Abstract
Wearable sensors enable continuous monitoring of physiological signals, offering opportunities for the early detection of metabolic dysfunction. In this study, we propose the use of cross-fuzzy entropy (X-FuzzEn) to quantify the dynamic coupling between wearable-derived time series, i.e., heart rate (HR), electrodermal activity (EDA), and body acceleration (ACC), across four clinically relevant glucose ranges. Analysis revealed differences in signal coordination across both metabolic and demographic groups. Prediabetic individuals exhibited elevated X-FuzzEn between HR and EDA during hypoglycemia compared to normoglycemic individuals, indicating potential autonomic dysregulation. Males showed lower X-FuzzEn compared to females, indicating more coherent and adaptive autonomic regulation. A similar pattern was observed in HR–ACC coupling, with lower X-FuzzEn in males during hypoglycemia. These findings suggest that cross-fuzzy entropy may serve as a sensitive, non-invasive biomarker of physiological resilience and autonomic stability in response to metabolic stress.
1. Introduction
Wearable sensors such as smartwatches and fitness trackers have gained popularity over recent years, allowing for continuous non-invasive monitoring of physiological signals in daily life [1]. These devices enable the tracking and collection of data such as heart rate, steps, calories burned, and sleep duration over extended periods. This continuous monitoring provides granular, real-time insights into physiological processes that are difficult to capture during intermittent clinical visits, enabling the derivation of digital biomarkers to assess users’ metabolic dynamics [2,3].
Physiological systems are highly interconnected—for instance, the cardiovascular and respiratory systems exhibit strong bidirectional influences, and neural control tightly regulates muscular activity [4]. Therefore, investigating coupling patterns between multiple physiological signals can uncover latent states and regulatory mechanisms that may not be apparent in individual signals alone.
Despite this potential, the application of signal coupling analysis to multimodal wearable data for the derivation of non-invasive biomarkers remains limited. Most current analytics focus primarily on deriving features from individual physiological signals, overlooking the dynamic interaction between signals. In particular, in the domain of deriving biomarkers for glycemic state, prior work has predominantly focused on deriving time and frequency domain features [5,6]. Although a few studies have explored nonlinear features, they typically rely on a single source signal, thereby overlooking the coupled dynamics between multiple physiological signals [7,8].
In this study, we propose the use of an entropy-based measure—cross-fuzzy entropy to quantify the dynamic coupling between wearable-derived time series of physiological signals, including heart rate (HR), electrodermal activity (EDA), and wrist-worn accelerometry (ACC).
2. Materials and Methods
2.1. Dataset
We utilized the BIG IDEAs Lab Glycemic Variability and Wearable Device Data dataset for this study [9]. The dataset includes 16 participants (9 females and 7 males) aged 35–65 years, with either high-normal HbA1c levels (5.2–5.6%) or prediabetic HbA1c levels (5.7–6.4%). Exclusion criteria included any history of chronic obstructive pulmonary disease, cardiovascular disease, cancer, or chronic kidney disease.
Data was collected over 8–10 consecutive days. Glucose levels were recorded every 5 min using Dexcom G6 (Dexcom, Inc., San Diego, CA, USA) (CGMs). Simultaneous physiological data were continuously recorded using Empatica E4 wristbands (Empatica Inc., Cambridge, MA, USA), capturing blood volume pulse (BVP) at 64 Hz, tri-axial acceleration (tri-ACC) at 32 Hz, electrodermal activity (EDA) at 4 Hz, and skin temperature (TEMP) at 4 Hz. BVP was used to derive HR at 1 Hz.
2.2. Data Pre-Processing
As the first step, tri-axial accelerometry (tri_ACC) data were used to compute the vector magnitude of acceleration (ACC). The next step involved outlier removal and filtering. HR and TEMP signals were filtered in the time domain by removing physiologically infeasible values. EDA, ACC, and BVP signals were filtered in the frequency domain using the following cut-off frequencies: EDA—low-pass filter at 0.5 Hz; ACC—band-pass filter between 0.29 and 10 Hz; BVP—band-pass filter between 0.5 and 5 Hz. As cross-entropy computation requires equal signal lengths, all signals were resampled to 1 Hz to match the lowest sampling resolution. The resampled signals were then segmented into 5 min epochs aligned with available glucose measurement timestamps. Epochs containing over 50% missing data in any signal were excluded, and missing values were imputed.
2.3. Cross-Fuzzy Entropy
Fuzzy entropy (FuzzyEn) is a nonlinear metric designed to quantify the complexity or irregularity within a univariate time series by assessing the degree of pattern similarity using fuzzy set theory. Unlike traditional entropy measures that rely on binary thresholds to determine whether patterns are similar or not, FuzzyEn employs a fuzzy membership function that assigns a gradual similarity value between vectors, enhancing robustness against noise and small signal variations [10]. Cross-fuzzy entropy (X-FuzzEn) is an extension of FuzzyEn aimed at quantifying the degree of synchrony or coupling between two univariate time series. By comparing the similarity of embedded vector patterns from two signals, X-FuzzEn evaluates how synchronous or coordinated their temporal dynamics are [11]. Both FuzzyEn and X-FuzzEn utilize the concept of phase-space reconstruction through embedding, where the time series is mapped into vectors of length m, known as the embedding dimension. This embedding captures temporal structures and dependencies within the data: For m = 1, the embedding reduces to individual scalar points, reflecting pointwise comparisons. For m = 2, the embedding captures temporal evolution by forming vectors of two consecutive points, thus incorporating short-term temporal patterns.
In this study, two cross-fuzzy entropy variants (X-FuzzEn1 with m = 1, and X-FuzzEn2 with m = 2) were calculated for all combinations of signal pairs (i.e., HR and EDA, HR and ACC, ACC and TEMP, among others). EntropyHub (version 2.0, Luxembourg) [12] was used for the cross-entropy computations, with all other parameters kept at their default values.
2.4. Comparison of X-FuzzEn Across Glucose Ranges
We compared X-FuzzEn1 and X-FuzzEn2 across four clinically relevant glucose ranges: hypoglycemia (<70 mg/dL), normoglycemia (70–140 mg/dL), elevated normoglycemia (141–180 mg/dL), and hyperglycemia (>180 mg/dL).
These ranges were used to assess how physiological coupling, as measured by cross-fuzzy entropy, varies with glucose levels. Entropy differences were analyzed across two categories: (1) metabolic status, based on HbA1c levels—categorized as high-normal (HN, 5.2–5.6%) and prediabetic (PD, 5.7–6.4%)—and (2) biological sex, categorized as male (M) or female (F).
3. Results
As outlined in Section 2.4, we computed X-FuzzEn for all available combinations of signal pairs. In this section, we focus on a selection of noteworthy results—particularly those with potential as non-invasive biomarkers for distinguishing metabolic and demographic groups.
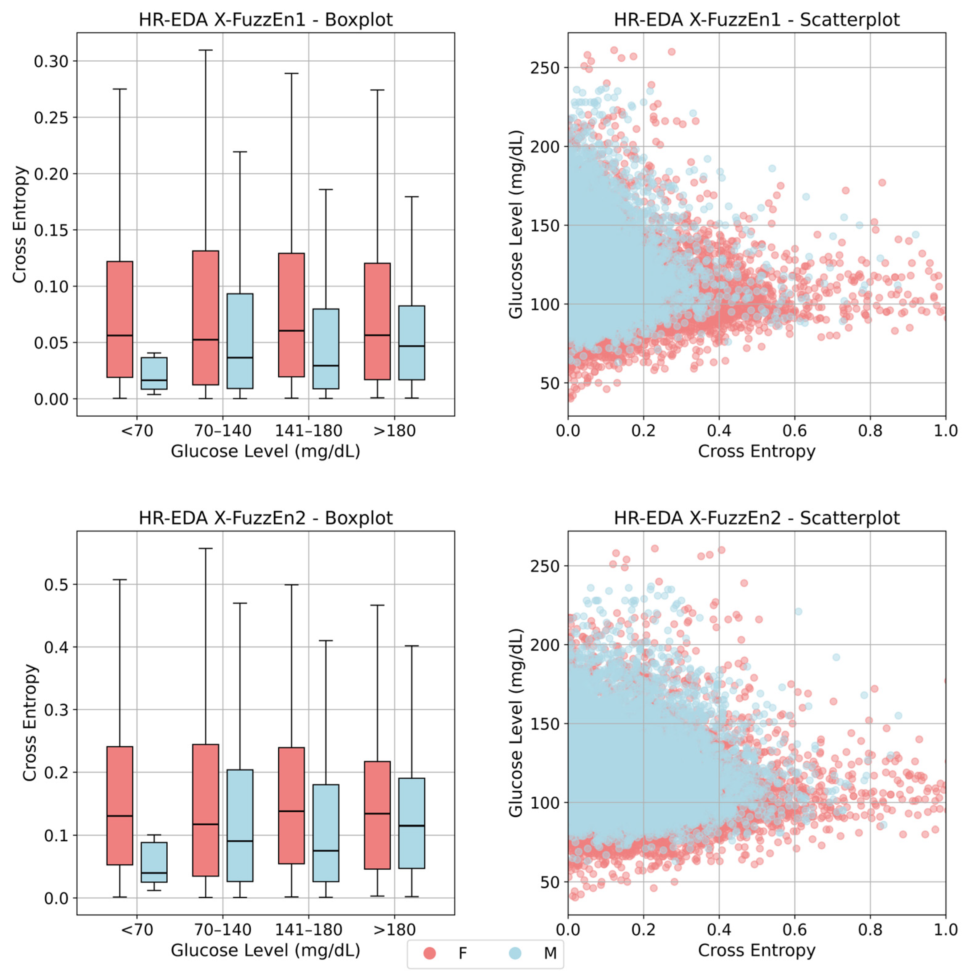
3.1. X-FuzzEn Between HR and EDA
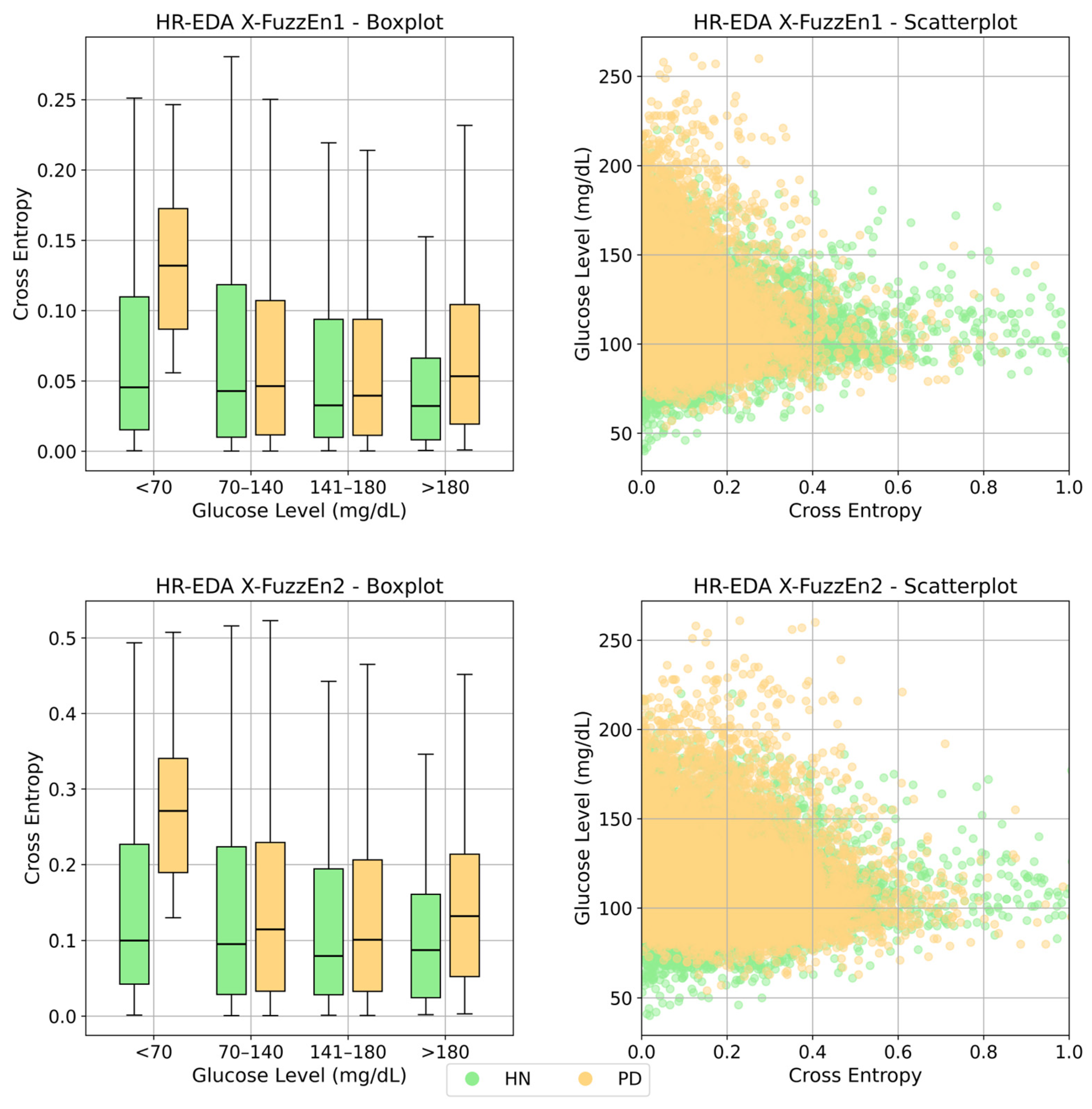
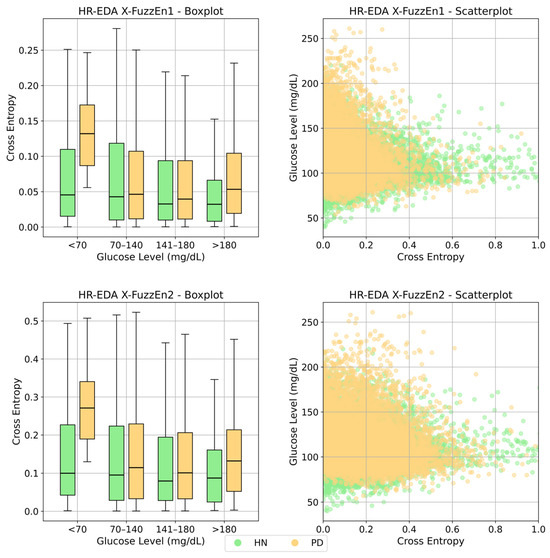
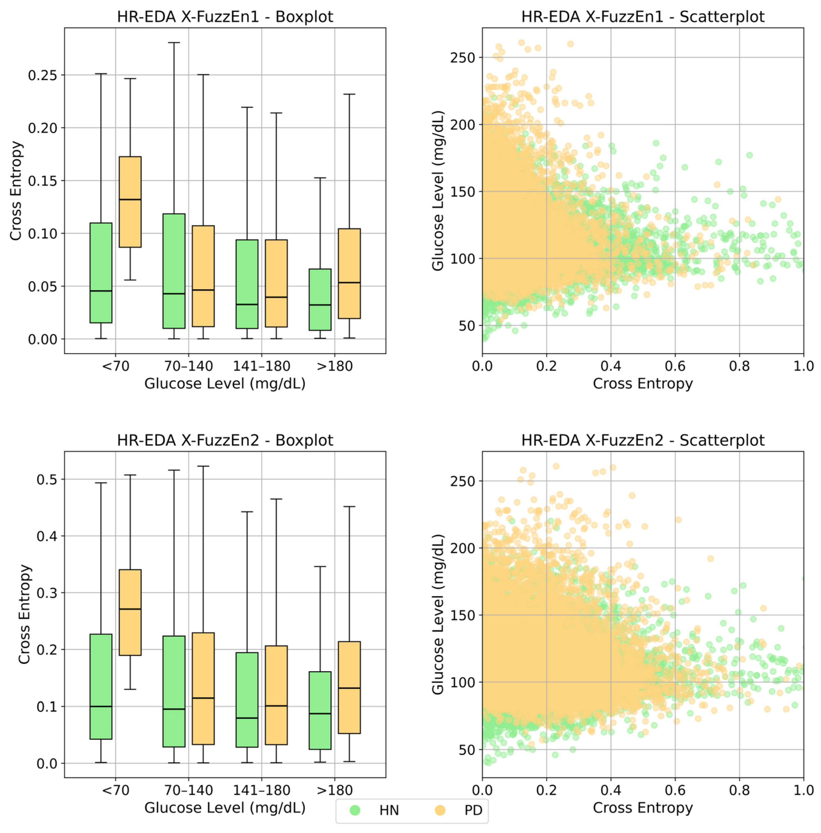
The cross-entropy results indicate prediabetic individuals exhibit elevated X-FuzzEn between HR and EDA in the hypoglycemia range compared to individuals with high-normal glucose levels (Figure 1). For X-FuzzEn1, the median cross-entropy for the PD group in the hypoglycemia range was 0.13, with the interquartile range (IQR) between 0.09 and 0.17. In contrast, the HN group had a median of 0.05 and an IQR between 0.02 and 0.11. For X-FuzzEn2, the PD group showed a higher median value of 0.27, and an IQR from 0.19 to 0.34, in the hypoglycemia range. The median for HN individuals falls at 0.10, with the IQR between 0.04 and 0.23. Across the glucose ranges of normoglycemia (70–140 mg/dL), elevated normoglycemia (141–180 mg/dL), and hyperglycemia (>180 mg/dL), both groups show similar distributions of cross-entropy values, with no distinct elevation in either group. These findings suggest that individuals with prediabetes exhibit elevated HR-EDA cross-entropy specifically in the hypoglycemic range, a pattern not observed in other glucose states. This may reflect disrupted autonomic integration or early-stage sympathetic nervous system dysfunction, potentially serving as an early physiological marker of prediabetic dysregulation.
Figure 1.
Comparison of X-FuzzEn between HR and EDA between prediabetic (PD) and high-normal (HN) individuals across four glucose ranges.
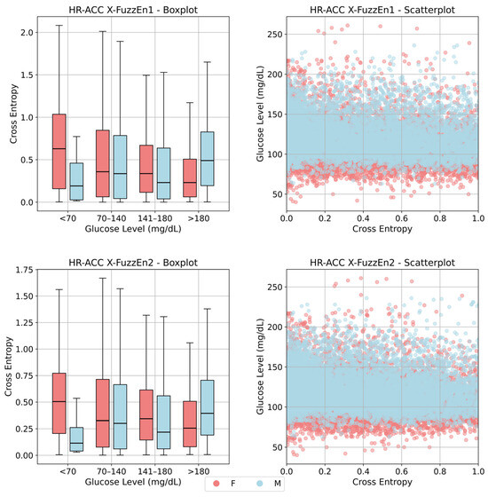
A similar divergence was observed between sex groups (Figure 2). In the hypoglycemia range, male subjects exhibited lower HR–EDA cross-entropy compared to female subjects. For X-FuzzEn1, the median cross-entropy for males is 0.02, with a narrow IQR between 0.01 and 0.04. In contrast, females had a median of 0.06, with a broader IQR extending up from 0.02–0.12. Similarly, in X-FuzzEn2, the male median remains at 0.04, while the female median rises to 0.13, with the IQR spanning from 0.05 to above 0.24. Across the normoglycemia, elevated normoglycemia, and hyperglycemia ranges, male and female HR–EDA cross-entropy values appear more aligned, with males consistently showing slightly lower or equivalent medians and IQRs. These patterns suggest that males may maintain more stable autonomic regulation in response to hypoglycemia, as reflected in the lower entropy between HR and EDA.
Figure 2.
Comparison of X-FuzzEn between HR and EDA between males (M) and females (F) across four glucose ranges.
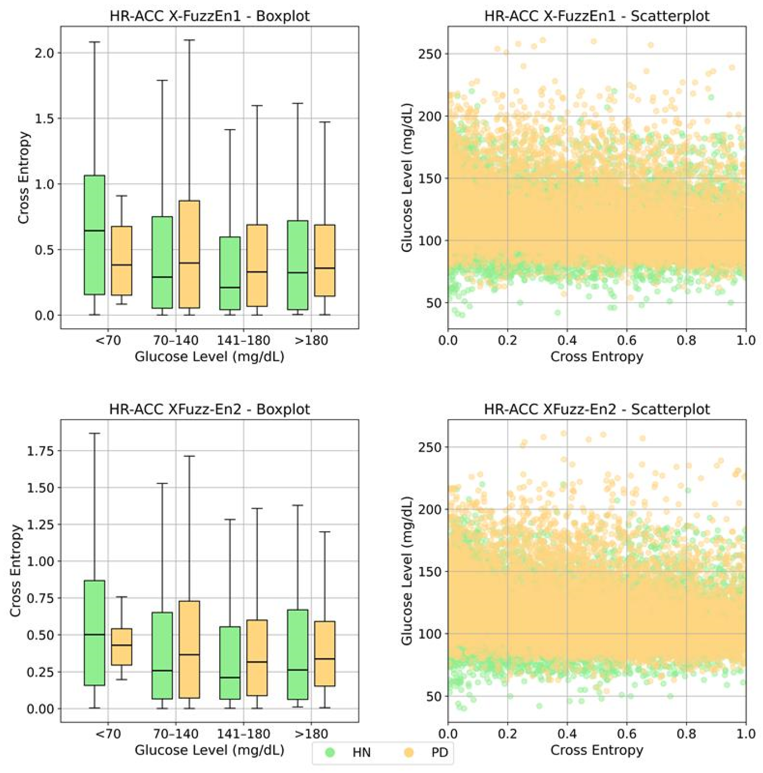
3.2. X-FuzzEn Between HR and ACC
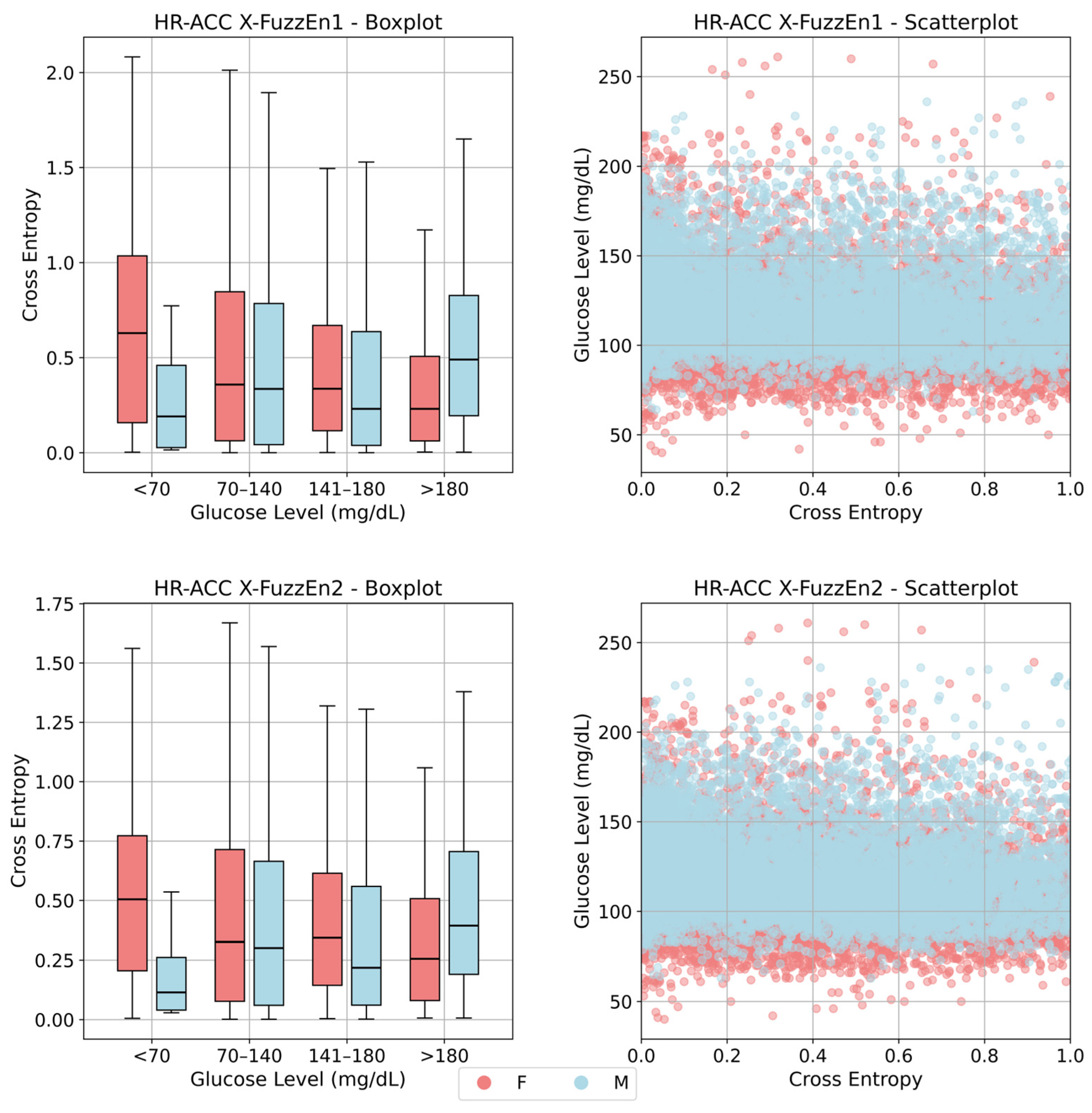
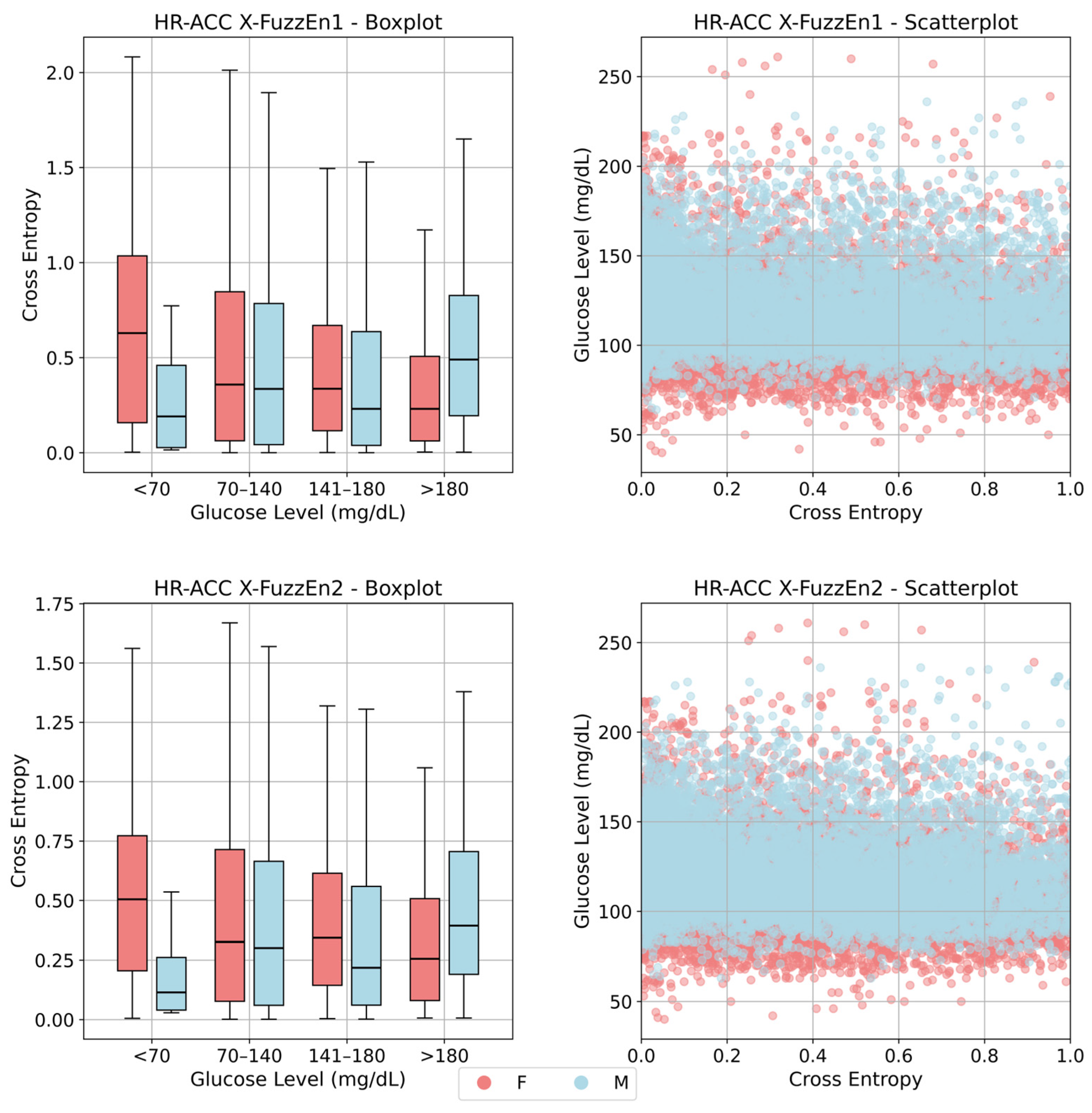
In the HR–ACC cross-entropy analysis, male subjects exhibited lower X-FuzzEn values during hypoglycemia compared to female subjects (Figure 3). For X-FuzzEn1, males show a median cross-entropy of 0.19, with an IQR between 0.03 and 0.46, whereas females have a median of 0.63, with a broader IQR of 0.16–1.04. For X-FuzzEn2, the male median is at 0.11, with IQR ranging from 0.04 to 0.26, while the female median falls at 0.50, with the IQR ranging from 0.21 to 0.77. Across normoglycemia, elevated normoglycemia, and hyperglycemia ranges, the entropy distributions between males and females become more comparable, though males still tend to exhibit slightly lower or equivalent values. The lower HR–ACC entropy in males during hypoglycemia may reflect tighter and more synchronized integration between cardiac and motor systems, suggesting more efficient cardiac-motor coupling under low-glucose conditions.
Figure 3.
Comparison of X-FuzzEn between HR and ACC between males (M) and females (F) across four glucose ranges.
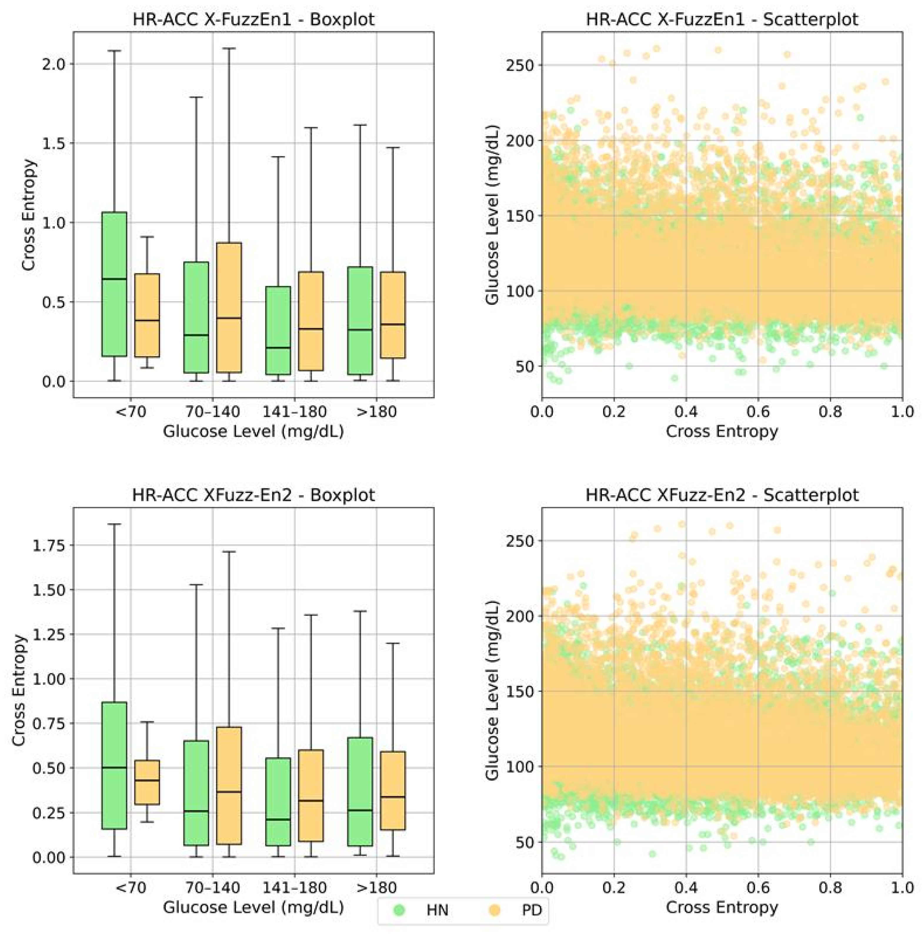
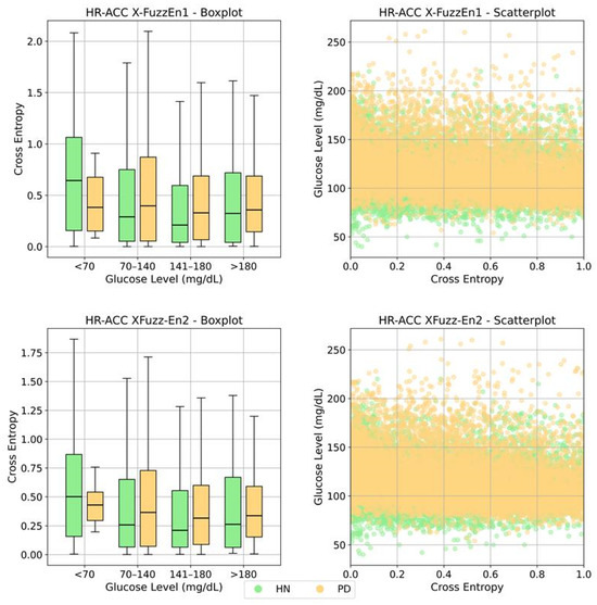
In contrast, the cross-entropy analysis for HR–ACC coupling did not reveal any significant differences between the HN and PD groups across any of the four glucose ranges (Figure 4).
Figure 4.
Comparison of X-FuzzEn between HR and ACC between prediabetic (PD) and high-normal (HN) individuals across four glucose ranges.
4. Discussion
Our results indicate that cross-fuzzy entropy (X-FuzzEn) captures distinct patterns of physiological signal coordination across both metabolic states and demographic groups. These distinctions were most pronounced under metabolic stress, indicating that lower X-FuzzEn appears to indicate efficient physiological coordination, while elevated entropy may signal early dysregulation, particularly in prediabetic individuals.
Our findings align with prior research examining physiological signals in relation to gender [13,14]. For example, previous studies have reported gender differences in emotional processing, using EEG-derived features to classify gender based on responses to emotional stimuli [13]. In our study, cross-fuzzy entropy revealed lower HR–EDA and HR–ACC coupling in male subjects compared to females during hypoglycemia. Although these studies focus on different physiological domains, both highlight the utility of entropy-based metrics for capturing gender-specific patterns.
The dataset used in this study comprises data from only 16 participants, which limits the generalizability of the findings. Additionally, the participants were recruited from a relatively homogeneous population, and demographic diversity was limited. This may restrict the applicability of the results to broader populations.
To address these limitations, future work should focus on applying X-FuzzEn analysis to larger, more diverse datasets spanning a wider range of metabolic states, ages, and lifestyles. Moreover, validating the findings across different wearable device platforms would strengthen their generalizability. Finally, investigating whether X-FuzzEn can serve as an early-warning biomarker in real-time monitoring systems for prediabetes or other metabolic disorders would be an important step toward clinical translation.
In conclusion, this study highlights a novel application of entropy-based metrics in wearable sensing, offering new insights into the complexity of physiological signal interactions and their potential for real-time health monitoring.
Author Contributions
Conceptualization, Z.L., T.S.K. and N.H.H.; methodology, T.S.K., C.F.C., N.H.H. and Z.L.; validation, S.K. and T.S.K.; formal analysis, S.K. and T.S.K.; investigation, S.K. and T.S.K.; resources, Z.L.; writing—original draft preparation, S.K. and T.S.K.; writing—review and editing, S.K., T.S.K., C.F.C., N.H.H. and Z.L.; visualization, S.K.; supervision, Z.L. and T.S.K. All authors have read and agreed to the published version of the manuscript.
Funding
This research was supported by the KUAS Advanced Research Grant 2025.
Institutional Review Board Statement
Not applicable.
Informed Consent Statement
Not applicable.
Data Availability Statement
The dataset used in this study is publicly accessible at https://physionet.org/content/big-ideas-glycemic-wearable/1.1.2/ (accessed on 12 August 2025).
Conflicts of Interest
The authors declare no conflicts of interest.
References
- Kulkarni, M.B.; Rajagopal, S.; Prieto-Simón, B.; Pogue, B.W. Recent advances in smart wearable sensors for continuous human health monitoring. Talanta 2024, 272, 125817. [Google Scholar] [CrossRef] [PubMed]
- Bent, B.; Wang, K.; Grzesiak, E.; Jiang, C.; Qi, Y.; Jiang, Y.; Cho, P.; Zingler, K.; Ogbeide, F.I.; Zhao, A.; et al. The digital biomarker discovery pipeline: An open-source software platform for the development of digital biomarkers using mHealth and wearables data. J. Clin. Transl. Sci. 2021, 5, e19. [Google Scholar] [CrossRef] [PubMed]
- Sun, Y.M.; Wang, Z.Y.; Liang, Y.Y.; Hao, C.W.; Shi, C.H. Digital biomarkers for precision diagnosis and monitoring in Parkinson’s disease. NPJ Digit. Med. 2024, 7, 218. [Google Scholar] [CrossRef] [PubMed]
- Schulz, S.; Adochiei, F.C.; Edu, I.R.; Schroeder, R.; Costin, H.; Bär, K.J.; Voss, A. Cardiovascular and cardiorespiratory coupling analyses: A review. Philos. Trans. R. Soc. A Math. Phys. Eng. Sci. 2013, 371, 20120191. [Google Scholar] [CrossRef] [PubMed]
- Ali, H.; Niazi, I.K.; White, D.; Akhter, M.N.; Madanian, S. Comparison of machine learning models for predicting interstitial glucose using smart watch and food log. Electronics 2024, 13, 3192. [Google Scholar] [CrossRef]
- Bent, B.; Cho, P.J.; Henriquez, M.; Wittmann, A.; Thacker, C.; Feinglos, M.; Crowley, M.J.; Dunn, J.P. Engineering digital biomarkers of interstitial glucose from noninvasive smartwatches. NPJ Digit. Med. 2021, 4, 89. [Google Scholar] [CrossRef] [PubMed]
- Karunarathna, T.S.; Liang, Z. Developing consumer wearable compatible computational models for non-invasive glucose estimation in diabetes patients. In Proceedings of the 2024 IEEE Consumer Life Tech (ICLT), Sydney, Australia, 11–13 December 2024; pp. 1–4. [Google Scholar]
- Karunarathna, T.S.; Liang, Z. Development of non-invasive continuous glucose prediction models using multi-modal wearable sensors in free-living conditions. Sensors 2025, 25, 3207. [Google Scholar] [CrossRef] [PubMed]
- Cho, P.; Kim, J.; Bent, B.; Dunn, J. BIG IDEAs Lab Glycemic Variability and Wearable Device Data; Version: 1.1.1; PhysioNet: Boston, MA, USA, 2023. [Google Scholar] [CrossRef]
- Chen, W.; Wang, Z.; Xie, H.; Yu, W. Characterization of surface EMG signal based on fuzzy entropy. IEEE Trans. Neural Syst. Rehabil. Eng. 2007, 15, 266–272. [Google Scholar] [CrossRef] [PubMed]
- Xie, H.B.; Zheng, Y.P.; Guo, J.Y.; Chen, X. Cross-fuzzy entropy: A new method to test pattern synchrony of bivariate time series. Inf. Sci. 2010, 180, 1715–1724. [Google Scholar] [CrossRef]
- Flood, M.W.; Grimm, B. EntropyHub: An open-source toolkit for entropic time series analysis. PLoS ONE 2021, 16, e0259448. [Google Scholar] [CrossRef] [PubMed]
- Al-Qazzaz, N.K.; Sabir, M.K.; Bin Mohd Ali, S.H.; Ahmad, S.A.; Grammer, K. Complexity and entropy analysis to improve gender identification from emotional-based EEGs. J. Healthc. Eng. 2021, 2021, 8537000. [Google Scholar] [CrossRef] [PubMed]
- Pernice, R.; Sparacino, L.; Iovino, M.; Raimondi, A.; Antonacci, Y.; Faes, L. Gender-related differences in time and spectral entropy rate measures of cardiovascular variability. In Proceedings of the 2024 13th Conference of the European Study Group on Cardiovascular Oscillations (ESGCO), Zaragoza, Spain, 23–25 October 2024; pp. 1–2. [Google Scholar]
Disclaimer/Publisher’s Note: The statements, opinions and data contained in all publications are solely those of the individual author(s) and contributor(s) and not of MDPI and/or the editor(s). MDPI and/or the editor(s) disclaim responsibility for any injury to people or property resulting from any ideas, methods, instructions or products referred to in the content. |
© 2025 by the authors. Licensee MDPI, Basel, Switzerland. This article is an open access article distributed under the terms and conditions of the Creative Commons Attribution (CC BY) license (https://creativecommons.org/licenses/by/4.0/).



