Sign in to use this feature.

Years

Between: -

Subjects

remove_circle_outline
remove_circle_outline
remove_circle_outline
remove_circle_outline
remove_circle_outline
remove_circle_outline
remove_circle_outline
remove_circle_outline
remove_circle_outline

Journals

remove_circle_outline
remove_circle_outline
remove_circle_outline
remove_circle_outline
remove_circle_outline
remove_circle_outline
remove_circle_outline
remove_circle_outline
remove_circle_outline
remove_circle_outline
remove_circle_outline
remove_circle_outline

Article Types

Countries / Regions

remove_circle_outline
remove_circle_outline
remove_circle_outline
remove_circle_outline
remove_circle_outline
remove_circle_outline
remove_circle_outline

Search Results (1,936)

Search Parameters:
Keywords = edge flow

Order results
Result details
Results per page
Select all
Export citation of selected articles as:
23 pages, 10517 KB  
Article
Effect of Trailing-Edge Thickening on Aerodynamic and Flow-Field Characteristics of Wind Turbine Airfoil
by Xiaobo Zheng, Peng Qin and Sheng Xu
J. Mar. Sci. Eng. 2026, 14(6), 555; https://doi.org/10.3390/jmse14060555 - 16 Mar 2026
Abstract
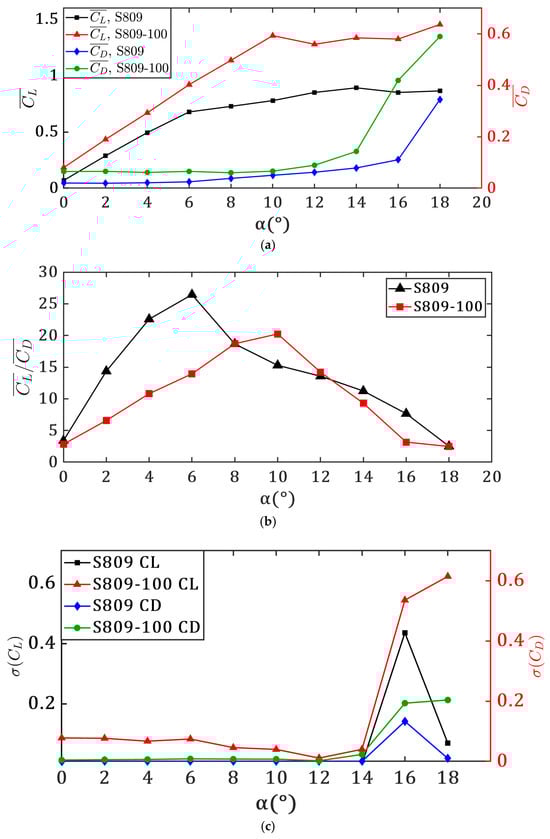
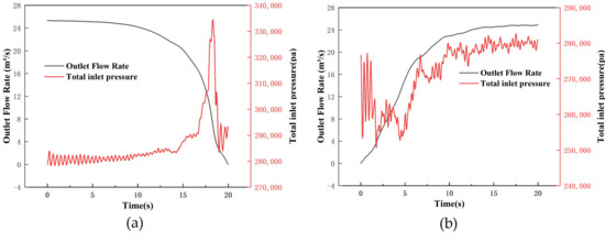
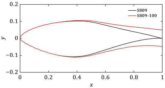
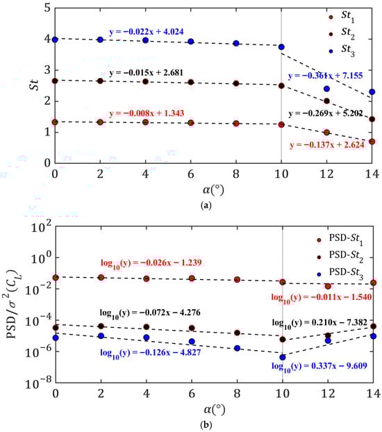
The trailing-edge design of a wind turbine airfoil is critical for balancing the aerodynamic performance and structural robustness of a wind turbine blade. In this paper, the S809 airfoil and its blunt trailing-edge variant, the S809-100 airfoil, are taken as the research objects. [...] Read more.
The trailing-edge design of a wind turbine airfoil is critical for balancing the aerodynamic performance and structural robustness of a wind turbine blade. In this paper, the S809 airfoil and its blunt trailing-edge variant, the S809-100 airfoil, are taken as the research objects. The aerodynamic and flow-field characteristics of both airfoils are analyzed by computational fluid dynamics, which is validated by U.S. National Renewable Energy Laboratory experiments and wind tunnel particle image velocimetry. The results show that the S809-100 airfoil achieves a higher lift coefficient across the entire angle of attack (α) range 0–18°, with a superior lift-to-drag ratio within 8–12°. Three distinct states of aerodynamic response are identified for both airfoils, based on time series and spectral features of lift and drag coefficients, and flow-field structures: steady convergence state, periodic fluctuation state, and irregular fluctuation state. The two airfoils differ significantly in aerodynamic response transition with respect to α: for the S809 airfoil, the aerodynamic response remains in a steady convergence state up to α=16° before shifting to a periodic fluctuation state, while for the S809-100 airfoil, it exhibits a periodic fluctuation state from α=0° and transitions to an irregular fluctuation state beyond α=14.2°. This difference stems from trailing-edge thickening, which induces flow unsteadiness in the S809-100 airfoil. This shift in the aerodynamic response from the periodic fluctuation state to the irregular fluctuation state is attributed to the transition from single-frequency large-scale vortex shedding to a multi-scale vortex interaction, confirmed via spectral and flow-field analyses. This study focuses on the correlated flow structures of wind turbine airfoils and deepens the understanding of unsteady aerodynamic responses; the combined analysis of enhanced aerodynamic performance and induced unsteady fluctuation due to trailing-edge thickening offers a valuable reference for wind turbine blade design. Full article
(This article belongs to the Topic Advances in Wind Energy Technology: 2nd Edition)
Show Figures

Figure 1

43 pages, 6922 KB  
Article
Multi-Flow Hybrid Task Offloading Scheme for Multimodal High-Load V2I Services
by Weiqi Luo, Yaqi Hu, Maoqiang Wu, Yijie Zhou, Rong Yu and Junbin Qin
Electronics 2026, 15(6), 1229; https://doi.org/10.3390/electronics15061229 - 16 Mar 2026
Abstract
In the Internet of Vehicles (IoV), connected vehicles generate high-load perception tasks with large-scale and multimodal sensitive data, imposing strict requirements on latency, computing, and privacy. Existing solutions still suffer from high task service latency and privacy risks. To address these issues, this [...] Read more.
In the Internet of Vehicles (IoV), connected vehicles generate high-load perception tasks with large-scale and multimodal sensitive data, imposing strict requirements on latency, computing, and privacy. Existing solutions still suffer from high task service latency and privacy risks. To address these issues, this paper proposes an integrated framework that jointly considers multi-flow task offloading, adaptive privacy preservation, and latency-aware resource incentive mechanism. Specifically, we propose a Location-Aware and Trust-based (LA-Trust) dual-node task offloading algorithm based on deep reinforcement learning (DRL), which treats pre-partitioned subtasks as multiple parallel flows and enables flow-level collaborative offloading optimization across neighboring nodes, allows subtask data uploading and processing to proceed concurrently, and incorporates node security into decision making. To further enhance privacy protection, a Distribution-Aware Local Differential Privacy (DA-LDP) algorithm is designed to adaptively inject artificial noise according to data heterogeneity, balancing privacy protection and task execution accuracy. In addition, a Delay-Cost Reverse Auction (DC-RA) algorithm is proposed to further reduce latency by introducing wireless channel modeling between idle vehicles and edge nodes into the incentive mechanism. Experimental results show that the proposed framework improves task execution accuracy by 38% and reduces offloading cost, delay, incentive cost, and auction communication latency by 64.41%, 64.64%, 19%, and 44%, respectively, while more than 60% of tasks are offloaded to high-trust nodes. Full article
Show Figures

Figure 1

18 pages, 11977 KB  
Article
Sediment Erosion of a Centrifugal Pump During Startup and Shutdown Processes Considering of Transient Flow in Pump Station
by Weiguo Zhao, Yahui Fan and Honggang Fan
Fluids 2026, 11(3), 77; https://doi.org/10.3390/fluids11030077 - 13 Mar 2026
Viewed by 106
Abstract
This study employed the Euler–Lagrange method and the Oka erosion model to numerically simulate sediment erosion in a centrifugal pump during the startup and shutdown processes. With a sediment particle size of 0.25 mm and a concentration of 0.135 kg/m3, the [...] Read more.
This study employed the Euler–Lagrange method and the Oka erosion model to numerically simulate sediment erosion in a centrifugal pump during the startup and shutdown processes. With a sediment particle size of 0.25 mm and a concentration of 0.135 kg/m3, the erosion distribution characteristics were analyzed considering the transient flow in the pump station. The results reveal that the impeller suffers the most severe erosion, and the erosion area is affected by the flow rate. At high flow rates, because of inertial and centrifugal forces, erosion concentrates near the shroud at the blade outlet. At low flow rates, vortices generated within the impeller passages cause particles to impact the mid-section of the blades, resulting in erosion in that area. In the inlet section, erosion primarily occurs on the outer wall surface with a relatively low severity at high flow rates, while vortices that occur at the outlet under low flow rates intensify localized erosion. Furthermore, owing to the hysteresis effect of the flow, the erosion during the startup process is more severe than during the shutdown process. In the fixed guide vane zone, at high flow rates, erosion is mainly concentrated in the leading edge and near the covers. At low flow rates, vortices generated between the fixed guide vanes lead to particle impacts on the vane surfaces near the inlet, causing severe localized erosion in this area. In the volute, erosion exhibits a spiral distribution pattern at high flow rates. When the flow rate changes rapidly, the flow field around the tongue region becomes unstable, inducing local erosion there. Full article
(This article belongs to the Special Issue Multiphase Flow and Fluid Machinery)
Show Figures

Figure 1

21 pages, 836 KB  
Article
Trace-LogVector-Based Relational Retrieval for Conversational System Log Analysis
by Sun-Chul Park and Young-Han Kim
Sensors 2026, 26(6), 1806; https://doi.org/10.3390/s26061806 - 12 Mar 2026
Viewed by 162
Abstract
System logs generated in IoT-based and sensor-driven cloud environments encode execution traces and complex relationships among services, functions, and data stores. In many IoT deployments, telemetry is pre-processed at the edge and then integrated into backend services (e.g., application servers and databases) for [...] Read more.
System logs generated in IoT-based and sensor-driven cloud environments encode execution traces and complex relationships among services, functions, and data stores. In many IoT deployments, telemetry is pre-processed at the edge and then integrated into backend services (e.g., application servers and databases) for analytics and operations. During this integration, service executions record relational dependencies (e.g., function-to-data-store interactions) as operational logs (or aggregated statistics), which constitute key evidence for operating sensor-driven services. We therefore evaluate TLV using publicly reproducible backend execution logs as a representative backend model and discuss the generality and limitations of this choice. However, most existing retrieval-augmented generation (RAG) approaches remain document-centric, representing logs as flat textual chunks that fail to preserve execution flow and entity relationships, which are critical for diagnosing complex service execution pipelines in sensor-driven cloud backends. In this study, we propose Trace-LogVector (TLV), a relational log representation that transforms system logs into trace-level retrieval units while explicitly preserving execution order and entity interactions. TLV is constructed based on the Chunk as Relational Data (CARD) design principle, which represents execution flows using entity-centric multi-chunk structures rather than single aggregated text chunks. To evaluate the impact of relational log representation, we conduct controlled experiments comparing single-chunk and CARD-based multi-chunk TLV under identical embedding and retrieval settings. Retrieval performance is quantitatively assessed using Hit@5 and Mean Reciprocal Rank at 5 (MRR@5). Experimental results show that the proposed multi-chunk TLV achieves a Hit@5 of 1.000 and an MRR@5 of 0.900, consistently outperforming the single-chunk baseline across all evaluation queries. These findings demonstrate that preserving execution contexts and entity relationships as relational retrieval units is a key factor in improving RAG-based system log analysis for monitoring and diagnosing large-scale sensor networks and cloud systems. Full article
(This article belongs to the Section Internet of Things)
Show Figures

Figure 1

32 pages, 4063 KB  
Article
Online Monitoring of Financial Market Information-Flow Networks Under External Shocks: A Rolling Directed-ERGM and Control-Chart Framework
by Zhongxiu Chen, Huina Tian and Zhenghui Li
Mathematics 2026, 14(6), 961; https://doi.org/10.3390/math14060961 - 12 Mar 2026
Viewed by 186
Abstract
Amid frequent external shocks and deepening market linkages, the information-transmission structure of financial markets is more prone to phase-specific abrupt changes, creating a need for real-time monitoring methods. This study develops an online framework to track financial information-flow networks and to provide early [...] Read more.
Amid frequent external shocks and deepening market linkages, the information-transmission structure of financial markets is more prone to phase-specific abrupt changes, creating a need for real-time monitoring methods. This study develops an online framework to track financial information-flow networks and to provide early warnings of structural changes under exogenous shocks. Methodologically, information-flow networks are constructed from return spillovers using the Diebold–Yilmaz framework. An Exponential Random Graph Model is then employed to quantify how exogenous variables affect edge formation. Statistical process control methods, namely the Multivariate Cumulative Sum (MCUSUM) and Multivariate Exponentially Weighted Moving Average (MEWMA), are introduced to online monitoring of exogenous-effect coefficients. The simulation study uses simulated data to assess whether the two charts are properly calibrated and sensitive to alarms. The empirical study uses Shanghai Stock Exchange (SSE) 180 constituent stocks and exogenous variables—7-day Fixing Repo Rate (FR007), M2 growth rate (M2), the China Economic Policy Uncertainty Index (CEPU), and the Global Economic Policy Uncertainty Index (GEPU) over 2011–2025. The results indicate that both charts achieve the target in-control average run length, and detection accelerates with shock magnitude; FR007 is generally negative, M2 is positive, and uncertainty measures vary strongly over time; monitoring reveals shock clustering and long-term drift, implying both shock amplification and structural drift in the information-flow network. Practically, the framework provides an implementable warning tool for tracking shock amplification, supporting timely risk management. Full article
(This article belongs to the Section E5: Financial Mathematics)
Show Figures

Figure 1

29 pages, 5936 KB  
Article
Influence of Wired Twisted Tape on Heat Transfer Enhancement, Friction Factor and Thermal Performance Behaviors in a Heat Exchanger Tube
by Jianyu Lin, Ponepen Laphirattanakul, Suvanjan Bhattacharyya, Piphatpong Thapmanee, Khwanchit Wongcharee, Pichit Kaewkosum, Suriya Chokphoemphun and Smith Eiamsa-ard
Eng 2026, 7(3), 128; https://doi.org/10.3390/eng7030128 - 11 Mar 2026
Viewed by 105
Abstract
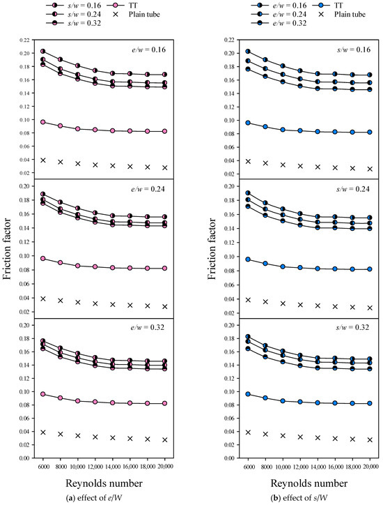
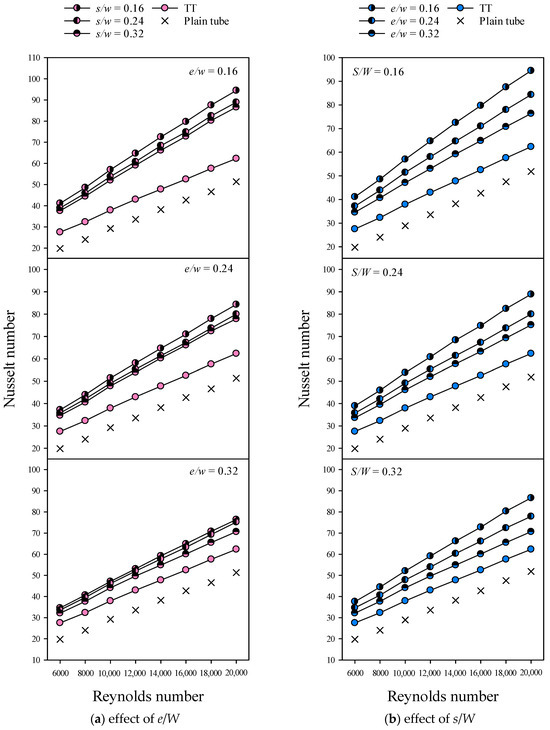
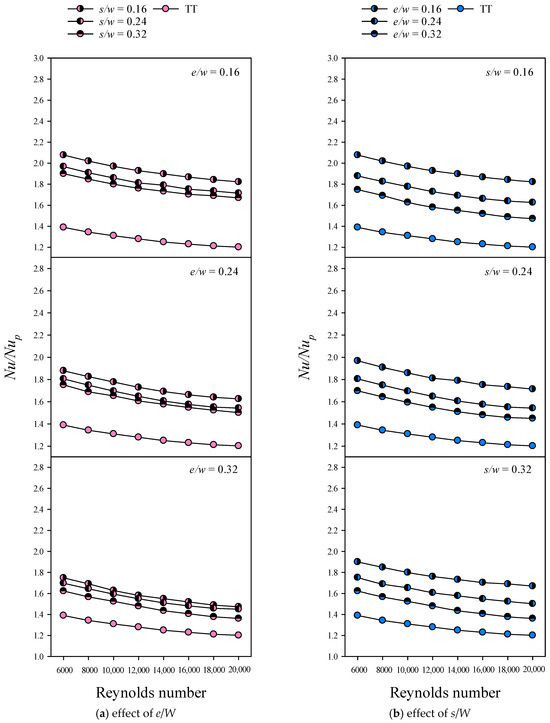
This study experimentally investigates the thermal–hydraulic performance of heat exchanger tubes fitted with wired twisted tapes, with particular emphasis on the effects of the hole spacing-to-width ratio (s/W) and edge margin-to-width ratio (e/W). Experiments were [...] Read more.
This study experimentally investigates the thermal–hydraulic performance of heat exchanger tubes fitted with wired twisted tapes, with particular emphasis on the effects of the hole spacing-to-width ratio (s/W) and edge margin-to-width ratio (e/W). Experiments were conducted over a Reynolds number range of 6000–20,000, and the results were compared with those of plain tubes and tubes equipped with conventional twisted tapes. The findings revealed that the incorporation of wires significantly enhanced heat transfer due to the combined action of longitudinal eddies generated by wire protrusions and swirling flow induced by the twisted tape. At identical Reynolds numbers, tubes with a smaller hole spacing (s/W = 0.16) exhibited superior heat transfer performance, achieving Nusselt number enhancements of up to 107.7% relative to plain tubes and 51.6% relative to conventional twisted tapes. Similarly, reducing the edge margin ratio intensified near-wall eddies and further disrupted the boundary layer. The friction factor was found to increase with decreasing hole spacing and edge margin, primarily due to additional flow obstructions and enhanced near-wall shear stresses. For wired twisted tapes with s/W = 0.16, the friction factor reached nearly six times that of a plain tube. Despite this penalty, the thermal performance factor (TPF) remained favorable, with values of up to 1.2, indicating that the heat transfer benefits outweighed the corresponding pressure losses. Full article
Show Figures

Figure 1

14 pages, 6321 KB  
Article
Melt Damage and Prevention of Gas Nozzle Tip in Close-Coupled Gas Atomization
by Nazuku Kato, Tetsuji Ohmura, Takeshi Maruyama, Yukitaka Hamada and Toshihiko Shakouchi
J 2026, 9(1), 10; https://doi.org/10.3390/j9010010 - 10 Mar 2026
Viewed by 152
Abstract
Gas atomization is one method for producing fine metal powder. In close-coupled gas atomization, a high-speed gas jet is ejected near the molten metal, and the molten metal is further broken down in the shear layer at the outer edge of the jet, [...] Read more.
Gas atomization is one method for producing fine metal powder. In close-coupled gas atomization, a high-speed gas jet is ejected near the molten metal, and the molten metal is further broken down in the shear layer at the outer edge of the jet, producing fine metal powder of several micrometers to several tens of micrometers. By the way, in close-coupled gas atomization, if the protrusion length of the molten metal nozzle is short, a backflow occurs that goes around the melt delivery nozzle tip and reaches the gas nozzle tip, and the small droplets of molten metal that are atomized at the exit of the melt delivery nozzle are carried by this backflow to the gas nozzle tip, causing it to erode. In this study, we experimentally clarified the existence of the backflow for the first time through measurements of velocity distribution, then the flow state of the gas flow inside the gas atomizer was visualized approximately using the atomized water flow, and the existence of a backflow was confirmed. It was shown that microdroplets of water are carried by the backflow and reach the gas nozzle tip. This was also clarified through numerical analysis results for the air flow. Furthermore, the protrusion length of the melt delivery nozzle at which backflow does not occur was determined, and this was verified in actual gas atomization experiments using molten copper. In addition, the length of the melt delivery nozzle at which backflow does not occur, i.e., the gas nozzle tip does not melt, was found. Furthermore, molten-copper experiments were conducted using this gas atomizer to evaluate its performance. Full article
(This article belongs to the Special Issue Feature Papers of J—Multidisciplinary Scientific Journal in 2026)
Show Figures

Figure 1

21 pages, 6503 KB  
Article
Cross-Scale Multi-Task Lightweight Hyper-Network Model for Remote Sensing Target Classification
by Shiming Xu, Shuaijiang Hu, Nannan Liao, Zhe Yuan, Xiqiao Sun, Junbin Zhuang and Yunyi Yan
Remote Sens. 2026, 18(6), 844; https://doi.org/10.3390/rs18060844 - 10 Mar 2026
Viewed by 133
Abstract
This paper presents a lightweight hyper-network architecture for cross-scale multi-task object classification, addressing the critical challenge of gradient interference in joint learning scenarios. We propose a HyperConv module integrated into a slim ResNet-12 backbone, which dynamically generates task-adaptive 3 × 3 convolutional kernels [...] Read more.
This paper presents a lightweight hyper-network architecture for cross-scale multi-task object classification, addressing the critical challenge of gradient interference in joint learning scenarios. We propose a HyperConv module integrated into a slim ResNet-12 backbone, which dynamically generates task-adaptive 3 × 3 convolutional kernels from compact two-dimensional latent vectors. This design allows explicit control over gradient flows for different tasks with minimal parameter overhead (only 3.2% additional parameters). Our framework incorporates adversarial regularization via a Gradient Reversal Layer (GRL) and dynamic task-weight scheduling to mitigate gradient conflicts across domains. Experiments on both natural image datasets (Mini-ImageNet and CIFAR-100) and remote sensing benchmarks (EuroSat and UCMerced_LandUse) demonstrate statistically significant improvements over conventional shared-parameter baselines. The proposed method effectively reduces negative transfer, enhances feature representation, and offers a practical solution for on-device multi-task learning in resource-constrained remote sensing applications such as UAVs and edge satellites. Full article
Show Figures

Figure 1

26 pages, 6031 KB  
Article
Real-Time Low-Cost Traffic Monitoring Based on Quantized Convolutional Neural Networks for the CNOSSOS-EU Noise Model
by Domenico Profumo, Gonzalo de León, Alessandro Monticelli, Luca Fredianelli and Gaetano Licitra
Sensors 2026, 26(5), 1736; https://doi.org/10.3390/s26051736 - 9 Mar 2026
Viewed by 232
Abstract
Accurate urban noise mapping requires granular traffic flow characterization aligned with specific acoustic models, such as CNOSSOS-EU. Existing monitoring solutions often lack the specific categorization capabilities, cost-effectiveness, or flexibility required for large-scale deployment in resource-constrained environments. To address this challenge, the present study [...] Read more.
Accurate urban noise mapping requires granular traffic flow characterization aligned with specific acoustic models, such as CNOSSOS-EU. Existing monitoring solutions often lack the specific categorization capabilities, cost-effectiveness, or flexibility required for large-scale deployment in resource-constrained environments. To address this challenge, the present study describes the development of a real-time multi-vehicle recognition system based on low-cost edge computing hardware, specifically a Raspberry Pi 4 coupled with a Coral TPU accelerator. The proposed methodology integrates a quantized YOLOv8 convolutional neural network (CNN) with a tracking algorithm to enable real-time detection and classification of vehicles into five distinct classes, allowing for precise aggregation according to CNOSSOS-EU standards. The model was trained on a proprietary dataset of 15,000 images and subjected to 8-bit post-training quantization to optimize inference speed. Experimental results demonstrate that the system achieves an inference speed of 14 FPS and a mean Average Precision (mAP@50) of 92.2% in daytime conditions, maintaining robust performance on embedded devices. In a real-world case study, the proposed system significantly outperformed a commercial traffic monitoring solution, achieving a weighted percentage error of just 6.6% compared to the commercial system’s 59.9%, effectively bridging the gap between manual counting accuracy (1.4% error) and automated efficiency. Full article
Show Figures

Figure 1

17 pages, 840 KB  
Article
Attention-Enhanced LSTM for Real-Time Curling Stone Trajectory Prediction on Resource-Constrained Devices
by Guanyu Chen, Shimpei Aihara and Yoshinari Takegawa
Appl. Sci. 2026, 16(5), 2612; https://doi.org/10.3390/app16052612 - 9 Mar 2026
Viewed by 153
Abstract
Real-time trajectory forecasting for curling stones is essential for on-ice decision support, yet prior work often emphasizes offline analysis, fixed-window predictors, or physics-driven models that require additional measurements, and it rarely reports end-to-end feasibility under edge-computing constraints (latency and memory). This leaves a [...] Read more.
Real-time trajectory forecasting for curling stones is essential for on-ice decision support, yet prior work often emphasizes offline analysis, fixed-window predictors, or physics-driven models that require additional measurements, and it rarely reports end-to-end feasibility under edge-computing constraints (latency and memory). This leaves a practical gap between accurate trajectory reconstruction and deployable rink-side guidance. To bridge this gap, we propose an online forecaster based on low-dimensional (x,y) coordinate streams and a lightweight attention-enhanced Long Short-Term Memory (LSTM) architecture optimized for edge devices. The model uses a four-second sliding window (240 frames at 59.94 Hz) to predict fifteen seconds of future positions (900 frames) in a single multi-step forward pass, and an overlapping publication scheme is adopted to retain longer temporal context and stabilize continuous updates. We further provide a TensorFlow Lite (TFLite) conversion and quantization workflow to support on-device inference. Quantitatively, experiments on the CurlTracer dataset (1033 throws at 59.94 Hz) show that the proposed attention–LSTM achieves trajectory-level MAE/MdAE of 0.25/0.22 m over the full prediction horizon, improving over a plain LSTM (0.30/0.24 m) and a physics-based pivot-slide baseline (3.52/3.54 m). At two checkpoints, the first-step MAE/MdAE are 0.14/0.11 m and the mid-step MAE/MdAE are 0.21/0.18 m. For real-time feasibility, on a Raspberry Pi 4B the per-window latency is approximately 0.25 s (including I/O and post-processing), while CPU benchmarks show that TFLite variants provide 7–8× speedups over the original Keras runtime with only minor accuracy loss (e.g., window-level MAE 0.30–0.41 m across FP32/DRQ/FP16/INT8). Qualitatively, representative trajectory visualizations show good agreement in near/mid horizons and reasonable stopping-region guidance, supporting integration with a stone-mounted interface for actionable feedback. Full article
(This article belongs to the Special Issue Advances in Winter Sports and Data Science)
Show Figures

Figure 1

24 pages, 1730 KB  
Article
Effective Planning and Management of Hybrid Renewable Energy Systems Through Graph Theory
by Aikaterini Kolioukou, Athanasios Zisos and Andreas Efstratiadis
Energies 2026, 19(5), 1381; https://doi.org/10.3390/en19051381 - 9 Mar 2026
Viewed by 276
Abstract
Hybrid renewable energy systems (HRESs), mixing conventional and renewable power sources and occasionally storage units, have become the norm regarding electricity generation. Robust long-term planning of such systems requires stakeholders to test different layouts and system configurations, while their operational management relies on [...] Read more.
Hybrid renewable energy systems (HRESs), mixing conventional and renewable power sources and occasionally storage units, have become the norm regarding electricity generation. Robust long-term planning of such systems requires stakeholders to test different layouts and system configurations, while their operational management relies on forecasting surpluses and deficits to achieve optimal decision making. However, both tasks, which in fact constitute a flow allocation problem across power networks, are subject to multiple peculiarities, arising from the nonlinear dynamics of the underlying processes, subject to numerous technical and operational constraints. Interestingly, a mutual problem emerges in water resource systems, also comprising network-type storage, abstraction and conveyance components. In this vein, triggered from well-established simulation approaches from the water domain, we introduce a generic (i.e., topology-free) and time-agnostic framework, the key methodological elements of which are: (a) the graph-based representation of the power fluxes; (b) the effective handling of energy uses and constraints through virtual nodes and edges; (c) the implementation of priorities via proper assignment of virtual costs across all graph components; and (d) the configuration of the overall problem as a network linear programming context, which allows the use of exceptionally fast solvers. Specific adjustments are required to address highly complex issues within HRESs, particularly the representation of conventional thermal and pumped-storage hydropower units, as well as the power losses across transmission lines. The modeling approach is stress-tested by means of configuring a hypothetical HRES in a non-interconnected Aegean island, i.e., Sifnos, Greece. Full article
Show Figures

Figure 1

20 pages, 5063 KB  
Article
Comparative Analysis of Surrogate Models for Organic Rankine Cycle Turbine Optimization
by Yeun-Seop Kim, Jong-Beom Seo, Ho-Saeng Lee and Sang-Jo Han
Energies 2026, 19(5), 1372; https://doi.org/10.3390/en19051372 - 8 Mar 2026
Viewed by 227
Abstract
To enhance the aerodynamic performance of organic Rankine cycle (ORC) turbines under increasing energy demands, surrogate-based optimization was applied to a 100 kW ORC turbine rotor. Four representative surrogate models—a radial basis neural network (RBNN), Kriging, response surface approximation (RSA), and a PRESS-based [...] Read more.
To enhance the aerodynamic performance of organic Rankine cycle (ORC) turbines under increasing energy demands, surrogate-based optimization was applied to a 100 kW ORC turbine rotor. Four representative surrogate models—a radial basis neural network (RBNN), Kriging, response surface approximation (RSA), and a PRESS-based weighted (PBW) ensemble—were comparatively evaluated under identical numerical conditions. Independent optimizations of the first- and second-stage rotors enabled an examination of how different design variable space characteristics influenced surrogate predictive behavior. A fractional factorial sampling strategy was used to construct the training dataset, and learning curve analysis was conducted to assess sample size adequacy. Sensitivity estimation revealed distinct response surface characteristics between stages, allowing the interpretation of variations in surrogate stability. In both stages, geometric modifications were primarily concentrated near the outlet blade angle, identified as a dominant variable influencing efficiency. CFD validation confirmed that surrogate-based exploration successfully identified improved rotor geometries. Flow-field analysis indicated reduced entropy generation near the trailing edge region, suggesting the mitigation of aerodynamic losses. The results demonstrate that surrogate-based optimization can reliably improve turbine performance within a bounded design space, while the relative effectiveness of surrogate models depends on the sensitivity structure of the underlying problem. Full article
Show Figures

Figure 1

14 pages, 1716 KB  
Article
Anisotropic Extrudate Swell from a Slit Die: A Velocity-Centre Hypothesis and Numerical Verification
by Guangdong Zhang, Xinyu Hao and Linzhen Zhou
Polymers 2026, 18(5), 652; https://doi.org/10.3390/polym18050652 - 7 Mar 2026
Viewed by 231
Abstract
While anisotropic extrudate swell in polymer processing is fundamentally driven by physical viscoelastic recovery, this paper proposes a theoretical framework to explicitly isolate and map the purely geometric and kinematic components of this phenomenon. Serving as a mathematical proof-of-concept, a multi-velocity-centre hypothesis is [...] Read more.
While anisotropic extrudate swell in polymer processing is fundamentally driven by physical viscoelastic recovery, this paper proposes a theoretical framework to explicitly isolate and map the purely geometric and kinematic components of this phenomenon. Serving as a mathematical proof-of-concept, a multi-velocity-centre hypothesis is proposed. By introducing a semi-empirical, lumped material-flow calibration parameter, the macroscopic diameter swell ratio is mathematically extended to the discrete local flow field of a rectangular slit die. To evaluate its validity, the analytical framework is subjected to a numerical test for kinematic consistency utilizing isothermal, inelastic power-law fluid CFD simulations, thereby separating geometric mapping from complex viscoelastic stress relaxation. Results indicate that analytical predictions show good agreement with CFD data (error < 5%) strictly within the core zone of high-aspect-ratio dies. However, due to the infinite-slit assumption, 3D flow kinematics near die edges induce velocity decay, leading to local deviations that require future empirical corrections. Although comprehensive physical extrusion experiments and non-isothermal viscoelastic coupling are required for industrial deployment, this semi-empirical kinematic mapping provides a foundational mathematical basis that could potentially inform future inverse die-profile design and shape distortion compensation. Full article
(This article belongs to the Section Polymer Processing and Engineering)
Show Figures

Figure 1

18 pages, 2459 KB  
Article
Influence of Groove Structures on Flow Field and Bacterial Adhesion: A CFD-DEM Coupling Study
by Lei Chen, Hongjun Ye and Xiaodong Ruan
Coatings 2026, 16(3), 321; https://doi.org/10.3390/coatings16030321 - 6 Mar 2026
Viewed by 143
Abstract
Stringent cleanliness standards govern process fluid transport in integrated circuit (IC) manufacturing. Cavitation-induced surface defects on flow control components promote bacterial adhesion, thereby compromising wafer fabrication. To elucidate the coupling mechanisms among surface topography, hydrodynamics, and bacterial retention, this study utilizes a one-way [...] Read more.
Stringent cleanliness standards govern process fluid transport in integrated circuit (IC) manufacturing. Cavitation-induced surface defects on flow control components promote bacterial adhesion, thereby compromising wafer fabrication. To elucidate the coupling mechanisms among surface topography, hydrodynamics, and bacterial retention, this study utilizes a one-way coupled Computational Fluid Dynamics and Discrete Element Method (CFD-DEM) approach integrated with extended Derjaguin–Landau–Verwey–Overbeek (XDLVO) theory. We constructed a numerical model of rod-shaped Pseudomonas aeruginosa, integrated with a customized API-based coupling scheme to resolve temporal scale disparities, and systematically simulated flow evolution and adhesion behaviors across varying groove geometries (quadrilateral, triangular, and semicircular) and inlet velocities (1–3 m/s). The results indicate that groove-induced flow separation and recirculation vortices drive bacterial accumulation at the trailing edge. Triangular profiles exhibited superior flow stability, yielding significantly lower adhesion than quadrilateral and semicircular shapes. Bacterial retention scaled inversely with flow velocity due to enhanced hydrodynamic shear. These findings provide theoretical and engineering insights for the anti-contamination design of ultra-clean flow control components in IC manufacturing. Full article
(This article belongs to the Section Environmental Aspects in Colloid and Interface Science)
Show Figures

Figure 1

25 pages, 3084 KB  
Article
A Regional Message Scaling Min-Sum Decoding Algorithm for MET-LDPC Codes
by Ying You, Guodong Su and Weiwei Lin
Symmetry 2026, 18(3), 444; https://doi.org/10.3390/sym18030444 - 4 Mar 2026
Viewed by 125
Abstract
To offer multi-edge type low-density parity-check (MET-LDPC) codes with better performance, this paper proposes a regional message scaling min-sum (RMS) decoding algorithm which improves the performance of the traditional min-sum (MS) decoding algorithm and its modified versions. The contributions of this study are [...] Read more.
To offer multi-edge type low-density parity-check (MET-LDPC) codes with better performance, this paper proposes a regional message scaling min-sum (RMS) decoding algorithm which improves the performance of the traditional min-sum (MS) decoding algorithm and its modified versions. The contributions of this study are as follows. First, based on the edge-type topology of MET-LDPC codes, we fully exploit their inherent structural information to develop a cross-region decoding architecture by dynamically partitioning the edges of the Tanner graph into three functional regions. Second, we introduce cross-region message scaling (CMS) factors to establish an asymmetric information flow control mechanism, which adaptively regulates the intensity of information exchange across regions. Third, by integrating the multi-edge structure, the cross-region decoding architecture, and the asymmetric information flow control mechanism into a unified framework, we propose the RMS decoding algorithm tailored for MET-LDPC codes. For various code lengths, simulation results demonstrate that the proposed algorithm achieves a significantly lower error floor compared to the traditional MS decoding algorithm and its modified versions over the additive white Gaussian noise (AWGN) channel. Full article
(This article belongs to the Section Computer)
Show Figures

Figure 1

Back to TopTop