Sign in to use this feature.

Years

Between: -

Subjects

remove_circle_outline
remove_circle_outline
remove_circle_outline
remove_circle_outline
remove_circle_outline
remove_circle_outline
remove_circle_outline
remove_circle_outline
remove_circle_outline

Journals

remove_circle_outline
remove_circle_outline
remove_circle_outline
remove_circle_outline
remove_circle_outline

Article Types

Countries / Regions

remove_circle_outline
remove_circle_outline
remove_circle_outline

Search Results (288)

Search Parameters:
Keywords = entropy (En)

Order results
Result details
Results per page
Select all
Export citation of selected articles as:
13 pages, 825 KB  
Article
Postural Control Adaptations in Trampoline Athletes of Different Competitive Levels: Insights from COP Linear and Nonlinear Measures
by Mengzi Sun, Fangtong Zhang, Xinglong Zhou, Feng Qu, Wenhui Mao and Li Li
Entropy 2025, 27(12), 1181; https://doi.org/10.3390/e27121181 - 21 Nov 2025
Viewed by 485
Abstract
Balance is a fundamental quality for trampoline athletes, the basis for completing complex skills. We aimed to compare balance control strategies between elite trampolinists (ETs) and sub-elite trampolinists (Sub-ET) by integrating linear and nonlinear center of pressure (COP) measures across stable and unstable [...] Read more.
Balance is a fundamental quality for trampoline athletes, the basis for completing complex skills. We aimed to compare balance control strategies between elite trampolinists (ETs) and sub-elite trampolinists (Sub-ET) by integrating linear and nonlinear center of pressure (COP) measures across stable and unstable surfaces. Twenty-four male athletes (12 ET, 12 Sub-ET) participated. Each participant performed 15-s static standing trials with eyes closed on a firm surface (FI) and a foam surface (FO). COP parameters were extracted, including ellipse area, sway velocity, sway range, and sample entropy (SampEn) in the medio-lateral (ML) and antero-posterior (AP) directions. Repeated-measures ANOVA was applied to examine the effects of group and surface condition. Linear analyses indicated that ET athletes exhibited greater sway amplitudes and faster velocities than Sub-ET athletes, with both groups showing larger sway on FO compared with FI. Nonlinear analyses revealed that ET athletes demonstrated lower SampEn, suggesting more structured and automatized control strategies. ET athletes maintained consistent entropy across both conditions, reflecting stronger adaptability to unstable surfaces. These results emphasize the importance of combining linear and nonlinear measures in balance assessment and suggest that incorporating unstable or trampoline-like surfaces into training may enhance adaptability, improve performance, and reduce injury risk. Full article
(This article belongs to the Section Entropy and Biology)
Show Figures

Figure 1

28 pages, 126976 KB  
Article
MRLF: Multi-Resolution Layered Fusion Network for Optical and SAR Images
by Jinwei Wang, Liang Ma, Bo Zhao, Zhenguang Gou, Yingzheng Yin and Guangcai Sun
Remote Sens. 2025, 17(22), 3740; https://doi.org/10.3390/rs17223740 - 17 Nov 2025
Cited by 1 | Viewed by 652
Abstract
To enhance the comprehensive representation capability and fusion accuracy of remote sensing information, this paper proposes a multi-resolution hierarchical fusion network (MRLF) tailored to the heterogeneous characteristics of optical and synthetic aperture radar (SAR) images. By constructing a hierarchical feature decoupling mechanism, the [...] Read more.
To enhance the comprehensive representation capability and fusion accuracy of remote sensing information, this paper proposes a multi-resolution hierarchical fusion network (MRLF) tailored to the heterogeneous characteristics of optical and synthetic aperture radar (SAR) images. By constructing a hierarchical feature decoupling mechanism, the method decomposes input images into low-resolution global structural features and high-resolution local detail features. A residual compression module is employed to preserve multi-scale information, laying a complementary feature foundation for subsequent fusion. To address cross-modal radiometric discrepancies, a pre-trained complementary feature extraction model (CFEM) is introduced. The brightness distribution differences between SAR and fusion results are quantified using the Gram matrix, and mean-variance alignment constraints are applied to eliminate radiometric discontinuities. In the feature fusion stage, a dual-attention collaborative mechanism is designed, integrating channel attention to dynamically adjust modal weights and spatial attention to focus on complementary regions. Additionally, a learnable radiometric enhancement factor is incorporated to enable efficient collaborative representation of SAR textures and optical semantics. To maintain spatial consistency, hierarchical deconvolution and skip connections are further used to reconstruct low-resolution features, gradually restoring them to the original resolution. Experimental results demonstrate that MRLF significantly outperforms mainstream methods such as DenseFuse and SwinFusion on the Dongying and Xi’an datasets. The fused images achieve an information entropy (EN) of 6.72 and a structural similarity of 1.25, while maintaining stable complementary feature retention under large-scale scenarios. By enhancing multi-scale complementary features and optimizing radiometric consistency, this method provides a highly robust multi-modal representation scheme for all-weather remote sensing monitoring and disaster emergency response. Full article
Show Figures

Figure 1

53 pages, 5248 KB  
Article
Emission/Reliability-Aware Stochastic Optimization of Electric Bus Parking Lots and Renewable Energy Sources in Distribution Network: A Fuzzy Multi-Objective Framework Considering Forecasted Data
by Masood ur Rehman, Ujwal Ramesh Shirode, Aarti Suryakant Pawar, Tze Jin Wong, Egambergan Khudaynazarov and Saber Arabi Nowdeh
World Electr. Veh. J. 2025, 16(11), 624; https://doi.org/10.3390/wevj16110624 - 17 Nov 2025
Viewed by 515
Abstract
In this paper, an emission- and reliability-aware stochastic optimization model is proposed for the economic planning of electric bus parking lots (EBPLs) with photovoltaic (PV) and wind-turbine (WT) resources in an 85-bus radial distribution network. The model simultaneously minimizes operating, emission, and energy-loss [...] Read more.
In this paper, an emission- and reliability-aware stochastic optimization model is proposed for the economic planning of electric bus parking lots (EBPLs) with photovoltaic (PV) and wind-turbine (WT) resources in an 85-bus radial distribution network. The model simultaneously minimizes operating, emission, and energy-loss costs while increasing system reliability, measured by energy not supplied (ENS), and uses a fuzzy decision-making approach to determine the final solution. To address optimization challenges, a new multi-objective entropy-guided Sinh–Cosh Optimizer (MO-ESCHO) is proposed to efficiently mitigate premature convergence and produce a well-distributed Pareto front. Also, a hybrid forecasting architecture that combines MO-ESCHO and artificial neural networks (ANN) is proposed for accurate prediction of PV and WT power and network loading. The framework is tested across five cases, progressively incorporating EBPL, demand response (DR), forecast information, and stochastic simulation of uncertainties using a new hybrid Unscented Transformation–Cubature Quadrature Rule (UT-CQR) method. Comparative analyses against conventional methods confirm superior performance in achieving better objective values and ensuring computational efficiency. The outcomes indicate that the combination of EBPL with RES reduces operating costs by 5.23%, emission costs by 27.39%, and ENS by 11.48% compared with the base case with RES alone. Moreover, incorporating the stochastic model increases operating costs by 6.03%, emission costs by 5.05%, and ENS by 7.94% over the deterministic forecast case, reflecting the added complexity of uncertainty. The main contributions lie in coupling EBPLs and RES under uncertainty and proposing UT-CQR, which exhibits robust system performance with reduced variance and lower computational effort compared with Monte Carlo and cloud-model approaches. Full article
Show Figures

Figure 1

2076 KB  
Proceeding Paper
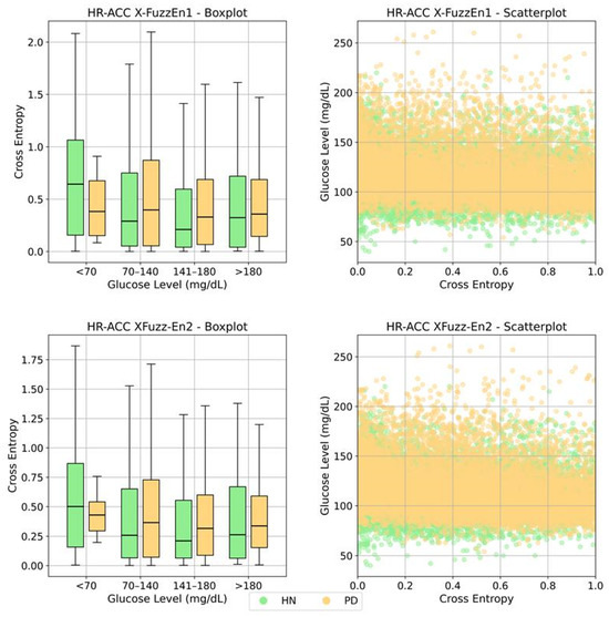
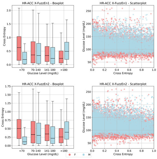
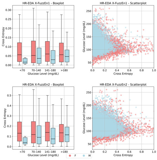
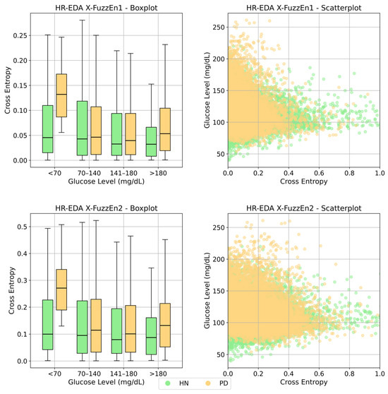
Entropy Knows You’re Low: Wearable Signal Coupling Patterns Reveal Glucose State
by Salma Khurshe, Thilini Savindya Karunarathna, Cleber Franca Carvalho, Nhung Huyen Hoang and Zilu Liang
Eng. Proc. 2025, 118(1), 96; https://doi.org/10.3390/ECSA-12-26590 - 7 Nov 2025
Viewed by 38
Abstract
Wearable sensors enable continuous monitoring of physiological signals, offering opportunities for the early detection of metabolic dysfunction. In this study, we propose the use of cross-fuzzy entropy (X-FuzzEn) to quantify the dynamic coupling between wearable-derived time series, i.e., heart rate (HR), electrodermal activity [...] Read more.
Wearable sensors enable continuous monitoring of physiological signals, offering opportunities for the early detection of metabolic dysfunction. In this study, we propose the use of cross-fuzzy entropy (X-FuzzEn) to quantify the dynamic coupling between wearable-derived time series, i.e., heart rate (HR), electrodermal activity (EDA), and body acceleration (ACC), across four clinically relevant glucose ranges. Analysis revealed differences in signal coordination across both metabolic and demographic groups. Prediabetic individuals exhibited elevated X-FuzzEn between HR and EDA during hypoglycemia compared to normoglycemic individuals, indicating potential autonomic dysregulation. Males showed lower X-FuzzEn compared to females, indicating more coherent and adaptive autonomic regulation. A similar pattern was observed in HR–ACC coupling, with lower X-FuzzEn in males during hypoglycemia. These findings suggest that cross-fuzzy entropy may serve as a sensitive, non-invasive biomarker of physiological resilience and autonomic stability in response to metabolic stress. Full article
Show Figures

Figure 1

12 pages, 585 KB  
Article
Effect of Running Speed on Gait Variability in Individuals with Functional Ankle Instability
by Wenhui Mao, Kanglong Zhao, Xiangguo Xu, Mengzi Sun, Kai Wang, Yilin Xu and Li Li
Entropy 2025, 27(11), 1131; https://doi.org/10.3390/e27111131 - 31 Oct 2025
Viewed by 724
Abstract
To compare lower limb joint angle variability between functional ankle instability (FAI) and healthy controls (CONs) at different running speeds using linear and nonlinear methods. Fifteen males with right-side FAI and fifteen matched CONs ran on a treadmill at self-selected, 20% faster, and [...] Read more.
To compare lower limb joint angle variability between functional ankle instability (FAI) and healthy controls (CONs) at different running speeds using linear and nonlinear methods. Fifteen males with right-side FAI and fifteen matched CONs ran on a treadmill at self-selected, 20% faster, and 20% slower speeds. From 25 gait cycles, the mean coefficient of variation (CV), Sample Entropy (SampEn), and largest Lyapunov Exponent (LyE) of hip, knee, and ankle angles were computed. A two-way (two groups × three speeds) mixed-design ANOVA was applied (α = 0.05). No significant interaction effects were observed. No significant differences were observed in the CV. SampEn showed group effects: FAI had lower values in hip horizontal, knee sagittal/coronal, and ankle coronal planes, but higher in the hip sagittal plane. Speed effects showed greater SampEn in the ankle sagittal and lower in the hip coronal plane at slow speed. LyE was reduced in FAI for hip, knee, and ankle sagittal planes. Speed effects indicated higher LyE in the knee sagittal and lower in the hip coronal plane at slow speed. FAI showed reduced variability, particularly in the sagittal plane, reflecting rigid control. Slower speeds increased ankle and knee sagittal variability but decreased hip coronal variability. Full article
(This article belongs to the Special Issue Entropy Application in Biomechanics)
Show Figures

Figure 1

32 pages, 2990 KB  
Article
Enhancing Classification Results of Slope Entropy Using Downsampling Schemes
by Vicent Moltó-Gallego, David Cuesta-Frau and Mahdy Kouka
Axioms 2025, 14(11), 797; https://doi.org/10.3390/axioms14110797 - 29 Oct 2025
Viewed by 487
Abstract
Entropy calculation provides meaningful insight into the dynamics and complexity of temporal signals, playing a crucial role in classification tasks. These measures are able to describe intrinsic characteristics of temporal series, such as regularity, complexity or predictability. Depending on the characteristics of the [...] Read more.
Entropy calculation provides meaningful insight into the dynamics and complexity of temporal signals, playing a crucial role in classification tasks. These measures are able to describe intrinsic characteristics of temporal series, such as regularity, complexity or predictability. Depending on the characteristics of the signal under study, the performance of entropy as a feature for classification may vary, and not any kind of entropy calculation technique may be suitable for that specific signal. Therefore, we aim to increase entropy’s classification accuracy performance, specially in the case of Slope Entropy (SlpEn), by enhancing the information content of the patterns present in the data before calculating the entropy, with downsampling techniques. More specifically, we will be using both uniform downsampling (UDS) and non-uniform downsampling techniques. In the case of non-uniform downsapling, the technique used is known as Trace Segmentation (TS), which is a non-uniform downsampling scheme that is able to enhance the most prominent patterns present in a temporal series while discarding the less relevant ones. SlpEn is a novel method recently proposed in the field of time series entropy estimation that in general outperforms other methods in classification tasks. We will combine it both with TS or UDS. In addition, since both techniques reduce the number of samples that the entropy will be calculated on, it can significantly decrease the computation time. In this work, we apply TS or UDS to the data before calculating SlpEn to assess how downsampling can impact the behaviour of SlpEn in terms of performance and computational cost, experimenting on different kinds of datasets. In addition, we carry out a comparison between SlpEn and one of the most commonly used entropy calculation methods: Permutation Entropy (PE). Results show that both uniform and non-uniform downsampling are able to enhance the performance of both SlpEn and PE when used as the only features in classification tasks, gaining up to 13% and 22% in terms of accuracy, respectively, when using TS and up to 10% and 21% when using UDS. In addition, when downsampling to 50% of the original data, we obtain a speedup around ×2 with individual entropy calculations, while, when incorporating the downsampling algorithms into time count, speedups with UDS are between ×1.2 and ×1.7, depending on the dataset. With TS, these speedups are above ×2, while maintaining accuracy levels similar to those obtained when using the 100% of the original data. Our findings suggest that most temporal series, specially medical ones, have been measured using a sampling frequency above the optimal threshold, thus obtaining unnecessary information for classification tasks, which is then discarded when performing downsampling. Downsampling techniques are potentially beneficial to any kind of entropy calculation technique, not only those used in the paper. It is able to enhance entropy’s performance in classification tasks while reducing its computation time, thus resulting in a win-win situation. We recommend to downsample to percentages between 20% and 45% of the original data to obtain the best results in terms of accuracy in classification tasks. Full article
Show Figures

Figure 1

21 pages, 2556 KB  
Article
Comparison of Machine Learning Models in Nonlinear and Stochastic Signal Classification
by Elzbieta Olejarczyk and Carlo Massaroni
Appl. Sci. 2025, 15(20), 11226; https://doi.org/10.3390/app152011226 - 20 Oct 2025
Viewed by 541
Abstract
This study aims to compare different classifiers in the context of distinguishing two classes of signals: nonlinear electrocardiography (ECG) signals and stochastic artifacts occurring in ECG signals. The ECG signals from a single-lead wearable Movesense device were analyzed with a set of eight [...] Read more.
This study aims to compare different classifiers in the context of distinguishing two classes of signals: nonlinear electrocardiography (ECG) signals and stochastic artifacts occurring in ECG signals. The ECG signals from a single-lead wearable Movesense device were analyzed with a set of eight features: variance (VAR), three fractal dimension measures (Higuchi fractal dimension (HFD), Katz fractal dimension (KFD), and Detrended Fluctuation Analysis (DFA)), and four entropy measures (approximate entropy (ApEn), sample entropy (SampEn), and multiscale entropy (MSE) for scales 1 and 2). The minimum-redundancy maximum-relevance algorithm was applied for evaluation of feature importance. A broad spectrum of machine learning models was considered for classification. The proposed approach allowed for comparison of classifier features, as well as providing a broader insight into the characteristics of the signals themselves. The most important features for classification were VAR, DFA, ApEn, and HFD. The best performance among 34 classifiers was obtained using an optimized RUSBoosted Trees ensemble classifier (sensitivity, specificity, and positive and negative predictive values were 99.8, 73.7%, 99.8, and 74.3, respectively). The accuracy of the Movesense device was very high (99.6%). Moreover, the multifractality of ECG during sleep was observed in the relationship between SampEn (or ApEn) and MSE. Full article
(This article belongs to the Special Issue New Advances in Electrocardiogram (ECG) Signal Processing)
Show Figures

Figure 1

16 pages, 2334 KB  
Article
A Comprehensive Image Quality Evaluation of Image Fusion Techniques Using X-Ray Images for Detonator Detection Tasks
by Lynda Oulhissane, Mostefa Merah, Simona Moldovanu and Luminita Moraru
Appl. Sci. 2025, 15(20), 10987; https://doi.org/10.3390/app152010987 - 13 Oct 2025
Viewed by 903
Abstract
Purpose: Luggage X-rays suffer from low contrast, material overlap, and noise; dual-energy imaging reduces ambiguity but creates colour biases that impair segmentation. This study aimed to (1) employ connotative fusion by embedding realistic detonator patches into real X-rays to simulate threats and enhance [...] Read more.
Purpose: Luggage X-rays suffer from low contrast, material overlap, and noise; dual-energy imaging reduces ambiguity but creates colour biases that impair segmentation. This study aimed to (1) employ connotative fusion by embedding realistic detonator patches into real X-rays to simulate threats and enhance unattended detection without requiring ground-truth labels; (2) thoroughly evaluate fusion techniques in terms of balancing image quality, information content, contrast, and the preservation of meaningful features. Methods: A total of 1000 X-ray luggage images and 150 detonator images were used for fusion experiments based on deep learning, transform-based, and feature-driven methods. The proposed approach does not need ground truth supervision. Deep learning fusion techniques, including VGG, FusionNet, and AttentionFuse, enable the dynamic selection and combination of features from multiple input images. The transform-based fusion methods convert input images into different domains using mathematical transforms to enhance fine structures. The Nonsubsampled Contourlet Transform (NSCT), Curvelet Transform, and Laplacian Pyramid (LP) are employed. Feature-driven image fusion methods combine meaningful representations for easier interpretation. Singular Value Decomposition (SVD), Principal Component Analysis (PCA), Random Forest (RF), and Local Binary Pattern (LBP) are used to capture and compare texture details across source images. Entropy (EN), Standard Deviation (SD), and Average Gradient (AG) assess factors such as spatial resolution, contrast preservation, and information retention and are used to evaluate the performance of the analysed methods. Results: The results highlight the strengths and limitations of the evaluated techniques, demonstrating their effectiveness in producing sharpened fused X-ray images with clearly emphasized targets and enhanced structural details. Conclusions: The Laplacian Pyramid fusion method emerges as the most versatile choice for applications demanding a balanced trade-off. This is evidenced by its overall multi-criteria balance, supported by a composite (geometric mean) score on normalised metrics. It consistently achieves high performance across all evaluated metrics, making it reliable for detecting concealed threats under diverse imaging conditions. Full article
Show Figures

Figure 1

21 pages, 43172 KB  
Article
Surface Temperature Prediction of Grain Piles: VMD-SampEn-vLSTM-E Prediction Method Based on Decomposition and Reconstruction
by Peiru Li, Bangyu Li, Jin Qian and Liang Qi
Sustainability 2025, 17(20), 9012; https://doi.org/10.3390/su17209012 - 11 Oct 2025
Viewed by 390
Abstract
The surface temperature of grain piles is sensitive to environmental fluctuations and exhibits nonlinear, multi-scale temporal patterns, making accurate prediction crucial for grain storage risk early warning. This paper proposes a decomposition–reconstruction prediction method integrating Sample Entropy (SampEn), variational mode decomposition (VMD), and [...] Read more.
The surface temperature of grain piles is sensitive to environmental fluctuations and exhibits nonlinear, multi-scale temporal patterns, making accurate prediction crucial for grain storage risk early warning. This paper proposes a decomposition–reconstruction prediction method integrating Sample Entropy (SampEn), variational mode decomposition (VMD), and a variant Long Short-Term Memory network (vLSTM). SampEn determines the optimal decomposition parameters, VMD extracts intrinsic mode functions (IMFs), and vLSTM, with peephole connections and coupled gates, conducts synchronous multi-IMF prediction. To explicitly account for environmental influences, a support vector regression (SVR) model driven by dew point temperature and vapor pressure deficit is employed to estimate the surface temperature variation ΔT. This component enhances the adaptability of the framework to dynamic storage conditions. The environment-derived ΔT is then integrated with the VMD-SampEn-vLSTM output to obtain the final forecast. Experiments on real-granary data from Liaoning, China demonstrate that the proposed method reduces mean absolute error (MAE) and root mean square error (RMSE) by 25% and 14%, respectively, compared with baseline models, thus achieving a significant improvement in prediction performance. This integration of data-driven prediction with environmental adjustment significantly improves forecasting accuracy and robustness. Full article
Show Figures

Figure 1

20 pages, 3199 KB  
Article
Analysis of the Risk Factors for PCCP Damage via Cloud Theory
by Liwei Han, Yifan Zhang, Te Wang and Ruibin Guo
Buildings 2025, 15(18), 3363; https://doi.org/10.3390/buildings15183363 - 17 Sep 2025
Viewed by 551
Abstract
Research on prestressed concrete cylinder pipes (PCCPs) has focused primarily on their failure mechanisms, monitoring methods, and the effectiveness of repairs. However, gaps in the study of damage risks associated with PCCPs remain. Based on existing relevant research, this study focused on analysing [...] Read more.
Research on prestressed concrete cylinder pipes (PCCPs) has focused primarily on their failure mechanisms, monitoring methods, and the effectiveness of repairs. However, gaps in the study of damage risks associated with PCCPs remain. Based on existing relevant research, this study focused on analysing the uncertainties in the material production and manufacturing processes of PCCPs to assess their damage risk. The research employs onsite test data about the compressive strength of C55 concrete and the real prestressing force exerted on prestressed steel wires, utilising the measured compressive strength of the concrete core in PCCPs alongside the actual prestressing force applied to the steel wires. An inverse cloud generator was employed to obtain the expected value Ex, entropy En, and hyperentropy He of the characteristic numbers. These values are then combined with the forward cloud model in cloud theory to train random parameters. By combining cloud theory with the Monte Carlo method, a risk analysis model for PCCP pipelines was established. Using internal water pressure monitoring data from the Qiliqiao Reservoir to the Xiayi Water Supply Line in the South-to-North Water Diversion Project, along with relevant PCCP pipeline data, the failure probability of the PCCP pipeline was calculated. The reliability index of this pipeline section under 0.6 MPa loading was found to be 4.49, demonstrating the reliability of the PCCP pipeline in this section of the water supply line. Full article
(This article belongs to the Section Building Structures)
Show Figures

Figure 1

15 pages, 1825 KB  
Article
Entropy Analysis of Electroencephalography for Post-Stroke Dysphagia Assessment
by Adrian Velasco-Hernandez, Javier Imaz-Higuera, Jose Luis Martinez-de-Juan, Yiyao Ye-Lin, Javier Garcia-Casado, Marta Gutierrez-Delgado, Jenny Prieto-House, Gemma Mas-Sese, Araceli Belda-Calabuig and Gema Prats-Boluda
Entropy 2025, 27(8), 818; https://doi.org/10.3390/e27080818 - 31 Jul 2025
Viewed by 1109
Abstract
Affecting over 50% of stroke patients, dysphagia is still challenging to diagnose and manage due to its complex multifactorial nature and can be the result of disruptions in the coordination of cortical and subcortical neural activity as reflected in electroencephalographic (EEG) signal patterns. [...] Read more.
Affecting over 50% of stroke patients, dysphagia is still challenging to diagnose and manage due to its complex multifactorial nature and can be the result of disruptions in the coordination of cortical and subcortical neural activity as reflected in electroencephalographic (EEG) signal patterns. Sample Entropy (SampEn), a signal complexity or predictability measure, could serve as a tool to identify any abnormalities associated with dysphagia. The present study aimed to identify quantitative dysphagia biomarkers using SampEn from EEG recordings in post-stroke patients. Sample entropy was calculated in the theta, alpha, and beta bands of EEG recordings in a repetitive swallowing task performed by three groups: 22 stroke patients without dysphagia (controls), 36 stroke patients with dysphagia, and 21 healthy age-matched individuals. Post-stroke patients, both with and without dysphagia, exhibited significant differences in SampEn compared to healthy subjects in the alpha and theta bands, suggesting widespread alterations in brain dynamics. These changes likely reflect impairments in sensorimotor integration and cognitive control mechanisms essential for effective swallowing. A significant cluster was identified in the left parietal region during swallowing in the beta band, where dysphagic patients showed higher entropy compared to healthy individuals and controls. This finding suggests altered neural dynamics in a region crucial for sensorimotor integration, potentially reflecting disrupted cortical coordination associated with dysphagia. The precise quantification of these neurophysiological alterations offers a robust and objective biomarker for diagnosing neurogenic dysphagia and monitoring therapeutic interventions by means of EEG, a non-invasive and cost-efficient technique. Full article
(This article belongs to the Section Multidisciplinary Applications)
Show Figures

Figure 1

16 pages, 610 KB  
Article
Wired Differently? Brain Temporal Complexity and Intelligence in Autism Spectrum Disorder
by Moses O. Sokunbi, Oumayma Soula, Bertha Ochieng and Roger T. Staff
Brain Sci. 2025, 15(8), 796; https://doi.org/10.3390/brainsci15080796 - 26 Jul 2025
Viewed by 3594
Abstract
Background: Autism spectrum disorder (ASD) is characterised by atypical behavioural and cognitive diversity, yet the neural underpinnings linking brain activity and individual presentations remain poorly understood. In this study, we investigated the relationship between resting-state functional magnetic resonance imaging (fMRI) signal complexity and [...] Read more.
Background: Autism spectrum disorder (ASD) is characterised by atypical behavioural and cognitive diversity, yet the neural underpinnings linking brain activity and individual presentations remain poorly understood. In this study, we investigated the relationship between resting-state functional magnetic resonance imaging (fMRI) signal complexity and intelligence (full-scale intelligence quotient (FIQ); verbal intelligence quotient (VIQ); and performance intelligence quotient (PIQ)) in male adults with ASD (n = 14) and matched neurotypical controls (n = 15). Methods: We used three complexity-based metrics: Hurst exponent (H), fuzzy approximate entropy (fApEn), and fuzzy sample entropy (fSampEn) to characterise resting-state fMRI signal dynamics, and correlated these measures with standardised intelligence scores. Results: Using a whole-brain measure, ASD participants showed significant negative correlations between PIQ and both fApEn and fSampEn, suggesting that increased neural irregularity may relate to reduced cognitive–perceptual performance in autistic individuals. No significant associations between entropy (fApEn and fSampEn) and PIQ were found in the control group. Group differences in brain–behaviour associations were confirmed through formal interaction testing using Fisher’s r-to-z transformation, which showed significantly stronger correlations in the ASD group. Complementary regression analyses with interaction terms further demonstrated that the entropy (fApEn and fSampEn) and PIQ relationship was significantly moderated by group, reinforcing evidence for autism-specific neural mechanisms underlying cognitive function. Conclusions: These findings provide insight into how cognitive functions in autism may not only reflect deficits but also an alternative neural strategy, suggesting that distinct temporal patterns may be associated with intelligence in ASD. These preliminary findings could inform clinical practice and influence health and social care policies, particularly in autism diagnosis and personalised support planning. Full article
(This article belongs to the Special Issue Understanding the Functioning of Brain Networks in Health and Disease)
Show Figures

Figure 1

16 pages, 386 KB  
Article
State Space Correspondence and Cross-Entropy Methods in the Assessment of Bidirectional Cardiorespiratory Coupling in Heart Failure
by Beatrice Cairo, Riccardo Pernice, Nikola N. Radovanović, Luca Faes, Alberto Porta and Mirjana M. Platiša
Entropy 2025, 27(7), 770; https://doi.org/10.3390/e27070770 - 20 Jul 2025
Viewed by 1098
Abstract
The complex interplay between the cardiac and the respiratory systems, termed cardiorespiratory coupling (CRC), is a bidirectional phenomenon that can be affected by pathologies such as heart failure (HF). In the present work, the potential changes in strength of directional CRC were assessed [...] Read more.
The complex interplay between the cardiac and the respiratory systems, termed cardiorespiratory coupling (CRC), is a bidirectional phenomenon that can be affected by pathologies such as heart failure (HF). In the present work, the potential changes in strength of directional CRC were assessed in HF patients classified according to their cardiac rhythm via two measures of coupling based on k-nearest neighbor (KNN) estimation approaches, cross-entropy (CrossEn) and state space correspondence (SSC), applied on the heart period (HP) and respiratory (RESP) variability series, while also accounting for the complexity of the cardiac and respiratory rhythms. We tested the measures on 25 HF patients with sinus rhythm (SR, age: 58.9 ± 9.7 years; 23 males) and 41 HF patients with ventricular arrhythmia (VA, age 62.2 ± 11.0 years; 30 males). A predominant directionality of interaction from the cardiac to the respiratory rhythm was observed in both cohorts and using both methodologies, with similar statistical power, while a lower complexity for the RESP series compared to HP series was observed in the SR cohort. We conclude that CrossEn and SSC can be considered strictly related to each other when using a KNN technique for the estimation of the cross-predictability markers. Full article
(This article belongs to the Special Issue Entropy Methods for Cardiorespiratory Coupling Analysis)
Show Figures

Figure 1

17 pages, 3856 KB  
Article
Wavelet Fusion with Sobel-Based Weighting for Enhanced Clarity in Underwater Hydraulic Infrastructure Inspection
by Minghui Zhang, Jingkui Zhang, Jugang Luo, Jiakun Hu, Xiaoping Zhang and Juncai Xu
Appl. Sci. 2025, 15(14), 8037; https://doi.org/10.3390/app15148037 - 18 Jul 2025
Viewed by 826
Abstract
Underwater inspection images of hydraulic structures often suffer from haze, severe color distortion, low contrast, and blurred textures, impairing the accuracy of automated crack, spalling, and corrosion detection. However, many existing enhancement methods fail to preserve structural details and suppress noise in turbid [...] Read more.
Underwater inspection images of hydraulic structures often suffer from haze, severe color distortion, low contrast, and blurred textures, impairing the accuracy of automated crack, spalling, and corrosion detection. However, many existing enhancement methods fail to preserve structural details and suppress noise in turbid environments. To address these limitations, we propose a compact image enhancement framework called Wavelet Fusion with Sobel-based Weighting (WWSF). This method first corrects global color and luminance distributions using multiscale Retinex and gamma mapping, followed by local contrast enhancement via CLAHE in the L channel of the CIELAB color space. Two preliminarily corrected images are decomposed using discrete wavelet transform (DWT); low-frequency bands are fused based on maximum energy, while high-frequency bands are adaptively weighted by Sobel edge energy to highlight structural features and suppress background noise. The enhanced image is reconstructed via inverse DWT. Experiments on real-world sluice gate datasets demonstrate that WWSF outperforms six state-of-the-art methods, achieving the highest scores on UIQM and AG while remaining competitive on entropy (EN). Moreover, the method retains strong robustness under high turbidity conditions (T ≥ 35 NTU), producing sharper edges, more faithful color representation, and improved texture clarity. These results indicate that WWSF is an effective preprocessing tool for downstream tasks such as segmentation, defect classification, and condition assessment of hydraulic infrastructure in complex underwater environments. Full article
Show Figures

Figure 1

17 pages, 2134 KB  
Article
Analysis of Movement Variability During the Spike Jump Action in Young and High-Level Female Volleyball Players: Differences Between Categories and Playing Positions
by Jordi Català, Gerard Moras, Víctor Toro-Román, Carla Pérez-Chirinos Buxadé, Silvia Tuyà-Viñas and Bruno Fernández-Valdés
J. Funct. Morphol. Kinesiol. 2025, 10(3), 268; https://doi.org/10.3390/jfmk10030268 - 16 Jul 2025
Viewed by 2892
Abstract
Objectives: The aim of this study was to analyze and compare movement variability (MV) during the spike jump (S) action with and without a ball in volleyball players of different categories and playing positions. Methods: A total of 48 volleyball players [...] Read more.
Objectives: The aim of this study was to analyze and compare movement variability (MV) during the spike jump (S) action with and without a ball in volleyball players of different categories and playing positions. Methods: A total of 48 volleyball players participated in this study. The players were divided according to the following categories: under-14 (U-14) (n = 12); U-16 (n = 12); U-19 (n = 12); and SENIOR (n = 12). Also, they were divided according to playing position: hitters (n = 24); liberos (n = 5); middle blockers (n = 12); and setters (n = 7). The S action with and without a ball was analyzed. Acceleration was analyzed using an IMU device. Acceleration was used to calculate MV through sample entropy (SampEn). Results: Differences were observed in all categories when comparing the S action with and without the ball (p < 0.001). SampEn was higher in the U-14 category (p < 0.001). Regarding playing positions, SampEn was lower in the hitter position compared to the middle blocker (p < 0.001) and libero (p < 0.001). There were significant inverse correlations between years of experience and SampEn (p < 0.05). Conclusions: The inclusion of a ball during the S action increases MV. MV is higher in the U-14 category compared to the rest. The hitter position showed lower MV compared to the other playing positions. Full article
(This article belongs to the Special Issue Sports-Specific Conditioning: Techniques and Applications)
Show Figures

Figure 1

Back to TopTop