Sign in to use this feature.

Years

Between: -

Subjects

remove_circle_outline
remove_circle_outline
remove_circle_outline
remove_circle_outline
remove_circle_outline
remove_circle_outline
remove_circle_outline
remove_circle_outline
remove_circle_outline

Journals

remove_circle_outline
remove_circle_outline
remove_circle_outline
remove_circle_outline
remove_circle_outline
remove_circle_outline
remove_circle_outline
remove_circle_outline
remove_circle_outline
remove_circle_outline
remove_circle_outline
remove_circle_outline
remove_circle_outline
remove_circle_outline
remove_circle_outline
remove_circle_outline
remove_circle_outline
remove_circle_outline
remove_circle_outline
remove_circle_outline
remove_circle_outline

Article Types

Countries / Regions

remove_circle_outline
remove_circle_outline
remove_circle_outline
remove_circle_outline
remove_circle_outline
remove_circle_outline

Search Results (6,891)

Search Parameters:
Keywords = electrochemical application

Order results
Result details
Results per page
Select all
Export citation of selected articles as:
17 pages, 2537 KB  
Article
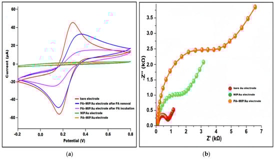
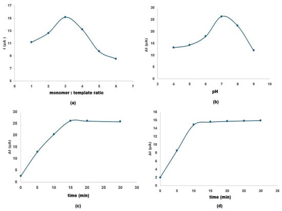
Target-Specific Electrochemical Sensing of Pipecolic Acid via Molecular Imprinting
by Nihal Ermiş
Polymers 2026, 18(9), 1066; https://doi.org/10.3390/polym18091066 (registering DOI) - 28 Apr 2026
Abstract
Pipecolic acid (PA) is an important biomarker associated with peroxisomal and neurological disorders, necessitating the development of rapid, selective, and cost-effective detection methods beyond conventional chromatographic techniques. In this study, a molecularly imprinted electrochemical sensor (PA-MIP/Au) was developed for the selective determination of [...] Read more.
Pipecolic acid (PA) is an important biomarker associated with peroxisomal and neurological disorders, necessitating the development of rapid, selective, and cost-effective detection methods beyond conventional chromatographic techniques. In this study, a molecularly imprinted electrochemical sensor (PA-MIP/Au) was developed for the selective determination of PA. The sensor was fabricated by electropolymerizing pyrrole on a gold electrode in the presence of PA as a template, followed by template removal to create specific recognition cavities. The electrochemical behavior and analytical performance were evaluated using cyclic voltammetry (CV), electrochemical impedance spectroscopy (EIS), and differential pulse voltammetry (DPV) in a ferri/ferrocyanide redox system. The sensor exhibited a linear response over 5–100 µM, with a detection limit of 1.05 µM. This range covers the reported physiological plasma concentrations of pipecolic acid (0.7–2.6 µM) and extends to elevated levels observed in pathological conditions, thereby demonstrating its suitability for clinical and biochemical monitoring applications. The sensor also demonstrated high selectivity against structurally similar amino acids, good repeatability, reproducibility, and stability, retaining over 87% of its initial response after 28 days. Recovery studies in spiked artificial plasma samples yielded values between 97.2% and 98.4%, confirming its applicability in complex matrices. Overall, the proposed sensor offers a simple, rapid, and cost-effective alternative for PA determination with potential for clinical and point-of-care applications. Full article
(This article belongs to the Special Issue Advanced Polymers in Sensor Applications)
Show Figures

Figure 1

36 pages, 2476 KB  
Review
Biodegradable Metals and Corrosion Control: Challenges, Limits and New Opportunities for Innovating in Orthopedic Fixations
by Abdelhakim Cherqaoui, Carlo Paternoster and Diego Mantovani
Materials 2026, 19(9), 1789; https://doi.org/10.3390/ma19091789 (registering DOI) - 28 Apr 2026
Abstract
Biodegradable metals represent a paradigm shift in orthopedic fixation by providing temporary mechanical support synchronized with bone healing while eliminating long-term complications associated with permanent implants. Conventional bioinert alloys, including stainless steels, Ti-based alloys, and Co-Cr alloys, exhibit high elastic moduli that induce [...] Read more.
Biodegradable metals represent a paradigm shift in orthopedic fixation by providing temporary mechanical support synchronized with bone healing while eliminating long-term complications associated with permanent implants. Conventional bioinert alloys, including stainless steels, Ti-based alloys, and Co-Cr alloys, exhibit high elastic moduli that induce stress shielding and often require secondary removal surgeries. In response, resorbable metallic systems based on Mg, Zn, and Fe have emerged as promising alternatives. Among these, Fe-Mn-C alloys stand out for load-bearing applications due to their exceptional strength-ductility balance governed by twinning-induced plasticity mechanisms, tunable degradation behavior, and intrinsic magnetic resonance imaging compatibility through austenitic phase stabilization. Focusing on Fe-Mn-C alloys, this review critically examines the metallurgical design principles underlying stacking fault energy optimization, phase stability, and Mn-controlled electrochemical behavior. Processing innovations, such as additive manufacturing, are discussed as tools to architecture porosity, refine microstructure, and accelerate degradation by graded designs while preserving mechanical structural support during healing. Hybrid metallic-bioactive systems, surface functionalization strategies, and functionally graded porous architectures were evaluated as advanced approaches to enhance osteointegration and modulate degradability. Despite these advances, significant barriers remain for clinical translation. Persistent discrepancies between in vitro and in vivo degradation rates, often attributed to biological encapsulation and degradation product accumulation, complicate lifetime prediction. Localized corrosion at microstructural heterogeneities such as twin boundaries and phase interfaces can undermine structural reliability under load-bearing conditions. Moreover, predictive multi-physics modeling frameworks capable of coupling electrochemical kinetics, mechanical loading, microstructural evolution, and bone remodeling remain underdeveloped, limiting reliable safety-margin estimation. Regulatory progress is further hindered by the absence of standardized testing protocols specifically tailored to Fe-based biodegradable alloys, including harmonized degradation rate windows, validated corrosion-mechanics coupling methodologies, and clinically defined Mn ion release thresholds. This review aims to discuss whether Fe-based alloys, especially Fe-Mn-C alloys, can transition from promising laboratory materials to clinically viable next-generation orthopedic implants capable of delivering patient-specific, mechanically compatible, and biologically synchronized temporary fixation. Full article
Show Figures

Graphical abstract

41 pages, 23754 KB  
Review
Carbon Dot-Based Electrochemical and Optical Sensors for Pharmaceutical Analysis and Point-of-Care Diagnostics
by Ganesh Gollavelli, Chiranjib Patra, Chiranjeevi Korupalli, Manuri Brahmayya and Yong-Chen Ling
Biosensors 2026, 16(5), 246; https://doi.org/10.3390/bios16050246 - 28 Apr 2026
Abstract
Because of their special optical and electrochemical characteristics, superior biocompatibility, adjustable surface chemistry, and inexpensive, scalable synthesis, carbon dots (CDs), including carbon quantum dots and graphene quantum dots, have become powerful and adaptable nanomaterials for advanced pharmaceutical analysis and other toxicants. The sensitive [...] Read more.
Because of their special optical and electrochemical characteristics, superior biocompatibility, adjustable surface chemistry, and inexpensive, scalable synthesis, carbon dots (CDs), including carbon quantum dots and graphene quantum dots, have become powerful and adaptable nanomaterials for advanced pharmaceutical analysis and other toxicants. The sensitive and selective detection of active pharmaceutical substances, degradation products, contaminants, biomarkers, and therapeutic medication levels in complex matrices has shown great promise in recent years with CD-based nanobiosensors. The development of various sensing platforms, such as electrochemical, optical, and dual-mode biosensors, as well as integration into microfluidic, paper-based, and wearable point-of-care (POC) devices, is made possible by their intrinsic fluorescence, effective electron transfer capacity, and ease of functionalization. With an emphasis on sensing mechanisms, biorecognition techniques, and analytical performance, this study critically reviews current developments in CD-based nanobio/chemosensors for pharmaceutical analysis. It includes a thorough discussion of important applications in drug development, stability research, therapeutic drug monitoring, and drug quality control. Along with new developments like green synthesis, AI-assisted signal processing, and smart sensing platforms, current issues with reproducibility, standardization, biocompatibility, and regulatory validation are highlighted. Lastly, prospects for the industrial application and clinical translation of CD-based nanobiosensors are discussed. Full article
(This article belongs to the Special Issue Recent Advances in Biosensors for Pharmaceutical Analysis)
Show Figures

Figure 1

26 pages, 2026 KB  
Article
Response Surface Optimization of Electrocoagulation for Color Removal and COD Reduction in Textile Wastewater
by Henry Michel Zelada Romero, Cristina Vázquez, Alexei Eduardo Zelada Romero, Jesús Rascón, Lily Juarez-Contreras and Juan Carlos Altamirano-Oporto
Symmetry 2026, 18(5), 756; https://doi.org/10.3390/sym18050756 (registering DOI) - 28 Apr 2026
Abstract
Textile wastewater contains recalcitrant dyes and organic matter, requiring efficient, scalable treatment technologies. This study optimized an aluminum-based electrocoagulation (EC) process to maximize color removal (Y1) and chemical oxygen demand (COD) reduction (Y2) using synthetic textile wastewater (SWW), and [...] Read more.
Textile wastewater contains recalcitrant dyes and organic matter, requiring efficient, scalable treatment technologies. This study optimized an aluminum-based electrocoagulation (EC) process to maximize color removal (Y1) and chemical oxygen demand (COD) reduction (Y2) using synthetic textile wastewater (SWW), and evaluated the practical transferability of the optimized conditions using real textile wastewater (RTW). A rotatable central composite design (CCD) coupled with response surface methodology (RSM) was used to assess the effects of treatment time, NaCl concentration, and applied voltage on both responses. From a modeling perspective, the results reveal the coexistence of symmetric and asymmetric response behaviors; quadratic effects define locally symmetric regions around the optimum, while interaction terms introduce asymmetry due to coupled electrochemical phenomena. Under the optimized conditions (16.5 min, 2.9 g·L−1 NaCl, 18 V), removal efficiencies reached 99% for color and 97% for COD reduction, with a specific energy consumption of 6.6 kWh·m−3 and sludge moisture content of 92–94%. To assess applicability beyond bench scale, the optimized voltage, current, and electrolyte concentration were applied to a 50 L batch of RTW collected from the final rinsing stage of a denim dyeing process. Treatment time was extended to 84 min to compensate for the lower current density at the larger scale; under these conditions, 95% color removal and 80% COD reduction were achieved. Full article
(This article belongs to the Special Issue Studies of Symmetry and Asymmetry in Electrochemistry)
Show Figures

Figure 1

15 pages, 1311 KB  
Article
Experimental Calibration of a Weibull Model for Corrosion Mass Loss in Steel Pipe Specimens Under Simulated Vietnamese Marine Conditions
by Trung Hieu Le, Thi Tuyet Trinh Nguyen and Quoc Trinh Ngo
Coatings 2026, 16(5), 529; https://doi.org/10.3390/coatings16050529 (registering DOI) - 28 Apr 2026
Abstract
Corrosion of steel pipe specimens in marine environments plays a critical role in the durability and service-life design of coastal and offshore structures. In Vietnam, the scarcity of long-term field corrosion data necessitates the application of accelerated testing and statistical modeling to characterize [...] Read more.
Corrosion of steel pipe specimens in marine environments plays a critical role in the durability and service-life design of coastal and offshore structures. In Vietnam, the scarcity of long-term field corrosion data necessitates the application of accelerated testing and statistical modeling to characterize corrosion degradation. In this study, a two-parameter Weibull model is employed to describe the time-dependent corrosion mass loss of steel pipe specimens under simulated Vietnamese marine conditions. Accelerated corrosion tests are conducted using an impressed current technique in artificial seawater, and equivalent exposure durations ranging from 4.5 to 100 years are determined based on Faraday’s law. This conversion is based on the assumption of uniform corrosion and constant electrochemical conditions, which may not fully represent real marine environments. The Weibull parameters are calibrated using early-stage corrosion data, yielding a shape parameter k = 1.226 and a scale parameter η = 70.761 years. Comparison with experimental results indicates that the model captures the monotonic increase in cumulative corrosion mass loss, although it overestimates the measurements at intermediate exposure durations. The validation results show prediction errors of MAE = 13.06% and RMSE = 14.13%, while sensitivity analysis reveals that long-term predictions are more sensitive to the shape parameter than to the scale parameter. This study also discusses the limitations of using accelerated corrosion testing and Faraday’s law for scaling to long-term predictions, particularly regarding differences in corrosion product morphology and the impact of real-world environmental variability. The calibrated Weibull model provides a statistical approximation for durability assessment of steel pipe structures under Vietnamese marine conditions, particularly in cases where long-term field corrosion data are unavailable. Full article
Show Figures

Figure 1

16 pages, 2744 KB  
Article
PdMo Bimetallene as a High-Performance Electrochemical Sensor for the Selective Detection of Dopamine
by Yuting Zhong, Lei Li and Yunbing Wang
Int. J. Mol. Sci. 2026, 27(9), 3861; https://doi.org/10.3390/ijms27093861 - 27 Apr 2026
Abstract
Dopamine (DA) is a crucial catecholamine neurotransmitter, and its abnormal levels are closely associated with neurological disorders such as Parkinson’s disease. Electrochemical sensing technology offers a rapid and cost-effective platform for DA detection; however, it often suffers from interference from coexisting biomolecules such [...] Read more.
Dopamine (DA) is a crucial catecholamine neurotransmitter, and its abnormal levels are closely associated with neurological disorders such as Parkinson’s disease. Electrochemical sensing technology offers a rapid and cost-effective platform for DA detection; however, it often suffers from interference from coexisting biomolecules such as ascorbic acid (AA) and uric acid (UA). In this study, we report a novel electrochemical biosensor based on PdMo bimetallene, a nanomaterial synthesized via a facile wet-chemical approach, aiming to enhance the detection performance and selectivity for DA. PdMo bimetallene is a highly curved, atomically thin two-dimensional nanosheet featuring abundant strained sites and a high density of active centers, enabling the selective and sensitive detection of DA. The results demonstrate that the as-prepared PdMo bimetallene-modified glassy carbon electrode (GCE) exhibits excellent electrocatalytic activity toward the oxidation of DA. The sensor displays a good linear response over the concentration range from 10 nM to 200 µM, with an ultrahigh sensitivity of 80 µA·µM−1 cm−2 and a low detection limit of 0.14 µM (S/N = 3). Owing to the synergistic electronic effect between Pd and Mo, the high density of exposed active sites, and the unique strained lattice structure of the bimetallene, the sensor enables accurate determination of DA concentrations even in the presence of interfering species such as AA and UA. In summary, the successfully fabricated PdMo bimetallene-based sensor offers the advantages of low cost, facile synthesis, a wide linear range, and high sensitivity, positioning it as a promising candidate for neurotransmitter detection applications. Full article
(This article belongs to the Section Materials Science)
Show Figures

Figure 1

15 pages, 6148 KB  
Article
Silver Nanoparticle-Decorated Graphene Oxide Composite as a Non-Enzymatic Electrochemical Urea Sensor
by Chanatip Sungprasit, Kasidit Janbooranapinij, Khin Kalyar Nyein, Jidapa Chantaramethakul, Wei Lun Ang, Oratai Jongprateep, Ratchatee Techapiesancharoenkij and Gasidit Panomsuwan
Catalysts 2026, 16(5), 381; https://doi.org/10.3390/catal16050381 - 27 Apr 2026
Abstract
Rapid and accurate urea detection is of considerable importance in environmental monitoring and biomedical analysis, as abnormal urea levels are associated with water contamination and various health conditions. In this study, a silver nanoparticle-decorated graphene oxide (Ag/GO) composite was synthesized via a simple [...] Read more.
Rapid and accurate urea detection is of considerable importance in environmental monitoring and biomedical analysis, as abnormal urea levels are associated with water contamination and various health conditions. In this study, a silver nanoparticle-decorated graphene oxide (Ag/GO) composite was synthesized via a simple chemical reduction method. The characterization results confirmed the successful formation of well-crystalline Ag nanoparticles (7.44 ± 1.46 nm) with uniform dispersion on GO, with a Ag loading of 39.1 wt%. The electrochemical performance for urea detection was evaluated in an alkaline medium (0.1 M NaOH) using cyclic voltammetry and chronoamperometry in a three-electrode system. The Ag/GO-modified glassy carbon electrode exhibited a strong electrocatalytic response toward urea oxidation, with a linear detection range of 1–10 mM. The sensitivity and limit of detection (LOD) were 36.8 μA mM−1 and 0.11 mM, respectively. The sensor also demonstrated excellent selectivity in the presence of common interfering species, including uric acid, ascorbic acid, and glucose, along with good reproducibility, repeatability, and stability. Furthermore, the practical applicability of the sensor was assessed in real samples, where satisfactory recovery was achieved in tap water, while reduced performance was observed in milk due to matrix effects. These findings indicate that the Ag/GO composite can serve as an effective alternative electrode material for non-enzymatic electrochemical detection of urea, particularly in wastewater and biological systems. Full article
(This article belongs to the Special Issue Young Researchers in Electrocatalysis)
Show Figures

Figure 1

17 pages, 3146 KB  
Article
Corrosion Resistance of High-Entropy Alloys in Plateau Salt-Lake Environments
by Shucheng Yang, Jiahao Liu, Shuwen Guo, Jing Zhang, Huaikun Zhu, Zhenjie Ren, Yanting Pan, Lida Che, Zhanfang Wu, Xiangyang Li and Dianchun Ju
Metals 2026, 16(5), 469; https://doi.org/10.3390/met16050469 (registering DOI) - 26 Apr 2026
Abstract
The corrosion behavior of high-entropy alloys under cyclic wet–dry conditions simulating the salt-lake atmosphere was investigated. The composition, morphology, and electrochemical properties of the corrosion products formed on the alloy surface after corrosion were systematically analyzed. The results show that in a chloride-containing [...] Read more.
The corrosion behavior of high-entropy alloys under cyclic wet–dry conditions simulating the salt-lake atmosphere was investigated. The composition, morphology, and electrochemical properties of the corrosion products formed on the alloy surface after corrosion were systematically analyzed. The results show that in a chloride-containing environment with alternating temperature and humidity, the Cr-containing oxide passive film formed on the alloy surface effectively inhibits the corrosion process in the early stages. In addition, electrochemical results show that the charge transfer resistance in the MgCl2 system reaches 4.96 × 105 Ω·cm2 at prolonged exposure, which is significantly higher than that in the NaCl system, indicating a lower corrosion rate. However, over time, the passive film undergoes localized rupture due to chloride ion attack and stress, leading to pitting corrosion and expansion toward the substrate. This study reveals the corrosion mechanism of high-entropy alloys in high-altitude salt-lake atmospheric environments and provides crucial insights for material design and performance optimization for their engineering applications in salt-lake scenarios. Full article
20 pages, 11845 KB  
Article
Development of an Electrochemical Platform Based on Zinc Oxide Nanoparticles Embedded onto Montmorillonite Clay Functionalized with Phenylalanine for the Nano-Sensing of Acetaminophen in Pharmaceutical Tablets
by Gildas Calice Wabo, Alex Vincent Somba, Sengor Gabou Fogang, Cyrille Ghislain Fotsop, Astree Lottie Djuffo Yemene, Léopoldine Sonfack Guenang, Marcel Cédric Deussi Ngaha, Gullit Deffo and Evangeline Njanja
Biosensors 2026, 16(5), 244; https://doi.org/10.3390/bios16050244 - 26 Apr 2026
Viewed by 36
Abstract
This study describes the development of an electrochemical sensor for quantitatively measuring acetaminophen (ACOP) in drug tablets. The sensor design is based on the modification of glassy carbon electrode (GCE) using zinc oxide nanoparticles (ZnONPs) embedded in a naturally occurring clay matrix (Sa) [...] Read more.
This study describes the development of an electrochemical sensor for quantitatively measuring acetaminophen (ACOP) in drug tablets. The sensor design is based on the modification of glassy carbon electrode (GCE) using zinc oxide nanoparticles (ZnONPs) embedded in a naturally occurring clay matrix (Sa) functionalized with phenylalanine (Phe). To ensure that the ZnONPs are homogeneously dispersed on the clay surface, the nanocomposite was synthesized using an impregnation approach and low-temperature heat treatment. The amino acid promotes specific interactions with ACOP through hydrogen bonding and π-π stacking, acting as both a stabilizing agent and a molecular recognition moiety. FTIR, UV-Vis, XRD, and FESEM/EDX mapping were employed to fully characterize the developed material (ZnONPs-Sa/Phe). Cyclic voltammetry (CV) and differential pulse voltammetry (DPV) were used for the electrochemical determination of ACOP using the modified electrode GCE/ZnONPs-Sa/Phe. Parameters susceptible to affecting the sensitivity of the developed sensor were optimized, revealing that 5 µL of the suspension ZnONPs-Sa/Phe immobilized on GCE was ideal for the sensing of ACOP in a phosphate buffer solution at pH 2.0. The calibration curve obtained by plotting peak current intensity against ACOP concentration exhibited linear behavior within the concentration range between 0.02 µM and 0.28 µM, enabling determination of the limits of detection (LOD) and quantitation (LOQ) at 8.54 × 10−9 M and 2.84 × 10−8 M, respectively. The reproducibility, stability, and selectivity of the sensor were evaluated, followed by its application to the nano-sensing of ACOP in Africure and Doliprane tablets, yielding satisfactory results. The simplicity, affordability, and high analytical sensitivity of the developed sensor make this sensing platform a promising tool for pharmaceutical quality control applications. Full article
Show Figures

Figure 1

11 pages, 4548 KB  
Article
Preparation and Anodic Bonding Performance of (PEG)10LiClO4/NaAlOSiO Solid Electrolyte for Packaging
by Chao Du and Yali Zhao
Int. J. Mol. Sci. 2026, 27(9), 3837; https://doi.org/10.3390/ijms27093837 - 26 Apr 2026
Viewed by 69
Abstract
In this study, a polyethylene glycol (PEG)-based solid electrolyte composite (PEG)10LiClO4/NaAlOSiO suitable for anodic bonding packaging was successfully fabricated via a combined ball milling and hot pressing process. The micromorphology, ion transport characteristics, and mechanical packaging properties of the [...] Read more.
In this study, a polyethylene glycol (PEG)-based solid electrolyte composite (PEG)10LiClO4/NaAlOSiO suitable for anodic bonding packaging was successfully fabricated via a combined ball milling and hot pressing process. The micromorphology, ion transport characteristics, and mechanical packaging properties of the composite were systematically investigated using characterization techniques including electrochemical impedance spectroscopy, X-ray diffraction, scanning electron microscopy, and anodic bonding performance tests. The results demonstrate that doping with NaAlOSiO molecular sieve can effectively reduce the crystallinity of the polymer matrix, construct more efficient carrier transport pathways, and simultaneously enhance the ionic conductivity and mechanical properties of the material. When the mass fraction of NaAlOSiO doping is 8 wt.%, the composite exhibits a room temperature ionic conductivity of up to 1.31 × 10−5 S·cm−1. Under room temperature and a bonding voltage of 800 V, the sample with this doping ratio achieves the optimal anodic bonding with metallic Al, and the tensile strength of the bonding interface reaches 5.93 MPa, showing excellent application prospects in micro–nano-packaging. Full article
Show Figures

Figure 1

12 pages, 6236 KB  
Article
A Novel Dual-Gradient Patterned Wettability Current Collector for Passive DMFCs
by Yingli Zhu, Leyao Ban, Yingying Jing and Yangyang Cheng
Nanomaterials 2026, 16(9), 518; https://doi.org/10.3390/nano16090518 (registering DOI) - 25 Apr 2026
Viewed by 225
Abstract
Direct methanol fuel cells (DMFCs) offer significant advantages including high energy density and rapid refueling, making them promising power sources for portable electronic products. However, their practical application, particularly in passive systems, is hindered by critical mass transport limitations: water flooding in the [...] Read more.
Direct methanol fuel cells (DMFCs) offer significant advantages including high energy density and rapid refueling, making them promising power sources for portable electronic products. However, their practical application, particularly in passive systems, is hindered by critical mass transport limitations: water flooding in the cathode and CO2 bubble blockage in the anode. Herein, a novel dual-gradient patterned wettability current collector (CC) was designed to alleviate this mass transport impedance. The design uniquely integrates wedge-shaped gradients with surface energy gradients to create a unified, self-driven mechanism for efficient water and CO2 bubble transport at both electrodes. A mathematical model was developed to quantitatively evaluate the effects of the dual-gradient structure. The results confirm that water removal is enhanced when the cathode current collector features a hydrophobic periphery with a dual-gradient patterned wettability interior on the gas-diffusion-layer side and a fully hydrophilic air-side surface, whereas an inverted pattern facilitates anode CO2 removal. Optimal fabrication parameters on 316 L stainless steel were established by investigating laser scanning conditions and low-surface-energy agent concentrations. The experimental results show that the passive DMFCs incorporating the optimized current collectors delivered marked performance improvements. At 1 mol·L−1 methanol, the novel anode and cathode current collectors increased peak power density by 15.6% and 14.5%, respectively. Electrochemical impedance spectroscopy revealed a 31.4% and 31.9% reduction in mass transfer resistance of the cell with novel anode and cathode current collectors, respectively, confirming improved gas–liquid self-driven efficiency. Furthermore, the new cells exhibited substantially enhanced long-term stability over 18 h of continuous discharge, attributed to the robust wettability achieved via laser–silane modification. Overall, these findings suggest that the proposed dual-gradient wettability design is a promising method for improving internal mass transport, potentially supporting the development of more robust passive DMFCs. Full article
Show Figures

Figure 1

27 pages, 624 KB  
Systematic Review
Heavy Metal Contamination in Foods: Advances in Detection Technologies, Regulatory Challenges, Health Risks, and Implications for Sustainable Food Safety
by Diego A. Hernández-Montoya, Ana G. Castañeda-Miranda, Margarita L. Martinez-Fierro, Alfonso Talavera-Lopez, Remberto Sandoval-Aréchiga, Jose. R. Gomez-Rodriguez, Víktor I. Rodríguez-Abdalá, Rodrigo Castañeda-Miranda, Luis Alberto Flores-Chaires, Sodel Vazquez-Reyes and Salvador Ibarra Delgado
Sustainability 2026, 18(9), 4280; https://doi.org/10.3390/su18094280 (registering DOI) - 25 Apr 2026
Viewed by 638
Abstract
Heavy metal contamination of foods remains a persistent global challenge for food safety and public health, driven by industrialization, mining activities, intensive agriculture, and ongoing environmental degradation. This scoping review synthesizes peer-reviewed literature on the occurrence of priority toxic metals—arsenic, cadmium, lead, mercury, [...] Read more.
Heavy metal contamination of foods remains a persistent global challenge for food safety and public health, driven by industrialization, mining activities, intensive agriculture, and ongoing environmental degradation. This scoping review synthesizes peer-reviewed literature on the occurrence of priority toxic metals—arsenic, cadmium, lead, mercury, and nickel—in food matrices, with emphasis on contamination pathways, analytical detection strategies, and documented human health effects. The reviewed studies reveal widespread accumulation of heavy metals in staple foods, including cereals, vegetables, seafood, and processed products, with concentrations frequently approaching or exceeding international regulatory limits, particularly in regions exposed to strong anthropogenic pressure. Conventional laboratory-based techniques, such as atomic absorption spectrometry and inductively coupled plasma methods, remain the reference standards for quantitative determination and regulatory compliance; however, their application to large-scale or continuous monitoring is often constrained by cost, infrastructure, and operational complexity. Consequently, increasing attention has been directed toward emerging detection approaches, including portable X-Ray fluorescence, Raman/SERS spectroscopy, electrochemical biosensors, electronic tongues, and in situ magnetic measurements, as complementary tools for rapid screening and field-based surveillance. Among these, environmental magnetism and in situ magnetic techniques stand out as non-destructive, low-cost proxies capable of identifying metal-associated particulate contamination linked to food production systems. Chronic dietary exposure to heavy metals is consistently associated with neurotoxicity, nephrotoxicity, carcinogenicity, and oxidative stress, underscoring the need for integrated, multi-tiered monitoring frameworks to support early detection, risk assessment, and prevention. Full article
Show Figures

Figure 1

18 pages, 1027 KB  
Article
State of Health Estimation for Lithium-Ion Batteries Based on Alternating Electrical Signals Within a Specific Frequency Range
by Bo Rao, Jinqiao Du, Jie Tian, Weige Zhang, Xinyuan Fan and Tianrun Yu
Batteries 2026, 12(5), 153; https://doi.org/10.3390/batteries12050153 (registering DOI) - 24 Apr 2026
Viewed by 116
Abstract
State of Health (SOH) estimation of lithium-ion batteries is a critical and challenging requirement in advanced battery management technologies. As an important parameter, battery impedance contains significant electrochemical information that can reflect the state of health of batteries. In this study, a SOH [...] Read more.
State of Health (SOH) estimation of lithium-ion batteries is a critical and challenging requirement in advanced battery management technologies. As an important parameter, battery impedance contains significant electrochemical information that can reflect the state of health of batteries. In this study, a SOH estimation method is proposed based on alternating electrical signals. First, an aging test was carried out using commercial 18650-type batteries. Considering the current uncertainty in practical applications, tests under different discharge conditions were conducted to obtain the capacity and wide frequency band impedance data of each battery throughout its life cycle. Then, important features at specific frequencies were extracted from the impedance data, and an interpretable analysis of the features was performed using the distribution of relaxation times (DRTs). Finally, the impedance features were combined with the Gaussian process regression algorithm in machine learning to estimate and validate the SOH. The results show that using fixed-frequency impedance features can achieve accurate estimation. The average value of the maximum absolute error of each battery under different working conditions can be controlled within 1.59%. With the development of embedded chips and online measurement technology, battery management systems can obtain important impedance features by applying alternating electrical signals within a certain frequency range, thus achieving online estimation of SOH. Full article
(This article belongs to the Special Issue Advanced Intelligent Management Technologies of New Energy Batteries)
2 pages, 146 KB  
Editorial
Electrochemical (Bio)Sensors as Promising Analytical Tools in the Analysis of Soils, Plants and Environmental Monitoring
by Stella Girousi
Biosensors 2026, 16(5), 241; https://doi.org/10.3390/bios16050241 - 24 Apr 2026
Viewed by 209
Abstract
The present Special Issue, entitled “Electrochemical (Bio)Sensors as Promising Analytical Tools in the Analysis of Soils, Plants and Environmental Monitoring”, aims to provide an up-to-date overview of recent advances in electroanalytical techniques and electrochemical (bio)sensors, with particular emphasis on their applications in environmental [...] Read more.
The present Special Issue, entitled “Electrochemical (Bio)Sensors as Promising Analytical Tools in the Analysis of Soils, Plants and Environmental Monitoring”, aims to provide an up-to-date overview of recent advances in electroanalytical techniques and electrochemical (bio)sensors, with particular emphasis on their applications in environmental systems, agriculture, and biological matrices [...] Full article
25 pages, 1750 KB  
Article
Eco-Friendly Corrosion Inhibition of OLC45 Steel in H2SO4 Solution Using Rhus typhina L. Plant Extracts
by Denisa-Ioana Răuță (Gheorghe), Florina Brânzoi, Sorin Marius Avramescu, Roxana-Doina Truşcă and Ecaterina Matei
Technologies 2026, 14(5), 256; https://doi.org/10.3390/technologies14050256 - 24 Apr 2026
Viewed by 94
Abstract
This study focuses on the evaluation of eco-friendly corrosion inhibitors derived from extracts of Rhus typhina L. leaves, collected in August during the summer season, on OLC45 metal surfaces in a 0.5 M H2SO4 corrosive environment. The extracts were obtained [...] Read more.
This study focuses on the evaluation of eco-friendly corrosion inhibitors derived from extracts of Rhus typhina L. leaves, collected in August during the summer season, on OLC45 metal surfaces in a 0.5 M H2SO4 corrosive environment. The extracts were obtained using the microwave extraction technique and characterized by HPLC. The protective properties of OLC45 coated with LESRT (leaf extract collected in summer from Rhus typhina L.) were examined by potentiostatic and potentiodynamic polarization procedures and electrochemical impedance spectroscopy (EIS) in 0.5 M H2SO4. The application of the Langmuir isotherm revealed high values of the adsorption constant and standard free energies (ΔG°ads), suggesting a possible mixed adsorption process with an increased tendency toward chemisorption. The influence of temperature on the electrochemical behavior of OLC45 samples in H2SO4, both in the absence and presence of two extracts derived from Rhus typhina leaves at a concentration of 1000 ppm, was investigated over the temperature range of 293–333 K. A comparison of the two inhibitors’ effectiveness revealed high inhibitory efficiency, up to 91% at 1000 ppm LESRT1 (methanol/double-distilled water (50%:50%, v/v)) and 92% for LESRT2 (ethanol/double-distilled water (50%:50%, v/v)) at 1000 ppm LESRT2. Full article
(This article belongs to the Section Environmental Technology)
Back to TopTop