Abstract
The design of steel connections presents considerable complexity due to their inherently nonlinear behavior, cost constraints, and the necessity to comply with structural design codes. These factors highlight the need for advanced computational algorithms to identify optimal solutions. In this study, a comprehensive computational framework is presented in which the finite element method (FEM) is integrated with a genetic algorithm (GA) to optimize material usage in bolted steel end-plate joints, while structural safety is ensured based on multiple performance criteria. By incorporating both material and geometric nonlinearities, the mechanical response of the connections is accurately captured. The proposed approach is applied to a representative beam-to-column assembly, with numerical results verified against experimental data. By employing the framework, an optimized layout is obtained, yielding a improvement in the overall performance objective compared to the best-performing validated model and a reduction in material volume relative to the most efficient feasible alternative. Furthermore, a decrease in equivalent plastic strain is achieved compared to the configuration exhibiting the highest level of inelastic deformation. These findings demonstrate that the developed method is capable of enhancing design efficiency and precision, underscoring the potential of advanced computational tools in structural engineering applications.
1. Introduction
Steel frames have been extensively utilized in structural engineering over recent decades [1,2,3,4], owing to their high load-bearing capacity and ease of assembly. A fundamental element in these systems is the beam–column connection, for which multiple configurations are available [5]. Among them, bolted end-plate connections are particularly well-suited for moment-resisting frames. This type of connection is fabricated by welding a plate to the beam end during shop fabrication, followed by on-site bolting to the adjoining structural member. In addition to their relatively high stiffness, these connections offer enhanced ductility compared to fully welded joints, thereby improving structural safety under seismic loading and reducing the risk of brittle failure [6,7,8].
However, the design of steel frames—and especially end-plate connections—can be complex, primarily due to the difficulty in accurately characterizing their semi-rigid structural response. This behavior is influenced by nonlinear phenomena, including the elasto-plastic properties of steel, large deformation effects, and interactions among individual components [9,10]. A widely used approach in practice to simplify the design of such complex systems is the equivalent T-stub method, as defined in the Eurocode [11]. Nevertheless, this approach overlooks key nonlinear effects, such as the strain-hardening behavior of steel. To overcome these limitations and achieve higher analytical precision, the finite element method (FEM) offers a robust and versatile alternative.
Even before the turn of the millennium, significant attention had been devoted to the numerical modeling of end-plate connections using the FEM, offering detailed insights into their structural behavior. One of the earliest studies was conducted by Krishnamurthy [12,13], focusing on four-bolt, unstiffened extended end-plate connections, and included results from a series of experimental investigations. Later, Maxwell et al. [14] employed FEM to develop a calculation method for predicting the load-bearing capacity and the corresponding moment–rotation relationship. Another notable early application was presented by Chasten et al. [15], who investigated the contact interaction between the end-plate and the column flange using FEM. Subsequently, Choi et al. [16] introduced a novel finite element approach, utilizing an elasto-plastic nonconforming 3D solid element with a refined mesh and a relatively simple yet effective contact algorithm. Additionally, Bursi and Jaspart [17] provided a comprehensive overview of FEM-based methodologies for simulating end-plate connections, addressing general modeling challenges.
Over the past two decades, the high level of interest in the numerical simulation of end-plate connections has continued. Notably, Shi et al. [18] conducted a detailed investigation into the influence of various parameters on the behavior of pretensioned bolted end-plate connections through both experimental and numerical analyses. Their study demonstrated the potential of finite element modeling and revealed how even relatively minor changes in parameters can significantly affect connection behavior. Furthermore, Chen and Du [19] examined the impact of initial geometric imperfections, highlighting their considerable influence on the rotational stiffness of the connection. Later, Gil et al. [20] further explored the role of initial geometric imperfections and recommended their consistent inclusion in simulations, as this approach yields the most conservative and safe design outcomes. Additionally, several recent studies have focused on the advanced design of these connections, in which FEM simulations played a key role [7,21,22]. A particularly relevant contribution is the work by Abdul Ghafar et al. [23,24], who conducted both numerical and experimental analyses on web-strip steel plate shear walls with rigid connections.
Overall, these studies have demonstrated the potential of FEM for the precise evaluation of connection behavior, enabling highly accurate design. However, achieving an optimal balance between safety and economic efficiency remains a complex task, particularly given the increasing recognition of sustainability as a fundamental concern across all sectors of modern life [25,26,27,28]. Formulating this challenge as a discrete mathematical problem allows for the application of structural optimization techniques, a subject that has recently attracted growing attention in several civil engineering domains [29,30,31,32]. Nevertheless, only a limited number of studies have specifically addressed this issue in relation to the optimal configuration of end-plate connections. A notable contribution is the work of Mela and Hietaharju [33], who introduced a methodology to minimize the cost of the joint while satisfying predefined criteria for bending moment, shear force, and initial rotational stiffness. This was achieved by employing the equivalent T-stub method [11] discussed earlier. In a comparable study, Busato et al. [34] also relied on this method to optimize the cost of composite and steel end-plate connections using a genetic algorithm. It is important to note that while both approaches enable cost minimization, the inherent simplifications of the component method [11] limit the consideration of plastic deformations, which are typically capped at plastic strain, as recommended by EN 1993-1-5 [35]. Overcoming this limitation may allow for more economically efficient and structurally reliable connection designs.
In this research, a comprehensive optimization algorithm is proposed for the precise design of beam-to-column end-plate connections, by which the limitations of code-based T-stub methods are addressed through the incorporation of material and geometrical nonlinear finite element analysis, including initial geometric imperfections. A high level of structural safety, along with economic efficiency, can be achieved through this approach. The implementation is carried out using a custom-developed program written in PYTHON 2.7, linked to the ABAQUS 2018 [36] finite element software and integrated with a genetic algorithm that automatically determines the optimal configuration of the investigated assembly. The mathematical formulation of the optimization problem is embedded within the code, with the primary objective of minimizing material usage while satisfying various structural criteria, including the control of plastic deformations—thereby enabling more efficient solutions. In addition, as recommended by Gil et al. [20], initial geometric imperfections are considered to further enhance safety. The proposed design algorithm is tested through a benchmark problem based on the research of Shi et al. [18]. The developed models are verified against the experimental results from their study. Furthermore, a sensitivity analysis is conducted to investigate the influence of key GA parameters on the convergence behavior of the optimization process and the quality of the final solution. The outcomes obtained using the proposed design framework are found to demonstrate its potential and efficiency in achieving safe and economical end-plate connection configurations, as significant material savings are realized while all structural criteria are satisfied.
2. Theoretical Background for the Nonlinear Analysis of End-Plate Connections
This section provides the theoretical basis necessary for the nonlinear analysis of end-plate connections. First, the fundamental structural characteristics and moment–rotation behavior of these connections are introduced. This is followed by a discussion of the elasto-plastic material properties of steel, which are essential for capturing the inelastic response under high loads. Finally, the principles of geometrical nonlinearity are outlined to account for large deformation effects in the finite element analysis. Together, these topics establish a comprehensive foundation for accurately modeling and optimizing end-plate connections under realistic loading conditions.
2.1. Structural Behavior of End-Plate Connections
Steel end-plate connections are commonly used in civil engineering for beam-to-column joints, thanks to their many advantages, such as relatively simple fabrication, high rigidity, and substantial load-bearing capacity. These connections can generally be categorized into two main groups: flush and extended end-plate connections, as presented in Figure 1. As illustrated, the primary distinction between the two configurations lies in the projection of the end-plate beyond the beam flange, which, in the case of extended connections, allows for additional bolt rows above the beam section. This arrangement increases the effective lever arm of the bolts relative to the moment’s center of rotation, thereby enhancing the connection’s stiffness and load-bearing capacity. Moreover, the extended end-plate configuration provides more space for the inclusion of stiffeners, as shown in Figure 1, which further contributes to structural performance. In contrast, flush end-plate connections exhibit reduced stiffness and resistance, although they may be preferable in situations where fabrication simplicity, cost efficiency, or geometric constraints are prioritized. The selection of the appropriate connection type depends on the specific design situation and the associated requirements.
Figure 1.
The two main groups of end-plate connections: (a) flush and (b) extended designs.
While during the design of steel structures the applied connections are assumed to be either fully rigid or ideally pinned, the connections usually fall between these two borders, thereby being semi-rigid [5]. For such connections, one of the most important parameters is the relationship between the joint rotation and the corresponding bending moment . Joint rotation is conventionally defined as the angular change between the beam and the column relative to their original configuration [37].
To accurately characterize the relationship of the end-plate connection, the joint rotation can be defined as the relative rotation between the centerlines of the top and bottom beam flanges at the beam end. This rotation can be decomposed into two main components: the shearing rotation and the gap rotation . According to Shi et al. [38], these quantities can be expressed as follows:
where denotes the horizontal displacement difference between the centerlines of the top and bottom flanges at the end of the beam, represents the relative horizontal separation between the end-plate and the column flange at the level of the tensioned beam flange. The term is the vertical distance between the centerlines of the top and bottom beam flanges. The resulting rotational components are illustrated in Figure 2. In this paper, these formulations were used to characterize the relationship. It should be noted that this approach is consistent with practical applications and aligns with the guidelines provided in AISC 360-16 [39] and AISC Design Guide 39 [40].
Figure 2.
Illustration of the joint rotation mechanism.
As presented in [38], various parameters and structural components—such as end-plate stiffeners and column stiffeners—can significantly influence the shape and characteristics of the curve. Consequently, different failure modes may occur, and relatively small changes in connection details can lead to substantial variations in deformation capacity and moment resistance. Therefore, the precise design and detailing of these connections is essential to ensure both structural performance and safety.
2.2. Elasto-Plastic Material Behavior of Steel
In this study, the elasto-plastic constitutive behavior of steel is considered. This material is widely used in civil engineering applications, particularly in semi-rigid joints such as end-plate connections. Under high-intensity loading, steel components may exhibit inelastic deformations that persist after unloading. Therefore, a safe and reliable design requires the evaluation and control of such inelastic behavior. To this end, the equivalent plastic strain is employed as a scalar measure to assess the inelastic response of the connection configuration. This parameter is incorporated as a constraint in the optimization procedure to ensure that plastic deformations remain within acceptable limits.
The total strain in an elasto-plastic material can be decomposed into elastic and plastic components:
where represents the elastic strain, which is associated with the stress that would occur under purely elastic conditions. The relationship between stress and elastic strain is defined through the elastic stiffness matrix as given in [41]:
The evolution of the plastic strain is governed by the associated flow rule, which determines the plastic strain rate as follows [42]:
In this context, is the yield function, which defines the boundary of admissible stress states and forms a convex surface in stress space when .
In the finite element simulations, the equivalent plastic strain was computed and employed to assess the plastic response of the structure. This scalar measure reflects the accumulated plastic deformation within the material and is defined by the following expression [43]:
where is the plastic strain rate tensor, and denotes time.
As recommended in EN 1993-1-5 [35], a strain limit of is prescribed for regions under stress. In alignment with this provision, a corresponding constraint was introduced into the optimization procedure within this study.
2.3. Geometrical Nonlinear Analysis
The mechanical response of end-plate connections is frequently characterized by large deformations. To accurately model the real behavior of such structural configurations, geometric nonlinearity must be incorporated into the simulation. This section outlines the theoretical framework used for geometrically nonlinear finite element analysis.
In this study, the second Piola–Kirchhoff stress tensor and the Green–Lagrange strain tensor are employed to capture the nonlinear stress–strain relationship [44]. Accordingly, the Green–Lagrange strain tensor is defined as follows:
where denotes the displacement field, and the indices , , and refer to the spatial coordinates in a Cartesian system. Furthermore, in the finite element formulation, the relationship between the incremental strain and displacement is expressed as follows [44]:
where is the strain–displacement finite element matrix, which depends on the current displacement field and maps the incremental nodal displacement vector to the corresponding incremental strain .
In the context of the second Piola–Kirchhoff stress and Green–Lagrange strain measures, the linear elastic constitutive relationship—consistent with the previously introduced Equation (5)—is expressed as follows:
where represents the components of the second Piola–Kirchhoff stress tensor; denotes the material’s fourth-order elasticity tensor; and is the Green–Lagrange strain tensor.
The residual force vector , which quantifies the deviation from equilibrium, is defined as follows [44]:
where is the external force vector and is the second Piola–Kirchhoff stress tensor. Equilibrium is achieved when the residual force vector reduces to zero. This condition is solved iteratively using the Newton–Raphson method, which is expressed as follows [44]:
where denotes the tangent stiffness matrix.
3. Optimization Formulation
Addressing the main aim of this study, the mathematical formulation of the optimization process for end-plate connections is developed, considering the key nonlinear characteristics of structural behavior. The proposed equations are integrated into the design framework to provide an effective solution for beam-to-column assemblies.
The primary objective of the formulation is to minimize the total volume of the connection components—including the end-plate (), bolts (), and various types of stiffeners ()—while ensuring that the equivalent plastic strain (), joint rotation (), and critical buckling load factor () remain within predefined threshold values. This enables the development of a structurally safe and materially efficient design. Accordingly, the optimization problem is formulated as follows:
In this context, Equation (13) defines the objective function, where the fitness value—used to assess the quality of a potential solution—is composed of four components. The term represents the normalized volume of the connection elements, specifically the end-plate (), bolts (), and stiffeners (). During the optimization, a maximum allowable volume is prescribed to guide the search toward material-efficient solutions.
The first structural criterion, defined by Equation (15), imposes a constraint on the maximum equivalent plastic strain. Specifically, if the maximum equivalent plastic strain of a given configuration remains below the allowable limit , the corresponding penalty function remains zero. Conversely, if the strain exceeds this limit, the penalty function is activated, with a value ranging between and , depending on the extent to which surpasses , as defined by the penalty formulation.
In a similar manner, Equation (16) introduces a criterion related to the maximum allowable joint rotation, denoted as . If the joint rotation of a given configuration remains less than or equal to this threshold, the corresponding penalty function remains inactive. Otherwise, its value is determined based on the ratio between and .
Additionally, a stability-related constraint is introduced in the optimization process through Equation (17). To clarify, the critical buckling load factor is obtained by performing a linear buckling analysis (LBA), during which multiple buckling mode shapes and their corresponding eigenvalues are computed. Among these, the first eigenvalue, associated with the primary mode shape , is used to define . During the optimization, the designer specifies a required minimum buckling capacity . The penalty function ensures that the final solution satisfies the prescribed stability requirement.
Complementary to the penalty functions, bolt placement rules from EN 1993-1-8 [11] were integrated into the optimization process to ensure a code-compliant design. This is expressed in Equation (18), where represents the edge distance from the bolt center, denotes the spacing between adjacent bolt centers, and is the nominal bolt diameter.
Finally, Equation (19) defines the initial geometric imperfection applied to the structure. In this formulation, represents the perturbed geometry, composed of the perfect geometry and an imperfection term . The imperfection corresponds to the superposition of selected buckling mode shapes obtained from LBA, each scaled by a prescribed amplitude . This approach allows multiple mode shapes to be considered simultaneously, enabling a more realistic representation of potential initial imperfections in the structural design.
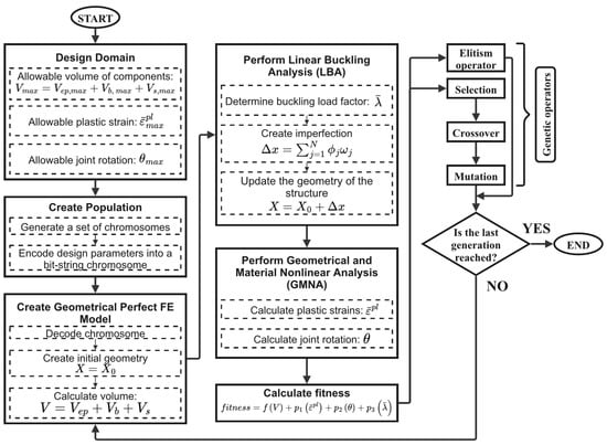
4. Technical Implementation
As a key part of this study, the technical implementation of the previously introduced mathematical formulation for optimizing the bolted end-plate connection is detailed, leading to the development of a comprehensive automated design framework. This is achieved by developing a standalone PYTHON-based program that incorporates a genetic algorithm (GA) and operates in conjunction with the ABAQUS finite element software during the optimization process. The connection with ABAQUS is established through the ABAQUS Scripting Interface [36], which enables the PYTHON code to automatically create finite element models, submit analyses, and extract relevant results from the output files. The reason behind this choice lies in the need to accommodate complex, discrete, and rule-based design variables, which required greater flexibility than what is offered by standard optimization workflows within ABAQUS.
Before detailing the implementation, a brief introduction to the GA methodology is provided, highlighting its key components. GA is a versatile heuristic optimization technique, known for its adaptability in addressing a wide range of real-world engineering problems [31]. Its core concept involves generating a population of candidate solutions, with each individual representing a potential solution to the optimization problem. The algorithm simulates the process of natural selection to iteratively improve these candidates by maximizing or minimizing the fitness function through many generations [32]. This function evaluates the quality of each solution and plays a central role in guiding the evolutionary search, which is driven by genetic operators such as selection, crossover, and mutation.
In the general form of GA, the characteristics of individuals are encoded into bit-string-based chromosomes, which are also employed in this study. The process begins with the random generation of an initial population within a predefined range, referred to as the population size. The fitness of each individual is then evaluated. Next, the selection operator is applied to identify parent solutions for the next generation. Crossover is subsequently performed to combine the genetic information of selected individuals, producing new offspring. Finally, mutation is applied to introduce random alterations in the chromosomes, with the extent of variation controlled by the mutation rate.
The developed GA-based framework integrates several well-established evolutionary operators. Tournament selection is employed to construct the mating pool by randomly selecting a subset of individuals—defined by the tournament size—from the population, with the individual exhibiting the best fitness value advancing [32]. Uniform crossover is used to generate offspring by randomly exchanging genes between two parent chromosomes, guided by a specified crossover probability [34]. To maintain genetic diversity, a dynamically adjusted mutation rate introduces random alterations in the offspring. Furthermore, an elitism strategy is implemented to ensure that the best-performing individual of each generation is directly carried over to the next, thereby preserving high-quality solutions throughout the optimization process. The key GA parameters used in this study for the initial optimization process are summarized in Table 1.
Table 1.
The initial parameters of the genetic algorithm.
Reflecting the principles of GA, the entire design process is illustrated in Figure 3. Prior to initiating the optimization, the design domain must be defined based on the specifics of the given case. Subsequently, the initial population is generated. For further clarification, the binary-based chromosomes are randomly created within the predefined design space. These chromosomes are then decoded into their corresponding physical parameters, and the associated finite element model is automatically generated using the ABAQUS Scripting Interface. Once the structural configuration is created, the fitness evaluation is carried out in an automated manner. This involves two main steps: first, a linear buckling analysis (LBA) is conducted to determine the critical buckling load factor and extract buckling modes, which are then used to introduce initial geometric imperfections into the model based on selected mode shapes. Second, a material and geometrical nonlinear analysis is performed on the geometrically imperfect model to evaluate the maximum equivalent plastic strain and joint rotation under a predefined load level. Once these parameters are assessed, the corresponding penalty functions are calculated and combined with the volume function to establish the final fitness value for each individual, as presented in Algorithm 1. Finally, the genetic operators described earlier are applied to generate the offspring population. During this phase, the chromosomes are modified, resulting in new design configurations along with their corresponding physical representations and automatically generated FE models. This iterative process is repeated until the specified number of generations is reached.
Figure 3.
The workflow of the developed framework.
Furthermore, it is worth highlighting that the proposed framework, along with its technical implementation, is adaptable to a broad range of structural problems analyzed using FEM. Specifically, the ABAQUS software environment supports extensive model development through PYTHON scripting, enabling seamless integration with GA-based optimization routines. Within this framework, the objective function, penalty terms, and constraints can be readily modified or replaced with alternative mathematical formulations tailored to guide the optimization process toward the most suitable solution for the problem under investigation. Potential future applications include the holistic optimization of entire structural frames, encompassing both connection detailing and cross-sectional design under various load combinations. Moreover, the methodology could be extended to the design of steel plate shear walls with rigid connections, such as those investigated by Abdul Ghafar et al. [23,24], with the goal of determining optimal infill web-strip configurations that minimize plastic deformations under dynamic loading conditions.
| Algorithm 1 Establish the fitness value of protentional solution. | ||
| 1: | input: , calculated volume , maximum allowable plastic strain , calculated equivalent plastic strain , maximum allowable rotation , calculated rotation , , calculated critical buckling load factor | |
| 2: | ||
| 3: | if then | |
| 4: | evaluate penalty for equivalent plastic strain: | |
| 5: | else | |
| 6: | evaluate penalty for equivalent plastic strain: | |
| 7: | if then | |
| 8: | evaluate penalty for joint rotation: | |
| 9: | else | |
| 10: | evaluate penalty for joint rotation: | |
| 11: | if then | |
| 12: | evaluate penalty for critical buckling load factor: | |
| 13: | else | |
| 14: | evaluate penalty for critical buckling load factor: | |
| 15: | compute total fitness value: | |
| 16: | output: | |
5. Benchmark Numerical Example
To evaluate the functionality of the proposed framework and to demonstrate its potential, a benchmark numerical example is presented. The case involves the automated design of a beam-to-column connection, building upon the novel work of Shi et al. [18]. Accordingly, eight different end-plate configurations were validated against their experimental results to ensure reliable outcomes. Subsequently, the design parameters were defined, and the initial optimization process was carried out. Finally, a sensitivity analysis of GA parameters was conducted to assess their impact on the final solution and convergence behavior. The results are discussed in detail in the following sections:
5.1. Finite Element Modeling and Validation
In order to establish a strong foundation and ensure reliable results, eight distinct FE setups were created and validated, all based on consistent modeling principles. These configurations are classified into two main categories, in accordance with the previous section: flush and extended types. The experimental setup used for validation is illustrated in Figure 4, while the general geometric characteristics of the connection specimens are shown in Figure 5. Furthermore, the specific differences among the configurations are summarized in Table 2. As mentioned earlier, since the primary objective of the research is to demonstrate the applicability and effectiveness of the proposed optimization approach based on FE analysis, a single flush end-plate configuration was considered sufficient for this purpose. This allowed for a more focused and computationally efficient investigation while still enabling a meaningful comparison with multiple extended-type configurations.
Figure 4.
Parameters of the experimental setup.
Figure 5.
Geometrical characteristics of the connections: (a) SC1 and (b) remaining specimens.
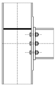
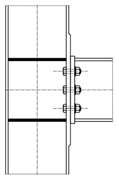
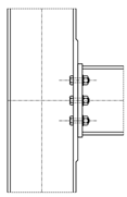
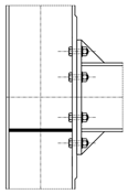
Table 2.
The details of the eight different configurations.
To develop the FE models, -node linear brick elements with reduced integration (C3D8R) were used. The mesh size was assigned individually to each component to optimize computational efficiency while maintaining accuracy. Specifically, a mesh size of was applied to the end-plate, stiffeners, and the beam and column plates in the immediate vicinity of the connection. A finer mesh of 2 mm was used for the bolts, while a coarser mesh size of was adopted for regions farther from the connection.
An essential aspect of achieving accurate results in FE simulations is the proper application of material models. In line with the optimization framework, the elasto-plastic quad-linear material model for steel is employed in this study, following the approach of Yun and Gardner [45]. The corresponding stress–strain relationship, illustrated in Figure 6, consists of four distinct phases, which are described as follows:
where and denote the steel stress and its corresponding strain. The yield stress and yield strain are represented by and , respectively, while and refer to the ultimate tensile stress and the associated strain. The strain hardening modulus is indicated by , and marks the strain at the onset of strain hardening. The strain and stress at the intersection between the third segment of the idealized model and the actual stress–strain curve are denoted by and , respectively, where is a material-dependent coefficient. These parameters can be determined using the following equations:
Figure 6.
The quad-linear material model of steel.
The main material properties of steel were defined based on the experimental results reported by Shi et al. [38], whose measured values were also adopted in the study by [18]. These parameters are summarized in Table 3.
Table 3.
Material properties used to define the quad-linear stress–strain relationship.
In both the experiments and the simulations, the bolts were pretensioned. The pretension force was set to for diameter bolts and for diameter bolts, in accordance with the specifications provided in [18]. In the simulations, bolt pretension was applied during the initial load step, prior to the application of the nodal force , which generated the moment in the connection.
To accurately model the real-life behavior of the bolted connection, it is essential to account for frictional interactions between the contacting parts. To achieve this, a surface-to-surface contact formulation was adopted, utilizing the penalty method to define the tangential behavior with a friction coefficient of , as presented in [18]. This value was selected based on an earlier experimental study [38], where blasted surface preparation was used to achieve the required slip resistance. Additionally, normal behavior was defined as hard contact, which prevents the transfer of tensile stresses across the interface.
Finally, the load and boundary conditions were applied to replicate those of the physical experiment, as illustrated in Figure 7 for a typical connection. As previously described, a geometrical and material nonlinear analysis (GMNA) was carried out on imperfect geometry. To establish the initial imperfections, LBA was first performed, and the resulting mode shapes were examined. Two types of eigenmodes were considered: one involving local buckling of the column’s web plate, and the other affecting the beam’s flange plate as shown in Figure 8. These correspond to the first and second critical buckling modes, respectively, and were selected based on their relevance to the observed structural behavior. Since these modes represent the most critical local instabilities—where stress concentrations and plastic deformations are expected—they were considered sufficient to capture the dominant imperfection-sensitive behavior. Including these specific imperfection shapes helps to realistically predict the load-bearing capacity and failure mechanisms of the connection. The imperfection amplitudes were defined in accordance with EN1993-1-5 [35], using a magnitude of , where denotes the shorter side of the subpanel.
Figure 7.
The FE model of a typical connection.
Figure 8.
Considered mode shapes introduced as geometric imperfections: (a) local buckling of the column’s web plate and (b) local buckling of the beam’s flange plate.
The final analysis was conducted using the previously mentioned Newton–Raphson iterative solution method to account for the effects of large deformations. It is important to note that, during the subsequent optimization process, the maximum joint rotation was limited to . Accordingly, the load magnitude for each of the eight configurations was selected to ensure compliance with this rotational constraint. To maintain consistency with this criterion, the validation was carried out by comparing the moment–rotation curves obtained from the experiments and the numerical simulations. As illustrated in Figure 9, the results show good agreement. A detailed comparison indicates that the maximum deviation in force at a joint rotation of is less than , as summarized in Table 4. This table also presents the volume functions, normalized using the maximum volume , defined as the volume of configuration SC7. It should be noted that the same is used throughout the optimization process discussed later in this study.
Figure 9.
Comparison of the moment–rotation curves obtained from the experiment and the FE model for the different configurations: (a) SC1, (b) SC2, (c) SC3, (d) SC4, (e) SC5, (f) SC6, (g) SC7, and (h) SC8.
Table 4.
Summary of the main results for the evaluated configurations.
5.2. Initial Optimization Results
Following the detailed description and validation of the benchmark numerical example, the initial optimization process was carried out using the developed framework to achieve a structurally safe and materially efficient design. The selected beam-to-column connection was designed based on an average force value derived from the load levels associated with configurations SC1–SC7 at a joint rotation of . Consequently, the applied force was set to . Furthermore, the volume of the SC7 connection was used as the reference maximum volume , while the allowable equivalent plastic strain was limited to in accordance with EN1993-1-5 [35]. The joint rotation limit was also defined as , and the minimum required buckling load factor was set to .
The design space was defined based on the parameters listed in Table 5, Table 6 and Table 7. Consistent with the numerical models, two primary connection types are considered during the optimization: flush and extended end-plates. In the case of extended end-plates, rib stiffeners may be introduced along the top flange, bottom flange, or both, or they may be omitted entirely. Likewise, column stiffeners are permitted in various configurations—at the top, bottom, both locations, or not at all—aligned with the corresponding beam flange axes. Additionally, the bolt arrangement, including the number, position, and type, is treated as a variable. The end-plate thickness is also varied within a predefined range. This flexible parameterization enables the generation and exploration of a broad set of feasible configurations throughout the optimization process. It should also be noted that for bolt types, in addition to and diameters, the corresponding pretension forces were assigned in accordance with the guidelines specified in EN 1993-1-8 [11].
Table 5.
Stiffener position configurations defining a subset of the design space.
Table 6.
Bolt configurations defining a subset of the design space.
Table 7.
End-plate thickness options defining a subset of the design space.
Once the design space was defined, the optimization process was carried out. It should be noted that during this process, each design configuration—defined by the variables presented earlier—was automatically generated and analyzed through a fully integrated framework. Each binary-encoded chromosome was automatically decoded, followed by the generation of the corresponding FE model and execution of the structural analysis. The results were then processed to evaluate the objective function, incorporating both the objective function and any applicable penalty terms. After calculating the fitness value for each potential solution, the genetic operators iteratively refined the population to improve the solutions until the stopping criterion was met. All components of this workflow were implemented within the custom-developed PYTHON code.
The evolution of fitness values is illustrated in Figure 10. It can be observed that the minimum fitness values begin to stabilize after the seventh generation, a trend that is similarly reflected in the average fitness values. It is also evident that the best-performing configurations in the third, fourth, and fifth generations slightly exceeded the allowable joint rotation limit. As a result, their fitness values include the penalty term in addition to the objective function . Nevertheless, the final solution satisfies all structural criteria, yielding zero penalty function values while simultaneously minimizing the connection volume.
Figure 10.
Fitness evolution during the optimization process: (a) minimum fitness value in each generation and (b) average fitness value in each generation.
Notably, compared to other relevant and previously validated connection configurations capable of sustaining the load level of used during the design, the final optimized solution demonstrates the best performance with the lowest fitness value, as shown in Table 8. It should be noted that among the validated models, configuration SC4 achieved the lowest volume ratio; however, it exceeded the allowable joint rotation limit of at the specified load level. In contrast, the optimized solution results in a slightly higher volume but satisfies all structural criteria, yielding the most favorable compliant design with a improvement in structural efficiency compared to SC4. Additionally, when compared to SC2—the best-performing configuration that did not trigger penalization—the optimized solution achieves a reduction in volume while maintaining full compliance with all design constraints.
Table 8.
The properties of the best configuration obtained with the developed framework compared to the validated models.
In addition to the previous comparison, Table 9 presents the equivalent plastic strain values for the key structural components of both the validated and optimized connection configurations. It is worth noting that compared to SC3, which exhibited the highest level of inelastic deformations among the validated models, the optimized solution achieved an approximate reduction in plastic strain. These results further confirm that the proposed optimization framework effectively ensures structural integrity while simultaneously reducing the material volume of the connection.
Table 9.
Distribution of equivalent plastic strain across the main components of the optimized joint configuration.
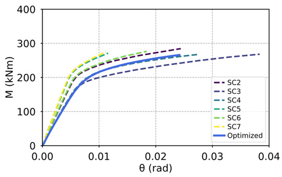
Finally, the moment–rotation relationships are illustrated in Figure 11. It can be seen that the optimized configuration satisfies the maximum joint rotation criterion, as the joint rotation at the predefined load level remains within the limit, with a value of . Overall, the proposed method facilitates the development of a design that meets structural safety requirements while enhancing material efficiency.
Figure 11.
Comparison of the moment–rotation response between the optimized and validated connection configurations.
5.3. Sensitivity Analysis of Genetic Algorithm Parameters
Upon completing the initial optimization process and evaluating the corresponding results, a sensitivity analysis of GA parameters was conducted. The initial solution—representing a structurally safe and materially efficient design—served as a baseline for comparison with multiple optimization runs carried out using different GA settings, aiming to assess their impact on the overall effectiveness of the proposed framework. Accordingly, the optimization setups summarized in Table 10 were tested to evaluate their influence on convergence behavior and the quality of the final solution. In this context, OP1 corresponds to the initial optimization setup introduced in the previous sections.
Table 10.
Parameters used in the sensitivity analysis of the genetic algorithm.
The fitness evolution across the five optimization setups (OP1–OP5) is presented in Figure 12, which shows the progression of both minimum and average fitness values over successive generations. As previously noted, OP1 serves as the baseline configuration and demonstrates robust convergence behavior, achieving a low final fitness value with a well-balanced set of GA parameters. Despite utilizing the highest number of generations (), OP3 performed the worst, ending with the highest final fitness value among the tested cases. This outcome highlights that increasing the number of generations alone is insufficient; maintaining adequate population diversity is also essential to avoid premature convergence to suboptimal solutions. Furthermore, OP2, which used a larger population size () but fewer generations (), exhibited moderate convergence. While the broader population may have facilitated wider initial exploration, the limited number of generations likely hindered refinement toward more optimal solutions. Additionally, OP4, with a reduced crossover probability (), showed slightly slower fitness improvement, indicating that lower recombination rates may restrict the algorithm’s exploratory capacity. Meanwhile, OP5, which employed a larger tournament size (), achieved faster convergence than OP1 but ultimately reached a similar final fitness value. This suggests that although stronger selection pressure can accelerate exploitation, it may also reduce population diversity and limit the search space. To further support this analysis, Table 11 presents the best solutions identified at generations , , , and .
Figure 12.
Fitness evolution during the optimization setups: (a) minimum fitness value in each generation and (b) average fitness value in each generation.
Table 11.
Best solutions identified at selected generations for each optimization setup.
In summary, the sensitivity analysis confirms that the most effective convergence behavior was achieved in configurations that maintained a proper balance between exploration and exploitation—most notably in OP1. The results underscore that neither high generation counts nor strong selection pressure alone are sufficient; they must be complemented by diversity-preserving strategies, such as appropriate population sizing and crossover rates, to ensure reliable and consistent optimization performance.
6. Conclusions
In this paper, a comprehensive nonlinear optimization algorithm is proposed for the design of steel end-plate connections, in which the finite element method (FEM) is combined with a genetic algorithm (GA) to enable automated solution identification. The mathematical formulation of the optimization problem is presented, with the primary objective of achieving material efficiency by minimizing the volume of connection components while ensuring structural safety. To this end, three penalty functions are introduced to enforce key design constraints: limiting plastic deformation, controlling joint rotation, and maintaining structural stability. As part of the safety considerations, initial geometric imperfections—derived from the buckling mode shape of the investigated assemblies—are also incorporated into the analysis, with their corresponding mathematical formulations included within the optimization framework.
The technical implementation is carried out using the PYTHON programming language in conjunction with the ABAQUS finite element software. The developed code systematically integrates the proposed optimization formulation and the genetic operators. The framework also includes a linear buckling analysis (LBA) to compute the critical buckling load factor and to generate imperfect geometries based on selected mode shapes. Subsequently, a geometrically and materially nonlinear analysis (GMNA) is performed to evaluate the plastic deformations and joint rotation, thereby establishing the objective function, represented by the fitness value, as a quantitative measure of the quality of each candidate solution.
To investigate the operation and effectiveness of the proposed design algorithm, a benchmark numerical example involving a beam-to-column connection is presented. In this part of this study, eight connection configurations with varying parameters are validated against experimental results to ensure the reliability of the FE models. Subsequently, the optimization is carried out within the defined design space and under the prescribed constraint limits.
The results of the optimization process are thoroughly analyzed and compared with the relevant validated connection configurations. The optimized solution achieves the best overall performance objective among all tested alternatives, demonstrating minimized material usage while fully satisfying all structural criteria. Specifically, the proposed approach leads to a 10.4% improvement in structural efficiency relative to the best-performing validated configuration, along with a 39.3% reduction in material volume and a 53.6% decrease in equivalent plastic strain when compared to the most efficient feasible benchmark and the configuration exhibiting the highest level of inelastic deformation, respectively. These findings highlight the effectiveness and practical potential of the proposed optimization algorithm in the context of steel connection design.
In addition to the baseline optimization, a comprehensive sensitivity analysis is performed to assess the influence of key GA parameters. The results confirm that the most effective convergence behavior is observed in configurations that maintain a proper balance between exploration and exploitation—most notably in setup OP1. The analysis highlights that neither increased generation numbers nor intensified selection pressure alone guarantees improved performance; rather, these must be complemented by diversity-preserving mechanisms, such as appropriate population sizing and controlled crossover rates, to ensure robust and consistent optimization outcomes.
Nonetheless, some limitations of the current framework should be acknowledged. The design space is restricted to a single flush-type configuration. Future studies should consider a broader range of configurations and geometric proportions to better capture diverse failure mechanisms. Moreover, the effect of bolt preload relaxation is not considered in the current analysis and should be addressed in future studies to improve the accuracy of long-term performance predictions. The current approach also relies on computationally intensive finite element simulations for each candidate solution, which may limit its scalability. To address this, future work could integrate machine learning techniques into the optimization framework. Such models could intelligently learn from the data generated during the optimization process, potentially reducing computational demand while maintaining predictive accuracy. Additionally, the present study employs a single-objective optimization strategy focused solely on minimizing material volume. While this objective effectively promotes material efficiency, it does not account for competing criteria such as cost or constructability. Future extensions could adopt a multi-objective optimization framework to enable a more comprehensive evaluation of trade-offs between conflicting design goals. These aspects present valuable opportunities for further research to enhance the applicability and robustness of the proposed methodology.
Author Contributions
Writing—original draft, investigation, visualization, software, validation, and coding, P.G.; conceptualization, methodology, software, writing—review, editing, and supervision, M.M.R.; supervision, validation, and writing—review and editing, T.B. All authors have read and agreed to the published version of the manuscript.
Funding
This project was implemented with the support provided by the Ministry of Culture and Innovation of Hungary from the National Research, Development and Innovation Fund, financed under the University Research Scholarship Program EKÖP-2024-06.
Data Availability Statement
The authors confirm that the supporting data for this study’s conclusions are included in this publication.
Conflicts of Interest
Author Tamás Balogh was employed by the company Inter-CAD Ltd. The remaining authors declare that the research was conducted in the absence of any commercial or financial relationships that could be construed as a potential conflict of interest.
Abbreviations
The following abbreviations are used in this manuscript:
| GA | Genetic algorithm |
| FEM | Finite element method |
| LBA | Linear buckling analysis |
| GMNA | Geometrically and materially nonlinear analysis |
| Total joint rotation | |
| Shearing rotation component of the joint | |
| Gap rotation due to end-plate deformation | |
| Horizontal displacement difference between the top and bottom beam flanges | |
| Relative horizontal separation between the end-plate and the column flange | |
| Bending moment at the joint | |
| Total strain | |
| Elastic strain component | |
| Plastic strain component | |
| Elastic stress | |
| Elastic stiffness matrix | |
| Plastic strain rate vector | |
| Plastic multiplier rate | |
| Yield function | |
| Equivalent plastic strain | |
| Components of the plastic strain rate tensor | |
| Time | |
| Green–Lagrange strain tensor | |
| Displacement vector | |
| Incremental strain vector | |
| Incremental nodal displacement vector | |
| Fourth-order elasticity tensor | |
| Residual force vector | |
| External force vector | |
| Second Piola–Kirchhoff stress tensor | |
| Volume | |
| Tangent stiffness matrix | |
| Fitness value | |
| Normalized volume of connection components | |
| Volume of the end-plate | |
| Volume of the bolts | |
| Volume of the stiffeners | |
| Maximum allowable total volume | |
| Penalty function for equivalent plastic strain | |
| Penalty function for joint rotation | |
| Penalty function for critical buckling load factor | |
| Maximum allowable equivalent plastic strain | |
| Maximum allowable joint rotation | |
| First critical buckling factor | |
| Minimum required buckling stability factor | |
| Edge distance from the bolt center | |
| Spacing between adjacent bolt centers | |
| Nominal bolt diameter | |
| Perturbed geometry vector | |
| Perfect geometry vector | |
| Geometric imperfection vector | |
| -th buckling mode shape obtained from LBA | |
| -th buckling mode shape | |
| Yield strain | |
| Yield stress | |
| Ultimate strain | |
| Ultimate stress | |
| Elasticity modulus | |
| Strain-hardening modulus | |
| Strain at the onset of strain hardening | |
| Coefficient determining transition between the third and fourth curve segments |
References
- Mosallam, A.; Zirakian, T.; Abdelaal, A.; Bayraktar, A. Health Monitoring of a Steel Moment-Resisting Frame Subjected to Seismic Loads. J. Constr. Steel Res. 2018, 140, 34–46. [Google Scholar] [CrossRef]
- Ning, K.; Yang, L.; Ma, Y.; Fan, J. Experimental Study on Seismic Performance of Stainless Steel Full-Scale Frames: Global Response. J. Constr. Steel Res. 2024, 217, 108658. [Google Scholar] [CrossRef]
- Aditya, P.A.; Navvar, K.M.; Bahubali, J.K.; Pandikkadavath, M.S.; Mangalathu, S. Near-Fault Seismic Vulnerability Assessment of Corrosion Inflicted Steel Moment Resisting Frames. J. Constr. Steel Res. 2025, 229, 109527. [Google Scholar] [CrossRef]
- Zhang, Y.; Wang, M.; Shi, G. A Retrofit Method for Extended End-Plate Connections in Portal Frames Using Prefabricated Cover Plate Components under Loading. Constr. Build. Mater. 2025, 475, 141205. [Google Scholar] [CrossRef]
- Ivanyi, M.; Baniotopoulos, C.C. Semi-Rigid Connections in Structural Steelwork; Springer: Wien, Austria, 2000. [Google Scholar]
- Shi, G.; Shi, Y.; Wang, Y. Behaviour of End-Plate Moment Connections under Earthquake Loading. Eng. Struct. 2007, 29, 703–716. [Google Scholar] [CrossRef]
- Abar, B.M.; D’Aniello, M.; Landolfo, R. An Extension of EC8-Concepts to AISC-like Design Criteria for Ductile Stainless Steel End-Plate Moment Connections. Eng. Struct. 2025, 332, 120035. [Google Scholar] [CrossRef]
- Kukla, D.; Kozlowski, A.; Wójcik-Grząba, I. Ductility of the Double-Sided Bolted Steel End-Plate Joint with Column Web Openings under Column Loss Scenario. Structures 2024, 69, 107264. [Google Scholar] [CrossRef]
- Yardımcı, S.; Vatansever, C. Nonlinear Behavior of Bolted Extended End-Plate Beam to Column Connections Subject to Cyclic Loading. In Building for the Future: Durable, Sustainable, Resilient; Springer: Cham, Switzerland, 2023; pp. 372–382. [Google Scholar]
- Qiang, X.; Shu, Y.; Jiang, X.; Xiao, Y. Nonlinear Analysis on Mechanical Behaviour of High Strength Steel Extended Endplate Connections and Equivalent T-Stubs in Fire Considering Axial Force. Case Stud. Constr. Mater. 2023, 19, e02402. [Google Scholar] [CrossRef]
- EN 1993-1-8: Eurocode 3; Design of Steel Structures—Part 1-8: Design of Joints. European Committee for Standardisation: Brussels, Belgium, 2005.
- Krishnamurthy, N.; Graddy, D.E. Correlation between 2- and 3-Dimensional Finite Element Analysis of Steel Bolted End-Plate Connections. Comput. Struct. 1976, 6, 381–389. [Google Scholar] [CrossRef]
- Krishnamurthy, N. Modelling and Prediction of Steel Bolted Connection Behavior. Comput. Struct. 1980, 11, 75–82. [Google Scholar] [CrossRef]
- Maxwell, S.M.; Jenkins, W.M.; Howlett, J.H. A Theoretical Approach to the Analysis of Connection Behaviour. In Joints in Structural Steelwork; Pentech Press: London, UK, 1981; pp. 2–49. [Google Scholar]
- Chasten, C.P.; Lu, L.; Driscoll, G.C. Prying and Shear in End-Plate Connection Design. J. Struct. Eng.-ASCE 1992, 118, 1295–1311. [Google Scholar] [CrossRef]
- Choi, C.-K.; Chung, G.-T. Refined Three-Dimensional Finite Element Model for End-Plate Connection. J. Struct. Eng. 1996, 122, 1307–1316. [Google Scholar] [CrossRef]
- Bursi, O.S.; Jaspart, J.-P. Basic Issues in the Finite Element Simulation of Extended End Plate Connections. Comput. Struct. 1998, 69, 361–382. [Google Scholar] [CrossRef]
- Shi, G.; Shi, Y.; Wang, Y.; Bradford, M.A. Numerical Simulation of Steel Pretensioned Bolted End-Plate Connections of Different Types and Details. Eng. Struct. 2008, 30, 2677–2686. [Google Scholar] [CrossRef]
- Chen, S.; Du, G. Influence of Initial Imperfection on the Behaviour of Extended Bolted End-Plate Connections for Portal Frames. J. Constr. Steel Res. 2007, 63, 211–220. [Google Scholar] [CrossRef]
- Gil, B.; Gracia, J.; Bayo, E. Axial-Moment Interaction for 2D Extended End Plate Bolted Steel Connections. Experimental Investigation and Assessment of the Initial Imperfections. J. Build. Eng. 2022, 60, 105134. [Google Scholar] [CrossRef]
- Bai, R.; Chan, S.L.; Hao, J.P. Improved Design of Extended End-Plate Connection Allowing for Prying Effects. J. Constr. Steel Res. 2015, 113, 13–27. [Google Scholar] [CrossRef]
- Herath, H.M.H.K.; Jayaweerarathne, D.S.; Wijesundara, R.S.S.A.; Wijesundara, K.K. Performance-Based Design Method for Bolted Stiffened End-Plate Connection under Monotonic Loading. Structures 2023, 53, 214–227. [Google Scholar] [CrossRef]
- Abdul Ghafar, W.; Tao, Z.; Tao, Y.; He, Y.; Wu, L.; Zhang, Z. Experimental and Numerical Study of an Innovative Infill Web-Strips Steel Plate Shear Wall with Rigid Beam-to-Column Connections. Buildings 2022, 12, 1560. [Google Scholar] [CrossRef]
- Abdul Ghafar, W.; Zhong, T.; Abid, M.; Faizan, E.; Mohamed, A.; Yosri, A.M. Seismic Performance Investigation of an Innovative Steel Shear Wall with Semi-Rigid Beam-to-Column Connections. Front. Mater. 2022, 9, 1075300. [Google Scholar] [CrossRef]
- Cucuzza, R.; Rad, M.M.; Domaneschi, M.; Marano, G.C. Sustainable and Cost-Effective Optimal Design of Steel Structures by Minimizing Cutting Trim Losses. Autom. Constr. 2024, 167, 105724. [Google Scholar] [CrossRef]
- Németh, P.; Torma, A.; Lukács, E.; Filep, B. Sustainability Opportunities and Barriers at Universities, Development of a Sustainable University Environment. Chem. Eng. Trans. 2023, 107, 505–510. [Google Scholar] [CrossRef]
- Dorahaki, S.; MollahassaniPour, M.; Rashidinejad, M.; Muyeen, S.M.; Siano, P.; Shafie-Khah, M. A Robust Optimization Approach for Enabling Flexibility, Self-Sufficiency, and Environmental Sustainability in a Local Multi-Carrier Energy Community. Appl. Energy 2025, 392, 125997. [Google Scholar] [CrossRef]
- Völgyi, K.; Lukács, E. Integration Success of Southeast Asia–The ASEAN Single Production Base (Hungarian). Space Soc. 2014, 28, 97–116. [Google Scholar] [CrossRef]
- Grubits, P.; Balogh, T.; Movahedi Rad, M. Optimization of Bolted Steel T-Stub Connection Based on Nonlinear Finite Element Analysis Using Genetic Algorithm. Infrastructures 2025, 10, 8. [Google Scholar] [CrossRef]
- Grubits, P.; Cucuzza, R.; Habashneh, M.; Domaneschi, M.; Aela, P.; Movahedi Rad, M. Structural Topology Optimization for Plastic-Limit Behavior of I-Beams, Considering Various Beam-Column Connections. Mech. Based Des. Struct. Mach. 2024, 53, 2719–2743. [Google Scholar] [CrossRef]
- Cucuzza, R.; Aloisio, A.; Rad, M.M.; Domaneschi, M. Constructability-Based Design Approach for Steel Structures: From Truss Beams to Real-World Inspired Industrial Buildings. Autom. Constr. 2024, 166, 105630. [Google Scholar] [CrossRef]
- Grubits, P.; Movahedi Rad, M. Automated Elasto-Plastic Design of Truss Structures Based on Residual Plastic Deformations Using a Geometrical Nonlinear Optimization Framework. Comput. Struct. 2025, 316, 107855. [Google Scholar] [CrossRef]
- Mela, K.; Hietaharju, L. Cost Optimization of End-plate Connections. Ce/Papers 2019, 3, 349–354. [Google Scholar] [CrossRef]
- Ramires, F.B.; Andrade, S.A.L.d.; Vellasco, P.C.G.d.S.; Lima, L.R.O.d. Genetic Algorithm Optimization of Composite and Steel Endplate Semi-Rigid Joints. Eng. Struct. 2012, 45, 177–191. [Google Scholar] [CrossRef]
- EN 1993-1-5: Eurocode 3; Design of Steel Structures—Part 1-5: General Rules—Plated Structural Elements. European Committee for Standardisation: Brussels, Belgium, 2006.
- Smith, M. ABAQUS/Standard User’s Manual, Version 6.9; Dassault Systèmes Simulia Corp.: Johnston, RI, USA, 2009. [Google Scholar]
- Chen, W.-K. Stability Design of Steel Frames; CRC Press: Boca Raton, FL, USA, 2018; ISBN 135107685X. [Google Scholar]
- Shi, Y.; Shi, G.; Wang, Y. Experimental and Theoretical Analysis of the Moment-Rotation Behaviour of Stiffened Extended End-Plate Connections. J. Constr. Steel Res. 2007, 63, 1279–1293. [Google Scholar] [CrossRef]
- ANSI/AISC 360-16; Specification for Structural Steel Buildings. American Institute of Steel Construction: Chicago, IL, USA, 2016.
- American Institute of Steel Construction. AISC: Design Guide 39: End-Plate Moment Connections; American Institute of Steel Construction: Chicago, IL, USA, 2023. [Google Scholar]
- Lemaitre, J.; Chaboche, J.-L. Linear Elasticity, Thermoelasticity and Viscoelasticity. In Mechanics of Solid Materials; Cambridge University Press: Cambridge, UK, 1990; pp. 121–160. ISBN 9780521328531. [Google Scholar]
- Lemaitre, J.; Chaboche, J.-L. Plasticity. In Mechanics of Solid Materials; Cambridge University Press: Cambridge, UK, 1990; pp. 161–252. ISBN 9780521328531. [Google Scholar]
- de Souza Neto, E.A.; Perić, D.; Owen, D.R.J. Finite Elements in Small-Strain Plasticity Problems. In Computational Methods for Plasticity; Wiley: Hoboken, NJ, USA, 2008; pp. 191–263. [Google Scholar]
- Bathe, K.-J. Finite Element Nonlinear Analysis in Solid and Structural Mechanics. In Finite Element Procedures; Prentice Hall: Upper Saddle River, NJ, USA, 2014; pp. 485–642. [Google Scholar]
- Yun, X.; Gardner, L. Stress-Strain Curves for Hot-Rolled Steels. J. Constr. Steel Res. 2017, 133, 36–46. [Google Scholar] [CrossRef]
Disclaimer/Publisher’s Note: The statements, opinions and data contained in all publications are solely those of the individual author(s) and contributor(s) and not of MDPI and/or the editor(s). MDPI and/or the editor(s) disclaim responsibility for any injury to people or property resulting from any ideas, methods, instructions or products referred to in the content. |
© 2025 by the authors. Licensee MDPI, Basel, Switzerland. This article is an open access article distributed under the terms and conditions of the Creative Commons Attribution (CC BY) license (https://creativecommons.org/licenses/by/4.0/).




























































