Sign in to use this feature.

Years

Between: -

Subjects

remove_circle_outline
remove_circle_outline
remove_circle_outline
remove_circle_outline
remove_circle_outline
remove_circle_outline

Journals

Article Types

Countries / Regions

Search Results (16)

Search Parameters:
Keywords = empirical tight-binding

Order results
Result details
Results per page
Select all
Export citation of selected articles as:
10 pages, 2877 KB  
Article
Klein Tunneling in β12 Borophene
by Jinhao Lai, Lekang Wang, Fu Li, Hongbin Zhang and Qingtian Zhang
Nanomaterials 2024, 14(9), 790; https://doi.org/10.3390/nano14090790 - 1 May 2024
Viewed by 1950
Abstract
Motivated by the recent observation of Klein tunneling in 8-Pmmn borophene, we delve into the phenomenon in β12 borophene by employing tight-binding approximation theory to establish a theoretical mode. The tight-binding model is a semi-empirical method for establishing the Hamiltonian based on [...] Read more.
Motivated by the recent observation of Klein tunneling in 8-Pmmn borophene, we delve into the phenomenon in β12 borophene by employing tight-binding approximation theory to establish a theoretical mode. The tight-binding model is a semi-empirical method for establishing the Hamiltonian based on atomic orbitals. A single cell of β12 borophene contains five atoms and multiple central bonds, so it creates the complexity of the tight-binding model Hamiltonian of β12 borophene. We investigate transmission across one potential barrier and two potential barriers by changing the width and height of barriers and the distance between two potential barriers. Regardless of the change in the barrier heights and widths, we find the interface to be perfectly transparent for normal incidence. For other angles of incidence, perfect transmission at certain angles can also be observed. Furthermore, perfect and all-angle transmission across a potential barrier takes place when the incident energy approaches the Dirac point. This is analogous to the “super”, all-angle transmission reported for the dice lattice for Klein tunneling across a potential barrier. These findings highlight the significance of our theoretical model in understanding the complex dynamics of Klein tunneling in borophene structures. Full article
Show Figures

Figure 1

6 pages, 696 KB  
Proceeding Paper
4H-[1,3,5,2]Oxadiazaphospholo[3,4-a][1,5]benzodiazepin-1-amine-1-oxides: Synthesis and Computational Studies
by Žilvinas Anusevičius, Lidija Kosychova, Visvaldas Kairys, Kastis Krikštopaitis and Jonas Šarlauskas
Chem. Proc. 2023, 14(1), 22; https://doi.org/10.3390/ecsoc-27-16162 - 15 Nov 2023
Viewed by 1053
Abstract
The modification of heterocyclic systems remains one of the most promising areas in heterocyclic chemistry. Benzodiazepines (BZDs), representing a diverse class of heterocyclic molecules, have piqued interest due to their use as anticonvulsant/anti-inflammatory/analgesic/sedative/anti-depressive/hypnotic medications, as well as anti-inflammatory/anti-HIV drugs. Phosphorus heterocycle molecules fused [...] Read more.
The modification of heterocyclic systems remains one of the most promising areas in heterocyclic chemistry. Benzodiazepines (BZDs), representing a diverse class of heterocyclic molecules, have piqued interest due to their use as anticonvulsant/anti-inflammatory/analgesic/sedative/anti-depressive/hypnotic medications, as well as anti-inflammatory/anti-HIV drugs. Phosphorus heterocycle molecules fused with rings of different sizes and bearing various heteroatoms have also been attracting much interest. Phosphoramidate class compounds with an amino group linked directly to the phosphorus atom have gained considerable attention due to their wide range of biological activity and agricultural application. To date, however, only non-condensed monocyclic 1,3,5,2-oxodiazaphosphol-2-oxides have been described.Herein, we report the synthesis of previously undescribed 4H-[1,3,5,2]oxadiazophospho[3,4-a][1,5]benzodiazepine-1-amino-1-oxides, comprising benzodiazepine and a fused five-member oxodiazophospholo cycle with four heteroatoms in the “a” position, which was made possible by phosphorylation of 1,3,4,5-tetrahydro-2H-1,5-benzodiazepin oximes with an equimolar amount of dimethylaminophosphoric acid dichloride. The chemical structures of the compounds were confirmed by IR, 1H, 13C, and 31P NMR spectral analysis. A series of simulations were conducted by employing the semi-empirical, tight-binding computational technique GFN2-xTB to reveal the likely pathways leading to their formation. The synthesised compounds obeyed Lipinski’s rule, implying a good bioavailability, and assessment of their projected drug-like abilities revealed that they may have a strong anti-neoplastic activity and, to a lesser extent, may act as both substrates and inducers of cytochrome P-450 (CYP) super-family enzymes. Full article
Show Figures

Figure 1

16 pages, 4510 KB  
Article
Preparation, Characterization, Dielectric Properties, and AC Conductivity of Chitosan Stabilized Metallic Oxides CoO and SrO: Experiments and Tight Binding Calculations
by Azza Abou Elfadl, Ali H. Bashal, Talaat H. Habeeb, Mohammed A. H. Khalafalla, Nazeeha S. Alkayal and Khaled D. Khalil
Polymers 2023, 15(20), 4132; https://doi.org/10.3390/polym15204132 - 18 Oct 2023
Cited by 12 | Viewed by 2060
Abstract
Polymeric films made from chitosan (CS) doped with metal oxide (MO = cobalt (II) oxide and strontium oxide) nanoparticles at different concentrations (5, 10, 15, and 20% wt. MO/CS) were fabricated with the solution cast method. FTIR, SEM, and XRD spectra were used [...] Read more.
Polymeric films made from chitosan (CS) doped with metal oxide (MO = cobalt (II) oxide and strontium oxide) nanoparticles at different concentrations (5, 10, 15, and 20% wt. MO/CS) were fabricated with the solution cast method. FTIR, SEM, and XRD spectra were used to study the structural features of those nanocomposite films. The FTIR spectra of chitosan showed the main characteristic peaks that are usually present, but they were shifted considerably by the chemical interaction with metal oxides. FTIR analysis of the hybrid chitosan-CoO nanocomposite exhibited notable peaks at 558 and 681 cm−1. Conversely, the FTIR analysis of the chitosan-SrO composite displayed peaks at 733.23 cm−1, 810.10 cm−1, and 856.39 cm−1, which can be attributed to the bending vibrations of Co-O and Sr-O bonds, respectively. In addition, the SEM graphs showed a noticeable morphological change on the surface of chitosan, which may be due to surface adsorption with metal oxide nanoparticles. The XRD pattern also revealed a clear change in the crystallinity of chitosan when it is in contact with metal oxide nanoparticles. The presence of characteristic signals for cobalt (Co) and strontium (Sr) are clearly shown in the EDX examinations, providing convincing evidence for their incorporation into the chitosan matrix. Moreover, the stability of the nanoparticle-chitosan coordinated bonding was verified from the accurate and broadly parametrized semi-empirical tight-binding quantum chemistry calculation. This leads to the determination of the structures’ chemical hardness as estimated from the frontier’s orbital calculations. We characterized the dielectric properties in terms of the real and imaginary dielectric permittivity as a function of frequency. Dielectric findings reveal the existence of extensive interactions of CoO and SrO, more pronounced for SrO, with the functional groups of CS through coordination bonding. This induces the charge transfer of the complexes between CoO and SrO and the CS chains and a decrease in the amount of the crystalline phase, as verified from the XRD patterns. Full article
(This article belongs to the Special Issue Processing and Application of Bio-Based Polymeric Compounds)
Show Figures

Figure 1

18 pages, 7314 KB  
Article
Multi-Theory Comparisons of Molecular Simulation Approaches to TiO2/H2O Interfacial Systems
by Dáire O’Carroll and Niall J. English
Crystals 2023, 13(7), 1122; https://doi.org/10.3390/cryst13071122 - 19 Jul 2023
Viewed by 1766
Abstract
Herein, we present molecular dynamics analyses of systems containing TiO2 interfaces with water, simulated using empirical forcefields (FF), Density-Functional Tight-Binding (DFTB), and Density-Functional Theory (DFT) methodologies. The results and observed differences between the methodologies are discussed, with the aim of assessing the [...] Read more.
Herein, we present molecular dynamics analyses of systems containing TiO2 interfaces with water, simulated using empirical forcefields (FF), Density-Functional Tight-Binding (DFTB), and Density-Functional Theory (DFT) methodologies. The results and observed differences between the methodologies are discussed, with the aim of assessing the suitability of each methodology for performing molecular dynamics simulations of catalytic systems. Generally, well-parameterised forcefield MD outperforms the other methodologies—albeit, at the expense of neglecting certain qualitative behaviours entirely. DFTB represents an attractive compromise method, and has the potential to revolutionise the field of molecular dynamics in the near future due to advances in generating parameters. Full article
(This article belongs to the Special Issue First-Principles Simulation—Nano-Theory (Volume II))
Show Figures

Figure 1

11 pages, 1629 KB  
Article
Impact of Local Composition on the Emission Spectra of InGaN Quantum-Dot LEDs
by Daniele Barettin, Alexei V. Sakharov, Andrey F. Tsatsulnikov, Andrey E. Nikolaev, Alessandro Pecchia, Matthias Auf der Maur, Sergey Yu. Karpov and Nikolay Cherkashin
Nanomaterials 2023, 13(8), 1367; https://doi.org/10.3390/nano13081367 - 14 Apr 2023
Cited by 4 | Viewed by 2103
Abstract
A possible solution for the realization of high-efficiency visible light-emitting diodes (LEDs) exploits InGaN-quantum-dot-based active regions. However, the role of local composition fluctuations inside the quantum dots and their effect of the device characteristics have not yet been examined in sufficient detail. Here, [...] Read more.
A possible solution for the realization of high-efficiency visible light-emitting diodes (LEDs) exploits InGaN-quantum-dot-based active regions. However, the role of local composition fluctuations inside the quantum dots and their effect of the device characteristics have not yet been examined in sufficient detail. Here, we present numerical simulations of a quantum-dot structure restored from an experimental high-resolution transmission electron microscopy image. A single InGaN island with the size of ten nanometers and nonuniform indium content distribution is analyzed. A number of two- and three-dimensional models of the quantum dot are derived from the experimental image by a special numerical algorithm, which enables electromechanical, continuum k·p, and empirical tight-binding calculations, including emission spectra prediction. Effectiveness of continuous and atomistic approaches are compared, and the impact of InGaN composition fluctuations on the ground-state electron and hole wave functions and quantum dot emission spectrum is analyzed in detail. Finally, comparison of the predicted spectrum with the experimental one is performed to assess the applicability of various simulation approaches. Full article
(This article belongs to the Special Issue Electrical, Optical, and Transport Properties of Semiconductors)
Show Figures

Figure 1

15 pages, 11340 KB  
Article
The Accuracy of Semi-Empirical Quantum Chemistry Methods on Soot Formation Simulation
by Yang Cong, Yu Zhai, Xin Chen and Hui Li
Int. J. Mol. Sci. 2022, 23(21), 13371; https://doi.org/10.3390/ijms232113371 - 2 Nov 2022
Cited by 3 | Viewed by 4712
Abstract
Soot molecules are hazardous compounds threatening human health. Computational chemistry provides efficient tools for studying them. However, accurate quantum chemistry calculation is costly for the simulation of large-size soot molecules and high-throughput calculations. Semi-empirical (SE) quantum chemistry methods are optional choices for balancing [...] Read more.
Soot molecules are hazardous compounds threatening human health. Computational chemistry provides efficient tools for studying them. However, accurate quantum chemistry calculation is costly for the simulation of large-size soot molecules and high-throughput calculations. Semi-empirical (SE) quantum chemistry methods are optional choices for balancing computational costs. In this work, we validated the performances of several widely used SE methods in the description of soot formation. Our benchmark study focuses on, but is not limited to, the validation of the performances of SE methods on reactive and non-reactive MD trajectory calculations. We also examined the accuracy of SE methods of predicting soot precursor structures and energy profiles along intrinsic reaction coordinate(s) (IRC). Finally, we discussed the spin density predicted by SE methods. The SE methods validated include AM1, PM6, PM7, GFN2-xTB, DFTB2, with or without spin-polarization, and DFTB3. We found that the shape of MD trajectory profiles, the relative energy, and molecular structures predicted by SE methods are qualitatively correct. We suggest that SE methods can be used in massive reaction soot formation event sampling and primary reaction mechanism generation. Yet, they cannot be used to provide quantitatively accurate data, such as thermodynamic and reaction kinetics ones. Full article
Show Figures

Figure 1

14 pages, 2033 KB  
Article
Interatomic Potential to Predict the Favored Glass-Formation Compositions and Local Atomic Arrangements of Ternary Al-Ni-Ti Metallic Glasses
by Qilin Yang, Jiahao Li, Wensheng Lai, Jianbo Liu and Baixin Liu
Crystals 2022, 12(8), 1065; https://doi.org/10.3390/cryst12081065 - 29 Jul 2022
Cited by 2 | Viewed by 2752
Abstract
An empirical potential under the formalism of second-moment approximation of tight-binding potential is constructed for an Al-Ni-Ti ternary system and proven reliable in reproducing the physical properties of pure elements and their various compounds. Based on the constructed potential, molecular dynamic simulations are [...] Read more.
An empirical potential under the formalism of second-moment approximation of tight-binding potential is constructed for an Al-Ni-Ti ternary system and proven reliable in reproducing the physical properties of pure elements and their various compounds. Based on the constructed potential, molecular dynamic simulations are employed to study metallic glass formations and their local atomic arrangements. First, a glass-formation range is determined by comparing the stability of solid solutions and their corresponding counterparts, reflecting the possible composition region energetically favored for the formation of amorphous phases. Second, a favored glass-formation composition subregion around Al0.05Ni0.35Ti0.60 is determined by calculating the amorphous driving forces from crystalline-to-amorphous transition. Moreover, various structural analysis methods are used to characterize the local atomic arrangements of Al0.05NixTi0.95-x metallic glasses. We find that the amorphous driving force is positively correlated with glass-formation ability. It is worth noting that the addition of Ni significantly increases the amorphous driving force configurations of fivefold symmetry and structural disorder in Al0.05NixTi0.95-x metallic glasses until the content of Ni reaches approximately 35 at%. Full article
Show Figures

Figure 1

19 pages, 6569 KB  
Article
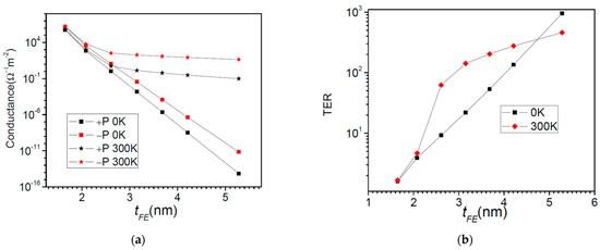
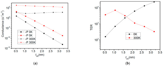
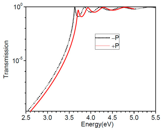
Insights into Electron Transport in a Ferroelectric Tunnel Junction
by Titus Sandu, Catalin Tibeica, Rodica Plugaru, Oana Nedelcu and Neculai Plugaru
Nanomaterials 2022, 12(10), 1682; https://doi.org/10.3390/nano12101682 - 14 May 2022
Cited by 7 | Viewed by 2307
Abstract
The success of a ferroelectric tunnel junction (FTJ) depends on the asymmetry of electron tunneling as given by the tunneling electroresistance (TER) effect. This characteristic is mainly assessed considering three transport mechanisms: direct tunneling, thermionic emission, and Fowler-Nordheim tunneling. Here, by analyzing the [...] Read more.
The success of a ferroelectric tunnel junction (FTJ) depends on the asymmetry of electron tunneling as given by the tunneling electroresistance (TER) effect. This characteristic is mainly assessed considering three transport mechanisms: direct tunneling, thermionic emission, and Fowler-Nordheim tunneling. Here, by analyzing the effect of temperature on TER, we show that taking into account only these mechanisms may not be enough in order to fully characterize the performance of FTJ devices. We approach the electron tunneling in FTJ with the non-equilibrium Green function (NEGF) method, which is able to overcome the limitations affecting the three mechanisms mentioned above. We bring evidence that the performance of FTJs is also affected by temperature–in a non-trivial way–via resonance (Gamow-Siegert) states, which are present in the electron transmission probability and are usually situated above the barrier. Although the NEGF technique does not provide direct access to the wavefunctions, we show that, for single-band transport, one can find the wavefunction at any given energy and in particular at resonant energies in the system. Full article
(This article belongs to the Section Theory and Simulation of Nanostructures)
Show Figures

Figure 1

11 pages, 8890 KB  
Article
Evaluation of Computational Chemistry Methods for Predicting Redox Potentials of Quinone-Based Cathodes for Li-Ion Batteries
by Xuan Zhou, Abhishek Khetan and Süleyman Er
Batteries 2021, 7(4), 71; https://doi.org/10.3390/batteries7040071 - 28 Oct 2021
Cited by 10 | Viewed by 6242
Abstract
High-throughput computational screening (HTCS) is an effective tool to accelerate the discovery of active materials for Li-ion batteries. For the evaluation of organic cathode materials, the effectiveness of HTCS depends on the accuracy of the employed chemical descriptors and their computing cost. This [...] Read more.
High-throughput computational screening (HTCS) is an effective tool to accelerate the discovery of active materials for Li-ion batteries. For the evaluation of organic cathode materials, the effectiveness of HTCS depends on the accuracy of the employed chemical descriptors and their computing cost. This work was focused on evaluating the performance of computational chemistry methods, including semi-empirical quantum mechanics (SEQM), density-functional tight-binding (DFTB), and density functional theory (DFT), for the prediction of the redox potentials of quinone-based cathode materials for Li-ion batteries. In addition, we evaluated the accuracy of three energy-related descriptors: (1) the redox reaction energy, (2) the lowest unoccupied molecular orbital (LUMO) energy of reactant molecules, and (3) the highest occupied molecular orbital (HOMO) energy of lithiated product molecules. Among them, the LUMO energy of the reactant compounds, regardless of the level of theory used for its calculation, showed the best performance as a descriptor for the prediction of experimental redox potentials. This finding contrasts with our earlier results on the calculation of quinone redox potentials in aqueous media for redox flow batteries, for which the redox reaction energy was the best descriptor. Furthermore, the combination of geometry optimization using low-level methods (e.g., SEQM or DFTB) followed by energy calculation with DFT yielded accuracy as good as the full optimization of geometry using the DFT calculations. Thus, the proposed calculation scheme is useful for both the optimum use of computational resources and the systematic generation of robust calculation data on quinone-based cathode compounds for the training of data-driven material discovery models. Full article
(This article belongs to the Special Issue Development and Characterization of Lithium Battery Materials)
Show Figures

Graphical abstract

8 pages, 4823 KB  
Article
Snapshots of the Fragmentation for C70@Single-Walled Carbon Nanotube: Tight-Binding Molecular Dynamics Simulations
by Ji Young Lee, Changhoon Lee, Eiji Osawa, Jong Woan Choi, Jung Chul Sur and Kee Hag Lee
Int. J. Mol. Sci. 2021, 22(8), 3929; https://doi.org/10.3390/ijms22083929 - 10 Apr 2021
Cited by 5 | Viewed by 2808
Abstract
In previously reported experimental studies, a yield of double-walled carbon nanotubes (DWCNTs) at C70@Single-walled carbon nanotubes (SWCNTs) is higher than C60@SWCNTs due to the higher sensitivity to photolysis of the former. From the perspective of pyrolysis dynamics, we would [...] Read more.
In previously reported experimental studies, a yield of double-walled carbon nanotubes (DWCNTs) at C70@Single-walled carbon nanotubes (SWCNTs) is higher than C60@SWCNTs due to the higher sensitivity to photolysis of the former. From the perspective of pyrolysis dynamics, we would like to understand whether C70@SWCNT is more sensitive to thermal decomposition than C60@SWCNT, and the starting point of DWCNT formation, which can be obtained through the decomposition fragmentation of the nanopeapods, which appears in the early stages. We have studied the fragmentation of C70@SWCNT nanopeapods, using molecular dynamics simulations together with the empirical tight-binding total energy calculation method. We got the snapshots of the fragmentation structure of carbon nano-peapods (CNPs) composed of SWCNT and C70 fullerene molecules and the geometric spatial positioning structure of C70 within the SWCNT as a function of dynamics time (for 2 picoseconds) at the temperatures of 4000 K, 5000 K, and 6000 K. In conclusion, the scenario in which C70@SWCNT transforms to a DWCNT would be followed by the fragmentation of C70, after C70, and the SWCNT have been chemically bonding in the early stages. The relative stability of fullerenes in CNPs could be reversed, compared to the ranking of the relative stability of the encapsulated molecules themselves. Full article
Show Figures

Graphical abstract

16 pages, 2286 KB  
Article
Accurate Receptor-Ligand Binding Free Energies from Fast QM Conformational Chemical Space Sampling
by Esra Boz and Matthias Stein
Int. J. Mol. Sci. 2021, 22(6), 3078; https://doi.org/10.3390/ijms22063078 - 17 Mar 2021
Cited by 24 | Viewed by 4235
Abstract
Small molecule receptor-binding is dominated by weak, non-covalent interactions such as van-der-Waals hydrogen bonding or electrostatics. Calculating these non-covalent ligand-receptor interactions is a challenge to computational means in terms of accuracy and efficacy since the ligand may bind in a number of thermally [...] Read more.
Small molecule receptor-binding is dominated by weak, non-covalent interactions such as van-der-Waals hydrogen bonding or electrostatics. Calculating these non-covalent ligand-receptor interactions is a challenge to computational means in terms of accuracy and efficacy since the ligand may bind in a number of thermally accessible conformations. The conformational rotamer ensemble sampling tool (CREST) uses an iterative scheme to efficiently sample the conformational space and calculates energies using the semi-empirical ‘Geometry, Frequency, Noncovalent, eXtended Tight Binding’ (GFN2-xTB) method. This combined approach is applied to blind predictions of the modes and free energies of binding for a set of 10 drug molecule ligands to the cucurbit[n]urils CB[8] receptor from the recent ‘Statistical Assessment of the Modeling of Proteins and Ligands’ (SAMPL) challenge including morphine, hydromorphine, cocaine, fentanyl, and ketamine. For each system, the conformational space was sufficiently sampled for the free ligand and the ligand-receptor complexes using the quantum chemical Hamiltonian. A multitude of structures makes up the final conformer-rotamer ensemble, for which then free energies of binding are calculated. For those large and complex molecules, the results are in good agreement with experimental values with a mean error of 3 kcal/mol. The GFN2-xTB energies of binding are validated by advanced density functional theory calculations and found to be in good agreement. The efficacy of the automated QM sampling workflow allows the extension towards other complex molecular interaction scenarios. Full article
(This article belongs to the Section Molecular Biophysics)
Show Figures

Graphical abstract

19 pages, 2872 KB  
Review
Aggregate-State Effects in the Atomistic Modeling of Organic Materials for Electrochemical Energy Conversion and Storage Devices: A Perspective
by Sergei Manzhos
Molecules 2020, 25(9), 2233; https://doi.org/10.3390/molecules25092233 - 9 May 2020
Cited by 5 | Viewed by 3450
Abstract
Development of new functional materials for novel energy conversion and storage technologies is often assisted by ab initio modeling. Specifically, for organic materials, such as electron and hole transport materials for perovskite solar cells, LED (light emitting diodes) emitters for organic LEDs (OLEDs), [...] Read more.
Development of new functional materials for novel energy conversion and storage technologies is often assisted by ab initio modeling. Specifically, for organic materials, such as electron and hole transport materials for perovskite solar cells, LED (light emitting diodes) emitters for organic LEDs (OLEDs), and active electrode materials for organic batteries, such modeling is often done at the molecular level. Modeling of aggregate-state effects is onerous, as packing may not be known or large simulation cells may be required for amorphous materials. Yet aggregate-state effects are essential to estimate charge transport rates, and they may also have substantial effects on redox potentials (voltages) and optical properties. This paper summarizes recent studies by the author’s group of aggregation effects on the electronic properties of organic materials used in optoelectronic devices and in organic batteries. We show that in some cases it is possible to understand the mechanism and predict specific performance characteristics based on simple molecular models, while in other cases the inclusion of effects of aggregation is essential. For example, it is possible to understand the mechanism and predict the overall shape of the voltage-capacity curve for insertion-type organic battery materials, but not the absolute voltage. On the other hand, oligomeric models of p-type organic electrode materials can allow for relatively reliable estimates of voltages. Inclusion of aggregate state modeling is critically important for estimating charge transport rates in materials and interfaces used in optoelectronic devices or when intermolecular charge transfer bands are important. We highlight the use of the semi-empirical DFTB (density functional tight binding) method to simplify such calculations. Full article
(This article belongs to the Special Issue Molecular Materials for Energy Conversion and Storage Technologies)
Show Figures

Figure 1

14 pages, 4061 KB  
Article
Structural Features of Triethylammonium Acetate through Molecular Dynamics
by Enrico Bodo
Molecules 2020, 25(6), 1432; https://doi.org/10.3390/molecules25061432 - 21 Mar 2020
Cited by 13 | Viewed by 5472
Abstract
I have explored the structural features and the dynamics of triethylammonium acetate by means of semi-empirical (density functional tight binding, DFTB) molecular dynamics. I find that the results from the present simulations agree with recent experimental determinations with only few minor differences in [...] Read more.
I have explored the structural features and the dynamics of triethylammonium acetate by means of semi-empirical (density functional tight binding, DFTB) molecular dynamics. I find that the results from the present simulations agree with recent experimental determinations with only few minor differences in the structural interpretation. A mixture of triethylamine and acetic acid does not form an ionic liquid, but gives rise to a very complex system where ionization is only a partial process affecting only few molecules (1 over 4 experimentally). I have also found that the few ionic couples are stable and remain mainly embedded inside the AcOH neutral moiety. Full article
(This article belongs to the Special Issue Theoretical Computational Description of Ionic Liquids)
Show Figures

Figure 1

11 pages, 1738 KB  
Article
Glycosylceramides Purified from the Japanese Traditional Non-Pathogenic Fungus Aspergillus and Koji Increase the Expression of Genes Involved in Tight Junctions and Ceramide Delivery in Normal Human Epidermal Keratinocytes
by Miyuki Miyagawa, Ayami Fujikawa, Mayu Nagadome, Kanae Kohama, Takatoshi Ogami, Seiichi Kitamura and Hiroshi Kitagaki
Fermentation 2019, 5(2), 43; https://doi.org/10.3390/fermentation5020043 - 24 May 2019
Cited by 17 | Viewed by 5941
Abstract
Koji, which is used for manufacturing Japanese traditional fermented foods, has long been safely used as a cosmetic product. Although its cosmetic effect has been empirically established, the underlying mechanism has not been reported. We and other groups have previously elucidated that [...] Read more.
Koji, which is used for manufacturing Japanese traditional fermented foods, has long been safely used as a cosmetic product. Although its cosmetic effect has been empirically established, the underlying mechanism has not been reported. We and other groups have previously elucidated that koji contains glycosylceramides, including N-2′-hydroxyoctadecanoyl-1-O-β-d-glucosyl-9-methyl-4,8-sphingadienine and N-2′-hydroxyoctadecanoyl-1-O-β-d-galactosyl-9-methyl-4,8-sphingadienine. This led us to hypothesise that koji exerts its cosmetic effect by acting on the keratinocytes through glycosylceramides on the gene level. Therefore, in this study, we investigated the effects of glycosylceramides from various sources on gene expression in normal human epidermal keratinocytes. The results revealed that glycosylceramides purified from white koji and the white koji-producing non-pathogenic fungus Aspergillus luchuensis and A. oryzae increased the expression of occludin (OCLN, an epidermal tight junction protein) and ATP-binding cassette sub-family A member 12 (ABCA12, a cellular membrane transporter), albeit the effect was modest relative to that of ceramides. Indeed, ceramide was increased in the keratinocytes upon koji lipid extract addition. These results indicate that glycosylceramides, which are the major sphingolipids of most natural materials, have an effect of increasing ABCA12 and OCLN expression, and suggest that koji exerts its cosmetic effect by increasing ceramide and tight junctions via glycosylceramides. Full article
Show Figures

Figure 1

41 pages, 3678 KB  
Article
Assessment of Density-Functional Tight-Binding Ionization Potentials and Electron Affinities of Molecules of Interest for Organic Solar Cells Against First-Principles GW Calculations
by Ala Aldin M. H. M. Darghouth, Mark E. Casida, Walid Taouali, Kamel Alimi, Mathias P. Ljungberg, Peter Koval, Daniel Sánchez-Portal and Dietrich Foerster
Computation 2015, 3(4), 616-656; https://doi.org/10.3390/computation3040616 - 4 Dec 2015
Cited by 19 | Viewed by 7840
Abstract
Ionization potentials (IPs) and electron affinities (EAs) are important quantities input into most models for calculating the open-circuit voltage (Voc) of organic solar cells. We assess the semi-empirical density-functional tight-binding (DFTB) method with the third-order self-consistent charge (SCC) correction and [...] Read more.
Ionization potentials (IPs) and electron affinities (EAs) are important quantities input into most models for calculating the open-circuit voltage (Voc) of organic solar cells. We assess the semi-empirical density-functional tight-binding (DFTB) method with the third-order self-consistent charge (SCC) correction and the 3ob parameter set (the third-order DFTB (DFTB3) organic and biochemistry parameter set) against experiments (for smaller molecules) and against first-principles GW (Green’s function, G, times the screened potential, W) calculations (for larger molecules of interest in organic electronics) for the calculation of IPs and EAs. Since GW calculations are relatively new for molecules of this size, we have also taken care to validate these calculations against experiments. As expected, DFTB is found to behave very much like density-functional theory (DFT), but with some loss of accuracy in predicting IPs and EAs. For small molecules, the best results were found with ΔSCF (Δ self-consistent field) SCC-DFTB calculations for first IPs (good to ± 0.649 eV). When considering several IPs of the same molecule, it is convenient to use the negative of the orbital energies (which we refer to as Koopmans’ theorem (KT) IPs) as an indication of trends. Linear regression analysis shows that KT SCC-DFTB IPs are nearly as accurate as ΔSCF SCC-DFTB eigenvalues (± 0.852 eV for first IPs, but ± 0.706 eV for all of the IPs considered here) for small molecules. For larger molecules, SCC-DFTB was also the ideal choice with IP/EA errors of ± 0.489/0.740 eV from ΔSCF calculations and of ± 0.326/0.458 eV from (KT) orbital energies. Interestingly, the linear least squares fit for the KT IPs of the larger molecules also proves to have good predictive value for the lower energy KT IPs of smaller molecules, with significant deviations appearing only for IPs of 15–20 eV or larger. We believe that this quantitative analysis of errors in SCC-DFTB IPs and EAs may be of interest to other researchers interested in DFTB investigation of large and complex problems, such as those encountered in organic electronics. Full article
Show Figures

Graphical abstract

Back to TopTop