Sign in to use this feature.

Years

Between: -

Subjects

remove_circle_outline
remove_circle_outline
remove_circle_outline
remove_circle_outline
remove_circle_outline

Journals

Article Types

Countries / Regions

Search Results (11)

Search Parameters:
Keywords = eustressor

Order results
Result details
Results per page
Select all
Export citation of selected articles as:
21 pages, 1766 KB  
Review
Nanoparticles as Potential Eustressors in Plants
by Susana Rodríguez-Jurado, Ramón Gerardo Guevara-González, Humberto Aguirre-Becerra, Karen Esquivel-Escalante and Ana Angélica Feregrino-Pérez
Agronomy 2025, 15(9), 2186; https://doi.org/10.3390/agronomy15092186 - 13 Sep 2025
Viewed by 758
Abstract
In recent years, the acceleration of climate change and the growing demand for higher-quality food to meet the needs of an expanding population have become pressing challenges. Nanotechnology has emerged as a promising tool in agriculture, particularly through the application of nanoparticles (NPs). [...] Read more.
In recent years, the acceleration of climate change and the growing demand for higher-quality food to meet the needs of an expanding population have become pressing challenges. Nanotechnology has emerged as a promising tool in agriculture, particularly through the application of nanoparticles (NPs). Recent studies highlight their potential to enhance plant performance, improve resistance to environmental stresses, and act as eustressors—stimuli that activate beneficial adaptive responses. Nanoparticles have been shown to stimulate plant defense systems (elicitation), promote growth and productivity, and improve crop quality by modulating physiological and biochemical pathways. Their role in enhancing adaptive capacity under diverse stress conditions makes them valuable candidates for sustainable agricultural strategies. However, a critical knowledge gap remains: the definition of eustress dose intervals. Establishing these thresholds is essential for maximizing the positive effects of NPs while minimizing risks. Finally, the need to define safe eustress dose intervals is highlighted as a critical step toward maximizing agricultural benefits while minimizing ecological and health risks. Full article
Show Figures

Figure 1

35 pages, 5560 KB  
Review
Elicitors and Biostimulants to Mitigate Water Stress in Vegetables
by Diana Victoria Melo-Sabogal and Luis Miguel Contreras-Medina
Horticulturae 2024, 10(8), 837; https://doi.org/10.3390/horticulturae10080837 - 7 Aug 2024
Cited by 7 | Viewed by 3114
Abstract
The acceleration of the climate crisis and increased demand for water have caused water stress in many agricultural lands worldwide. This issue is of utmost importance as water stress represents one of the most crucial challenges for the agricultural sector and food security, [...] Read more.
The acceleration of the climate crisis and increased demand for water have caused water stress in many agricultural lands worldwide. This issue is of utmost importance as water stress represents one of the most crucial challenges for the agricultural sector and food security, affecting the growth and yield of crops. Developing agricultural strategies to mitigate the adverse effects of water stress and improve crop stress tolerance and crop yield is therefore crucial. This review aimed to analyze the effect of agricultural practices such as elicitation and biostimulation on mitigating the effects of water stress in vegetables. This manuscript provides relevant and recent information about the studied effects on various vegetable species and their responses under water deficit and agricultural and non-agricultural strategies to mitigate water stress, highlighting the use of elicitors and biostimulants. Inclusion criteria were scientific reports and book chapters published from 2000 to 2024, including keywords as follows: water stress + vegetables, water deficit + effects, drought stress management, agricultural strategies for water stress management, eustressors + water stress, elicitors and biostimulants + water stress mitigation. According to the reported literature, it was found that the physiological, biochemical, and molecular responses of vegetables to water stress depended on factors such as the severity and duration of the water deficit, the plant species, and the phenological state of the plants. Traditional agronomic strategies such as tillage, mulching, and intercropping for crop drought management were evaluated. Recently, alternative strategies for mitigating the effects of water stress have gained significant interest, such as the exogenous application of phytohormones and osmoprotectants, nutrient management, and the use of UV-B light, radiation, and acoustic waves, among others, whose eustressive effects (as biostimulants and elicitors) have been demonstrated. Among these eustressors, those of physical origin show great potential for mitigating water stress. To improve the individual potential of eustressors for water stress mitigation, we proposed the combination of practices such as tillage, mulching, application of hormones and osmoprotectants, and physical elicitors and biostimulants such as gamma rays, He-Ne laser, and UV-B. Further exploration is required to establish doses, application conditions, and effects on water stress mitigation and vegetable yield, underscoring the importance and ongoing nature of this research. Full article
Show Figures

Graphical abstract

17 pages, 2819 KB  
Review
Eustress and Plants: A Synthesis with Prospects for Cannabis sativa Cultivation
by Roberto Berni, Margaux Thiry, Jean-Francois Hausman, Stanley Lutts and Gea Guerriero
Horticulturae 2024, 10(2), 127; https://doi.org/10.3390/horticulturae10020127 - 30 Jan 2024
Cited by 4 | Viewed by 3241
Abstract
Cannabis sativa L. is a species of great economic value. It is a medicinal plant that produces several bioactive phytochemicals, and the stems of the industrial cultivars, commonly referred to as “hemp”, are sources of both cellulosic fibers and hurds used in textiles [...] Read more.
Cannabis sativa L. is a species of great economic value. It is a medicinal plant that produces several bioactive phytochemicals, and the stems of the industrial cultivars, commonly referred to as “hemp”, are sources of both cellulosic fibers and hurds used in textiles and bio-composites. Environmental stresses of biotic and abiotic nature affect plant development and metabolism and can, consequently, impact biomass yield and phytochemical content. Stress factors can be divided into eustressors and distressors; while the former stimulate a positive response in terms of growth, productivity, and resistance, the latter impair plant development. Eustressors are factors that, applied at low–moderate doses, can improve plant performance. Several studies have investigated different types of distress in C. sativa and evaluated the impact on biomass and phytochemicals, while less attention has been paid to the study of eustress. This review discusses the concept of plant eustress by referring to the recent literature and extrapolates it to applications in C. sativa cultivation. The data available on the response of C. sativa to exogenous factors are reviewed, and then, salinity eustress applied to hemp cultivation is taken as a proof-of-concept example. The knowledge developed on plant eustress and the results collected so far are discussed in light of future applications to improve the production of biomass and phytochemicals in plants of economic interest. Emphasis is placed on the potential use of eustress in conjunction with other factors shown to impact both the physiological response and metabolism of Cannabis, among which there are macronutrients and biofertilizers. Perspectives are also drawn with respect to applying the knowledge developed on the elicitation of whole plants to Cannabis cell suspension cultures, which provide a controlled, scalable, and season-independent platform to produce secondary metabolites. Full article
Show Figures

Figure 1

20 pages, 5909 KB  
Article
Medicago sativa L. Plant Response against Possible Eustressors (Fe, Ag, Cu)-TiO2: Evaluation of Physiological Parameters, Total Phenol Content, and Flavonoid Quantification
by Luis Páramo, Ana Angélica Feregrino-Pérez, Marina Vega-González, Luis Escobar-Alarcón and Karen Esquivel
Plants 2023, 12(3), 659; https://doi.org/10.3390/plants12030659 - 2 Feb 2023
Cited by 5 | Viewed by 2482
Abstract
The present study analyzed Medicago sativa L. crops irrigated by TiO2 in the anatase phase and TiO2 doped with Ag, Fe, and Cu ions at 0.1%w synthesized using the sol–gel method (SG) and the sol–gel method coupled with microwave (Mw-SG). The [...] Read more.
The present study analyzed Medicago sativa L. crops irrigated by TiO2 in the anatase phase and TiO2 doped with Ag, Fe, and Cu ions at 0.1%w synthesized using the sol–gel method (SG) and the sol–gel method coupled with microwave (Mw-SG). The materials were added to the irrigation water at different concentrations (50, 100, and 500 ppm). Stress induction by nanomaterials was observed by measuring stem morphology, chlorophyll index, total phenols and flavonoids, and antioxidant activity through the DPPH (2,2-diphenyl-1-picrylhydrazy) radical inhibition assay. The nanomaterial treatments caused statistically significant reductions in parameters such as stem length, leaf size, and chlorophyll index and increases in total phenol content and DPPH inhibition percentage. However, the observed effects did not show clear evidence regarding the type of nanomaterial used, its synthesis methodology, or a concentration-dependent response. By generally grouping the results obtained to the type of dopant used and the synthesis method, the relationship between them was determined employing a two-way ANOVA. It was observed that the dopant factors, synthesis, and interaction were relevant for most treatments. Additionally, the addition of microwaves in the synthesis method resulted in the largest number of treatments with a significant increase in the total content of phenols and the % inhibition compared to the traditional sol–gel synthesis. In contrast, parameters such as stem size and chlorophyll index were affected under different treatments from both synthesis methods. Full article
(This article belongs to the Special Issue Eustressors to Enhance Plant Performance)
Show Figures

Graphical abstract

21 pages, 3404 KB  
Article
Moderate Salinity of Nutrient Solution Improved the Nutritional Quality and Flavor of Hydroponic Chinese Chives (Allium tuberosum Rottler)
by Bojie Xie, Xuemei Xiao, Haiyan Li, Shouhui Wei, Ju Li, Yanqiang Gao and Jihua Yu
Foods 2023, 12(1), 204; https://doi.org/10.3390/foods12010204 - 3 Jan 2023
Cited by 9 | Viewed by 4250
Abstract
Sodium chloride (NaCl), as a eustressor, can trigger relevant pathways to cause plants to produce a series of metabolites, thus improving the quality of crops to a certain extent. However, there are few reports on the improvement of nutrient quality and flavor of [...] Read more.
Sodium chloride (NaCl), as a eustressor, can trigger relevant pathways to cause plants to produce a series of metabolites, thus improving the quality of crops to a certain extent. However, there are few reports on the improvement of nutrient quality and flavor of hydroponic Chinese chives (Allium tuberosum Rottler) by sodium chloride. In this study, five NaCl concentrations were used to investigate the dose-dependent effects on growth, nutritional quality and flavor in Chinese chives. The results show that 10 mM NaCl had no significant effect on the growth of Chinese chives, but significantly decreased the nitrate content by 40% compared with 0 mM NaCl treatment, and the content of soluble protein and vitamin C was increased by 3.6% and 2.1%, respectively. In addition, a total of 75 volatile compounds were identified among five treatments using headspace solid-phase microextraction gas chromatography/mass spectrometry (HS-SPME/GC-MS). Compared with the 0 mM NaCl treatment, 10 mM NaCl had the greatest effect on the quantity and content of volatile compounds, with the total content increased by 27.8%. Furthermore, according to the odor activity values (OAVs) and odor description, there were 14 major aroma-active compounds (OAVs > 1) in Chinese chives. The “garlic and onion” odor was the strongest among the eight categories of aromas, and its highest value was observed in the 10 mM NaCl treatment (OAVs = 794).Taken together, adding 10 mM NaCl to the nutrient solution could improve the nutritional quality and flavor of Chinese chives without affecting their normal growth. Full article
(This article belongs to the Section Plant Foods)
Show Figures

Figure 1

34 pages, 1469 KB  
Review
Strawberry Biostimulation: From Mechanisms of Action to Plant Growth and Fruit Quality
by Carlos Alberto Garza-Alonso, Emilio Olivares-Sáenz, Susana González-Morales, Marcelino Cabrera-De la Fuente, Antonio Juárez-Maldonado, José Antonio González-Fuentes, Gonzalo Tortella, Marin Virgilio Valdés-Caballero and Adalberto Benavides-Mendoza
Plants 2022, 11(24), 3463; https://doi.org/10.3390/plants11243463 - 10 Dec 2022
Cited by 26 | Viewed by 6085
Abstract
The objective of this review is to present a compilation of the application of various biostimulants in strawberry plants. Strawberry cultivation is of great importance worldwide, and, there is currently no review on this topic in the literature. Plant biostimulation consists of using [...] Read more.
The objective of this review is to present a compilation of the application of various biostimulants in strawberry plants. Strawberry cultivation is of great importance worldwide, and, there is currently no review on this topic in the literature. Plant biostimulation consists of using or applying physical, chemical, or biological stimuli that trigger a response—called induction or elicitation—with a positive effect on crop growth, development, and quality. Biostimulation provides tolerance to biotic and abiotic stress, and more absorption and accumulation of nutrients, favoring the metabolism of the plants. The strawberry is a highly appreciated fruit for its high organoleptic and nutraceutical qualities since it is rich in phenolic compounds, vitamins, and minerals, in addition to being a product with high commercial value. This review aims to present an overview of the information on using different biostimulation techniques in strawberries. The information obtained from publications from 2000–2022 is organized according to the biostimulant’s physical, chemical, or biological nature. The biochemical or physiological impact on plant productivity, yield, fruit quality, and postharvest life is described for each class of biostimulant. Information gaps are also pointed out, highlighting the topics in which more significant research effort is necessary. Full article
(This article belongs to the Special Issue Plant Biostimulation)
Show Figures

Figure 1

15 pages, 1394 KB  
Article
Elicitation of Bacillus cereus-Amazcala (B.c-A) with SiO2 Nanoparticles Improves Its Role as a Plant Growth-Promoting Bacteria (PGPB) in Chili Pepper Plants
by Noelia I. Ferrusquía-Jiménez, Beatriz González-Arias, Alicia Rosales, Karen Esquivel, Eleazar M. Escamilla-Silva, Adrian E. Ortega-Torres and Ramón G. Guevara-González
Plants 2022, 11(24), 3445; https://doi.org/10.3390/plants11243445 - 9 Dec 2022
Cited by 39 | Viewed by 3473
Abstract
Agriculture needs to decrease the use of agrochemicals due to their high toxicity and adopt new strategies to achieve sustainable food production. Therefore, nanoparticles (NPs) and plant growth-promoting bacteria (PGPB) have been proposed as viable strategies to obtain better crop yields with less [...] Read more.
Agriculture needs to decrease the use of agrochemicals due to their high toxicity and adopt new strategies to achieve sustainable food production. Therefore, nanoparticles (NPs) and plant growth-promoting bacteria (PGPB) have been proposed as viable strategies to obtain better crop yields with less environmental impact. Here, we describe the effect of silica nanoparticles (SiO2-NPs) on survival, antioxidant enzymatic activity, phosphate solubilization capacity, and gibberellin production of Bacillus cereus-Amazcala (B.c-A). Moreover, the effect of the co-application of SiO2-NPs and B.c-A on seed germination, physiological characteristics, and antioxidant enzymatic activity of chili pepper plants was investigated under greenhouse conditions. The results indicated that SiO2-NPs at 100 ppm enhanced the role of B.c-A as PGPB by increasing its phosphate solubilization capacity and the production of GA7. Moreover, B.c-A catalase (CAT) and superoxide dismutase (SOD) activities were increased with SiO2-NPs 100 ppm treatment, indicating that SiO2-NPs act as a eustressor, inducing defense-related responses. The co-application of SiO2-NPs 100 ppm and B.c-A improved chili pepper growth. There was an increase in seed germination percentage, plant height, number of leaves, and number and yield of fruits. There was also an increase in CAT and PAL activities in chili pepper plants, indicating that bacteria–NP treatment induces plant immunity. Full article
(This article belongs to the Special Issue Eustressors to Enhance Plant Performance)
Show Figures

Figure 1

19 pages, 2756 KB  
Article
Lignite Substrate and EC Modulates Positive Eustress in Cucumber at Hydroponic Cultivation
by Radosław Łaźny, Małgorzata Mirgos, Jarosław L. Przybył, Monika Niedzińska, Janina Gajc-Wolska, Waldemar Kowalczyk, Jacek S. Nowak, Stanisław Kalisz and Katarzyna Kowalczyk
Agronomy 2022, 12(3), 608; https://doi.org/10.3390/agronomy12030608 - 28 Feb 2022
Cited by 10 | Viewed by 3366
Abstract
Hydroponic cultivation using organic, fully biodegradable substrates that provide the right physical properties for plant growth and development is now the future of soilless production. Despite the high productivity and strict control of production conditions in this method, excessive salinity of the substrate [...] Read more.
Hydroponic cultivation using organic, fully biodegradable substrates that provide the right physical properties for plant growth and development is now the future of soilless production. Despite the high productivity and strict control of production conditions in this method, excessive salinity of the substrate often occurs. However, recent research results indicate that salinity at a high enough threshold can improve yield quality, while prolonged exposure to too high EC, or exceeding the safe EC threshold for a given species, leads to reduced quality and reduced or even no yield. The aim of this study was to determine the effect of biodegradable lignite substrate (L) and eustressor in the form of high EC nutrient solution (7.0 dS·m−1) on morphological and physiological parameters, as well as the quality and yield of cucumber (Cucumis sativus L.) in hydroponic cultivation compared to the mineral wool substrate (MW). The MW/high EC combination showed a significant reduction in shoot diameter by nearly 6% compared to the MW/control EC combination. The stomatal conductance (gs) and the transpiration rate (E) were also significantly reduced in this combination. The present study indicates that the effects of eustressor application vary depending on the growing medium used, and more favorable effects in terms of yield quality were obtained using biodegradable lignite substrate. The high EC of nutrient solution combined with lignite substrate (L/high EC) significantly increased in cucumber fruit the content of β-carotene, lutein, chlorophyll a, chlorophyll b and the sum of chlorophyll a + b by 33.3%, 40%, 28.6%, 26.3% and 26.7%, respectively, as compared to MW/high EC combination. Full article
Show Figures

Figure 1

13 pages, 2639 KB  
Article
Salinity Eustress Increases the Biosynthesis and Accumulation of Phenolic Compounds That Improve the Functional and Antioxidant Quality of Red Lettuce
by Christian Santander, Gladys Vidal, Antonieta Ruiz, Catalina Vidal and Pablo Cornejo
Agronomy 2022, 12(3), 598; https://doi.org/10.3390/agronomy12030598 - 27 Feb 2022
Cited by 37 | Viewed by 3831
Abstract
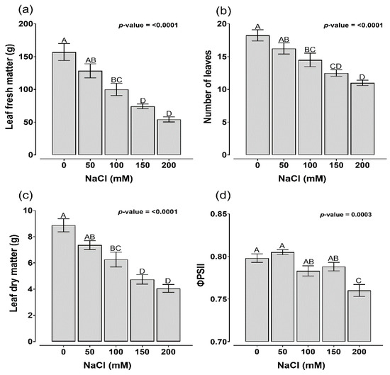
The application of different techniques of positive stress (eustress), such as mild and moderate saline stress, could enhance the nutritional and functional attributes of food vegetables. The present study aimed to evaluate the positive effect of salinity as a eustressor on the functional [...] Read more.
The application of different techniques of positive stress (eustress), such as mild and moderate saline stress, could enhance the nutritional and functional attributes of food vegetables. The present study aimed to evaluate the positive effect of salinity as a eustressor on the functional quality of red lettuce growing under hydroponic conditions and subjected to increasing salinity. Red lettuce plants were grown for 60 days and, 45 days after sowing, were subjected to different levels of salinity (0, 50, 100, 150, and 200 mM NaCl). The phenolic compound concentration and antioxidant activity were measured at 7 and 15 days after the application of salinity treatment. Moreover, at harvest, the root and shoot biomass and efficiency of photosystem II were evaluated. Our results showed that the highest phenolic concentration and antioxidant activity were obtained through moderate salt stress (50 mM NaCl) applied for 15 days without affecting the photosynthetic activity and biomass production of lettuce plants. By contrast, when severe salt stress levels (150–200 mM NaCl) were applied, an increase in phenolic compounds was also obtained, but concomitantly with a significant reduction in antioxidant activity and biomass production. The application of moderate stress in red lettuce suggests its potential use as a tool to increase the biosynthesis and accumulation of bioactive secondary metabolites, improving the nutritional characteristics of red lettuce. Full article
Show Figures

Figure 1

14 pages, 4913 KB  
Article
Salinity Stress as an Elicitor for Phytochemicals and Minerals Accumulation in Selected Leafy Vegetables of Brassicaceae
by Dunja Šamec, Ida Linić and Branka Salopek-Sondi
Agronomy 2021, 11(2), 361; https://doi.org/10.3390/agronomy11020361 - 17 Feb 2021
Cited by 52 | Viewed by 5478
Abstract
The potential role of NaCl (50–200 mM) as an eustressor for the accumulation of health promoting phytochemicals and maintaining the homeostasis of macro- and micro-elements in three, hydroponically grown Brassica leafy vegetables (Chinese cabbage, white cabbage, and kale) was investigated. Considering K+ [...] Read more.
The potential role of NaCl (50–200 mM) as an eustressor for the accumulation of health promoting phytochemicals and maintaining the homeostasis of macro- and micro-elements in three, hydroponically grown Brassica leafy vegetables (Chinese cabbage, white cabbage, and kale) was investigated. Considering K+/Na+ ratio and proline contents as reliable stress markers, we confirmed more prominent stress status in Chinese cabbage followed by white cabbage and kale. Low to moderate salinity treatments (50 and 100 mM NaCl) caused an increase in most of the phenolic compounds in the analyzed Brassica leafy vegetables. Total glucosinolates were elicited by NaCl in a dose dependent manner. Salt treatment caused an increase in total chlorophylls but did not significantly affect carotenoid content. Furthermore, low to moderate treatments did not significantly disturb homeostasis of macro- and micro-elements, particularly in white cabbage and kale where the K level did not decrease significantly and Ca was even increased in white cabbage. We may conclude that salinity may elicit phytochemical accumulation in selecting vegetables grown on saline soils without undesirable disturbance in macro- and micro-elements homeostasis depending on salt concentration and species/varieties. This information may be of great importance in the selection of crops grown on saline soils. Full article
(This article belongs to the Special Issue How Plants Perceive Salt during the Irrigation)
Show Figures

Figure 1

20 pages, 789 KB  
Article
Chemical Eustress Elicits Tailored Responses and Enhances the Functional Quality of Novel Food Perilla frutescens
by Youssef Rouphael, Marios C. Kyriacou, Petronia Carillo, Fabiana Pizzolongo, Raffaele Romano and Maria Isabella Sifola
Molecules 2019, 24(1), 185; https://doi.org/10.3390/molecules24010185 - 6 Jan 2019
Cited by 49 | Viewed by 5720
Abstract
Consumer demand for fresh and functional horticultural products is on the rise. Perilla frutescens, L. Britt (Lamiaceae) is a potential specialty/niche crop for consumption and therapeutic uses with high contents of phenolic and volatile compounds. Plant growth, mineral composition, polyphenol [...] Read more.
Consumer demand for fresh and functional horticultural products is on the rise. Perilla frutescens, L. Britt (Lamiaceae) is a potential specialty/niche crop for consumption and therapeutic uses with high contents of phenolic and volatile compounds. Plant growth, mineral composition, polyphenol profile and aroma volatile components of two perilla genotypes in response to salinity (non-salt control, 10, 20 or 30 mM NaCl) applied as chemical eustressor were assessed. Salinity suppressed growth and yield of both genotypes, although the red-pigmented genotype was less sensitive than the green-pigmented one. Mild (10 mM NaCl) and moderate (20 and 30 mM NaCl) salinity suppressed foliar potassium, magnesium, nitrate and chlorophyll a concentrations of both genotypes and increased the levels of rosmarinic acid, total polyphenols and target aroma volatile components. Green perilla showed higher yield and biomass production and higher content of protein, dry matter, calcium, magnesium, perilla ketone and cis-jasmone, whereas red perilla exhibited higher content of potassium, chlorophyll a, rosmarinic acid, total polyphenols, perilla aldehyde and benzaldehyde. Our findings support that chemical eustressors such as mild to moderate salinity offer valuable means to manipulate phytochemical and aroma profiles. Full article
(This article belongs to the Collection Bioactive Compounds)
Show Figures

Graphical abstract

Back to TopTop