Due to scheduled maintenance work on our servers, there may be short service disruptions on this website between 11:00 and 12:00 CEST on March 28th.
Sign in to use this feature.

Years

Between: -

Subjects

remove_circle_outline
remove_circle_outline
remove_circle_outline
remove_circle_outline
remove_circle_outline
remove_circle_outline
remove_circle_outline

Journals

Article Types

Countries / Regions

Search Results (40)

Search Parameters:
Keywords = endplate potentials

Order results
Result details
Results per page
Select all
Export citation of selected articles as:
23 pages, 1549 KB  
Review
Insights into the Pathophysiology of Scheuermann’s Kyphosis: From Structural Deformities to Genetic Predisposition and Underlying Signalling Pathways
by Angelos Kaspiris, Ioannis Spyrou, Vasileios Marougklianis, Spyridoula Roberta Afrati, Evangelos Sakellariou, Iordanis Varsamos, Panagiotis Karampinas, Elias Vasiliadis and Spiros G. Pneumaticos
Biomolecules 2026, 16(1), 56; https://doi.org/10.3390/biom16010056 - 30 Dec 2025
Viewed by 859
Abstract
Scheuermann’s kyphosis (SK) is a rigid dorsal kyphosis of unclear pathophysiological origin. The aim of this review is to summarise current theories and both clinical and experimental findings regarding the underlying mechanisms of SK. Emerging evidence highlights the significant role of excessive mechanical [...] Read more.
Scheuermann’s kyphosis (SK) is a rigid dorsal kyphosis of unclear pathophysiological origin. The aim of this review is to summarise current theories and both clinical and experimental findings regarding the underlying mechanisms of SK. Emerging evidence highlights the significant role of excessive mechanical loading as a major contributor to defective growth of the cartilaginous vertebral endplate. This is associated with the formation of Schmorl’s nodes, disruption of the ring apophysis, and compromised intervertebral disc integrity—ultimately resulting in vertebral body wedging and thickening of the anterior longitudinal ligament. In addition, numerous studies have investigated the genetic contribution and underlying molecular mechanisms involved in the pathogenesis of SK. Recent in vivo findings suggest an association between asymmetric mechanosensory activation of cerebrospinal fluid (CSF), contacting neurons, and defective Reissner fibre signalling, which may contribute to abnormal spinal morphogenesis in the sagittal thoracic plane. These findings indicate a potential link between altered CSF dynamics and the development of SK. Taken together, the evidence supports a multifactorial aetiology, with both genetic and biomechanical factors playing central roles in the development of Scheuermann’s kyphosis. The interpretation of the underlying pathophysiological mechanism could result in the early detection of the subjects that may have genetical predisposition for SK appearance and the development of target molecular treatments in order to counter the progression of the deformity. Full article
Show Figures

Figure 1

11 pages, 1501 KB  
Article
Expandable Interbody Cages in 1–3 Level Circumferential Lumbar Arthrodesis with 2-Year Follow up: A Retrospective Study
by Fava Marco, Vommaro Francesco, Toscano Angelo, Ciani Giovanni, Parciante Antonio, Mendola Elena, Nervuti Giuliana, Maccaferri Bruna and Gasbarrini Alessandro
Bioengineering 2025, 12(11), 1169; https://doi.org/10.3390/bioengineering12111169 - 28 Oct 2025
Viewed by 966
Abstract
Introduction: Currently, static interbody cages are the gold standard for achieving solid arthrodesis in the spine, enhancing segmental stability, obtaining neuroforaminal decompression, and improving as well as maintaining segmental lordosis. It is well known that restoring sagittal balance and segmental lordosis is [...] Read more.
Introduction: Currently, static interbody cages are the gold standard for achieving solid arthrodesis in the spine, enhancing segmental stability, obtaining neuroforaminal decompression, and improving as well as maintaining segmental lordosis. It is well known that restoring sagittal balance and segmental lordosis is crucial for long-term outcomes in lumbar spine fusion. For some cases, expandable interbody cages are emerging as an alternative to static cages. This study aims to evaluate the radiographic outcomes and complications of standard open transforaminal lumbar interbody fusion (TLIF). Methods: A standard open TLIF procedure using expandable cages was performed at 1 to 3 levels in 71 patients (129 levels in total), with a follow-up of two years. All patients underwent radiological assessments preoperatively, immediately postoperatively, and at one and two years postoperatively. Radiological evaluation was conducted using standing lateral X-rays. Results: Segmental lordosis (SL) increased significantly from the preoperative value (9.0° ± 3.6°) to 24 months postoperatively (15.4° ± 3.0°), with improvements maintained throughout the 24-month follow-up period (p < 0.001). Similarly, anterior disc height (ADH), posterior disc height (PDH), and foraminal height (FH) each increased significantly from preoperative to immediate postoperative measurements, and these gains were maintained over the two-year follow-up (p < 0.001 each). Lumbar lordosis increased significantly from the preoperative value (41.9° ± 10.5°) to the immediate postoperative period (45.7° ± 10.8°); however, this improvement decreased slightly at the one- and two-year follow-ups. No revisions were required for cage-related complications. One patient experienced a surgical site infection, and two patients had mechanical complications (screw loosening and proximal junctional kyphosis). Conclusions: Expandable interbody cages enable excellent restoration and maintenance of disc height and segmental lordosis in a standard open TLIF procedures at two-year. Achieving these outcomes depends on several factors, including proper preparation of the vertebral endplates, accurate cage placement and expansion, posterior facet osteotomy, and the application of posterior compression prior to final fixation. These steps are essential to fully maximize the potential of expandable cage technology. Full article
Show Figures

Figure 1

22 pages, 6974 KB  
Article
An Experimental Evaluation of Steel Beam-HSST/CFSST Column Connection with Varying Joint Configurations
by Zongmin Zhang, Lanhua Chen, Ling Cai, Yanchun Li and Zaharah Mohd Yusoff
Buildings 2025, 15(20), 3774; https://doi.org/10.3390/buildings15203774 - 19 Oct 2025
Cited by 1 | Viewed by 1075
Abstract
Sixteen beam–column joints with different column types and connection configurations were designed and tested to identify suitable joints for low-rise prefabricated square steel tube (SST) columns and H-beams. The columns included hollow square steel tube (HSST) and concrete-filled square steel tube (CFSST) types, [...] Read more.
Sixteen beam–column joints with different column types and connection configurations were designed and tested to identify suitable joints for low-rise prefabricated square steel tube (SST) columns and H-beams. The columns included hollow square steel tube (HSST) and concrete-filled square steel tube (CFSST) types, while the joints consisted of welded, end plate, flange-connected, and angle connector plate configurations. Cyclic loading tests were conducted to examine failure modes, hysteresis and skeleton curves, stiffness degradation, and cumulative energy dissipation. The results showed that joints with angle connector plates outperformed welded, end-plate, and flange-connected joints. The height of the triangular stiffener was found to be a critical factor, with a 144 mm stiffener increasing the ultimate bending moment by 78.65% for CFSST and 79.3% for HSST columns, along with notable improvements in stiffness and energy dissipation. Based on Eurocode 3, angle connector plate joints with high stiffeners were classified as semi-rigid and full-strength. A combined assessment of mechanical behavior and economic efficiency indicated that this joint type provides the highest cost-effectiveness and significant application potential. Full article
(This article belongs to the Section Building Structures)
Show Figures

Figure 1

17 pages, 3090 KB  
Article
Cinnamaldehyde Inhibits Leptin-Induced MMP-1 by Modulating Leptin Receptor/STAT3 and Blocking RhoA/NF-κB Pathways in Human Intervertebral Disc Stem Cells
by Kuo-Feng Hua, Hsin-Chiao Yu and Hsien-Ta Hsu
Int. J. Mol. Sci. 2025, 26(19), 9819; https://doi.org/10.3390/ijms26199819 - 9 Oct 2025
Viewed by 885
Abstract
Obesity is a recognized risk factor for intervertebral disc (IVD) degeneration, a condition characterized by the progressive loss of extracellular matrix components in the nucleus pulposus. Elevated circulating leptin levels in obese individuals contribute to this degeneration by upregulating matrix metalloproteinase-1 (MMP-1) expression. [...] Read more.
Obesity is a recognized risk factor for intervertebral disc (IVD) degeneration, a condition characterized by the progressive loss of extracellular matrix components in the nucleus pulposus. Elevated circulating leptin levels in obese individuals contribute to this degeneration by upregulating matrix metalloproteinase-1 (MMP-1) expression. Targeting MMP-1 expression with low-toxicity natural compounds may provide a promising strategy to prevent or mitigate IVD degeneration. In this study, we examined the effects of cinnamaldehyde (CA), a natural compound derived from Cinnamomum osmophloeum Kaneh, on leptin-induced MMP-1 expression in human IVD cartilage endplate-derived stem cells (SV40 cell line). Our results showed that leptin induced MMP-1 expression via activation of leptin receptor-mediated JAK2/STAT3, JAK2/RhoA/STAT3, and RhoA/ERK1/2/NF-κB signaling pathways. CA significantly reduced MMP-1 expression by inhibiting phosphorylation of the leptin receptor and STAT3 and blocking RhoA and NF-κB activation, without affecting JAK2 and ERK1/2 phosphorylation. These findings suggest that CA suppresses leptin-induced MMP-1 expression by modulating specific signaling pathways, highlighting its potential as a therapeutic agent for IVD degeneration associated with obesity. Full article
(This article belongs to the Special Issue Updates on Synthetic and Natural Antioxidants)
Show Figures

Figure 1

20 pages, 3706 KB  
Review
Magnetic Resonance Imaging-Based Assessment of Bone Quality Using Vertebral Bone Quality (VBQ) Scores in Spine Surgery—A Critical Assessment and Narrative Review
by Adeesya Gausper, Wende N. Gibbs, Benjamin D. Elder, Justin K. Scheer, Tiffany G. Perry, Suhas K. Etigunta, Andy M. Liu, Alexander Tuchman and Corey T. Walker
J. Clin. Med. 2025, 14(18), 6477; https://doi.org/10.3390/jcm14186477 - 14 Sep 2025
Cited by 3 | Viewed by 2503
Abstract
Bone health is a key determinant of success in spine surgery, making preoperative assessment of bone quality essential to optimal surgical risk stratification. Magnetic resonance imaging (MRI)-based vertebral bone quality (VBQ) score offers a novel approach to assess bone health in spine surgery [...] Read more.
Bone health is a key determinant of success in spine surgery, making preoperative assessment of bone quality essential to optimal surgical risk stratification. Magnetic resonance imaging (MRI)-based vertebral bone quality (VBQ) score offers a novel approach to assess bone health in spine surgery candidates. The ability of MRI to assess bone quality without exposure to ionizing radiation makes it a potentially advantageous alternative to other traditional measures of bone density. VBQ has additionally shown potential to predict adverse outcomes, such as fragility fractures, instrumentation failure, subsidence and proximal junctional kyphosis. Variations of VBQ, such as endplate bone quality, S1 VBQ, and cervical VBQ, provide targeted insights at specific anatomical regions and potentially enhance the predictive accuracy of VBQ. However, clinical application of VBQ is limited by variability in MRI systems, patient-specific factors, and lack of standardized threshold values. This review aims to critically evaluate VBQ scores as an opportunistic, MRI-based assessment of bone health and its potential role in predicting surgical outcomes. While VBQ may provide some valuable insights into bone health, its role in preoperative risk assessment likely remains supplementary and requires further research to establish clinical validity and optimal cutoffs. Full article
(This article belongs to the Section Clinical Neurology)
Show Figures

Figure 1

26 pages, 10740 KB  
Article
A Nonlinear Computational Framework for Optimizing Steel End-Plate Connections Using the Finite Element Method and Genetic Algorithms
by Péter Grubits, Tamás Balogh and Majid Movahedi Rad
Algorithms 2025, 18(8), 460; https://doi.org/10.3390/a18080460 - 24 Jul 2025
Cited by 1 | Viewed by 1179
Abstract
The design of steel connections presents considerable complexity due to their inherently nonlinear behavior, cost constraints, and the necessity to comply with structural design codes. These factors highlight the need for advanced computational algorithms to identify optimal solutions. In this study, a comprehensive [...] Read more.
The design of steel connections presents considerable complexity due to their inherently nonlinear behavior, cost constraints, and the necessity to comply with structural design codes. These factors highlight the need for advanced computational algorithms to identify optimal solutions. In this study, a comprehensive computational framework is presented in which the finite element method (FEM) is integrated with a genetic algorithm (GA) to optimize material usage in bolted steel end-plate joints, while structural safety is ensured based on multiple performance criteria. By incorporating both material and geometric nonlinearities, the mechanical response of the connections is accurately captured. The proposed approach is applied to a representative beam-to-column assembly, with numerical results verified against experimental data. By employing the framework, an optimized layout is obtained, yielding a 10.4% improvement in the overall performance objective compared to the best-performing validated model and a 39.3% reduction in material volume relative to the most efficient feasible alternative. Furthermore, a 53.6% decrease in equivalent plastic strain is achieved compared to the configuration exhibiting the highest level of inelastic deformation. These findings demonstrate that the developed method is capable of enhancing design efficiency and precision, underscoring the potential of advanced computational tools in structural engineering applications. Full article
Show Figures

Figure 1

25 pages, 901 KB  
Review
Apoptotic Pathway in Intervertebral Disc Degeneration: From Molecular Pathways to Clinical Interventions
by Chae-Gwan Kong and Jong-Beom Park
Diagnostics 2025, 15(12), 1510; https://doi.org/10.3390/diagnostics15121510 - 13 Jun 2025
Cited by 3 | Viewed by 2415
Abstract
Apoptosis plays a crucial role in the progression of intervertebral disc degeneration (IVDD), a significant cause of chronic low back pain. This review explores disc cell apoptosis’s cellular and molecular mechanisms, focusing on nucleus pulposus, annulus fibrosus, and cartilage endplates cells. Apoptotic pathways—intrinsic [...] Read more.
Apoptosis plays a crucial role in the progression of intervertebral disc degeneration (IVDD), a significant cause of chronic low back pain. This review explores disc cell apoptosis’s cellular and molecular mechanisms, focusing on nucleus pulposus, annulus fibrosus, and cartilage endplates cells. Apoptotic pathways—intrinsic (mitochondrial), extrinsic (death receptor-mediated), ER stress-mediated, and autophagy-related—are activated by oxidative stress, inflammation, mechanical load, and metabolic disturbances like hyperglycemia. Diabetes exacerbates disc cell apoptosis through AGE-RAGE signaling and mitochondrial dysfunction. Inflammation further amplifies apoptotic cascades via cytokine signaling and ROS generation. The review also examines emerging therapeutic strategies, including antioxidants (e.g., MitoQ, resveratrol), anti-inflammatory agents (e.g., cytokine inhibitors), autophagy modulators (e.g., rapamycin, metformin), and stem cell and gene therapies. While promising preclinical results exist, challenges such as poor bioavailability and clinical translation remain. Enhanced understanding of apoptosis pathways informs future cellular preservation and matrix integrity treatments. Based on a comprehensive literature search from 2000 to 2025, this narrative review synthesizes current knowledge, identifies knowledge gaps, and discusses translational potential. Our findings support a paradigm shift toward mechanism-based therapies that address the root cause of IVDD rather than symptomatic relief alone. Full article
(This article belongs to the Section Pathology and Molecular Diagnostics)
Show Figures

Figure 1

27 pages, 9265 KB  
Article
Seismic Behavior and Resilience of an Endplate Rigid Connection for Circular Concrete-Filled Steel Tube Columns
by Yu Gao, Peilin Zhu, Junping Liu and Feng Lou
Buildings 2025, 15(12), 2035; https://doi.org/10.3390/buildings15122035 - 13 Jun 2025
Viewed by 1309
Abstract
A novel endplate bolted rigid joint is proposed in this study for connecting circular concrete-filled steel tube (CCFT) columns to wide-flange (WF) steel beams. The seismic performance and potential failure mechanisms of the proposed joint were investigated through quasi-static cyclic tests and finite [...] Read more.
A novel endplate bolted rigid joint is proposed in this study for connecting circular concrete-filled steel tube (CCFT) columns to wide-flange (WF) steel beams. The seismic performance and potential failure mechanisms of the proposed joint were investigated through quasi-static cyclic tests and finite element (FE) simulations. This study aims to address several engineering challenges commonly observed in existing joint configurations, including an irrational force-resisting mechanism, complicated detailing and installation, on-site construction difficulties, constraints on beam size, and limited repairability. By optimizing the force transfer path, the new joint effectively reduces the number of critical tension welds, thereby enhancing the ductility and reliability. The experimental results indicate that the joint exhibits adequate flexural strength, stiffness, and ductility, with stable moment–rotation hysteresis loops under cyclic loading. Moreover, full restoration of the joint can be achieved by replacing only the steel beam and endplate, facilitating post-earthquake repair. FE analysis reveals that, under the ultimate bending moment at the beam end, multiple through cracks develop in the high-strength grout—which serves as a key load-transferring component—and significant debonding occurs between the grout and the surrounding steel members. However, due to confinement from adjacent components, these internal cracks do not compromise the overall strength and stiffness of the joint. This research provides an efficient and practical connection solution, along with valuable experimental insights, for the application of CCFT columns in moment-resisting frames located in high seismic zones. Full article
Show Figures

Figure 1

15 pages, 5293 KB  
Article
Biomechanical Optimization of Lumbar Fusion Cages with a Porous Design: A Finite Element Analysis
by Chenkai Zhu, Kan Deng, Zhenzong Shao and Yong Wang
Appl. Sci. 2025, 15(10), 5384; https://doi.org/10.3390/app15105384 - 12 May 2025
Cited by 1 | Viewed by 3126
Abstract
Lumbar interbody fusion (LIF) is a standard treatment for spinal instability, yet postoperative subsidence and adjacent segment degeneration (ASD) remain critical challenges. This study evaluates the biomechanical efficacy of personalized porous fusion cages—featuring Gyroid (G-Cage) and Voronoi (V-Cage) architectures—against classic (C-Cage) and personalized [...] Read more.
Lumbar interbody fusion (LIF) is a standard treatment for spinal instability, yet postoperative subsidence and adjacent segment degeneration (ASD) remain critical challenges. This study evaluates the biomechanical efficacy of personalized porous fusion cages—featuring Gyroid (G-Cage) and Voronoi (V-Cage) architectures—against classic (C-Cage) and personalized (P-Cage) designs, aiming to enhance stability and mitigate subsidence risks. A finite element model of the L3–L4 segment, derived from CT scans of a healthy male volunteer, was developed to simulate six motion modes (compression, rotation, flexion, extension, and left/right bending). Biomechanical parameters, including range of motion (ROM), cage stress, endplate stress, and displacement, were analyzed. The results demonstrated that the V-Cage exhibited superior performance, reducing ROM by 51% in extension, cage stress by 41.7% in compression, and endplate stress by 63.7% in right bending compared to the C-Cage. The porous designs (G-Cage, V-Cage) exhibited biomimetic stress distribution and minimized micromotion, which was attributed to their trabecular-like architectures. These findings highlight the Voronoi-based porous cage as a biomechanically optimized solution, offering enhanced stability and reduced subsidence risk when compared to classic implants. The study underscores the potential of patient-specific porous designs in advancing LIF outcomes, warranting further clinical validation to translate computational insights into practical applications. Full article
(This article belongs to the Special Issue Advances in Biomimetic Design and Materials)
Show Figures

Figure 1

15 pages, 5665 KB  
Article
Role of Additional Screws and Rod Fixation in Cage Loading During Oblique Lateral Interbody Fusion: A Finite Element Analysis
by Yu-Hsuan Chung, Ming-Hsien Hu, Hong-Lin Su, Yen-Nien Chen and Heng-Chih Chang
J. Clin. Med. 2025, 14(6), 1890; https://doi.org/10.3390/jcm14061890 - 11 Mar 2025
Viewed by 1736
Abstract
Background/Objectives: Additional lateral fixation is a method with the potential to redistribute cage loading during oblique lumbar interbody fusion (OLIF). However, its biomechanical effects remain poorly understood. This study aimed to compare the mechanical responses of the lumbar spine following OLIF, both [...] Read more.
Background/Objectives: Additional lateral fixation is a method with the potential to redistribute cage loading during oblique lumbar interbody fusion (OLIF). However, its biomechanical effects remain poorly understood. This study aimed to compare the mechanical responses of the lumbar spine following OLIF, both with and without additional lateral fixation, using a finite element (FE) analysis. Methods: An FE lumbar model with an OLIF cage at the L4–L5 levels was developed. A lateral fixation system comprising screws and a rod was incorporated to redistribute the cage loading and enhance spinal stability. Two OLIF cage positions—centered and at an oblique angle—were compared. Results: The additional lateral fixation reduced cage loading by 70% (409 to 123 N) and 72% (411 to 114 N) for the centered and oblique cage positions, respectively. Without lateral fixation, the peak equivalent stress on the cage during extension increased threefold (66 to 198 MPa) for the oblique position compared with that for the centered position. Conclusions: An additional lateral screw–rod fixation system is suggested as a complementary approach to the OLIF technique to mitigate endplate loading and pressure. Full article
(This article belongs to the Special Issue Spinal Disorders: Current Treatment and Future Opportunities: Part II)
Show Figures

Figure 1

20 pages, 5518 KB  
Article
Butyric Acid Modulates Gut Microbiota to Alleviate Inflammation and Secondary Bone Loss in Ankylosing Spondylitis
by Ke You, Lianjun Yang, Zhihai Su, Jun Shen, Xinyang Fan, Yuanqing Guo, Zhen Yuan and Hai Lu
Biomedicines 2025, 13(1), 9; https://doi.org/10.3390/biomedicines13010009 - 24 Dec 2024
Cited by 6 | Viewed by 3830
Abstract
Background: Ankylosing spondylitis (AS) is a chronic inflammatory and autoimmune disease that primarily affects the sacroiliac joints and axial skeleton. While the exact pathogenetic mechanism of AS remains unclear, previous reports have highlighted the involvement of genetic factors, immune responses, and gut microbiota [...] Read more.
Background: Ankylosing spondylitis (AS) is a chronic inflammatory and autoimmune disease that primarily affects the sacroiliac joints and axial skeleton. While the exact pathogenetic mechanism of AS remains unclear, previous reports have highlighted the involvement of genetic factors, immune responses, and gut microbiota dysregulation in the development of this condition. Short-chain fatty acids (SCFAs), which are microbial fermentation products derived from sugar, protein, and dietary fibers, play a role in maintaining the intestinal barrier function and reducing inflammatory responses. The aim of this study was to investigate the therapeutic potential of butyric acid (BA), an important SCFA, in the treatment of AS. Methods: To evaluate the anti-inflammatory and anti-bone loss effects of BA, a murine AS model was established using proteoglycan and dimethyl dioctadecyl ammonium (DDA) adjuvants. Various techniques, including an enzyme-linked immunosorbent assay (ELISA), magnetic resonance imaging (MRI), micro-CT, histology, quantitative PCR (qPCR) for intestinal tight junction protein expression, and 16S rDNA sequencing to analyze gut microbiota abundance, were employed to assess the inflammation and bone health in the target tissues. Results: The results indicated that BA demonstrated potential in alleviating the inflammatory response in the peripheral joints and the axial spine affected by AS, as evidenced by the reductions in inflammatory infiltration, synovial hyperplasia, and endplate erosion. Furthermore, BA was found to impact the intestinal barrier function positively. Notably, BA was associated with the downregulation of harmful inflammatory factors and the reversal of bone loss, suggesting its protective effects against AS. Conclusions: These beneficial effects were attributed to the modulation of gut microbiota, anti-inflammatory properties, and the maintenance of skeletal metabolic homeostasis. This study contributes new evidence supporting the relationship between gut microbiota and bone health. Full article
Show Figures

Graphical abstract

20 pages, 4969 KB  
Article
The Expression of Toll-like Receptors in Cartilage Endplate Cells: A Role of Toll-like Receptor 2 in Pro-Inflammatory and Pro-Catabolic Gene Expression
by Tamara Mengis, Laura Bernhard, Andrea Nüesch, Irina Heggli, Nick Herger, Jan Devan, Roy Marcus, Christoph J. Laux, Florian Brunner, Mazda Farshad, Oliver Distler, Christine L. Le Maitre and Stefan Dudli
Cells 2024, 13(17), 1402; https://doi.org/10.3390/cells13171402 - 23 Aug 2024
Cited by 5 | Viewed by 2622
Abstract
Introduction: The vertebral cartilage endplate (CEP), crucial for intervertebral disc health, is prone to degeneration linked to chronic low back pain, disc degeneration, and Modic changes (MC). While it is known that disc cells express toll-like receptors (TLRs) that recognize pathogen- and damage-associated [...] Read more.
Introduction: The vertebral cartilage endplate (CEP), crucial for intervertebral disc health, is prone to degeneration linked to chronic low back pain, disc degeneration, and Modic changes (MC). While it is known that disc cells express toll-like receptors (TLRs) that recognize pathogen- and damage-associated molecular patterns (PAMPs and DAMPs), it is unclear if CEP cells (CEPCs) share this trait. The CEP has a higher cell density than the disc, making CEPCs an important contributor. This study aimed to identify TLRs on CEPCs and their role in pro-inflammatory and catabolic gene expression. Methods: Gene expression of TLR1–10 was measured in human CEPs and expanded CEPCs using quantitative polymerase chain reaction. Additionally, surface TLR expression was measured in CEPs grouped into non-MC and MC. CEPCs were stimulated with tumor necrosis factor alpha, interleukin 1 beta, small-molecule TLR agonists, or the 30 kDa N-terminal fibronectin fragment. TLR2 signaling was inhibited with TL2-C29, and TLR2 protein expression was measured with flow cytometry. Results: Ex vivo analysis found all 10 TLRs expressed, while cultured CEPCs lost TLR8 and TLR9 expression. TLR2 expression was significantly increased in MC1 CEPCs, and its expression increased significantly after pro-inflammatory stimulation. Stimulation of the TLR2/6 heterodimer upregulated TLR2 protein expression. The TLR2/1 and TLR2/6 ligands upregulated pro-inflammatory genes and matrix metalloproteases (MMP1, MMP3, and MMP13), and TLR2 inhibition inhibited their upregulation. Endplate resorptive capacity of TLR2 activation was confirmed in a CEP explant model. Conclusions: The expression of TLR1–10 in CEPCs suggests that the CEP is susceptible to PAMP and DAMP stimulation. Enhanced TLR2 expression in MC1, and generally in CEPCs under inflammatory conditions, has pro-inflammatory and pro-catabolic effects, suggesting a potential role in disc degeneration and MC. Full article
Show Figures

Figure 1

11 pages, 747 KB  
Article
New Axially Expandable Oblique Cage Designed for Anterior to Psoas (ATP) Approach: Indications-Surgical Technique and Clinical-Radiological Outcomes in Patients with Symptomatic Degenerative Disc Disease
by Massimo Miscusi, Sokol Trungu, Luca Ricciardi, Stefano Forcato, Antonella Mangraviti and Antonino Raco
J. Clin. Med. 2024, 13(12), 3444; https://doi.org/10.3390/jcm13123444 - 12 Jun 2024
Cited by 3 | Viewed by 1557
Abstract
Background: Standard oblique cages cannot cover endplates side-to-side, which is an important biomechanical factor for reducing the risk of cage subsidence and for restoring correct segmental lordosis. The aim of this study is to evaluate the radiological and clinical results of a [...] Read more.
Background: Standard oblique cages cannot cover endplates side-to-side, which is an important biomechanical factor for reducing the risk of cage subsidence and for restoring correct segmental lordosis. The aim of this study is to evaluate the radiological and clinical results of a new oblique lumbar interbody fusion (OLIF) axially expandable cage. Methods: This is a prospective observational case–control study. From March 2018 to June 2020, 28 consecutive patients with lumbar degenerative disease underwent an ATP approach, with the insertion of a new axially expandable cage, which was used as a stand-alone procedure or followed by posterior percutaneous pedicle fixation. Results: Twenty-eight patients in both groups met the inclusion criteria. The mean follow-up time was 31.2 months (range of 13–37). The clinical results were not significantly different, although in the control group, two major intraoperative complications were recorded, and slight improvements in ODI and SF-36 scores were observed in the study group. The radiological results showed a less frequent incidence of subsidence and a higher rate of fusion in the study group compared to controls. Conclusions: The axially expandable oblique cage for lumbar inter body fusion, specifically designed for the ATP approach, represents an innovation and a technical improvement. The insertion and the axial expansion technique are safe and easy. The large footprint could obtain solid and effective arthrodesis, potentially reducing the risk of subsidence. Full article
(This article belongs to the Special Issue Lumbar Spine Surgery: Clinical Updates and Perspective)
Show Figures

Figure 1

14 pages, 2340 KB  
Article
Classification of Osteophytes Occurring in the Lumbar Intervertebral Foramen
by Abdullah Emre Taçyıldız and Feyza İnceoğlu
Tomography 2024, 10(4), 618-631; https://doi.org/10.3390/tomography10040047 - 19 Apr 2024
Cited by 3 | Viewed by 5395
Abstract
Background: Surgeons have limited knowledge of the lumbar intervertebral foramina. This study aimed to classify osteophytes in the lumbar intervertebral foramen and to determine their pathoanatomical characteristics, discuss their potential biomechanical effects, and contribute to developing surgical methods. Methods: We conducted a retrospective, [...] Read more.
Background: Surgeons have limited knowledge of the lumbar intervertebral foramina. This study aimed to classify osteophytes in the lumbar intervertebral foramen and to determine their pathoanatomical characteristics, discuss their potential biomechanical effects, and contribute to developing surgical methods. Methods: We conducted a retrospective, non-randomized, single-center study involving 1224 patients. The gender, age, and anatomical location of the osteophytes in the lumbar intervertebral foramina of the patients were recorded. Results: Two hundred and forty-nine (20.34%) patients had one or more osteophytes in their lumbar 4 and 5 foramina. Of the 4896 foramina, 337 (6.88%) contained different types of osteophytes. Moreover, four anatomical types of osteophytes were found: mixed osteophytes in 181 (3.69%) foramina, osteophytes from the lower endplate of the superior vertebrae in 91 (1.85%) foramina, osteophytes from the junction of the pedicle and lamina of the upper vertebrae in 39 foramina (0.79%), and osteophytes from the upper endplate of the lower vertebrae in 26 (0.53%) foramina. The L4 foramen contained a significantly higher number of osteophytes than the L5 foramen. Osteophyte development increased significantly with age, with no difference between males and females. Conclusions: The findings show that osteophytic extrusions, which alter the natural anatomical structure of the lumbar intervertebral foramina, are common and can narrow the foramen. Full article
(This article belongs to the Topic AI in Medical Imaging and Image Processing)
Show Figures

Figure 1

21 pages, 8839 KB  
Article
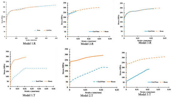
Investigation of the Post-Fire Behavior of Different End-Plated Beam–Column Connections
by Seda Akduman, Memduh Karalar, Necati Mert and Hakan Öztürk
Buildings 2024, 14(4), 1013; https://doi.org/10.3390/buildings14041013 - 5 Apr 2024
Cited by 7 | Viewed by 2163
Abstract
Heat affects the mechanical properties of steel and the bearing capacity of steel structures, with joints being a crucial factor in determining their behavior. Steel can regain its mechanical properties that are lost owing to heat if the temperature remains below 600 °C, [...] Read more.
Heat affects the mechanical properties of steel and the bearing capacity of steel structures, with joints being a crucial factor in determining their behavior. Steel can regain its mechanical properties that are lost owing to heat if the temperature remains below 600 °C, allowing for the possibility of reusing steel after cooling. In such cases, it becomes essential to assess the damage caused by heat exposure to decide whether to demolish the structure or continue using it. However, continuing its usage requires anticipating the potential negative effects of heat. To achieve this, it is necessary to determine the behavior of steel joining tools experimentally or numerically after exposure to heat. This study aims to ascertain the post-fire behavior of various end-plated beam and column connections, providing a cost-effective alternative to expensive fire experiments. Three different end-plated combination models were heated to a specified temperature, and steel frames were constructed after the elements cooled. Six three-point bending tests were conducted, and the experimental data obtained were validated using finite element models. The results indicate that the temperature causes a reduction in the bearing capacity of the joint, and the length of the end plate has a significant effect on the connection behavior. The finite element model validated by experiments is expected to facilitate numerical studies with different characteristics. Full article
(This article belongs to the Section Building Structures)
Show Figures

Figure 1

Back to TopTop