Bioremediation of PAH-Contaminated Soils: Process Enhancement through Composting/Compost
Abstract
1. Introduction
2. Soil Contamination with PAHs
2.1. PAHs: Properties and Sources
2.2. Bioremediation of PAH-Contaminated Soils
3. Composting Technology
4. Bioremediation of PAH-Contaminated Soil by Composting
4.1. Effect of PAH Characteristics and Concentrations
4.2. Effect of Temperature
4.3. Effect of Organic Co-Substrate Stability
4.4. Effect of the Mixing Ratio
4.5. Bioaugmentation
5. Bioavailability of PAHs
5.1. Factors Affecting PAH Bioavailability
5.2. Surfactant
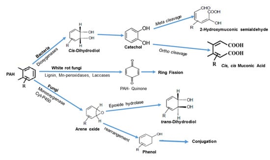
6. PAH Biodegradation Pathway
7. Conclusions
Author Contributions
Funding
Acknowledgments
Conflicts of Interest
Abbreviations
| PAHs | Polycyclic aromatic hydrocarbons |
| HMW | High molecular weight |
| LMW | Low molecular weight |
| USEPA | United States Environmental Protection Agency |
References
- Levillain, J.; Cattan, P.; Colin, F.; Voltz, M.; Cabidoche, Y.M. Analysis of environmental and farming factors of soil contamination by a persistent organic pollutant, chlordecone, in a banana production area of French West Indies. Agric. Ecosyst. Environ. 2012, 159, 123–132. [Google Scholar] [CrossRef]
- Yuan, G.L.; Qin, J.X.; Li, J.; Lang, X.X.; Wang, G.H. Persistent organic pollutants in soil near the Changwengluozha glacier of the Central Tibetan Plateau, China: Their sorption to clays and implication. Sci. Total Environ. 2014, 472, 309–315. [Google Scholar] [CrossRef]
- Zeng, G.; Wan, J.; Huang, D.; Hu, L.; Huang, C.; Cheng, M.; Xue, W.; Gong, X.; Wang, R.; Jiang, D. Precipitation, adsorption and rhizosphere effect: The mechanisms for Phosphate-induced Pb immobilization in soils—A review. J. Hazard. Mater. 2017, 339, 354–367. [Google Scholar] [CrossRef] [PubMed]
- Kavamura, V.N.; Esposito, E. Biotechnological strategies applied to the decontamination of soils polluted with heavy metals. Biotechnol. Adv. 2010, 28, 61–69. [Google Scholar] [CrossRef] [PubMed]
- Xu, P.; Zeng, G.M.; Huang, D.L.; Feng, C.L.; Hu, S.; Zhao, M.H.; Lai, C.; Wei, Z.; Huang, C.; Xie, G.X.; et al. Use of iron oxide nanomaterials in wastewater treatment: A review. Sci. Total Environ. 2012, 424, 1–10. [Google Scholar] [CrossRef] [PubMed]
- Ha, H.; Olson, J.; Bian, L.; Rogerson, P.A. Analysis of heavy metal sources in soil using kriging interpolation on principal components. Environ. Sci. Technol. 2014, 48, 4999–5007. [Google Scholar] [CrossRef]
- Chen, M.; Xu, P.; Zeng, G.M.; Yang, C.P.; Huang, D.L.; Zhang, J.C. Bioremediation of soils contaminated with polycyclic aromatic hydrocarbons, petroleum, pesticides, chlorophenols and heavy metals by composting: Applications, microbes and future research needs. Biotechnol. Adv. 2015, 33, 745–755. [Google Scholar] [CrossRef]
- Udeigwe, T.K.; Eze, P.N.; Teboh, J.M.; Stietiya, M.H. Application, chemistry, and environmental implications of contaminant-immobilization amendments on agricultural soil and water quality. Environ. Int. 2011, 37, 258–267. [Google Scholar] [CrossRef]
- Hu, G.; Li, J.; Zeng, G. Recent development in the treatment of oily sludge from petroleum industry: A review. J. Hazard. Mater. 2013, 261, 470–490. [Google Scholar] [CrossRef]
- Zeng, G.M.; Chen, M.; Zeng, Z.T. Shale gas: Surface water also at risk. Nature 2013, 499, 154. [Google Scholar] [CrossRef]
- Tang, W.W.; Zeng, G.M.; Gong, J.L.; Liang, J.; Xu, P.; Zhang, C.; Huang, B.-B. Impact of humic/fulvic acid on the removal of heavy metals from aqueous solutions using nanomaterials: A review. Sci. Total Environ. 2014, 468, 1014–1027. [Google Scholar] [CrossRef] [PubMed]
- Zhu, Y.; Yang, L.; Yuan, Q.; Yan, C.; Dong, C.; Meng, C.; Sui, X.; Yao, L.; Yang, F.; Lu, Y.; et al. Airborne particulate polycyclic aromatic hydrocarbon (PAH) pollution in a background site in the North China Plain: Concentration, size distribution, toxicity and sources. Sci. Total Environ. 2015, 466–467, 357–368. [Google Scholar] [CrossRef] [PubMed]
- Yam, R.; Leung, W. Emissions trading in Hong Kong and the Pearl River Delta region -a modeling approach to trade decisions in Hong Kong’s electricity industry. Environ. Sci. Pol. 2013, 31, 1–12. [Google Scholar] [CrossRef]
- Witter, A.; Nguyen, M.; Baidar, S.; Sak, P. Coal-tar-based sealcoated pavement: A major PAH source to urban stream sediments. Environ. Pollut. 2014, 185, 59–68. [Google Scholar] [CrossRef]
- Bacosa, H.P.; Inoue, C. Polycyclic aromatic hydrocarbons (PAHs) biodegradation potential and diversity of microbial consortia enriched from tsunami sediments in Miyagi, Japan. J. Hazard. Mater. 2015, 283, 689–697. [Google Scholar] [CrossRef]
- Wan, J.; Zeng, G.M.; Huang, D.L.; Huang, C.; Lai, C.; Li, N.J.; Wei, Z.; Xu, P.; He, X.; Lai, M.Y.; et al. The oxidative stress of phanerochaete chrysosporium against lead toxicity. Appl. Biochem. Biotechnol. 2015, 175, 1981–1991. [Google Scholar] [CrossRef]
- Evans, M.; Davies, M.; Janzen, K.; Muir, D.; Hazewinkel, R.; Kirk, J.; de Boer, D. PAH distributions in sediments in the oil sands monitoring area and western Lake Athabasca: Concentration, composition and diagnostic ratios. Environ. Pollut. 2016, 213, 671–687. [Google Scholar] [CrossRef]
- Maliszewska-Kordybach, B.; Smreczak, B.; Klimkowicz-Pawlas, A. The levels and composition of persistent organic pollutants in alluvial agriculture soils affected by flooding. Environ. Monit. Assess. 2013, 185, 9935–9948. [Google Scholar] [CrossRef]
- Tsibart, A.; Gennadiev, A. Polycyclic aromatic hydrocarbons in soils: Sources, behavior, and indication significance. Eurasian Soil Sci. 2013, 46, 728–741. [Google Scholar] [CrossRef]
- Chen, B.; Yuan, M. Enhanced sorption of polycyclic aromatic hydrocarbons by soil amended with biochar. J. Soils Sediment. 2011, 11, 62–71. [Google Scholar] [CrossRef]
- Koshlaf, E.; Shahsavari, E.; Aburto-Medina, A.; Taha, M.; Haleyur, N.; Makadia, T.H.; Morrison, P.D.; Ball, A.S. Bioremediation potential of diesel-contaminated Libyan soil. Ecotoxicol. Environ. Saf. 2016, 133, 297–305. [Google Scholar] [CrossRef] [PubMed]
- Usman, M.M.; Dadrasnia, A.; Lim, K.T.; Mahmud, A.F.; Ismail, S. Application of Biosurfactants in Environmental Biotechnology; Remediation of Oil and Heavy Metal. AIMS Bioeng. 2016, 3, 289–304. [Google Scholar] [CrossRef]
- Antizar-Ladislao, B.; Lopez-Real, J.; Beck, A. Degradation of polycyclic aromatic hydrocarbons (PAHs) in an aged coal tar contaminated soil under in-vessel composting conditions. Environ. Pollut. 2006, 141, 459–468. [Google Scholar] [CrossRef] [PubMed]
- Puglisi, E.; Cappa, F.; Fragoulis, G.; Trevisan, M.; Del Re, A.A.M. Bioavailability and degradation of phenanthrene in compost amended soils. Chemosphere 2007, 67, 548–556. [Google Scholar] [CrossRef]
- Sayara, T.; Borràs, E.; Caminal, G.; Sarrà, M.; Sánchez, A. Bioremediation of PAHs-contaminated soil through composting: Influence of bioaugmentation and biostimulation on contaminant biodegradation. Int. Biodeter. Biodegr. 2011, 65, 859–865. [Google Scholar] [CrossRef]
- Ortega-Calvo, J.; Tejeda-Agredano, M.; Jimenez-Sanchez, C.; Congiu, E.; Sungthong, R.; Niqui-Arroyo, J.; Cantos, M. Is it possible to increase bioavailability but not environmental risk of PAHs in bioremediation? J. Hazard. Mater. 2013, 261, 733–745. [Google Scholar] [CrossRef]
- Lukić, B.; Panico, A.; Huguenot, D.; Fabbricino, M.; van Hullebusch, E.D.; Esposito, G. Evaluation of PAH removal efficiency in an artificial soil amended with different types of organic wastes. Euro-Mediterr. J. Environ. Integr. 2016, 1, 5. [Google Scholar] [CrossRef]
- Miller, M.; Stratton, G.; Murray, G. Effects of nutrient amendments and temperature on the biodegradation of pentachlorophenol contaminated soil. Water Air Soil Pollut. 2004, 151, 87–101. [Google Scholar] [CrossRef]
- Joo, H.S.; Ndegwa, P.M.; Shoda, M.; Phae, C.G. Bioremediation of oilcontaminated soil using Candida catenulata and food waste. Environ. Pollut. 2008, 156, 891–896. [Google Scholar] [CrossRef]
- Li, J.L.; Chen, B.H. Effect of nonionic surfactants on biodegradation of phenanthrene by a marine bacteria of Neptunomonas naphthovorans. J. Hazard. Mater. 2009, 162, 66–73. [Google Scholar] [CrossRef]
- Gomez, S.M. Optimization of field scale biopiles for bioremediation of petroleum hydrocarbon contaminated soil at low temperature conditions by response surface methodology (RSM). Int. Biodeter. Biodegr. 2014, 89, 103–109. [Google Scholar] [CrossRef]
- Huang, C.; Zeng, G.; Huang, D.; Lai, C.; Xu, P.; Zhang, C.; Cheng, M.; Wan, J.; Hu, L.; Zhang, Y. Effect of Phanerochaete chrysosporium inoculation on bacterial community and metal stabilization in lead-contaminated agricultural waste composting. Bioresour. Technol. 2017, 243, 294–303. [Google Scholar] [CrossRef] [PubMed]
- Lamichhane, S.; Krishna, K.C.B.; Sarukkalige, R. Surfactant-enhanced remediation of polycyclic aromatic hydrocarbons: A review. J. Environ. Manag. 2017, 199, 46–61. [Google Scholar] [CrossRef]
- Liu, Y.; Zeng, G.; Zhong, H.; Wang, Z.; Liu, Z.; Cheng, M.; Liu, G.; Yang, X.; Liu, S. Effect of rhamnolipid solubilization on hexadecane bioavailability: Enhancement or reduction? J. Hazard. Mater. 2017, 322, 394–401. [Google Scholar] [CrossRef] [PubMed]
- Samanta, S.K.; Singh, O.V.; Jain, R.K. Polycyclic aromatic hydrocarbons: Environmental pollution and bioremediation. Trends Biotechnol. 2002, 20, 243–248. [Google Scholar] [CrossRef]
- Watanabe, K.; Futamata, H.; Harayama, S. Understanding the diversity in catabolic potential of microorganisms for the development of bioremediation strategies. Anton. Van Leeuw. 2002, 81, 655–663. [Google Scholar] [CrossRef] [PubMed]
- Yu, Z.; Zeng, G.M.; Chen, Y.N.; Zhang, J.C.; Yu, Y.; Li, H.; Liu, Z.-F.; Tang, L. Effects of inoculation with Phanerochaete chrysosporium on remediation of pentachlorophenol-contaminated soil waste by composting. Process. Biochem. 2011, 46, 1285–1291. [Google Scholar] [CrossRef]
- Gemmell, B.J.; Bacosa, H.P.; Liu, Z.; Buskey, E.J. Can gelatinous zooplankton influence the fate of crude oil in marine environments? Mar. Pollut. Bull. 2016, 113, 483–487. [Google Scholar] [CrossRef]
- Sosa, B.S.; Porta, A.; Lerner, J.E.C.; Noriega, R.B.; Massolo, L. Human health risk due to variations in PM10-PM2.5 and associated PAHs levels. Atmos. Environ. 2017, 160, 27–35. [Google Scholar] [CrossRef]
- EC (European Commission). Communication from the Commission to the Council, the European Parliament, the European Economic and Social Committee and the Committee of the Regions—Thematic Strategy for Soil Protection. COM, 2006; 231final. 2006. Available online: http://ec.europa.eu/environment/soil/pdf/com_2006_0231_en.pdf (accessed on 15 January 2020).
- EEA (European Environment Agency). Progress in Management of Contaminated Sites (CSI 015) 2007. Available online: http://themes.eea.europa.eu/IMS/ISpecs/ISpecification20041007131746/IAssessment1152619898983/view_content (accessed on 15 January 2020).
- Fu, P.P.; Xia, Q.; Sun, X.; Yu, H. Phototoxicity and environmental transformation of polycyclic aromatic hydrocarbons (PAHs)-light-induced reactive oxygen species, lipid peroxidation, and DNA damage. J. Environ. Sci. Health C 2012, 30, 1–41. [Google Scholar] [CrossRef]
- Niepceron, M.; Martin-Laurent, F.; Crampon, M.; Portet-Koltalo, F.; Akpa-Vinceslas, M.; Legras, M.; Bru, D.; Bureau, F.; Bodilis, J. Gamma Proteobacteria as a potential bioindicator of a multiple contamination by polycyclic aromatic hydrocarbons (PAHs) in agricultural soils. Environ. Pollut. 2013, 180, 199–205. [Google Scholar] [CrossRef] [PubMed]
- Wenzl, T.; Simon, R.; Anklam, E.; Kleiner, J. Analytical methods for polycyclic aromatic hydrocarbons (PAHs) in food and the environment needed for new food legislation in the European Union. Trends Anal. Chem. 2006, 25, 716–725. [Google Scholar] [CrossRef]
- Gabov, D.N.; Beznosikov, V.A.; Kondratenok, B.M.; Yakovleva, E.V. Polycyclic aromatic hydrocarbons in the soils of technogenic landscapes. Geochem. Int. 2010, 48, 569–579. [Google Scholar] [CrossRef]
- Gennadiev, A.; Tsibart, A. Pyrogenic polycyclic aromatic hydrocarbons in soils of reserved and anthropogenically modified areas: Factors and features of accumulation. Eurasian Soil Sci. 2013, 46, 28–36. [Google Scholar] [CrossRef]
- Luo, L.; Lin, S.; Huang, H.L.; Zhang, S.Z. Relationships between aging of PAHs and soil properties. Environ. Pollut. 2012, 170, 177–182. [Google Scholar] [CrossRef]
- Pereira, T.; Laiana, S.; Rocha, J.; Broto, F.; Comellas, L.; Salvadori, D.; Vargas, V. Toxicogenetic monitoring in urban cities exposed to different airborne contaminants. Ecotoxicol. Environ. Saf. 2013, 90, 174–182. [Google Scholar] [CrossRef]
- Mohan, S.V.; Prasanna, D.; Purushotham, R.B.; Sarma, P.N. Ex situ bioremediation of pyrene contaminated soil in bio-slurry phase reactor operated in periodic discontinuous batch mode: Influence of bioaugmentation. Int. Biodeter. Biodegr. 2008, 62, 162–169. [Google Scholar] [CrossRef]
- Hamdi, H.; Benzarti, S.; Manusadžianas, L.; Aoyama, I.; Jedidi, N. Bioaugmentation and biostimulation effects on PAH dissipation and soil ecotoxicity under controlled conditions. Soil Biol. Bioch. 2007, 39, 1926–1935. [Google Scholar] [CrossRef]
- Mrozik, A.; Piotrowska-Seget, Z. Bioaugmentation as a strategy for cleaning up of soils contaminated with aromatic compounds. Microbiol. Res. 2010, 165, 363–375. [Google Scholar] [CrossRef]
- Sayler, G.S.; Ripp, S. Field applications of genetically engineered microorganisms for bioremediation processes. Curr. Opin. Biotechnol. 2000, 11, 286–289. [Google Scholar] [CrossRef]
- Haug, R.T. The Practical Handbook of Compost Engineering; Lewis Publishers: Boca Raton, FL, USA, 1993. [Google Scholar]
- Hsu, J.H.; Lo, S.L. Chemical and spectroscopic analysis of organic matter transformations during composting of pig manure. Environ. Pollut. 1999, 104, 189–196. [Google Scholar] [CrossRef]
- Lemmon, C.R.; Pylypiw, H.M. Degradation of diazanon, chlorpyrifos, isofenphos and pendimethalin in grass and compost. Bull. Environ. Contam. Toxicol. 1992, 48, 409–415. [Google Scholar] [CrossRef] [PubMed]
- Breitung, J.; Bruns-Nagel, D.; Steinbach, K.; Kaminski, L.; Gemsa, D.; Von LoÈ w, E. Bioremediation of 2, 4, 6-trinitrotoluene-contaminated soils by two different aerated compost systems. Appl. Microbiol. Biotechnol. 1996, 44, 795–800. [Google Scholar] [CrossRef] [PubMed]
- Semple, K.T.; Reid, B.J.; Fermor, T.R. Impact of composting strategies on the treatment of soils contaminated with organic pollutants. Environ. Pollut. 2001, 112, 269–283. [Google Scholar] [CrossRef]
- Loick, N.; Hobbs, P.J.; Hale, M.D.C.; Jones, D.L. Bioremediation of Poly-Aromatic Hydrocarbon (PAH)-Contaminated Soil by Composting. Crit. Rev. Environ. Sci. Technol. 2009, 39, 271–332. [Google Scholar] [CrossRef]
- Sayara, T.; Sarrà, M.; Sánchez, A. Preliminary screening of co-substrates for bioremediation of pyrene-contaminated soil through composting. J. Hazard. Mater. 2009, 172, 1695–1698. [Google Scholar] [CrossRef]
- Gandolfi, I.; Sicolo, M.; Franzetti, A.; Fontanarosa, E.; Santagostino, A.; Bestetti, G. Influence of compost amendment on microbial community and ecotoxicity of hydrocarbon-contaminated soils. Bioresour. Technol. 2010, 101, 568–575. [Google Scholar] [CrossRef]
- Ryckeboer, J.; Mergaert, J.; Vaes, K.; Klammer, S.; De Clercq, D.; Coosemans, J.; Insam, H.; Swings, J. A survey of bacteria and fungi occurring during composting and self-heating processes. Ann. Microbiol. 2003, 53, 349–410. [Google Scholar]
- Tejada, M.; González, J.L.; Hernández, M.T.; García, C. Application of different organic amendments in a gasoline contaminated soil: Effect on soil microbial properties. Bioresour. Technol. 2008, 99, 2872–2880. [Google Scholar] [CrossRef]
- Tejada, M.; Hernandez, M.T.; Garcia, C. Soil restoration using composted plant residues: Effects on soil properties. Soil Tillage Res. 2009, 102, 109–117. [Google Scholar] [CrossRef]
- Hu, Z.H.; Liu, Y.L.; Chen, G.W.; Gui, X.Y.; Chen, T.H.; Zhan, X.M. Characterization of organic matter degradation during composting of manure straw mixtures spiked with tetracyclines. Bioresour. Technol. 2011, 102, 7329–7334. [Google Scholar] [CrossRef] [PubMed]
- Duong, T.T.T.; Penfold, C.; Marschner, P. Differential effects of composts on properties of soils with different textures. Biol. Fert. Soils 2012, 48, 699–707. [Google Scholar] [CrossRef]
- Wu, G.; Kechavarzi, C.; Li, X.; Sui, H.; Pollard, S.J.T.; Coulon, F. Influence of mature compost amendment on total and bioavailable polycyclic aromatic hydrocarbons in contaminated soils. Chemosphere 2013, 90, 2240–2246. [Google Scholar] [CrossRef] [PubMed]
- Bastida, F.; Jehmlichc, N.; Lima, K.; Morris, B.E.L.; Richnow, H.H.; Hernández, T.; von Bergen, M.; García, C. The ecological and physiological responses of the microbial community from a semiarid soil to hydrocarbon contamination and its bioremediation using compost amendment. J. Proteomics 2016, 135, 162–169. [Google Scholar] [CrossRef]
- Latawiec, A.E.; Swindell, A.L.; Simmons, P.; Reid, B.J. Bringing bioavailability into contaminated land decision making: The way forward? Crit. Rev. Environ. Sci. Technol. 2011, 41, 52–77. [Google Scholar] [CrossRef]
- Amir, S.; Hafidi, M.; Merlina, G.; Hamdi, H.; Revel, J.C. Fate of polycyclic aromatic hydrocarbons during composting of lagooning sewage sludge. Chemosphere 2005, 58, 449–458. [Google Scholar] [CrossRef]
- Yang, Y.; Tao, S.; Zhang, N.; Zhang, D.Y.; Li, X.Q. The effect of soil organic matter on fate of polycyclic aromatic hydrocarbons in soil: A microcosm study. Environ. Pollut. 2010, 158, 1768–1774. [Google Scholar] [CrossRef]
- Tang, J.; Lu, X.; Sun, Q.; Zhu, W. Aging effect of petroleum hydrocarbons in soil under different attenuation conditions. Agric. Ecosyst. Environ. 2012, 149, 109–117. [Google Scholar] [CrossRef]
- Cébron, A.; Faure, P.; Lorgeoux, C.; Ouvrard, S.; Leyval, C. Experimental increase in availability of a PAH complex organic contamination from an aged contaminated soil: Consequences on biodegradation. Environ. Pollut. 2013, 177, 98–105. [Google Scholar] [CrossRef]
- Han, X.; Hu, H.; Shi, X.; Zhang, L.; He, J. Effects of different agricultural wastes on the dissipation of PAHs and the PAH-degrading genes in a PAH-contaminated soil. Chemosphere 2017, 172, 286–293. [Google Scholar] [CrossRef]
- Lukić, B.; Huguenot, D.; Panico, A.; Fabbricino, M.; van Hullebusch, E.D.; Esposito, G. Importance of organic amendment characteristics on bioremediation of PAH-contaminated soil. Environ. Sci. Pollut. Res. Int. 2016, 23, 15041–15052. [Google Scholar] [CrossRef] [PubMed]
- Namkoong, W.; Hwang, E.Y.; Park, J.S.; Choi, J.Y. Bioremediation of diesel-contaminated soil with composting. Environ. Pollut. 2002, 119, 23–31. [Google Scholar] [CrossRef]
- Piskonen, R.; Itävaara, M. Evaluation of chemical pretreatment of contaminated soil for improved PAH bioremediation. Appl. Microbiol. Biotechnol. 2004, 65, 627–634. [Google Scholar] [CrossRef] [PubMed]
- Juhasz, A.L.; Naidu, R. Bioremediation of high molecular weight polycyclic aromatic hydrocarbons: A review of the microbial degradation of benzo[a]pyrene. Int. Biodeterior. Biodegrad. 2000, 45, 57–88. [Google Scholar] [CrossRef]
- Sayara, T.; Sarrà, M.; Sánchez, A. Effects of compost stability and contaminant concentration on the bioremediation of PAHs contaminated soil through composting. J. Hazard. Mater. 2010, 179, 999–1006. [Google Scholar] [CrossRef]
- Sayara, T.; Sarrà, M.; Sánchez, A. Optimization and enhancement of soil bioremediation by composting using the experimental design technique. Biodegradation 2010, 21, 345–356. [Google Scholar] [CrossRef]
- Zappi, M.E.; Rogers, B.A.; Teeter, C.L.; Gunnison, D.; Bajpai, R. Bioslurry treatment of a soil contaminated with low concentrations of total petroleum hydrocarbons. J. Hazard. Mater. 1996, 46, 1–12. [Google Scholar] [CrossRef]
- Jorgensen, K.S.; Puustinen, J.; Suortti, A.M. Bioremediation of petroleum hydrocarbon-contaminated soil by composting in biopiles. Environ. Pollut. 2000, 107, 245–254. [Google Scholar] [CrossRef]
- Viamajala, S.; Peyton, B.M.; Richards, L.A.; Petersen, J.N. Solubilization, solution equilibria, and biodegradation of PAHs under thermophilic conditions. Chemosphere 2007, 66, 1094–1106. [Google Scholar] [CrossRef]
- Bartha, R.; Bossert, I. The Treatment and Disposal of Petroleum Wastes in Petroleum Microbiology; Macmillan: New York, NY, USA, 1984; pp. 553–578. [Google Scholar]
- Cooney, J.J. The Fate of Petroleum Pollutants in Fresh Water Ecosystems. In Petroleum Microbiology; Atlas, R.M., Ed.; Macmillan: New York, NY, USA, 1984; pp. 399–434. [Google Scholar]
- Purnomo, A.S.; Koyama, F.; Mori, T.; Kondo, R. DDT degradation potential of cattle manure compost. Chemosphere 2010, 80, 619–624. [Google Scholar] [CrossRef]
- Houot, S.; Verge-Leviel, C.; Poitrenaud, M. Potential mineralization of various organic pollutants during composting. Pedosphere 2012, 22, 536–543. [Google Scholar] [CrossRef]
- Peng, J.J.; Zhang, Y.; Su, J.Q.; Qiu, Q.F.; Jia, Z.J.; Zhu, Y.G. Bacterial communities predominant in the degradation of 13C4-4,5,9,10-pyrene during composting. Bioresour. Technol. 2013, 143, 608–614. [Google Scholar] [CrossRef] [PubMed]
- Antizar-Ladislao, B.; Lopez-Real, J.; Beck, A.J. In-vessel composting-bioremediation of aged coal tar soil: Effect of temperature and soil/green waste amendment ratio. Environ. Int. 2005, 31, 173–178. [Google Scholar] [CrossRef] [PubMed]
- Antizar-Ladislao, B.; Spanova, K.; Beck, A.J.; Russell, N.J. Microbial community structure changes during bioremediation of PAHs in an aged coal-tar contaminated soil by in-vessel composting. Int. Biodeterior. Biodegrad. 2008, 61, 357–364. [Google Scholar] [CrossRef]
- Kriipsalu, M.; Marques, M.; Hogland, W.; Nammari, D.R. Fate of polycyclic aromatic hydrocarbons during composting of oil sludge. Environ. Technol. 2008, 29, 43–53. [Google Scholar] [CrossRef]
- Alves, D.; Villar, I.; Mato, S. Thermophilic composting of hydrocarbon residue with sewage sludge and fish sludge as cosubstrates: Microbial changes and TPH reduction. J. Environ. Manag. 2019, 239, 30–37. [Google Scholar] [CrossRef]
- Zhu, F.; Storey, S.; Ashaari, M.M.; Clipson, N.; Doyle, E. Benzo (a) pyrene degradation and microbial community responses in composted soil. Environ. Sci. Pollut. R. 2017, 24, 5404–5414. [Google Scholar] [CrossRef]
- Ren, X.; Zeng, G.; Tang, L.; Wang, J.; Wan, J.; Wang, J.; Deng, Y.; Liu, Y.; Peng, B. The potential impact on the biodegradation of organic pollutants from composting technology for soil remediation. Waste Manag. 2018, 72, 138–149. [Google Scholar] [CrossRef]
- Mattei, P.; Cincinelli, A.; Martellini, T.; Natalini, R.; Pascale, E.; Renella, G. Reclamation of river dredged sediments polluted by PAHs by co-composting with green waste. Sci. Total. Environ. 2016, 566–567, 567–574. [Google Scholar] [CrossRef]
- Hesnawi, R.M.; McCartney, D. Impact of compost amendments and operating temperature on diesel fuel bioremediation. Environ. Eng. Sci. 2006, 5, 37–45. [Google Scholar] [CrossRef]
- Li, J.Y.; Ye, Q.F.; Gan, J. Influence of organic amendment on fate of acetaminophen and sulfamethoxazole in soil. Environ. Pollut. 2015, 206, 543–550. [Google Scholar] [CrossRef] [PubMed]
- Plaza, C.; Xing, B.S.; Fernández, J.M.; Senesi, N.; Polo, A. Binding of polycyclic aromatic hydrocarbons by humic acids formed during composting. Environ. Pollut. 2009, 157, 257–263. [Google Scholar] [CrossRef] [PubMed]
- Zmora-Nahum, S.; Markovitch, O.; Tarchitzky, J.; Chen, Y. Dissolved organic carbon (DOC) as a parameter of compost maturity. Soil Biol. Biochem. 2005, 37, 2109–2116. [Google Scholar] [CrossRef]
- Adam, I.K.U.; Miltner, A.; Kästner, M. Degradation of 13C-labeled pyrene in soil-compost mixtures and fertilized soil. Appl. Microbiol. Biotechnol. 2015, 99, 9813–9824. [Google Scholar] [CrossRef]
- Senesi, N.; Plaza, C. Role of humification processes in recycling organic wastes of various nature and sources as soil amendments. Clean-Soil Air Water. 2007, 35, 26–41. [Google Scholar] [CrossRef]
- He, X.S.; Xi, B.D.; Cui, D.Y.; Liu, Y.; Tan, W.B.; Pan, H.W.; Li, D. Influence of chemical and structural evolution of dissolved organic matter on electron transfer capacity during composting. J. Hazard. Mater. 2014, 268, 256–263. [Google Scholar] [CrossRef]
- Doublet, J.; Francou, C.; Pétraud, J.P.; Dignac, M.F.; Poitrenaud, M.; Houot, S. Distribution of C and N mineralization of a sludge compost within particle-size fractions. Bioresour. Technol. 2010, 101, 1254–1262. [Google Scholar] [CrossRef]
- Verma, S.L.; Marschner, P. Compost effects on microbial biomass and soil P pools as affected by particle size and soil properties. J. Soil Sci. Plant. Nut. 2013, 13, 313–328. [Google Scholar]
- Jednak, T.; Avdalović, J.; Miletić, S.; Slavković-Beškoski, L.; Stanković, D.; Milić, J.; Llic, M.; Beškoski, V.; Gojgić-Cvijović, G.; Vrvić, M.M. Transformation and synthesis of humic substances during bioremediation of petroleum hydrocarbons. Int. Biodeterior. Biodegrad. 2017, 122, 47–52. [Google Scholar] [CrossRef]
- Ortega-Calvo, J.J.; Saiz-Jimenez, C. Effect of humic fractions and clay on biodegradation of phenanthrene by a Pseudomonas fluorescens strain isolated from soil. Appl. Environ. Microbiol. 1998, 64, 3123–3126. [Google Scholar] [CrossRef]
- Kobayashi, T.; Murai, Y.; Tatsumi, K.; Iimura, Y. Biodegradation of polycyclic aromatic hydrocarbons by Sphingomonas sp. enhanced by water-extractable organic matter from manure compost. Sci. Total Environ. 2009, 407, 5805–5810. [Google Scholar] [CrossRef] [PubMed]
- Nwankwegu, A.S.; Orji, M.U.; Onwosi, C.O. Studies on organic and in-organic biostimulants in bioremediation of diesel-contaminated arable soil. Chemosphere 2016, 162, 148–156. [Google Scholar] [CrossRef] [PubMed]
- Chen, F.; Li, X.; Zhu, Q.; Ma, J.; Hou, H.; Zhang, S. Bioremediation of petroleum-contaminated soil enhanced by aged refuse. Chemosphere 2019, 222, 98–105. [Google Scholar] [CrossRef]
- Wang, Z.Y.; Xu, Y.; Zhao, J.; Li, F.M.; Gao, D.M.; Xing, B.S. Remediation of petroleum contaminated soils through composting and rhizosphere degradation. J. Hazard. Mater. 2011, 190, 677–685. [Google Scholar] [CrossRef]
- Hickman, Z.A.; Reid, B.J. The co-application of earthworms (Dendrobaena veneta) and compost to increase hydrocarbon losses from diesel contaminated soils. Environ. Int. 2008, 34, 1016–1022. [Google Scholar] [CrossRef]
- Bao, H.; Wang, J.; Li, J.; Zhang, H.; Wu, F. Effects of corn straw on dissipation of polycyclic aromatic hydrocarbons and potential application of backpropagation artificial neural network prediction model for PAHs bioremediation. Ecotoxicol. Environ. Saf. 2019, 186, 109745. [Google Scholar] [CrossRef]
- Huesemann, M.H.; Hausmann, T.S.; Fortman, T.J. Does bioavailability limit biodegrada- tion? A comparison of hydrocarbon biodegradation and desorption rates in aged soils. Biodegradation 2004, 15, 261–274. [Google Scholar] [CrossRef]
- Hwang, S.; Cutright, T.J. Biodegradability of aged pyrene and phenanthrene in a natural soil. Chemosphere 2002, 47, 891–899. [Google Scholar] [CrossRef]
- Kennedy, T.A.; Naeem, S.; Howe, K.M.; Knops, J.M.H.; Tilman, D.; Reich, P. Biodiversity as a barrier to ecological invasion. Nature 2002, 417, 636–638. [Google Scholar] [CrossRef] [PubMed]
- Zhang, Y.; Zhu, Y.G.; Houot, S.; Qiao, M.; Nunan, N.; Garnier, P. Remediation of polycyclic aromatic hydrocarbon (PAH) contaminated soil through composting with fresh organic wastes. Environ. Sci. Pollut. Res. Int. 2011, 18, 1574–1584. [Google Scholar] [CrossRef] [PubMed]
- Winquist, E.; Bjorklof, K.; Schultz, E.; Räsänen, M.; Salonen, K.; Anasonye, F.; Cajthaml, T.; Steffen, K.T.; Jørgensen, K.S.; Tuomela, M. Bioremediation of PAH-contaminated soil with fungi- From laboratory to field scale. Int. Biodeter. Biodegr. 2014, 86, 238–247. [Google Scholar] [CrossRef]
- Wu, M.L.; Dick, W.A.; Li, W.; Wang, X.C.; Yang, Q.; Wang, T.T.; Xu, L.M.; Zhang, M.H.; Chen, L.M. Bioaugmentation and biostimulation of hydrocarbon degradation and the microbial community in a petroleum-contaminated soil. Int. Biodeter. Biodegr. 2016, 107, 158–164. [Google Scholar] [CrossRef]
- Canet, R.; Birnstingl, J.G.; Malcolm, D.G.; Lopez-Real, J.M.; Beck, A.J. Biodegradation of polycyclic aromatic hydrocarbons (PAHs) by native microflora and combinations of white-rot fungi in a coal-tar contaminated soil. Bioresour. Technol. 2001, 76, 113–117. [Google Scholar] [CrossRef]
- McFarland, M.J.; Qiu, X.J. Removal of benzo(a)pyrene in soil composting systems amended with the white rot fungus Phanerochaete chrysosporium. J. Hazard. Mater. 1995, 42, 61–70. [Google Scholar] [CrossRef]
- Lebeau, T. Bioaugmentation for in Situ Soil Remediation: How to Ensure the Success of Such a Process. In Bio- Augmentation, Biostimulation and Biocontrol, Soil Biology; Singh, A., Parmar, N., Kuhad, R.C., Eds.; Springer: Berlin/Heidelberg, Germany, 2011; Volume 28, pp. 129–186. [Google Scholar]
- Tyagi, M.; da Fonseca, M.M.R.; de Carvalho, C.C.C.R. Bioaugmentation and biostimulation strategies to improve the effectiveness of bioremediation processes. Biodegradation 2011, 22, 231–241. [Google Scholar] [CrossRef] [PubMed]
- Zafra, G.; Cortés-Espinosa, D.V. Biodegradation of polycyclic aromatic hydrocarbons by Trichoderma species: A mini review. Environ. Sci. Pollut. Res. 2015, 22, 19426–19433. [Google Scholar] [CrossRef] [PubMed]
- Mueller, J.G.; Cerniglia, C.E.; Pritchard, P.H. Bioremediation of Environments Contaminated by Polycyclic Aromatic Hydrocarbons. In Bioremediation: Principles and Applications; Crawford, R.L., Crawford, D.L., Eds.; Cambridge University Press: Cambridge, UK, 1996; pp. 1215–1294. [Google Scholar]
- Semple, K.T.; Doick, K.J.; Jones, K.C.; Burauel, P.; Craven, A.; Harms, H. Defining bioavailability and bioaccessibility of contaminated soil and sediment is complicated. Environ. Sci. Technol. 2004, 38, 228A–231A. [Google Scholar] [CrossRef] [PubMed]
- Semple, K.T.; Riding, M.J.; McAllister, L.E.; Sopena-Vazquez, F.; Bending, G.D. Impact of black carbon on the bioaccessibility of organic contaminants in soil. J. Hazard. Mater. 2013, 261, 808–816. [Google Scholar] [CrossRef] [PubMed]
- Stokes, J.D.; Paton, G.; Semple, K.T. Behaviour and assessment of bioavailability of organic contaminants in soil: Relevance for risk assessment and remediation. Soil Use Manag. 2006, 21, 475–486. [Google Scholar] [CrossRef]
- Loeher, R.C.; Mc Millen, S.J.; Webster, M.T. Predictions of biotreatability and actual results: Soils with petroleum hydrocarbons. Pract. Period. Hazard. Toxic Radioact. Waste Manag. 2001, 5, 78–87. [Google Scholar] [CrossRef]
- Trinidade, P.V.O.; Sobral, A.C.L.; Rizzo, S.G.F.; Leite Soriano, A.U. Bioremediation of weathered and recently oil-contaminated soils from Brazil: A compression study. Chemosphere 2005, 58, 515–522. [Google Scholar] [CrossRef] [PubMed]
- Allard, A.S.; Remberger, M.; Neilson, A.H. The negative impact of aging on the loss of PAH components in a creosote-contaminated soil. Int. Biodeter. Biodegr. 2000, 46, 43–49. [Google Scholar] [CrossRef]
- Maletic, S.; Dalmacija, B.; Roncevic, S.; Agbaba, J.; Ugarcina, P.S. Impact of hydrocarbon type, concentration and weathering on its biodegradability in soil. J. Environ. Sci. Heal. A 2011, 46, 1042–1049. [Google Scholar] [CrossRef] [PubMed]
- Delgado-Balbuena, L.; Romero-Tepal, E.M.; Luna-Guido, M.L.; Marsch, R.; Dendooven, L. Removal of anthracene from recently contaminated and aged soils. Water Air Soil Pollut. 2013, 224, 1420. [Google Scholar] [CrossRef]
- Margesin, R.; Labbe, D.; Schninner, F.; Greer, C.W.; Whyte, L.G. Characterization of Hydrocarbon-Degrading Microbial Populations in Contaminated and Pristine Contaminated Soils. Appl. Environ. Microbiol. 2003, 69, 3085–3092. [Google Scholar] [CrossRef]
- Pawar, R.M. The Effect of Soil pH on Bioremediation of Polycyclic Aromatic Hydrocarbons (PAHS). J. Bioremed. Biodeg. 2015, 6, 291. [Google Scholar] [CrossRef]
- Couling, N.R.; Towell, M.G.; Semple, K.T. Biodegradation of PAHs in soil: Influence of chemical structure, concentration and multiple amendment. Environ. Pollut. 2010, 158, 3411–3420. [Google Scholar] [CrossRef]
- Trellu, C.; Mousset, E.; Pechaud, Y.; Huguenot, D.; Van Hullebusch, E.D.; Esposito, G.; Oturan, M.A. Removal of hydrophobic organic pollutants from soil washing/flushing solutions: A critical review. J. Hazard. Mater. 2016, 306, 149–174. [Google Scholar] [CrossRef]
- Cheng, K.Y.; Lai, K.M.; Wong, J.W.C. Effects of pig manure compost and nonionicsurfactant Tween 80 on phenanthrene and pyrene removal from soil vegetated with Agropyron elongatum. Chemosphere 2008, 73, 791–797. [Google Scholar] [CrossRef]
- Adrion, A.C.; Nakamura, J.; Shea, D.; Aitken, M.D. Screening nonionic surfactants for enhanced biodegradation of polycyclic aromatic hydrocarbons remaining in soil after conventional biological treatment. Environ. Sci. Technol. 2016, 50, 3838–3845. [Google Scholar] [CrossRef]
- Shivlata, L.; Satyanarayana, T. Thermophilic and alkaliphilic Actinobacteria: Biology and potential applications. Front. Microbiol. 2015, 6, 1014. [Google Scholar] [CrossRef] [PubMed]
- Shi, Z.; Wang, C.; Zhao, Y. Effects of surfactants on the fractionation, vermiaccumulation, and removal of fluoranthene by earthworms in soil. Chemosphere 2020, 250, 126332. [Google Scholar] [CrossRef] [PubMed]
- Wolf, D.C.; Gan, J. Influence of rhamnolipid biosurfactant and Brij-35 synthetic surfactant on 14C-Pyrene mineralization in soil. Environ. Pollut. 2018, 243, 1846–1853. [Google Scholar] [CrossRef] [PubMed]
- Ambrosoli, R.; Petruzzelli, L.; Minati, J.L.; Marsan, F.A. Anaerobic PAH degradation in soil by a mixed bacterial consortium under denitrifying conditions. Chemosphere 2005, 60, 1231–1236. [Google Scholar] [CrossRef] [PubMed]
- Peng, R.H.; Xiong, A.S.; Xue, Y.; Fu, X.Y.; Gao, F.; Zhao, W.; Tian, Y.-S.; Yao, Q.-H. Microbial biodegradation of polyaromatic hydrocarbons. FEMS Microbiol. Rev. 2008, 32, 927–955. [Google Scholar] [CrossRef] [PubMed]
- Seo, J.S.; Keum, Y.S.; Li, Q.X. Bacterial degradation of aromatic compounds. Int. J. Environ. Res. Public Health 2009, 6, 278–309. [Google Scholar] [CrossRef] [PubMed]
- Mallick, S.; Chakraborty, J.; Dutta, T.K. Role of oxygenases in guiding diverse metabolic pathways in the bacterial degradation of low-molecular-weight polycyclic aromatic hydrocarbons: A review. Crit. Rev. Microbiol. 2011, 37, 64–90. [Google Scholar] [CrossRef]
- Ghosal, D.; Dutta, A.; Chakraborty, J.; Basu, S.; Dutta, T.K. Characterization of the metabolic pathway involved in assimilation of acenaphthene in Acinetobacter sp. strain AGAT-W. Res. Microbiol. 2013, 164, 155–163. [Google Scholar] [CrossRef]
- Hammel, K.E. Mechanisms for polycyclic aromatic hydrocarbon degradation by ligninolytic fungi. Environ. Health Perspect. 1995, 103, 41. [Google Scholar]
- Haritash, A.K.; Kaushik, C.P. Biodegradation aspects of polycyclic aromatic hydrocarbons (PAHs): A review. J. Hazard. Mater. 2009, 169, 1–15. [Google Scholar] [CrossRef]
- Cerniglia, C.E. Biodegradation of polycyclic aromatic hydrocarbons. Biodegradation 1992, 3, 351–368. [Google Scholar] [CrossRef]
- Eaton, R.W.; Chapman, P.J. Bacterial metabolism of naphthalene: Construction and use of recombinant bacteria to study ring cleavage of 1,2-dihydroxynaphthalene and subsequent reactions. J. Bacteriol. 1992, 174, 7542–7554. [Google Scholar] [CrossRef]
- van Herwijnen, R.; Wattiau, P.; Bastiaens, L.; Daal, L.; Jonker, L.; Springael, D.; Govers, H.A.J.; Parsons, J.R. Elucidation of the metabolic pathway of fluorene and cometabolic pathways of phenanthrene, fluoranthene, anthracene and dibenzothiophene by Sphingomonas sp. LB126. Res. Microbiol. 2003, 154, 199–206. [Google Scholar] [CrossRef]
- Kweon, O.; Kim, S.-J.; Jones, R.C.; Freeman, J.P.; Adjei, M.D.; Edmondson, R.D.; Cerniglia, C.E. A polyomic approach to elucidate the fluoranthene-degradative pathway in Mycobacterium vanbaalenii PYR-1. J. Bacteriol. 2007, 189, 4635–4647. [Google Scholar] [CrossRef]
- Kim, S.J.; Kweon, O.; Jones, R.C.; Freeman, J.P.; Edmondson, R.D.; Cerniglia, C.E. Complete and integrated pyrene degradation pathway in Mycobacterium vanbaalenii PYR-1 based on systems biology. J. Bacteriol. 2007, 189, 464–472. [Google Scholar] [CrossRef]
- Sutherland, J.B.; Rafii, F.; khan, A.A.; Cerniglia, C.E. Mechanisms of Polycyclic Aromatic Hydrocarbon Degradation. In Microbial Transformation and Degradation of Toxic Organic Chemicals; Young, L.Y., Cerniglia, C.E., Eds.; Wiley-Liss: New York, NY, USA, 1995. [Google Scholar]
- Bezalel, L.; Hadar, Y.; Cerniglia, C.E. Enzymatic mechanisms involved in phenanthrene degradation by the white rot fungus Pleurotus ostreatus. Appl. Environ. Microbiol. 1997, 63, 2495–2501. [Google Scholar] [CrossRef] [PubMed]
- Cerniglia, C.E.; Sutherland, J.B. Degradation of polycyclic aromatic hydrocarbons by fungi. In Handbook of Hydrocarbon and Lipid Microbiology; Timmis, K.N., McGenity, T.J., van der Meer, J.R., de Lorenzo, V., Eds.; Springer: Berlin/Heidelberg, Germany, 2010; pp. 2080–2110. [Google Scholar]
- Jerina, D.M. The 1982 Bernard, B. brodie Award Lecture. Metabolism of Aromatic hydrocarbons by the cytochrome P-450 system and epoxide hydrolase. Drug Metab. Dispos. 1983, 11, 1–4. [Google Scholar]
- Chang, B.V.; Chang, W.; Yuan, S.Y. Anaerobic degradation of polycyclic aromatic hydrocarbons in sludge. Adv. Environ. Res. 2003, 7, 623–628. [Google Scholar] [CrossRef]
- Tortella, G.R.; Diez, M.C.; Duran, N. Fungal diversity and use in decomposition of environmental pollutants. Crit. Rev. Microbiol. 2005, 31, 197–212. [Google Scholar] [CrossRef] [PubMed]
- Aydin, S.; Karaçay, H.A.; Shahi, A.; Gökçe, S.; Ince, B.; Ince, O. Aerobic and anaerobic fungal metabolism and Omics insights for increasing polycyclic aromatic hydrocarbons biodegradation. Fungal Biol. Rev. 2017, 31, 61–72. [Google Scholar] [CrossRef]


| PAH | Number of Rings | Molecular Weight | Aqueous Solubility (mg/L) | Vapor Pressure. (Pa) | Log Kow |
|---|---|---|---|---|---|
| Naphthalene | 2 | 128 | 31 | 1.0 × 102 | 3.37 |
| Acenaphthylene | 3 | 152 | 16 | 0.9 | 4.00 |
| Acenaphthene | 3 | 154 | 3.8 | 0.3 | 3.92 |
| Flourene | 3 | 166 | 1.9 | 9.0 × 10−2 | 4.18 |
| Phenanthrene | 3 | 178 | 1.1 | 2.0 × 10−2 | 4.57 |
| Anthracene | 3 | 178 | 0.045 | 1.0 × 10−3 | 4.54 |
| Pyrene | 4 | 202 | 0.13 | 6.0 × 10−4 | 5.18 |
| Flouranthene | 4 | 202 | 0.26 | 1.2 × 10−3 | 5.22 |
| Benzo(a)anthracene | 4 | 228 | 0.011 | 2.8 × 10−5 | 5.91 |
| Chrysene | 4 | 228 | 0.006 | 5.7 × 10−7 | 5.91 |
| Benzo(b) flouranthene | 5 | 252 | 0.0015 | - | 5.80 |
| Benzo(k) flouranthene | 5 | 252 | 0.0008 | 5.2 × 10−8 | 6.00 |
| Benzo(a)pyrene | 5 | 252 | 0.0038 | 7.0 × 10−7 | 5.91 |
| Dibenzo(a,h) anthracene | 5 | 278 | 0.0006 | 3.7 × 10−10 | 6.75 |
| Indeno(1,2,3-cd)pyrene | 6 | 276 | 0.00019 | - | 6.50 |
| Benzo(ghi)perylene | 6 | 276 | 0.00026 | 1.4 × 10−8 | 6.50 |
© 2020 by the authors. Licensee MDPI, Basel, Switzerland. This article is an open access article distributed under the terms and conditions of the Creative Commons Attribution (CC BY) license (http://creativecommons.org/licenses/by/4.0/).
Share and Cite
Sayara, T.; Sánchez, A. Bioremediation of PAH-Contaminated Soils: Process Enhancement through Composting/Compost. Appl. Sci. 2020, 10, 3684. https://doi.org/10.3390/app10113684
Sayara T, Sánchez A. Bioremediation of PAH-Contaminated Soils: Process Enhancement through Composting/Compost. Applied Sciences. 2020; 10(11):3684. https://doi.org/10.3390/app10113684
Chicago/Turabian StyleSayara, Tahseen, and Antoni Sánchez. 2020. "Bioremediation of PAH-Contaminated Soils: Process Enhancement through Composting/Compost" Applied Sciences 10, no. 11: 3684. https://doi.org/10.3390/app10113684
APA StyleSayara, T., & Sánchez, A. (2020). Bioremediation of PAH-Contaminated Soils: Process Enhancement through Composting/Compost. Applied Sciences, 10(11), 3684. https://doi.org/10.3390/app10113684

