp. IN101 | KT923337 | + | + | + | + | − | +/− | − | − | − |
| Mycolicibacterium frederiksbergense IN53 | JN572675 | + | + | − | + | + | + | − | − | + |
| Raoultella sp. IN109 | KT923339 | + | + | +/− | + | − | + | − | − | +/− |
| Rhodococcus erythropolis IN119 | KT923331 | + | + | + | + | − | − | − | − | − |
| Rhodococcus globerulus IN113 | KT923347 | + | + | + | + | +/− | +/− | +/− | − | +/− |
| Aspergillus sydowii | n/a | + | n/t | − | − | − | + | n/t | n/t | n/t |
| Aspergillus versicolor | n/a | + | n/t | + | + | + | + | n/t | n/t | n/t |
| Candida sp. | n/a | + | n/t | +/− | + | − | − | n/t | n/t | n/t |
| Cladosporium halotolerans | n/a | + | n/t | − | + | + | + | n/t | n/t | n/t |
| Penicillium chrysogenum | n/a | + | n/t | + | + | − | − | n/t | n/t | n/t |
| Strain | The Closest Relative Based on 16S rRNA Accession Number (% of Identity) * | The Closest Relative for Which the Genome Sequence Is Available in NCBI GenBank, Accession Number (% of Identity) * | Putative Gene Encoding for the Enzymes Catalysing the Breakdown of Hydrocarbons |
|---|---|---|---|
| Dietzia sp. IN118 | Dietzia sp. LJ3 MG049763 99.93% | Dietzia kunjamensis 313 CP099712 99.78% | Alkane 1-monooxygenase, aromatic ring-hydroxylating dioxygenase subunit alpha |
| Gordonia sp.IN101 | Gordonia sp. Tm-B24 MT533993 99.63% | Gordonia terrae RL-JC02 CP049836 99.63% | Alkane 1-monooxygenase, pentachlorophenol monooxygenase, naphthalene 1,2-dioxygenase subunit alpha (2 copies), 2,3-dihydroxybiphenyl 1,2-dioxygenase (2 copies) |
| Mycolicibacterium frederiksbergense IN53 | Mycolicibacterium frederiksbergense DSM 44346 (typical strain) NR_025393.1 99.58% | Mycolicibacterium frederiksbergense LB 501T 99.58% | Alkane 1-monooxygenase (2 copies), pentachlorophenol monooxygenase, naphthalene 1,2-dioxygenase subunit alpha (2 copies), 2,3-dihydroxybiphenyl 1,2-dioxygenase (2 copies) |
| Rhodococcus erythropolis IN119 | Rhodococcus erythropolis KD-1 CP050124 99.42% | Rhodococcus erythropolis KD-1 CP050124 99.42% | Alkane 1-monooxygenase (5 copies), pentachlorophenol monooxygenase, cyclohexanone monooxygenase (2 copies), biphenyl 2,3-dioxygenase (2 copies), 2,3-dihydroxybiphenyl 1,2-dioxygenase (2 copies) |
| Rhodococcus globerulus IN113 | Rhodococcus globerulus D757 CP079698 99.86% | Rhodococcus globerulus D757 CP079698 99.86% | Alkane 1-monooxygenase (3 copies), 2,3-dihydroxybiphenyl 1,2-dioxygenase (2 copies), aromatic ring-hydroxylating dioxygenase subunit alpha (7 copies) |
| Raoultella sp. IN109 | Raoultella planticola SCLZS62 CP082168 99.08% | Raoultella planticola SCLZS62 CP082168 99.08% | aromatic ring-hydroxylating dioxygenase subunit alpha (2 copies) |
Disclaimer/Publisher’s Note: The statements, opinions and data contained in all publications are solely those of the individual author(s) and contributor(s) and not of MDPI and/or the editor(s). MDPI and/or the editor(s) disclaim responsibility for any injury to people or property resulting from any ideas, methods, instructions or products referred to in the content. |
© 2023 by the authors. Licensee MDPI, Basel, Switzerland. This article is an open access article distributed under the terms and conditions of the Creative Commons Attribution (CC BY) license (https://creativecommons.org/licenses/by/4.0/).
Share and Cite
Wojtowicz, K.; Steliga, T.; Kapusta, P.; Brzeszcz, J. Oil-Contaminated Soil Remediation with Biodegradation by Autochthonous Microorganisms and Phytoremediation by Maize (Zea mays). Molecules 2023, 28, 6104. https://doi.org/10.3390/molecules28166104
Wojtowicz K, Steliga T, Kapusta P, Brzeszcz J. Oil-Contaminated Soil Remediation with Biodegradation by Autochthonous Microorganisms and Phytoremediation by Maize (Zea mays). Molecules. 2023; 28(16):6104. https://doi.org/10.3390/molecules28166104
Chicago/Turabian StyleWojtowicz, Katarzyna, Teresa Steliga, Piotr Kapusta, and Joanna Brzeszcz. 2023. "Oil-Contaminated Soil Remediation with Biodegradation by Autochthonous Microorganisms and Phytoremediation by Maize (Zea mays)" Molecules 28, no. 16: 6104. https://doi.org/10.3390/molecules28166104
APA StyleWojtowicz, K., Steliga, T., Kapusta, P., & Brzeszcz, J. (2023). Oil-Contaminated Soil Remediation with Biodegradation by Autochthonous Microorganisms and Phytoremediation by Maize (Zea mays). Molecules, 28(16), 6104. https://doi.org/10.3390/molecules28166104

