Sign in to use this feature.

Years

Between: -

Subjects

remove_circle_outline
remove_circle_outline
remove_circle_outline
remove_circle_outline
remove_circle_outline
remove_circle_outline
remove_circle_outline
remove_circle_outline
remove_circle_outline

Journals

Article Types

Countries / Regions

Search Results (31)

Search Parameters:
Keywords = enclosure integrity test

Order results
Result details
Results per page
Select all
Export citation of selected articles as:
23 pages, 12278 KB  
Article
Response and Reinforcement Mechanisms of Fiber-Reinforced Concrete Subjected to Dynamic Splitting Tensile Loading After High-Temperatures Exposure
by Jing Dong, Guiming Chen, Xiaojie Chen, Juan Du and Shuai Yang
Buildings 2025, 15(24), 4416; https://doi.org/10.3390/buildings15244416 - 6 Dec 2025
Viewed by 136
Abstract
Coupled high temperature and dynamic loading often leads to the complicated degradation of performance in industrial kilns, enclosures, or other concrete structures, which constitutes a serious hazard to the safety of concrete structure. To bridge this research gap, this study investigates not only [...] Read more.
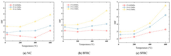
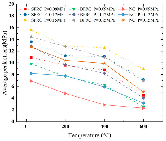
Coupled high temperature and dynamic loading often leads to the complicated degradation of performance in industrial kilns, enclosures, or other concrete structures, which constitutes a serious hazard to the safety of concrete structure. To bridge this research gap, this study investigates not only the mechanical response but also the damage mechanisms of normal concrete (NC), basalt fiber-reinforced concrete (BFRC), and steel fiber-reinforced concrete (SFRC) under the coupled effects of high temperature and dynamic loading. Test specimens were conditioned for ambient conditions, 200 °C, 400 °C, and 600 °C, and underwent quasi-static and dynamic splitting tensile tests using the Split Hopkinson Pressure Bar (SHPB) with strain rates varying between 24 and 91 s−1. Significantly, the high-temperature-induced degradation of all types of concrete is remarkably suppressed by fibers, especially steel fibers. The best thermal degradability resistance was displayed by the SFRC with the highest remaining residual dynamic strength, peak strain, and energy dissipation, especially in the most severe (600 °C, 0.15 MPa) circumstances among these three types of materials. All materials revealed a clear strain rate strengthening effect. An empirical model, integrating the coupling effect of strain rate, temperature, and fiber type in DIF, was also developed, yielding better prediction capability than those already available. This reveals that the comprehensive performance of SFRC can meet structure requests, so it is suitable for applications involving steel fiber in environments characterized by high temperature and high strain rates. Full article
(This article belongs to the Section Building Materials, and Repair & Renovation)
Show Figures

Figure 1

28 pages, 7237 KB  
Article
Research on Restorative Benefits and Stress Relief Approaches in Urban Green Space for Different Stress Threshold Groups
by Yujiao Li, Zihan Xu and Jie Yang
Land 2025, 14(11), 2293; https://doi.org/10.3390/land14112293 - 20 Nov 2025
Viewed by 783
Abstract
Urban green spaces, as vital land use components, play a crucial role in promoting public mental health and well-being. This study investigates the differential restorative benefits and stress relief pathways in urban green spaces for populations with varying stress thresholds. This study employed [...] Read more.
Urban green spaces, as vital land use components, play a crucial role in promoting public mental health and well-being. This study investigates the differential restorative benefits and stress relief pathways in urban green spaces for populations with varying stress thresholds. This study employed a controlled experiment (pre-test–free activity–post-test) with 120 park users, integrating subjective scales (DASS-21, SRRS, etc.). We innovatively stratified participants by stress threshold to analyze recovery mechanisms. Key findings reveal: (1) Park visits were associated with significant restorative benefits across all stress groups (p < 0.05), yet the recovery patterns and potential pathways appear to be stress-threshold-dependent. (2) Our findings suggest distinct patterns: low-stress individuals benefit via cognitive-behavioral routes (environmental awareness, dynamic activities), while medium-high stress groups rely more on physiological regulation (environmental enclosure, static relaxation). (3) Crucially, these mechanisms suggest stratified landscape design strategies: multi-sensory interactive spaces for low-stress, static rest areas for medium-stress, and low-interference, high-enclosure meditative environments for high-stress individuals. However, given the single-group pre-post design, observed benefits should be interpreted as associations and plausible pathways rather than definitive causal effects. By introducing stress threshold stratification into restorative landscape research, this study provides actionable, evidence-based guidelines for optimizing urban green space planning and design. It offers a crucial scientific foundation for creating healthier, more inclusive, and sustainable urban environments that effectively address diverse mental health needs and contribute to public health promotion through sustainable land use practices. Full article
(This article belongs to the Special Issue Urban Spatial Planning for Health and Well-Being)
Show Figures

Figure 1

21 pages, 4803 KB  
Article
Top-Down Design Approach of Lightweight Composite Battery Pack Enclosure for Electric Vehicles Based on Numerical Modeling and Topology Optimization
by Xin Zhang, Qiang Lin, Ying Xiao, Liyong Jia, Tiantian Yang, Lei Wang, Quanjin Ma and Bing Wang
Polymers 2025, 17(21), 2897; https://doi.org/10.3390/polym17212897 - 29 Oct 2025
Viewed by 1559
Abstract
To meet the increasing demands for structural lightweighting in electric vehicles (EVs), carbon fiber reinforced plastic (CFRP) has been gradually introduced to reduce weight and enhance passenger safety in automotive engineering. The battery-pack enclosure is a key structural component for EVs, as it [...] Read more.
To meet the increasing demands for structural lightweighting in electric vehicles (EVs), carbon fiber reinforced plastic (CFRP) has been gradually introduced to reduce weight and enhance passenger safety in automotive engineering. The battery-pack enclosure is a key structural component for EVs, as it significantly influences the driving distance, safety, and road handling of EVs. This study presents a top-down design approach and topology optimization for a lightweight CFRP battery pack enclosure reinforced with cross-shaped stiffeners. The main objective is to develop an efficient composite enclosure that meets performance targets while accommodating the demands of cost-effective mass production. The composite battery pack enclosure was fabricated using the compression molding process. Topology optimization was carried out in the preliminary design stage on the structural shape and geometric parameters following a top-down design approach. Experimental tests recorded maximum deformations of 0.56 mm and 10.33 mm under in-plane and lateral loads, respectively. The final prototype product achieved a total mass of 4.78 kg with a rapid curing cycle of 10–15 min. In conclusion, a lightweight composite battery-pack enclosure with cross-shaped stiffeners was successfully manufactured, integrating a top-down design approach with topology optimization. This study demonstrates an effective design approach to achieving an optimal balance of lightweight, cost-effectiveness, and production efficiency for EV battery-pack enclosures. Full article
(This article belongs to the Section Polymer Composites and Nanocomposites)
Show Figures

Figure 1

15 pages, 2958 KB  
Article
Practical Algal Control in Lower Yangtze Reservoirs Using Composite Microfiltration Physical Enclosure
by Bin Xu, Fangzhou Liu, Qi Zhang, Congcong Ni, Jianan Gao and Xin Huang
Membranes 2025, 15(10), 311; https://doi.org/10.3390/membranes15100311 - 13 Oct 2025
Viewed by 671
Abstract
Source water reservoirs in the lower reaches of the Yangtze River are increasingly threatened by algal contamination, driven by fluctuations in upstream water quality. To ensure stable reservoir operation and protect downstream drinking water sources, physical enclosures are widely used. However, most algal [...] Read more.
Source water reservoirs in the lower reaches of the Yangtze River are increasingly threatened by algal contamination, driven by fluctuations in upstream water quality. To ensure stable reservoir operation and protect downstream drinking water sources, physical enclosures are widely used. However, most algal pollution in reservoirs consists of microalgae (diameters < 100 μm), and conventional algae barriers are effective primarily against visible algal blooms but perform poorly against microscopic algal clusters. To address this limitation, we developed a composite microfiltration physical enclosure system by integrating a microfiltration membrane, supported by a mechanical layer, onto physical enclosures. The algal removal performance of this system was evaluated from lab-scale tests to field-scale applications. Results demonstrated that the composite membrane exhibited excellent interception efficiency against algal aggregates, with algae density in the filtered water reduced by over 80%. The composite enclosure effectively filters multiple algae species, significantly reducing the risk of algae entering downstream water treatment plants, thereby alleviating the burden of traditional processes and reducing operating costs. Full article
(This article belongs to the Special Issue Functionalized Membranes for Water/Wastewater Treatment)
Show Figures

Figure 1

21 pages, 3648 KB  
Article
BioLumCity: 3D-Printed Bioluminescent Urban Tiles Employing Aliivibrio fischeri Bioink as Passive Urban Light
by Yomna K. Abdallah, Alberto T. Estévez, Aranzazu Balfagón Martin and Marta Serra Soriano
Appl. Microbiol. 2025, 5(4), 105; https://doi.org/10.3390/applmicrobiol5040105 - 5 Oct 2025
Viewed by 1496
Abstract
Integrating bioluminescent organisms as passive lighting sources in the built environment is currently a hot topic. However, there are several limitations facing the implementation and up-scaling of these naturally bioluminescent organisms in the built environment on architectural and urban scales, such as the [...] Read more.
Integrating bioluminescent organisms as passive lighting sources in the built environment is currently a hot topic. However, there are several limitations facing the implementation and up-scaling of these naturally bioluminescent organisms in the built environment on architectural and urban scales, such as the scale, sensitivity, enclosure, and difficulty of maintenance. Moreover, there are complex technicalities and operational aspects of conventional bioreactors that host these bioluminescent agents, especially in terms of managing their recharge and effluent, not to mention their high maintenance cost. The current work offers a sustainable, stand-alone, bioluminescent urban screen system employing Aliivibrio fischeri CECT 524 bioink on 3D-printed customized scaffolds as bioreceptive panel design based on a field-diffusion pattern to host the bioluminescent bacterial bioink. The field-diffusion pattern was employed thanks to its proven efficiency in entrapment of the various microbial cultures. Three different growth media were tested for culturing Aliivibrio fischeri CECT 524, including Luria Bertani Broth (LB), the Tryptone Soy Broth (TSB), and the standard Marine Broth (MB). The results revealed that the Marine Broth (MB) media achieved the highest bioluminescent intensity and duration. The maximum light emission typically in range of ~490 nm of blue–green light captured by a conventional reflex camera (human eye vision) was observed for 10 consecutive days in complete darkness after 3–10 s, at a room temperature of 25 °C. This was visible mainly at the thin curvilinear peaks of the 3D-printed field pattern. P1 achieved the highest performance in terms of visible blue–green light, and a duration of 10 days of active bioluminescence was achieved without the need for refilling, thanks to the high number of peaks and narrow wells at <0.5 cm of its field-diffusion pattern. This study proves the efficiency of this biomimetic pattern in terms of the bioreceptivity of the bioluminescent bacterial bioink. Furthermore, the proposed 3D-printed urban screens proved their economic sustainability in terms of affordability and their minimized production processes, in addition to their easy maintenance and recharge. These results qualify these 3D-printed bioluminescent urban screens for easy and decentralized adoption and application on an architectural and urban scale. Full article
Show Figures

Figure 1

21 pages, 3036 KB  
Article
Infrared Thermography and Deep Learning Prototype for Early Arthritis and Arthrosis Diagnosis: Design, Clinical Validation, and Comparative Analysis
by Francisco-Jacob Avila-Camacho, Leonardo-Miguel Moreno-Villalba, José-Luis Cortes-Altamirano, Alfonso Alfaro-Rodríguez, Hugo-Nathanael Lara-Figueroa, María-Elizabeth Herrera-López and Pablo Romero-Morelos
Technologies 2025, 13(10), 447; https://doi.org/10.3390/technologies13100447 - 2 Oct 2025
Viewed by 1607
Abstract
Arthritis and arthrosis are prevalent joint diseases that cause pain and disability, and their early diagnosis is crucial for preventing irreversible damage. Conventional diagnostic methods such as X-ray, ultrasound, and MRI have limitations in early detection, prompting interest in alternative techniques. This work [...] Read more.
Arthritis and arthrosis are prevalent joint diseases that cause pain and disability, and their early diagnosis is crucial for preventing irreversible damage. Conventional diagnostic methods such as X-ray, ultrasound, and MRI have limitations in early detection, prompting interest in alternative techniques. This work presents the design and clinical evaluation of a prototype device for non-invasive early diagnosis of arthritis (inflammatory joint disease) and arthrosis (osteoarthritis) using infrared thermography and deep neural networks. The portable prototype integrates a Raspberry Pi 4 microcomputer, an infrared thermal camera, and a touchscreen interface, all housed in a 3D-printed PLA enclosure. A custom Flask-based application enables two operational modes: (1) thermal image acquisition for training data collection, and (2) automated diagnosis using a pre-trained ResNet50 deep learning model. A clinical study was conducted at a university clinic in a temperature-controlled environment with 100 subjects (70% with arthritic conditions and 30% healthy). Thermal images of both hands (four images per hand) were captured for each participant, and all patients provided informed consent. The ResNet50 model was trained to classify three classes (healthy, arthritis, and arthrosis) from these images. Results show that the system can effectively distinguish healthy individuals from those with joint pathologies, achieving an overall test accuracy of approximately 64%. The model identified healthy hands with high confidence (100% sensitivity for the healthy class), but it struggled to differentiate between arthritis and arthrosis, often misclassifying one as the other. The prototype’s multiclass ROC (Receiver Operating Characteristic) analysis further showed excellent discrimination between healthy vs. diseased groups (AUC, Area Under the Curve ~1.00), but lower performance between arthrosis and arthritis classes (AUC ~0.60–0.68). Despite these challenges, the device demonstrates the feasibility of AI-assisted thermographic screening: it is completely non-invasive, radiation-free, and low-cost, providing results in real-time. In the discussion, we compare this thermography-based approach with conventional diagnostic modalities and highlight its advantages, such as early detection of physiological changes, portability, and patient comfort. While not intended to replace established methods, this technology can serve as an early warning and triage tool in clinical settings. In conclusion, the proposed prototype represents an innovative application of infrared thermography and deep learning for joint disease screening. With further improvements in classification accuracy and broader validation, such systems could significantly augment current clinical practice by enabling rapid and non-invasive early diagnosis of arthritis and arthrosis. Full article
(This article belongs to the Section Assistive Technologies)
Show Figures

Graphical abstract

23 pages, 6389 KB  
Article
Virtual Measurement of Explosion-Proof Performance: Application of an Improved RBF-GMSE-Based Surrogate Model to the Safety Performance Characterization of Coal Mine Equipment
by Xusheng Xue, Huahao Wan, Hongkui Zhang, Jianxin Yang, Yan Wang, Wenjuan Yang and Fandong Chen
Appl. Sci. 2025, 15(17), 9765; https://doi.org/10.3390/app15179765 - 5 Sep 2025
Viewed by 886
Abstract
Explosion-proof safety evaluation is critical for coal mine equipment operating in hazardous environments. Traditional methods rely on physical explosion testing, which is time-consuming, costly, and impractical for large-scale or complex systems. We propose a real-time virtual measurement method based on an improved combined [...] Read more.
Explosion-proof safety evaluation is critical for coal mine equipment operating in hazardous environments. Traditional methods rely on physical explosion testing, which is time-consuming, costly, and impractical for large-scale or complex systems. We propose a real-time virtual measurement method based on an improved combined surrogate model to address these limitations. A digital twin framework is constructed by integrating internal explosion transmission data with physical models of gas deflagration and enclosure impact mechanics. A transient multi-physical reduced-order model is developed using Latin hypercube sampling and machine learning. The core prediction model, RBF-GMSE, combines a radial basis function surrogate model and a generalized mean square error model through adaptive weighting. This model is trained on dimension-reduced finite element data and used to predict explosion-induced stress, strain, and displacement in real time. A virtual measurement system is implemented using this framework, enabling accurate, dynamic safety evaluation of explosion-proof equipment. Validation against simulation data shows a maximum prediction error below 1.89% and an average correlation coefficient of 0.9779, confirming the model’s high accuracy and robustness. This approach offers an intelligent solution for efficient and precise acquisition of explosion-proof safety characteristics in coal mine equipment. Full article
Show Figures

Figure 1

18 pages, 3619 KB  
Article
Synergistic Effects of Biochar and Bacillus thuringiensis NL-11 on Ophiopogon japonicus Growth and Soil Microbial Diversity in Trampled Urban Forest Soils
by Qianqian Liu, Hui Nie, Xiaorui Sun, Lina Dong, Liu Xiang, Jinchi Zhang and Xin Liu
Microorganisms 2025, 13(9), 2004; https://doi.org/10.3390/microorganisms13092004 - 27 Aug 2025
Viewed by 904
Abstract
Bare soil expansion in urban forests, driven by persistent high-intensity trampling, degrades both macro-scale natural resources and micro ecological conditions. Targeted interventions are therefore essential. In this study, trampled bare ground in forest parks and artificially cultivated Ophiopogon japonicus were used as experimental [...] Read more.
Bare soil expansion in urban forests, driven by persistent high-intensity trampling, degrades both macro-scale natural resources and micro ecological conditions. Targeted interventions are therefore essential. In this study, trampled bare ground in forest parks and artificially cultivated Ophiopogon japonicus were used as experimental models We employed trampled bare ground in forest parks as well as artificially cultivated O. japonicus as experimental models. Five treatments were implemented: enclosure control (CK), ploughing (F), Bacillus thuringiensis NL-11 application (J), biochar addition (C), and co-application of B. thuringiensis NL-11 with biochar (JC). Our results indicate that, compared with CK, biochar treatments reduced soil bulk density by 30%, increased soil porosity by 89%, and improved water-holding capacity. The soil nitrate nitrogen content in the NL-11 treatment was increased by 113.8% compared with CK, while the co-application of NL-11 with biochar exhibited the highest sucrase and urease activities. Notably, the co-application of B. thuringiensis NL-11 with biochar exhibited the most pronounced effects on aboveground biomass, plant height, and root development, followed by the B. thuringiensis NL-11 treatment. Microbial β-diversity shifts under co-application of B. thuringiensis NL-11 with biochar treatment strongly correlated with soil enzyme activation and plant growth enhancement (Mantel test, p < 0.05). Correlation analysis confirmed that exogenous nutrient inputs significantly influenced enzyme activities, thereby promoting plant development. These results highlight the effectiveness of integrating microbial inoculation with biochar to restore trampled urban forest soils. Full article
(This article belongs to the Section Environmental Microbiology)
Show Figures

Figure 1

27 pages, 3826 KB  
Article
ANN-Based Real-Time Prediction of Heat and Mass Transfer in the Paper-Based Storage Enclosure for Sustainable Preventive Conservation
by Bo Han, Fan Wang, Julie Bon, Linda MacMillan and Nick K. Taylor
Appl. Sci. 2025, 15(12), 6905; https://doi.org/10.3390/app15126905 - 19 Jun 2025
Viewed by 544
Abstract
The storage enclosures are vital for stabilizing the micro-environment within, facilitating preventive conservation efforts, and enabling energy savings by reducing the need for extensive macro-environmental control within the room. However, real-time conformity monitoring of the micro-environment to ensure compliance with preventive conservation specifications [...] Read more.
The storage enclosures are vital for stabilizing the micro-environment within, facilitating preventive conservation efforts, and enabling energy savings by reducing the need for extensive macro-environmental control within the room. However, real-time conformity monitoring of the micro-environment to ensure compliance with preventive conservation specifications poses a practical challenge due to a limitation in implementing physical sensors for each enclosure. This study aims to address this challenge by using an ANN (Artificial Neural Network)-based prediction for temperature and RH (Relative Humidity) changes in response to macro-environmental fluctuations. A numerical model was developed to simulate transient heat and mass transfer between macro- and micro-environments and then employed to determine an acceptable macro-environmental range for sustainable preventive conservation and to generate a dataset to train a sequence-to-sequence ANN model. This model was specially designed for 24 h real-time prediction of heat and mass transfer and to simulate the micro-environmental conditions under varying levels of control accuracy over the macro-environment. The effectiveness of the prediction model was tested through a real trial application in the laboratory, which revealed a robust prediction of micro-environments inside different enclosures under various macro-environmental conditions. This modeling approach offers a promising solution for monitoring the micro-environmental conformity and further implementing the relaxing control strategy in the macro-environment without compromising the integrity of the collections stored inside the enclosures. Full article
(This article belongs to the Section Applied Thermal Engineering)
Show Figures

Figure 1

23 pages, 16865 KB  
Article
MOT: A Low-Latency, Multichannel Wireless Surface Electromyography Acquisition System Based on the AD8232 Front-End
by Augusto Tetsuo Prado Inafuco, Pablo Machoski, Daniel Prado Campos, Sergio Francisco Pichorim and José Jair Alves Mendes Junior
Sensors 2025, 25(12), 3600; https://doi.org/10.3390/s25123600 - 7 Jun 2025
Cited by 1 | Viewed by 1808
Abstract
Commercial wearable systems for surface electromyography (sEMG) acquisition often trade bandwidth, synchronization, and battery life for miniaturization, and their proprietary designs inhibit reproducibility and cost-effective customization. To address these limitations, we developed MOT, a fully wireless, multichannel platform built from commodity components that [...] Read more.
Commercial wearable systems for surface electromyography (sEMG) acquisition often trade bandwidth, synchronization, and battery life for miniaturization, and their proprietary designs inhibit reproducibility and cost-effective customization. To address these limitations, we developed MOT, a fully wireless, multichannel platform built from commodity components that can be replicated in academic laboratories. Each sensor node integrates an AD8232 analog front-end configured for 19–690 Hz bandwidth (59 dB mid-band gain) with a 12-bit successive approximation ADC sampling at 1 kS/s. Packets of 120 samples are broadcast via the low-latency ESP-NOW 2.45 GHz protocol to a central hub, which timestamps and streams data to a host PC over USB-UART. Bench tests confirmed the analog response and showed mains interference at least 40 dB below voluntary contraction levels; the cumulative packet loss remained below 0.5% for six simultaneous channels at 100 m line-of-sight, with end-to-end latency under 3 ms. A 180 mAh Li-ion cell was used to power each node for 1.8 h of continuous operation at 100 mA average draw, and the complete sensor, including enclosure, was found to weigh 22 g. MOT reduced a 60 Hz artifact magnitude by up to 22 dB while preserving signal bandwidth. The hardware, therefore, provides a compact and economical solution for biomechanics, rehabilitation, and human–machine interface research that demands mobile, high-fidelity sEMG acquisition. Full article
(This article belongs to the Section Biomedical Sensors)
Show Figures

Figure 1

27 pages, 15039 KB  
Article
Development of a 5G-Connected Ultra-Wideband Radar Platform for Traffic Monitoring in a Campus Environment
by David Martín-Sacristán, Carlos Ravelo, Pablo Trelis, Miriam Ortiz and Manuel Fuentes
Sensors 2025, 25(10), 3203; https://doi.org/10.3390/s25103203 - 20 May 2025
Viewed by 1761
Abstract
This paper presents the design, implementation, and testing of a traffic monitoring platform based on 5G-connected Ultra-Wideband (UWB) radars deployed on a university campus. The development of both connected radars and an IoT platform is detailed. The connected radars integrate commercial components, including [...] Read more.
This paper presents the design, implementation, and testing of a traffic monitoring platform based on 5G-connected Ultra-Wideband (UWB) radars deployed on a university campus. The development of both connected radars and an IoT platform is detailed. The connected radars integrate commercial components, including a Raspberry Pi (RPi), a UWB radar, a standard enclosure, and a custom communication board featuring a 5G module. The IoT platform, which receives data from the radars via MQTT, is scalable, easily deployable, and supports radar management, data visualization, and external data access via an API. The solution was deployed and tested on campus, demonstrating real-time operation over a commercial 5G network with an estimated median latency between the radar and server of 75 ms. A preliminary evaluation conducted on a single radar during peak-hour traffic on a double-lane road, representing a challenging scenario, indicated a high detection rate of 94.81%, a low false detection rate of 1.02%, a high classification accuracy of 97.29%, and a high direction accuracy of 99.66%. These results validate the system’s capability to deliver accurate traffic monitoring. Full article
(This article belongs to the Special Issue Sensors and Smart City)
Show Figures

Figure 1

20 pages, 10448 KB  
Article
Experimental Investigation into the Mechanical Performance of Foam-Filled 3D-Kagome Lattice Sandwich Panels
by Zhangbin Wu, Qiuyu Li, Chao Chai, Mao Chen, Zi Ye, Yunzhe Qiu, Canhui Li and Fuqiang Lai
Symmetry 2025, 17(4), 571; https://doi.org/10.3390/sym17040571 - 9 Apr 2025
Cited by 2 | Viewed by 1223
Abstract
3D-Kagome lattice sandwich panels are mainly composed of upper and lower panels and a series of symmetrically and periodically arranged lattices, known for their excellent high specific stiffness, high specific strength, and energy absorption capacity. The inherent geometrical symmetry of the 3D-Kagome lattice [...] Read more.
3D-Kagome lattice sandwich panels are mainly composed of upper and lower panels and a series of symmetrically and periodically arranged lattices, known for their excellent high specific stiffness, high specific strength, and energy absorption capacity. The inherent geometrical symmetry of the 3D-Kagome lattice plays a crucial role in achieving superior mechanical stability and load distribution efficiency. This structural symmetry enhances the uniformity of stress distribution, making it highly suitable for automotive vibration suppression, such as battery protection for electric vehicles. In this study, a polyurethane foam-filled, symmetry-enhanced 3D-Kagome sandwich panel is designed following an optimization of the lattice structure. A novel fabrication method combining precision wire-cutting, interlocking core assembly, and in situ foam filling is employed to ensure a high degree of integration and manufacturability of the composite structure. Its mechanical properties and energy absorption characteristics are systematically evaluated through a series of experimental tests, including quasi-static compression, three-point bending, and low-speed impact. The study analyzes the effects of core height on the structural stiffness, strength, and energy absorption capacity under varying loads, elucidating the failure mechanisms inherent to the symmetrical lattice sandwich configurations. The results show that the foam-filled sandwich panels exhibit significant improvements in mechanical performance compared to the unfilled ones. Specifically, the panels with core heights of 15 mm, 20 mm, and 25 mm demonstrate increases in bending stiffness of 47.3%, 53.5%, and 51.3%, respectively, along with corresponding increases in bending strength of 45.5%, 53.1%, and 50.9%. The experimental findings provide a fundamental understanding of foam-filled lattice sandwich structures, offering insights into their structural optimization for lightweight energy-absorbing applications. This study establishes a foundation for the development of advanced crash-resistant materials for automotive, aerospace, and protective engineering applications. This work highlights the structural advantages and crashworthiness potential of foam-filled Kagome sandwich panels, providing a promising foundation for their application in electric vehicle battery enclosures, aerospace impact shields, and advanced protective systems. Full article
(This article belongs to the Special Issue Symmetry/Asymmetry in Mechanics of Materials)
Show Figures

Figure 1

31 pages, 17034 KB  
Article
IoT-Enabled Real-Time Monitoring of Urban Garbage Levels Using Time-of-Flight Sensing Technology
by Luis Miguel Pires, João Figueiredo, Ricardo Martins and José Martins
Sensors 2025, 25(7), 2152; https://doi.org/10.3390/s25072152 - 28 Mar 2025
Cited by 5 | Viewed by 5913
Abstract
This manuscript presents a real-time monitoring system for urban garbage levels using Time-of-Flight (ToF) sensing technology. The experiment employs the VL53L8CX sensor, which accurately measures distances, along with an ESP32-S3 microcontroller that enables IoT connectivity. The ToF-Node IoT system, consisting of the VL53L8CX [...] Read more.
This manuscript presents a real-time monitoring system for urban garbage levels using Time-of-Flight (ToF) sensing technology. The experiment employs the VL53L8CX sensor, which accurately measures distances, along with an ESP32-S3 microcontroller that enables IoT connectivity. The ToF-Node IoT system, consisting of the VL53L8CX sensor connected to the ESP32-S3, communicates with an IoT gateway (Raspberry Pi 3) via Wi-Fi, which then connects to an IoT cloud. The ToF-Node communicates with the IoT gateway using Wi-Fi, and after with the IoT cloud, also using Wi-Fi. This setup provides real-time data on waste container capacities, facilitating efficient waste collection management. By integrating sensor data and network communication, the system supports informed decision-making for optimizing collection logistics, contributing to cleaner and more sustainable cities. The ToF-Node was tested in four scenarios, with a PCB measuring 40 × 18 × 4 mm and an enclosure of 65 × 40 × 30 mm. We used an office trash box with a height of 250 mm (25 cm), and the ToF-Node was located on the top. Results demonstrate that the effectiveness of ToF technology in environmental monitoring and the potential of IoT to enhance urban services. For detailed monitoring, additional ToF sensors may be required. Data collected are displayed in the IoT cloud for better monitoring and can be viewed by level and volume. The ToF-Node and the IoT gateway have a combined power consumption of 153.8 mAh Full article
(This article belongs to the Special Issue Feature Papers in the Internet of Things Section 2024)
Show Figures

Figure 1

21 pages, 2975 KB  
Article
Environmental Sustainability in the Culture of Macroalgae, Oysters, and Low-Trophic Fish
by Suellen Araujo Alves, Michelle Roberta Santos, Patricia Moraes-Valenti, Dioniso Souza Sampaio and Wagner C. Valenti
Fishes 2025, 10(3), 108; https://doi.org/10.3390/fishes10030108 - 3 Mar 2025
Viewed by 1606
Abstract
Aquaculture plays a crucial role in meeting the needs of a growing human population and achieving the sustainable development goals outlined in Agenda 2030. However, it is essential that this sector grows sustainably. In this study, we hypothesized that environmental sustainability decreases as [...] Read more.
Aquaculture plays a crucial role in meeting the needs of a growing human population and achieving the sustainable development goals outlined in Agenda 2030. However, it is essential that this sector grows sustainably. In this study, we hypothesized that environmental sustainability decreases as the trophic level of farmed species increases and that it is higher in integrated systems compared to monocultures. To test these hypotheses, we conducted a comparative analysis of the environmental sustainability indicators of some aquaculture systems, including the farming of primary producers, filter feeders, and low-trophic phagotrophs. We compiled secondary data on eighteen environmental sustainability indicators from seven aquaculture systems. Five are monocultures, including the farming of macroalgae (Hypnea pseudomusciformis), oysters (Crassostrea gazar) in a tropical environment, oysters in a subtropical environment, as well as tambatinga (hybrid Colossoma macropomum × Piaractus brachypomus) and tambaqui (Colossoma macropomum). Additionally, two are integrated systems: tambaqui raised in hapa nets (small cage-like enclosures) within Amazon river prawn (Macrobrachium amazonicum) ponds, and tambaqui and prawns cohabitating freely in the same ponds. A benchmark tool was utilized to establish reference values for comparing indicators between the systems, and a method was developed to create environmental sustainability indices that integrate all indicators. Environmental sustainability tends to decrease as trophic levels rise, supporting the initial hypothesis. However, the data revealed that Integrated Multi-Trophic Aquaculture (IMTA) systems ultimately have lower environmental sustainability than monocultures, which was contrary to our expectations. Algae and oyster farming were found to be more environmentally sustainable than low-trophic fish farming systems. Among these, the integrated systems did not demonstrate significantly greater sustainability than the monocultures, as initially anticipated. To gain a comprehensive understanding of sustainability, further research on the social and economic sustainability of these systems is necessary. Full article
(This article belongs to the Section Sustainable Aquaculture)
Show Figures

Figure 1

20 pages, 2322 KB  
Article
A Study of Forced Convection in Non-Newtonian Hybrid Nanofluids Embedded in a Heated Cylinder Within a Hexagonal Enclosure by Finite Element Method
by Md. Noor-A-Alam Siddiki, Saiful Islam, Mahtab U. Ahmmed, Md Farhad Hasan and Md. Mamun Molla
Mathematics 2025, 13(3), 445; https://doi.org/10.3390/math13030445 - 28 Jan 2025
Cited by 1 | Viewed by 1210
Abstract
Nanofluids have the proven capacity to significantly improve the thermal efficiency of a heat exchanging system due to the presence of conductive nanoparticles. The aim of this study is to simulate the forced convection on a non-Newtonian hybrid with a nanofluid (Al2 [...] Read more.
Nanofluids have the proven capacity to significantly improve the thermal efficiency of a heat exchanging system due to the presence of conductive nanoparticles. The aim of this study is to simulate the forced convection on a non-Newtonian hybrid with a nanofluid (Al2O3-TiO2-H2O) in a hexagonal enclosure by the Galerkin finite element method (GFEM). The physical model is a hexagonal enclosure in two dimensions, containing a heated cylinder embedded at the center. The bottom, middle left, and right walls of the enclosure are all considered cold (Tc), while the top wall is considered to be moving, and the remaining middle, upper left, and right walls have the adiabatic condition. The Prandtl number (Pr = 6.2), Reynolds number (Re = 50, 100, 300 and 500), power law index (n = 0.6, 0.8, 1.0, 1.2 and 1.4), volume fractions of nanoparticles (ϕ = 0.00, 0.01, 0.02, 0.03 and 0.04), and Hartmann numbers (Ha = 0, 10, 20 and 30) are considered in the model. The findings are explained in terms of sensitivity tests and statistical analysis for various Re numbers, n, and Ha numbers employing streamlines, isotherms, velocity profiles, and average Nusselt numbers. It is observed that the inclusion of ϕ improves the convective heat transfer at the surging values of Re. However, if the augmenting heat transfer requires any control mechanism, integrating a non-zero Ha number is found to stabilize the system for the purpose of thermal efficacy. Full article
Show Figures

Figure 1

Back to TopTop